| 221 |
| VYHLÁŠKA |
| Úradu pre reguláciu sieťových odvetví |
| z 11. júla 2013, |
| ktorou sa ustanovuje cenová regulácia v elektroenergetike |
| Úrad pre reguláciu sieťových odvetví (ďalej len „úrad“) podľa § 40 ods. 1 písm. a) až e), g) až i) a l) až n) zákona č. 250/2012 Z. z. o regulácii v sieťových odvetviach a § 19 ods. 2 písm. c), d) a j) zákona č. 309/2009 Z. z. o podpore obnoviteľných zdrojov energie a vysoko účinnej kombinovanej výroby a o zmene a doplnení niektorých zákonov ustanovuje: |
|
|
| § 1 |
| Základné pojmy |
| Na účely tejto vyhlášky sa rozumie |
| a) regulačným obdobím obdobie od roku 2012 do roku 2016, |
| b) regulačným rokom kalendárny rok, |
| c) rokom t regulačný rok, na ktorý sa určuje alebo platí cena, |
| d) rokom t+n n-tý rok nasledujúci po roku t, |
| e) rokom t–n n-tý rok predchádzajúci roku t, |
| f) východiskovým rokom rok 2012, |
| g) jednotkou množstva elektriny 1 MWh, |
| h) tarifou za prevádzkovanie systému v eurách na jednotku množstva elektriny pevná cena viažuca sa na technickú jednotku, ktorá zohľadňuje alikvotnú časť nákladov na výrobu elektriny z domáceho uhlia, na výrobu elektriny z obnoviteľných zdrojov energie a vysoko účinnou kombinovanou výrobou a na činnosti organizátora krátkodobého trhu s elektrinou; tarifa sa uplatňuje na koncovú spotrebu elektriny, |
| i) tarifou za systémové služby v eurách na jednotku množstva elektriny pevná cena viažuca sa na technickú jednotku, ktorá zohľadňuje povolené náklady prevádzkovateľa prenosovej sústavy na nákup podporných služieb a iné povolené náklady prevádzkovateľa prenosovej sústavy na zabezpečenie systémových služieb; tarifa sa uplatňuje na koncovú spotrebu elektriny, |
| j) spoločným miestom pripojenia zariadenia výrobcu elektriny je miesto pripojenia zariadenia výrobcu elektriny k priamemu vedeniu, do distribučnej sústavy alebo do prenosovej sústavy na základe zmlúv o pripojení do sústavy viažucich sa k areálu výrobcu elektriny, |
| k) ITC mechanizmom kompenzačný mechanizmus pri zúčtovaní a vysporiadaní platieb za použitie národných prenosových sústav pre cezhraničnú výmenu elektriny, |
| l) technologickou časťou zariadenia výrobcu elektriny súbor jednotlivých technologických častí nevyhnutných na výrobu elektriny tvoriacich jeden technologický celok, |
| m) výstavbou zariadenia na výrobu elektriny realizácia nového zariadenia na výrobu elektriny alebo úprava existujúceho zariadenia na výrobu elektriny, |
| n) areálom výrobcu elektriny územie, na ktorom sú vzájomne galvanicky prepojené elektroenergetické zariadenia výrobcu elektriny za odbernými miestami výrobcu elektriny, |
| o) nameraným výkonom najvyššia hodnota štvrťhodinového činného elektrického výkonu nameraného počas kalendárneho mesiaca 24 hodín denne. |
| § 2 |
| Rozsah cenovej regulácie |
| Cenová regulácia v elektroenergetike sa vzťahuje na |
| a) výrobu elektriny z obnoviteľných zdrojov energie a výrobu elektrinu vyrobenej vysoko účinnou kombinovanou výrobou, |
| b) výrobu elektriny z domáceho uhlia na základe rozhodnutia Ministerstva hospodárstva Slovenskej republiky (ďalej len „ministerstvo hospodárstva“) o uložení povinnosti vo všeobecnom hospodárskom záujme, |
| c) pripojenie do sústavy, |
| d) prístup do prenosovej sústavy a prenos elektriny, |
| e) prístup do distribučnej sústavy a distribúciu elektriny, |
| f) dodávku elektriny zraniteľným odberateľom, ktorými sú odberateľ elektriny v domácnosti a malý podnik, |
| g) poskytovanie podporných služieb, |
| h) poskytovanie systémových služieb, |
| i) výkon činnosti organizátora krátkodobého trhu s elektrinou, |
| j) dodávku elektriny dodávateľom poslednej inštancie. |
| § 3 |
| Spôsob vykonávania cenovej regulácie |
| Cenová regulácia v elektroenergetike sa vykonáva |
| a) priamym určením pevnej ceny za výrobu elektriny z obnoviteľných zdrojov energie a výrobu elektriny vyrobenej vysoko účinnou kombinovanou výrobou, |
| b) určením spôsobu výpočtu pevnej ceny za výrobu elektriny z domáceho uhlia, |
| c) určením spôsobu výpočtu maximálnej ceny za pripojenie do sústavy, |
| d) určením spôsobu výpočtu maximálnej ceny za prístup do prenosovej sústavy a prenos elektriny, |
| e) určením spôsobu výpočtu maximálnej ceny a tarify za prístup do distribučnej sústavy a distribúciu elektriny, |
| f) určením spôsobu výpočtu maximálnej ceny za dodávku elektriny zraniteľným odberateľom, |
| g) určením spôsobu výpočtu maximálnej ceny za poskytovanie podporných služieb, |
| h) určením spôsobu výpočtu maximálnej ceny a tarify za poskytovanie systémových služieb, |
| i) určením spôsobu výpočtu maximálnej ceny a tarify za výkon činnosti organizátora krátkodobého trhu s elektrinou, |
| j) určením spôsobu výpočtu maximálnej ceny za dodávku elektriny dodávateľom poslednej inštancie. |
| § 4 |
| Rozsah, štruktúra a výška ekonomicky oprávnených nákladov |
| (1) Ekonomicky oprávnenými nákladmi sú |
| a) náklady na obstaranie elektriny pri dodávke elektriny zraniteľným odberateľom, ktorými sú odberatelia elektriny v domácnosti a malé podniky, vrátane nákladov na vyrovnanie odchýlky zraniteľným odberateľom pri dodávke elektriny zraniteľným odberateľom, |
| b) náklady na obstaranie regulačnej elektriny,1) |
| c) náklady na obstaranie elektriny na vlastnú spotrebu a krytie strát pri prenose elektriny a distribúcii elektriny vrátane nákladov na vyrovnanie odchýlky pri prenose elektriny a distribúcii elektriny, |
| d) výrobné a prevádzkové náklady zahrňujúce náklady na energie, suroviny a technologické hmoty, |
| e) osobné náklady;2) za ekonomicky oprávnené náklady sa považujú aj priemerné osobné náklady na jedného zamestnanca na rok t zvýšené oproti určeným nákladom na rok t-1 najviac o výšku aritmetického priemeru zverejnených hodnôt ukazovateľa „jadrová inflácia“ za mesiace júl až december roku t-2 a január až jún roku t-1 uvedených na webovom sídle Štatistického úradu Slovenskej republiky (ďalej len „štatistický úrad“) v časti „Jadrová a čistá inflácia oproti rovnakému obdobiu minulého roku v percentách“, |
| f) náklady na plnenie povinností podľa osobitných predpisov,3) v prípade poplatkov za znečisťovanie ovzdušia len poplatky za znečisťujúce látky vypustené do ovzdušia pri dodržaní podmienok a požiadaviek podľa osobitného predpisu4) a v prípade skleníkových plynov len náklady maximálne do výšky 100 % na nákup emisných kvót nad množstvo bezodplatne pridelených a potrebných na vykonávanie regulovanej činnosti a v prípade skleníkových plynov sú ekonomicky oprávnenými nákladmi náklady na nákup emisných kvót, vypočítané ako množstvo spotrebovaných ton CO2 krát cena určená ako aritmetický priemer denných uzatváracích cien (settlement price) oficiálneho kurzového lístka zverejneného burzou EEX na jej webovom sídle, za produkt EU Emission Allowances - Spot Market v eurách na tony CO2 za obdobie od 1. januára roku t-1 do 30. júna roku t-1, |
| g) odpisy majetku;5) pri hmotnom majetku sa za ekonomicky oprávnené náklady považuje rovnomerné odpisovanie hmotného majetku6) využívaného výhradne na výkon regulovanej činnosti a pri nehmotnom majetku sa za ekonomicky oprávnené náklady považuje ročný odpis vo výške 25 % z obstarávacej ceny nehmotného majetku využívaného výhradne na výkon regulovanej činnosti okrem prípadov uvedených v § 20 ods. 1 písm. d), e) a i), § 23 ods. 2 písm. e), f) a i) a § 27 ods. 3 písm. d) až f), |
| h) nájomné za prenájom hmotného majetku a nehmotného majetku od tretích osôb, ktorý sa používa výhradne na regulovanú činnosť vo výške odpisov podľa písmena g), priamo súvisiacich a preukázaných nákladov, |
| i) náklady na opravy a údržbu majetku využívaného na zabezpečenie regulovanej činnosti v rozsahu zabezpečujúcom výkon regulovanej činnosti okrem nákladov vynaložených na technické zhodnotenie hmotného majetku a nehmotného majetku podľa osobitného predpisu,7) |
| j) úrok z úveru poskytnutého bankou alebo pobočkou zahraničnej banky8) na obstaranie hmotného majetku alebo nehmotného majetku, ktorý sa používa výhradne na regulovanú činnosť, |
| k) úrok z úveru na zabezpečenie finančných prostriedkov na prevádzkové náklady súvisiace s nákupom elektriny na straty a úhradu doplatku podľa osobitných predpisov,9) najviac však vo výške ročnej sadzby EURIBOR, |
| l) režijné náklady s maximálnou prípustnou mierou medziročného rastu vo výške JPI-X, kde JPI je aritmetický priemer indexov jadrovej inflácie v percentách zverejnených štatistickým úradom za obdobie od júla roku t-2 do júna roku t-1 a X je faktor efektivity v percentách určený na regulačné obdobie, ktorého hodnota je 3,5 %, ak je JPI ‹ X, potom sa JPI - X - 0 a do oprávnených nákladov v roku t sa zahrnú režijné náklady najviac vo výške režijných nákladov roku t-1, |
| m) úrok z dlhopisu vydaného regulovaným subjektom do výšky úroku rovnajúceho sa aritmetickému priemeru hodnôt mesačných priemerov ukazovateľa 12M EURIBOR za obdobie posledných 12 mesiacov predchádzajúcich mesiacu, v ktorom sa predkladá návrh ceny, zverejnených na webovom sídle www.euribor-ebf.eu v časti Euribor rates, na zabezpečenie finančných prostriedkov na prevádzkové náklady súvisiace s nákupom elektriny na straty a úhradu doplatku podľa osobitných predpisov,9) |
| n) náklady na projekty spoločného záujmu podľa osobitného predpisu.9a) |
| (2) Ekonomicky oprávnenými nákladmi nie sú |
| a) sankcie, |
| b) náklady spojené s nevyužitými prevádzkami a výrobnými kapacitami, |
| c) odpisy nevyužívaného dlhodobého majetku, odpisy „goodwill“ a odpisy hmotného majetku a nehmotného majetku vylúčeného z odpisovania,10) |
| d) odmeny členov štatutárnych orgánov a ďalších orgánov právnických osôb za výkon funkcie, ktorí nie sú v pracovnoprávnom vzťahu s regulovaným subjektom, |
| e) platby poistného za poistenie zodpovednosti za škody spôsobené členmi štatutárnych orgánov a členmi iných orgánov regulovaného subjektu, |
| f) príspevky na doplnkové dôchodkové sporenie,11) príspevky na životné poistenie a účelové sporenie zamestnanca platené zamestnávateľom, |
| g) odstupné a odchodné presahujúce výšku ustanovenú osobitným predpisom,12) |
| h) príspevky na stravovanie zamestnancov nad rozsah ustanovený osobitným predpisom,13) |
| i) cestovné náhrady nad rozsah ustanovený osobitným predpisom,14) |
| j) tvorba sociálneho fondu nad rozsah ustanovený osobitným predpisom,15) |
| k) náklady na poskytovanie ochranných pracovných prostriedkov nad rozsah ustanovený osobitným predpisom,16) |
| l) dobrovoľné poistenie osôb, |
| m) manká a škody na majetku vrátane škody zo zníženia cien nevyužiteľných zásob a likvidácie zásob, |
| n) náklady vyplývajúce z chýb vo výpočtoch, v kalkulačných prepočtoch alebo v účtovníctve, duplicitne účtované náklady, |
| o) náklady na reprezentáciu a dary, |
| p) odmeny a dary pri životných jubileách a pri odchode do dôchodku, |
| q) náklady na starostlivosť o zdravie zamestnancov a na vlastné zdravotnícke zariadenia nad rozsah ustanovený osobitným predpisom,17) |
| r) príspevky a náklady na rekreačné, regeneračné, rekondičné a ozdravné pobyty, ak povinnosť ich uhrádzania neustanovuje osobitný predpis,18) |
| s) náklady na údržbu a prevádzku školiacich a rekreačných zariadení, |
| t) daň z nehnuteľnosti platená za školiace a rekreačné zariadenia, |
| u) štipendiá poskytnuté študentom a učňom, |
| v) odpis nedobytnej pohľadávky, |
| w) tvorba rezerv nad rozsah ustanovený osobitným predpisom,19) |
| x) rozdiely zo zmien použitých účtovných metód a účtovných zásad,20) |
| y) tvorba opravných položiek, |
| z) náklady vynaložené na odstránenie nedostatkov zistených pri kolaudačnom konaní, |
| aa) náklady spojené s prípravou a zabezpečením nerealizovanej investičnej výstavby, |
| ab) straty z predaja dlhodobého majetku a zásob, |
| ac) zostatková cena predaného alebo vyradeného hmotného majetku a nehmotného majetku, |
| ad) náklady na reklamu alebo propagáciu uskutočňovanú formou podpory športových, kultúrnych a zábavných podujatí a iných činností, |
| ae) spotreba pohonných látok nad rozsah ustanovený osobitným predpisom,21) |
| af) náklady na výkon regulovanej činnosti, ktoré sú vyššie ako náklady zistené na základe overovania primeranosti nákladov podľa osobitného predpisu,22) ktoré sú zabezpečované regulovaným subjektom, iným ako regulovaným subjektom alebo subjektom, ktorý je alebo bol súčasťou vertikálne integrovaného podniku,23) |
| ag) straty z obchodov s finančnými derivátmi a komoditnými derivátmi, |
| ah) úrazové dávky poskytované podľa osobitného predpisu,24) |
| ai) vyplatené kompenzačné platby podľa osobitného predpisu,25) |
| aj) ostatné náklady, ktoré nie sú uvedené v odseku 1. |
| § 5 |
| Spôsob určenia výšky primeraného zisku |
| (1) Primeraný zisk zohľadňuje rozsah potrebných investícií na zabezpečenie dlhodobej, spoľahlivej, bezpečnej a efektívnej prevádzky sústavy, primeranú návratnosť prevádzkových aktív a stimuláciu stabilného dlhodobého podnikania. |
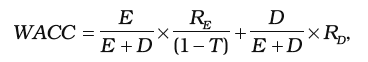
| (2) Výška primeraného zisku za prístup do prenosovej sústavy a prenos elektriny prevádzkovateľom prenosovej sústavy a za prístup do distribučnej sústavy a distribúciu elektriny prevádzkovateľom regionálnej distribučnej sústavy pre regulovaný subjekt, ktorý distribuuje elektrinu distribučnou sústavou v roku t, do ktorej je v roku t-1 pripojených viac ako 100 000 odberných miest, je určená ako miera výnosnosti regulačnej bázy aktív pred zdanením na regulačné obdobie, |
| kde |
| WACC je určená reálna miera výnosnosti regulačnej bázy aktív pred zdanením na regulačné obdobie vypočítaná podľa vzorca |
| .png)
|
| pre východiskový rok je miera výnosnosti regulačnej bázy aktív WACC 6,04 %, |
| kde |
| T je sadzba dane z príjmov na rok t, |
| E je vlastné imanie v eurách k 31. decembru 2010, |
| D sú cudzie zdroje v eurách k 31. decembru 2010, |
| RD je reálna cena cudzích zdrojov; na východiskový rok je vo výške 5,13 % pri prepočítanej priemernej výške úverov poskytnutých nefinančným spoločnostiam na obdobie piatich a viac rokov s výškou úveru nad jeden milión eur, |
| RE je reálna cena vlastného kapitálu a vlastných zdrojov vypočítaná podľa vzorca |
| .png)
|
| kde |
| RF je výnosnosť bezrizikového aktíva; na východiskový rok je vo výške 4,01 % pri prepočítanom priemernom výnose päťročných a viacročných štátnych dlhopisov emitovaných na slovenskom trhu za roky 2007 až 2011, |
| ßLEV je vážený koeficient ß, ktorý definuje citlivosť akcie spoločnosti na riziko trhu so zohľadnením sadzby dane z príjmov a podielu cudzích zdrojov, vypočítaný podľa vzorca |
| .png)
|
| kde |
| ßUNLEV je nevážený koeficient ß bez vplyvu sadzby dane z príjmov a podielu cudzích zdrojov na východiskový rok vo výške 0,30; pre ďalšie roky sa určuje v intervale od 0,30 do 0,65, |
| T je sadzba dane z príjmov na rok t, |
| D/E je pomer cudzích zdrojov k vlastnému imaniu; na východiskový rok je určený vo výške 60 % v prospech cudzieho kapitálu, |
| RM je výkonnosť trhového portfólia; na východiskový rok sa určuje vo výške 7,01 %, |
| (RM – RF) je celková riziková prémia pre východiskový rok určená vo výške 3 %; pre ďalšie roky sa určuje v intervale od 3 % do 6 %. |
| (3) Hodnoty parametrov pre ďalšie roky, ktoré slúžia na výpočet miery výnosnosti regulačnej bázy aktív WACC sa zverejnia na webovom sídle do 30. júna kalendárneho roku. |
| § 6 |
| (1) Peňažné hodnoty sa na účely výpočtu cien matematicky zaokrúhľujú na štyri desatinné miesta. Mesačná platba za jedno odberné miesto sa zaokrúhľuje na dve desatinné miesta. |
| (2) Ceny podľa tejto vyhlášky sú bez dane z pridanej hodnoty. |
| Výroba elektriny z obnoviteľných zdrojov energie, vysoko účinnou kombinovanou výrobou a z domáceho uhlia |
| § 7 |
| Všeobecné ustanovenia |
| (1) Cenová regulácia podľa odsekov 2 až 20 a § 8 až 10 sa vzťahuje na výrobcu elektriny, ktorý vyrába elektrinu z obnoviteľných zdrojov energie a vysoko účinnou kombinovanou výrobou a podľa § 11 na výrobu elektriny z domáceho uhlia na základe rozhodnutia ministerstva hospodárstva o uložení povinnosti vo všeobecnom hospodárskom záujme. |
| (2) Súčasťou návrhu ceny výrobcu elektriny z obnoviteľných zdrojov energie a výrobcu elektriny vysoko účinnou kombinovanou výrobou sú |
| a) návrh cien výrobcu elektriny z obnoviteľných zdrojov energie alebo vysoko účinnou kombinovanou výrobou, návrh ceny alebo taríf za výrobu elektriny z domáceho uhlia, vrátane ich štruktúry, pre rok t, ktoré sa budú uplatňovať pre účastníkov trhu s elektrinou vrátane podmienok ich pridelenia, |
| b) plán investícií a plán odpisov za regulovanú činnosť v rokoch t, t+1 a t+2, to neplatí pre výrobcu elektriny z obnoviteľných zdrojov energie a výrobcu elektriny vysoko účinnou kombinovanou výrobou, |
| c) výpočty a údaje podľa § 8 až 10 týkajúce sa výroby elektriny vyrobenej z obnoviteľných zdrojov energie a vysoko účinnou kombinovanou výrobou, |
| d) potvrdenie nie staršie ako tri mesiace preukazujúce, že voči regulovanému subjektu nie sú evidované |
| 1. daňové nedoplatky podľa osobitného predpisu26) správcom dane, |
| 2. nedoplatky poistného na zdravotné poistenie, |
| 3. nedoplatky na poistnom na sociálne poistenie a povinných príspevkoch na starobné dôchodkové sporenie, |
| e) ďalšie podklady potrebné na správne posúdenie návrhu ceny. |
| (3) Podklady podľa odseku 2 písm. a) a c) sa predkladajú aj v elektronickej podobe. |
| (4) Ustanovenia o návrhu ceny sa primerane vzťahujú aj na návrh na zmenu cenového rozhodnutia. |
| (5) Pri spoločnom spaľovaní biomasy, bioplynu, skládkového plynu, plynu z čističiek odpadových vôd alebo biometánu s inými druhmi paliva je množstvo elektriny vyrobenej z obnoviteľných zdrojov energie určené percentuálnym podielom množstva tepla z biomasy, skládkového plynu, plynu z čističiek odpadových vôd alebo bioplynu alebo biometánu v celkovom množstve tepla použitého na výrobu tepla a elektriny vypočítaného na základe predložených dokladov podľa osobitného predpisu.27) |
| (6) Pri spaľovaní priemyselných odpadov a komunálnych odpadov je množstvo elektriny vyrobenej z obnoviteľných zdrojov energie určené percentuálnym podielom množstva tepla z biologicky rozložiteľných látok odpadu a celkového množstva tepla vyrobeného z týchto odpadov použitého na výrobu tepla a elektriny. |
| (7) Ak je pri výrobe elektriny vysoko účinnou kombinovanou výrobou palivom výlučne obnoviteľný zdroj energie, na všetku elektrinu vyrobenú v tejto technológii sa použije iba jeden zo spôsobov určenia ceny elektriny pre stanovenie doplatku podľa § 9 a 10. |
| (8) S návrhom ceny pre nové zariadenie výrobcu elektriny sa predkladá |
| a) osvedčenie na výstavbu energetického zariadenia,28) |
| b) právoplatné kolaudačné rozhodnutie alebo písomné oznámenie stavebného úradu, že proti uskutočneniu drobnej stavby nemá námietky, ak je zariadenie výrobcu elektriny drobnou stavbou, |
| c) doklad o vykonaní funkčnej skúšky29) alebo protokol z odbornej prehliadky a skúšky podľa osobitného predpisu30) zariadenia výrobcu elektriny prevádzkovateľovi distribučnej sústavy o tom, že zariadenie výrobcu elektriny je trvalo v prevádzke preukázateľne oddelené od sústavy Slovenskej republiky, vrátane vyhlásenia, že spotreba takto vyrobenej elektriny spĺňa podmienky účelne využitej elektriny podľa osobitného predpisu,31) a to na základe údajov z merania elektriny podľa osobitného predpisu,32) |
| d) jednopólová elektrická schéma zariadenia výrobcu elektriny a vyvedenia elektrického výkonu vrátane umiestnenia určených meradiel a účelu merania podľa osobitného predpisu,33) |
| e) kópia zmluvy o pripojení zariadenia výrobcu elektriny k priamemu vedeniu, do distribučnej sústavy alebo do prenosovej sústavy, |
| f) list vlastníctva preukazujúci evidenciu budovy spojenej so zemou pevným základom evidovanej v katastri nehnuteľností,34) na ktorej strešnej konštrukcii alebo obvodovom plášti je umiestnené zariadenie výrobcu elektriny využívajúce na výrobu elektriny slnečnú energiu, |
| g) potvrdenie nie staršie ako tri mesiace preukazujúce, že voči regulovanému subjektu nie sú evidované |
| 1. daňové nedoplatky podľa osobitného predpisu26) správcom dane, |
| 2. nedoplatky poistného na zdravotné poistenie, |
| 3. nedoplatky na poistnom na sociálne poistenie a povinných príspevkoch na starobné dôchodkové sporenie, |
| h) zoznam určených meradiel inštalovaných na svorkách generátora, na meranie vlastnej spotreby, na meranie ostatnej vlastnej spotreby, ak nejde o určené meradlo prevádzkovateľa distribučnej sústavy, spolu s informáciami o type a výrobnom čísle určeného meradla, o počiatočnom stave počítadiel a odpočtových násobiteľoch; ak sú súčasťou meracej súpravy aj meracie transformátory napätia a prúdu, musia byť súčasťou tohto zoznamu aj štítkové údaje týchto transformátorov spolu s dátumom úradného overenia. |
| (9) S návrhom ceny pre existujúce zariadenie výrobcu elektriny sa predkladá potvrdenie nie staršie ako tri mesiace preukazujúce, že voči regulovanému subjektu nie sú evidované |
| a) daňové nedoplatky podľa osobitného predpisu26) správcom dane, |
| b) nedoplatky poistného na zdravotné poistenie, |
| c) nedoplatky na poistnom na sociálne poistenie a povinných príspevkoch na starobné dôchodkové sporenie. |
| (10) Súčasťou návrhu ceny výrobcu elektriny sú údaje o každom zariadení výrobcu elektriny, a to |
| a) údaje za predchádzajúci kalendárny rok, predpoklad na nasledujúce kalendárne roky a podľa prílohy č. 1 tabuľky č. 1 |
| 1. o celkovom množstve elektriny vyrobenej v zariadení výrobcu elektriny z obnoviteľných zdrojov energie alebo vysoko účinnej kombinovanej výroby, |
| 2. o množstve technologickej vlastnej spotreby elektriny,35) |
| 3. o množstve elektriny, na ktoré sa vzťahuje doplatok,36) |
| 4. o množstve vyrobenej elektriny dodanej prevádzkovateľovi regionálnej distribučnej sústavy, do ktorej je zariadenie výrobcu elektriny pripojené, za cenu elektriny na straty,37) |
| b) údaje o |
| 1. spôsobe merania vyrobenej elektriny na svorkách každého generátora elektriny a meraní vlastnej spotreby elektriny pri výrobe elektriny, |
| 2. plánovanom množstve biometánu použitého v roku t na výrobu elektriny, ktoré výrobca elektriny preukazuje zmluvami o dodávke biometánu uzatvorenými s výrobcami biometánu a potvrdeniami o pôvode biometánu príslušných výrobcov biometánu, ak je elektrina vyrábaná kombinovanou výrobou spaľovaním alebo spoluspaľovaním biometánu, |
| 3. podpore poskytnutej z prostriedkov štátneho rozpočtu vyjadrené v percentách z celkových obstarávacích nákladov na výstavbu zariadenia na výrobu elektriny a informáciu o poskytnutí podpory použitej na realizáciu opatrení pre zabezpečenie plnenia emisných limitov zariadenia na výrobu elektriny, |
| 4. hodnote celkových obstarávacích nákladov na výstavbu zariadenia na výrobu elektriny, ako aj údaje o týchto nákladoch v členení na celkovú technologickú časť stavby a stavebnú časť stavby zariadenia na výrobu elektriny, |
| 5. percentuálnom posúdení podielu dodávky využiteľného tepla z ročnej výroby tepla za predchádzajúci kalendárny rok podľa osobitného predpisu38) pre existujúcich výrobcov elektriny na základe zoznamu odberateľov tepla s množstvom dodaného tepla, kópií faktúr za dodané teplo alebo pri vlastnej spotrebe využiteľného tepla hodnotu tepelného príkonu na základe preukázateľných výpočtov tepelnotechnických parametrov a počet prevádzkových hodín za rok a pre nových výrobcov elektriny percentuálne posúdenia podielu dodávky využiteľného tepla z ročnej výroby tepla na nasledujúci kalendárny rok podľa osobitného predpisu39) na základe predloženia kópií zmlúv o dodávke tepla alebo pri vlastnej spotrebe využiteľného tepla hodnotu tepelného príkonu na základe preukázateľných výpočtov tepelnotechnických parametrov a počet plánovaných prevádzkových hodín za rok doložené znaleckým posudkom, |
| c) údaje o |
| 1. výhrevnosti40) a zložení paliva zariadenia výrobcu elektriny a údaje o kvalite paliva podľa osobitného predpisu,41) |
| 2. množstve využiteľného tepla, chladu alebo vykonanej mechanickej práce, |
| 3. výpočtoch úspor primárnej energie a celkovej účinnosti kombinovanej výroby podľa osobitného predpisu.42) |
| (11) S návrhom ceny pre zariadenie výrobcu elektriny z dôvodu rekonštrukcie alebo modernizácie sa predkladajú aj tieto doklady preukazujúce uskutočnenie rekonštrukcie alebo modernizácie a náklady na rekonštrukciu alebo modernizáciu technologickej časti zariadenia výrobcu elektriny: |
| a) projekt a zmluva o dielo, |
| b) popis rekonštrukcie alebo modernizácie, |
| c) faktúry za realizáciu rekonštrukcie alebo modernizácie, |
| d) celkové náklady v eurách na rekonštrukciu alebo modernizáciu, |
| e) znalecký posudok preukazujúci splnenie podmienok rekonštrukcie alebo modernizácie,43) v ktorom je uvedené aj zhodnotenie primeranosti nákladov vynaložených na rekonštrukciu alebo modernizáciu. |
| (12) Cena elektriny pre zariadenie výrobcu elektriny z dôvodu rekonštrukcie alebo modernizácie podľa termínu rekonštrukcie alebo modernizácie sa určí na rok t podľa § 9 a 10 a znižuje sa podľa osobitného predpisu.44) |
| (13) Ak pri výstavbe zariadenia na výrobu elektriny bola poskytnutá podpora z podporných programov financovaných z prostriedkov štátneho rozpočtu, cena elektriny sa zníži podľa osobitného predpisu.45) |
| (14) Cena elektriny sa určí pre obvyklú mieru návratnosti investície najmenej 12 rokov a príslušnú technológiu obnoviteľného zdroja energie a vysoko účinnej kombinovanej výroby, pričom pri jej určení sa zohľadňuje |
| a) priemerný inštalovaný výkon technológie výroby elektriny podľa druhu zariadenia výrobcu elektriny, |
| b) množstvo vyrobenej elektriny vyplývajúce z priemerného inštalovaného výkonu podľa druhu zariadenia výrobcu elektriny, |
| c) investičné náklady so započítaním vlastného kapitálu a cudzieho kapitálu, |
| d) predpokladané úroky z úveru z 50 % hodnoty investície so splatnosťou úveru 10 rokov, |
| e) primeraný zisk, |
| f) rovnomerné odpisy, |
| g) osobné náklady, prevádzkové náklady a režijné náklady. |
| (15) Referenčné hodnoty investičných nákladov na obstaranie novej porovnateľnej technologickej časti zariadenia výrobcu elektriny na rok t v členení podľa jednotlivých technológií výroby elektriny podľa osobitného predpisu46) a spôsob výpočtu príplatku Pznit zohľadňujúceho vývoj ceny primárneho paliva sa uverejňujú na webovom sídle úradu najneskôr do 30. júna kalendárneho roka. |
| (16) Pre doterajších výrobcov sa cena elektriny vyrobenej z obnoviteľných zdrojov energie na účely určenia alebo schválenia ceny elektriny pre stanovenie doplatku na rok t určí na obdobie celej dĺžky podpory doplatkom podľa osobitného predpisu47) na základe cenového rozhodnutia pre rok t-1 a potvrdenia o pôvode elektriny z obnoviteľných zdrojov energie48) s výnimkou výrobcov elektriny, s nárokom na príplatok podľa § 8 ods. 1 písm. b), ktorým sa určí cena len na obdobie roku t. Pre nových výrobcov elektriny z obnoviteľných zdrojov energie uvedených do prevádzky v roku t, ktorí predložia návrh ceny na rok t v priebehu roka t a vyrábajú elektrinu spôsobom podľa osobitného predpisu,49) sa cena elektriny podľa prvej vety uplatní na základe cenového rozhodnutia na rok t. Ak existujúci výrobca elektriny nemá na rok t-1 vydané cenové rozhodnutie, cena elektriny pre stanovenie doplatku na rok t sa určí vo výške, na ktorú by mal výrobca elektriny v roku t-1 právo. |
| (17) Pre doterajších výrobcov sa cena elektriny vyrobenej vysoko účinnou kombinovanou výrobou na účely určenia alebo schválenia ceny elektriny pre stanovenie doplatku na rok t určí na obdobie celej dĺžky podpory doplatkom podľa osobitného predpisu47) na základe cenového rozhodnutia pre rok t-1 a potvrdenia o pôvode elektriny vyrobenej vysoko účinnou kombinovanou výrobou za rok t-2 s výnimkou výrobcov elektriny, s nárokom na príplatok podľa § 8 ods. 1 písm. b), ktorým sa určí cena len na obdobie roku t. Pre nových výrobcov elektriny vyrobenej vysoko účinnou kombinovanou výrobou v zariadeniach uvedených do prevádzky v roku t, ktorí predložia návrh ceny na rok t v priebehu roka t sa cena elektriny podľa prvej vety uplatní na základe cenového rozhodnutia na rok t. Ak doterajší výrobca elektriny nemá na rok t-1 vydané cenové rozhodnutie, cena elektriny pre stanovenie doplatku na rok t sa určí vo výške, na ktorú by mal výrobca elektriny v roku t-1 právo. |
| (18) Ak sa v zariadení výrobcu elektriny spoločne spaľuje biomasa alebo biokvapalina s fosílnymi palivami, cena elektriny vyrobenej z obnoviteľných zdrojov sa uplatní na množstvo elektriny určené podľa odseku 5 a zároveň vyrobené kombinovanou výrobou. Ak sa pre toto zariadenie výrobcu elektriny uplatňuje aj cena elektriny vyrobenej vysoko účinnou kombinovanou výrobou, uplatní sa najviac na množstvo elektriny vypočítané ako rozdiel celkového množstva elektriny vyrobenej kombinovanou výrobou a množstva elektriny, na ktoré sa uplatnila cena elektriny podľa prvej vety. |
| (19) Ak dôjde k zmene výrobcu elektriny, ktorý prevádzkuje zariadenie výrobcu elektriny, s návrhom ceny sa predkladá aj doklad o prevode zariadenia výrobcu elektriny z doterajšieho výrobcu elektriny na nového výrobcu elektriny, ktorým je najmä kúpna zmluva alebo nájomná zmluva. |
| § 8 |
| Cena elektriny pre stanovenie doplatku na rok t pre výrobcu elektriny, ktorý má na rok predchádzajúci roku t určenú alebo schválenú cenu elektriny pre stanovenie doplatku |
| (1) Cena elektriny pre stanovenie doplatku na rok t v eurách na jednotku množstva elektriny za elektrinu vyrobenú i-tou technológiou j-tého zariadenia výrobcu elektriny CEPSDi,jt sa pre výrobcu elektriny vypočíta podľa vzorca |
| je menej ako nula, potom CEPSDti,j = CEPSDZi,j, to neplatí pre zariadenia výrobcov elektriny uvedené do prevádzky od 1. marca 2013,
|
| kde |
| a) CEPSDi,jZ je určená alebo schválená cena elektriny pre stanovenie doplatku na rok Z predchádzajúci roku t vyrobenej i-tou technológiou j-tého zariadenia výrobcu elektriny na základe roku uvedenia zariadenia výrobcu elektriny do prevádzky alebo poslednej uplatnenej rekonštrukcie alebo modernizácie v eurách na jednotku množstva elektriny, |
| b) Pznit je príplatok50) v eurách na jednotku množstva elektriny na rok t uplatňovaný v hodnote podľa tabuľky č. 1; Pznit sa vypočíta podľa odseku 3, |
| c) rok Z je rok uvedenia zariadenia výrobcu elektriny do prevádzky alebo rok poslednej uplatnenej rekonštrukcie alebo modernizácie. |
| | Tabuľka č. 1 | Technológia
výroby elektriny | Primárne palivo | Príplatok v Pznit v eurách/MWh | | 2012 | 2013 | 2014 | 2015 | 2016 | z obnoviteľných
zdrojov energie | biomasa | | | | | | | biokvapalina | 17,75 | | | | | | bioplyn | | | | | | | biometán | | | | | | vysoko účinnou
kombinovanou
výrobou | zemný plyn | 3,77 | | | -2,72 | -2,45 | | vykurovací olej | 4,64 | | 4,28 | -0,64 | -1,35 | | hnedé uhlie | | | 0,67 | | -0,39 | | čierne uhlie | | | | | -1,16 | energeticky využiteľné plyny vznikajúce
pri hutníckej výrobe ocele | | | | | |
|
| (2) Ak má výrobca elektriny na rok predchádzajúci roku t určenú alebo schválenú cenu elektriny pre stanovenie doplatku CEPSDi,jZ a ak si uplatňuje na rok t cenu elektriny pre stanovenie doplatku na základe rekonštrukcie alebo modernizácie, táto cena elektriny pre stanovenie doplatku na rok t sa určí podľa § 7 ods. 12 alebo 13. |
| (3) Príplatok Pznit v eurách na jednotku množstva elektriny na rok t pre i-té technológie výroby elektriny s primárnymi palivami podľa tabuľky č. 1 zohľadňujúci vývoj ceny primárneho paliva i-tej technológie na výrobu elektriny z obnoviteľných zdrojov energie alebo vývoj ceny primárneho paliva z neobnoviteľného zdroja energie i-tej technológie na výrobu elektriny vysoko účinnou kombinovanou výrobou sa vypočíta podľa vzorca |
| .png)
|
| kde |
| .png)
|
| kde |
| a) NCPPit-1 je úradom určená nákupná cena primárneho paliva pre i-tú technológiu výroby elektriny v eurách na jednotku množstva v roku t-1, |
| b) QPPi1 MWh,t-1 je množstvo primárneho paliva zodpovedajúceho 1 MWh i-tej technológie výroby elektriny v jednotkách množstva na megawatthodinu v roku t-1, |
| c) VPPit-1 je úradom určená výhrevnosť primárneho paliva pre i-tú technológiu výroby elektriny v megawatthodinách na jednotku množstva v roku t-1, |
| d) NCPPit-2 je určená nákupná cena primárneho paliva pre i-tú technológiu výroby elektriny v eurách na jednotku množstva v roku t-2, |
| e) QPPi1 MWh,t-2 je množstvo primárneho paliva zodpovedajúceho 1 MWh i-tej technológie výroby elektriny v jednotkách množstva na megawatthodinu v roku t-2, |
| f) VPPit-2 je úradom určená výhrevnosť primárneho paliva pre i-tú technológiu výroby elektriny v megawatthodinách na jednotku množstva v roku t-2. |
| (4) Pznit sa uplatní na jeden rok, ak je hodnota zmeny väčšia ako 8 % zo súčinu nákupnej ceny NCPPit-2 a množstva primárneho paliva QPPi1 MWh,t-2 určených podľa odseku 3. |
| § 9 |
| Cena elektriny pre zariadenie výrobcu elektriny rekonštruované alebo modernizované pred 1. januárom 2013, uvedené do prevádzky pred 1. januárom 2013 alebo uvedené do prevádzky od 1. januára 2013 do 31. decembra 2013 |
| (1) Cena elektriny pre stanovenie doplatku sa pre zariadenia výrobcu elektriny rekonštruované alebo modernizované pred 1. januárom 2013 alebo uvedené do prevádzky pred 1. januárom 2013 a ktoré nemá ešte schválenú cenu cenovým rozhodnutím úradu určuje ako súčin ceny elektriny rovnocennej technológie zariadenia výrobcu elektriny podľa odsekov 2 a 3 a koeficientu podľa tabuľky |
| Rok uvedenia do prevádzky
alebo rok ukončenia
rekonštrukcie alebo
modernizácie zariadenia
výrobcu elektriny | 2012 | 2011 | 2010 | 2009 | 2008 | 2007 | 2006 | 2005 | 2004 | 2003 | 2002 | 2001 | 2000 | 1999 | 1998 | | Koeficient | 1,0000 | 0,9938 | 0,9876 | 0,9833 | 0,9624 | 0,9581 | 0,9537 | 0,9376 | 0,9265 | 0,9000 | 0,8793 | 0,8519 | 0,8277 | 0,8013 | 0,7683 |
|
| (2) Cena elektriny vyrobenej z obnoviteľných zdrojov energie v zariadení výrobcu elektriny uvedeného do prevádzky od 1. januára 2013 do 31. decembra 2013 sa určuje priamym určením pevnej ceny v eurách na megawatthodinu takto: |
| | a) | z vodnej energie s celkovým inštalovaným výkonom zariadenia výrobcu elektriny | | | 1. | do 1 MW vrátane | 109,80 eura/MWh, | | 2. | nad 1 MW do 5 MW vrátane | 97,98 eura/MWh, | | 3. | nad 5 MW | 61,72 eura/MWh, | | b) | zo slnečnej energie s celkovým inštalovaným výkonom zariadenia výrobcu elektriny do 100 kW,
ktoré je umiestnené na strešnej konštrukcii alebo obvodovom plášti jednej budovy spojenej
so zemou pevným základom | 119,11 eura/MWh, | | c) | z veternej energie | 79,29 eura/MWh, | | d) | z geotermálnej energie | 190,51 eura/MWh, | | e) | zo spaľovania alebo spoluspaľovania kombinovanou výrobou | | | 1. | cielene pestovanej biomasy okrem obilnej slamy | 112,24 eura/MWh, | | 2. | odpadnej biomasy ostatnej okrem obilnej slamy | 122,64 eura/MWh, | | 3. | obilnej slamy | 154,27 eura/MWh, | | 4. | biokvapaliny | 115,01 eura/MWh, | | f) | zo spoluspaľovania biologicky rozložiteľných zložiek komunálneho odpadu s fosílnymi palivami
kombinovanou výrobou; ak podiel biologicky rozložiteľnej zložky v komunálnom odpade je podľa
osobitného predpisu,51) cena sa uplatní bez podmienky výroby elektriny kombinovanou výrobou | 123,27 eura/MWh, | | g) | zo spaľovania | | | 1. | skládkového plynu alebo plynu z čističiek odpadových vôd | 84,89 eura/MWh, | | 2. | bioplynu vyrobeného anaeróbnou fermentačnou technológiou s celkovým výkonom zariadenia
do 1 MW vrátane, okrem plynu podľa bodu 1 | 134,08 eura/MWh, | | 3. | bioplynu vyrobeného anaeróbnou fermentačnou technológiou s celkovým výkonom zariadenia
nad 1 MW, okrem plynu podľa bodu 1 | 118,13 eura/MWh, | | 4. | plynu vyrobeného termochemickým splyňovaním biomasy v splyňovacom generátore | 149,87 eura/MWh, | | 5. | fermentovanej zmesi vyrobenej aeróbnou fermentáciou biologicky rozložiteľného odpadu | 144,88 eura/MWh. | |
| (3) Cena elektriny vyrobenej vysoko účinnou kombinovanou výrobou v zariadení výrobcu elektriny uvedeného do prevádzky od 1. januára 2013 do 31. decembra 2013 sa určuje priamym určením pevnej ceny v eurách na megawatthodinu takto: |
| | a) | v spaľovacej turbíne s kombinovaným cyklom | 83,06 eura/MWh, | | b) | v spaľovacej turbíne s regeneráciou tepla | 80,99 eura/MWh, | | c) | v spaľovacom motore s palivom | | | 1. | zemný plyn | 91,70 eura/MWh, | | 2. | vykurovací olej | 87,66 eura/MWh, | | 3. | zmes vzduchu a metánu | 75,52 eura/MWh, | | 4. | z katalyticky spracovaného odpadu | 149,00 eur/MWh, | | 5. | z termického štiepenia odpadov a jeho produktov | 140,00 eur/MWh, | | d) | v protitlakovej parnej turbíne alebo v kondenzačnej parnej turbíne s odberom tepla s palivom | | | 1. | zemný plyn | 81,71 eura/MWh, | | 2. | vykurovací olej | 87,73 eura/MWh, | | 3. | hnedé uhlie | 89,30 eura/MWh, | | 4. | čierne uhlie s celkovým inštalovaným výkonom zariadenia výrobcu elektriny do 50 MW vrátane | 83,16 eura/MWh, | | 5. | čierne uhlie s celkovým inštalovaným výkonom zariadenia výrobcu elektriny nad 50 MW | 79,81eura/MWh, | | 6. | komunálny odpad | 80,00 eur/MWh, | | 7. | plyn vyrobený termochemickým splyňovaním odpadu v splyňovacom generátore alebo termickým
štiepením odpadu | 114,71 eura/MWh, | | e) | v Rankinovom organickom cykle | 123,24 eura/MWh. | |
| (4) Cena elektriny podľa odseku 1 písm. b) sa na jednej budove uplatní len pre jedného výrobcu elektriny a pre jedno zariadenie výrobcu elektriny. |
| (5) Cena elektriny podľa odseku 1 písm. e) až g) sa uplatní len pre jedného výrobcu elektriny a pre jedno zariadenie výrobcu elektriny, ktoré obsahuje všetky technologické časti zariadenia výrobcu elektriny, ktorými sa vykonáva celý proces premeny energie obsiahnutej v biomase na elektrinu. |
| (6) Cena elektriny podľa odseku 2 písm. a) tretieho bodu sa uplatní pre zariadenie výrobcu elektriny uvedené do prevádzky do 28. februára 2013 a cena elektriny podľa odseku 2 písm. b) sa uplatní pre zariadenie výrobcu elektriny s inštalovaným výkonom nad 30 kW uvedené do prevádzky do 30. júna 2013. |
| § 10 |
| Cena elektriny pre zariadenie výrobcu elektriny uvedené do prevádzky v roku 2014 |
| (1) Cena elektriny vyrobenej z obnoviteľných zdrojov energie v zariadení výrobcu elektriny uvedeného do prevádzky v roku 2014 sa určuje priamym určením pevnej ceny v eurách na megawatthodinu takto: |
| | a) | z vodnej energie s celkovým inštalovaným výkonom zariadenia výrobcu elektriny | | | 1. | do 100 kW vrátane | 111,27 eura/MWh, | | 2. | nad 100 kW do 200 kW vrátane | 109,17 eura/MWh, | | 3. | nad 200 kW do 500 kW vrátane | 106,84 eura/MWh, | | 4. | nad 500 kW do 1 MW vrátane | 105,15 eura/MWh, | | 5. | nad 1 MW do 5 MW vrátane | 97,98 eura/MWh, | | b) | zo slnečnej energie s celkovým inštalovaným výkonom zariadenia výrobcu elektriny do 30 kW,
ktoré je umiestnené na strešnej konštrukcii alebo obvodovom plášti jednej budovy spojenej
so zemou pevným základom | 98,94 eura/MWh, | | c) | z veternej energie | 70,30 eura/MWh, | | d) | z geotermálnej energie | 155,13 eura/MWh, | | e) | zo spaľovania alebo spoluspaľovania kombinovanou výrobou | | | 1. | cielene pestovanej biomasy okrem obilnej slamy | 92,09 eura/MWh, | | 2. | odpadnej biomasy ostatnej okrem obilnej slamy | 100,63 eura/MWh, | | 3. | obilnej slamy | 126,10 eura/MWh, | | 4. | biokvapaliny | 94,36 eura/MWh, | | f) | zo spoluspaľovania biologicky rozložiteľných zložiek komunálneho odpadu s fosílnymi palivami
kombinovanou výrobou; ak podiel biologicky rozložiteľnej zložky v komunálnom odpade je podľa
osobitného predpisu,49) cena sa uplatní bez podmienky výroby elektriny kombinovanou výrobou | 100,49 eura/MWh, | | g) | zo spaľovania | | | 1. | skládkového plynu alebo plynu z čističiek odpadových vôd | 70,34 eura/MWh, | | 2. | biometánu získaného z bioplynu vyrobeného anaeróbnou fermentačnou technológiou s celkovým
výkonom zariadenia do 1 MW vrátane | 107,53 eura/MWh, | | 3. | bioplynu vyrobeného anaeróbnou fermentačnou technológiou s celkovým výkonom zariadenia
do 250 kW vrátane | 125,29 eura/MWh, | | 4. | bioplynu vyrobeného anaeróbnou fermentačnou technológiou s celkovým výkonom zariadenia
nad 250 kW do 500 kW vrátane | 119,41 eura/MWh, | | 5. | bioplynu vyrobeného anaeróbnou fermentačnou technológiou s celkovým výkonom zariadenia
nad 500 kW do 750 kW vrátane | 110,62 eura/MWh, | | 6. | bioplynu vyrobeného anaeróbnou fermentačnou technológiou s celkovým výkonom zariadenia
nad 750 kW | 107,26 eura/MWh, | | 7. | plynu vyrobeného termochemickým splyňovaním biomasy v splyňovacom generátore | 122,62 eura/MWh, | | 8. | fermentovanej zmesi vyrobenej aeróbnou fermentáciou biologicky rozložiteľného odpadu | 118,88 eura/MWh. | |
| (2) Cena elektriny vyrobenej vysoko účinnou kombinovanou výrobou v zariadení výrobcu elektriny uvedeného do prevádzky v roku 2014 sa určuje priamym určením pevnej ceny v eurách na megawatthodinu takto: |
| | a) | v spaľovacej turbíne s kombinovaným cyklom | 74,75 eura/MWh, | | b) | v spaľovacej turbíne s regeneráciou tepla | 72,89 eura/MWh, | | c) | v spaľovacom motore s palivom | | | 1. | zemný plyn | 82,53 eura/MWh, | | 2. | vykurovací olej | 78,89 eura/MWh, | | 3. | zmes vzduchu a metánu | 74,39 eura/MWh, | | 4. | z katalyticky spracovaného odpadu | 120,69 eura/MWh, | | 5. | z termického štiepenia odpadov a jeho produktov | 113,40 eura/MWh, | | d) | v protitlakovej parnej turbíne alebo v kondenzačnej parnej turbíne s odberom tepla s palivom | | | 1. | zemný plyn | 80,97 eura/MWh, | | 2. | vykurovací olej | 78,96 eura/MWh, | | 3. | hnedé uhlie | 80,37 eura/MWh, | | 4. | čierne uhlie s celkovým inštalovaným výkonom zariadenia výrobcu elektriny do 50 MW vrátane | 74,84 eura/MWh, | | 5. | čierne uhlie s celkovým inštalovaným výkonom zariadenia výrobcu elektriny nad 50 MW | 71,83 eura/MWh, | | 6. | komunálny odpad | 77,60 eura/MWh, | | 7. | plyn vyrobený termochemickým splyňovaním odpadu v splyňovacom generátore alebo
termickým štiepením odpadu | 103,24 eura/MWh, | | e) | spaľovanie energeticky využiteľných plynov vznikajúcich pri hutníckej výrobe ocele | 80,02 eura/MWh, | | f) | v Rankinovom organickom cykle | 118,31 eura/MWh. | |
| (3) Cena elektriny podľa odseku 1 písm. b) sa na jednej budove uplatní len pre jedného výrobcu elektriny a pre jedno zariadenie výrobcu elektriny. |
| (4) Cena elektriny podľa odseku 1 písm. e) až g) sa uplatní len pre jedného výrobcu elektriny a pre jedno zariadenie výrobcu elektriny, ktoré obsahuje všetky technologické časti zariadenia výrobcu elektriny, ktorými sa vykonáva celý proces premeny energie obsiahnutej v biomase na elektrinu. |
| (5) Výrobca elektriny technológiou podľa odseku 2 písm. c) štvrtého a piateho bodu, technológiou podľa odseku 2 písm. d) siedmeho bodu a technológiou podľa odseku 2 písm. e) predkladá spolu so žiadosťou o vydanie potvrdenia o pôvode elektriny vyrobenej vysokoúčinnou kombinovanou výrobou potvrdenie o pôvode paliva, kde uvedie názov výrobcu, chemické zloženie paliva a jeho výhrevnosť preskúšanú v akreditovanom laboratóriu podľa osobitného predpisu.52) |
| (6) Cena elektriny podľa odseku 2 písm. f) sa uplatní len v prípade, že elektrina je vyrábaná výhradne na tomto zariadení výrobcu elektriny a zároveň zariadenie výrobcu elektriny obsahuje všetky technologické časti zariadenia výrobcu elektriny, ktorými sa vykonáva celý proces premeny energie obsiahnutej v primárnom palive na elektrinu. |
| § 10a |
| Cena elektriny pre zariadenie výrobcu elektriny uvedené do prevádzky v roku 2015 |
| (1) Cena elektriny vyrobenej z obnoviteľných zdrojov energie v zariadení výrobcu elektriny uvedeného do prevádzky v roku 2015 sa určuje priamym určením pevnej ceny v eurách na megawatthodinu takto: |
| | a) | z vodnej energie s celkovým inštalovaným výkonom zariadenia výrobcu elektriny | | | 1. | do 100 kW vrátane | 111,27 eura/MWh, | | | 2. | nad 100 kW do 200 kW vrátane | 109,17 eura/MWh, | | | 3. | nad 200 kW do 500 kW vrátane | 106,84 eura/MWh, | | | 4. | nad 500 kW do 1 MW vrátane | 105,15 eura/MWh, | | | 5. | nad 1 MW do 5 MW vrátane | 97,98 eura/MWh, | | b) | zo slnečnej energie s celkovým inštalovaným výkonom zariadenia výrobcu elektriny do 30 kW, ktoré je umiestnené na strešnej konštrukcii alebo obvodovom plášti jednej budovy spojenej so zemou pevným základom | 88,89 eura/MWh, | | c) | z veternej energie | 62,49 eura/MWh, | | d) | z geotermálnej energie | 155,13 eura/MWh, | | e) | zo spaľovania alebo spoluspaľovania kombinovanou výrobou | | | 1. | cielene pestovanej biomasy okrem obilnej slamy | 92,09 eura/MWh, | | | 2. | odpadnej biomasy ostatnej okrem obilnej slamy | 96,90 eura/MWh, | | | 3. | obilnej slamy | 107,21 eura/MWh, | | | 4. | biokvapaliny | 91,79 eura/MWh, | | f) | zo spoluspaľovania biologicky rozložiteľných zložiek komunálneho odpadu s fosílnymi palivami kombinovanou výrobou; ak podiel biologicky rozložiteľnej zložky v komunálnom odpade je podľa osobitného predpisu,49) cena sa uplatní bez podmienky výroby elektriny kombinovanou výrobou | 100,49 eura/MWh, | | g) | zo spaľovania | | | 1. | skládkového plynu alebo plynu z čističiek odpadových vôd | 70,34 eura/MWh, | | | 2. | biometánu získaného z bioplynu vyrobeného anaeróbnou fermentačnou technológiou s celkovým výkonom zariadenia do 1 MW vrátane | 107,53 eura/MWh, | | | 3. | bioplynu vyrobeného anaeróbnou fermentačnou technológiou s celkovým výkonom zariadenia do 250 kW vrátane | 120,49 eura/MWh, | | | 4. | bioplynu vyrobeného anaeróbnou fermentačnou technológiou s celkovým výkonom zariadenia nad 250 kW do 500 kW vrátane | 110,00 eur/MWh, | | | 5. | bioplynu vyrobeného anaeróbnou fermentačnou technológiou s celkovým výkonom zariadenia nad 500 kW do 750 kW vrátane | 102,95 eura/MWh, | | | 6. | bioplynu vyrobeného anaeróbnou fermentačnou technológiou s celkovým výkonom zariadenia nad 750 kW | 100,23 eura/MWh, | | | 7. | plynu vyrobeného termochemickým splyňovaním biomasy v splyňovacom generátore | 99,21 eura/MWh, | | | 8. | fermentovanej zmesi vyrobenej aeróbnou fermentáciou biologicky rozložiteľného odpadu | 95,50 eura/MWh. |
|
| (2) Cena elektriny vyrobenej vysoko účinnou kombinovanou výrobou v zariadení výrobcu elektriny uvedeného do prevádzky v roku 2015 sa určuje priamym určením pevnej ceny v eurách na megawatthodinu takto: |
| | a) | v spaľovacej turbíne s kombinovaným cyklom | 74,75 eura/MWh, | | b) | v spaľovacej turbíne s regeneráciou tepla | 72,89 eura/MWh, | | c) | v spaľovacom motore s palivom | | 1. | zemný plyn | 82,53 eura/MWh, | | 2. | vykurovací olej | 78,89 eura/MWh, | | 3. | zmes vzduchu a metánu | 74,39 eura/MWh, | | 4. | z katalyticky spracovaného odpadu | 99,82 eura/MWh, | | 5. | z termického štiepenia odpadov a jeho produktov | 98,40 eura/MWh, | | d) | v protitlakovej parnej turbíne alebo v kondenzačnej parnej turbíne s odberom tepla s palivom | | 1. | zemný plyn | 80,97 eura/MWh, | | 2. | vykurovací olej | 78,96 eura/MWh, | | 3. | hnedé uhlie | 80,37 eura/MWh, | | 4. | čierne uhlie s celkovým inštalovaným výkonom zariadenia výrobcu elektriny do 50 MW vrátane | 74,84 eura/MWh, | | 5. | čierne uhlie s celkovým inštalovaným výkonom zariadenia výrobcu elektriny nad 50 MW | 71,83 eura/MWh, | | 6. | komunálny odpad | 77,60 eura/MWh, | | 7. | plyn vyrobený termochemickým splyňovaním odpadu v splyňovacom generátore alebo termickým štiepením odpadu | 89,05 eura/MWh, | | e) | spaľovanie energeticky využiteľných plynov vznikajúcich pri hutníckej výrobe ocele | 80,02 eura/MWh, | | f) | v Rankinovom organickom cykle | 98,31 eura/MWh, |
|
| (3) Cena elektriny podľa odseku 1 písm. b) sa na jednej budove uplatní len pre jedného výrobcu elektriny a pre jedno zariadenie výrobcu elektriny. |
| (4) Cena elektriny podľa odseku 1 písm. e) až g) sa uplatní len pre jedného výrobcu elektriny a pre jedno zariadenie výrobcu elektriny, ktoré obsahuje všetky technologické časti zariadenia výrobcu elektriny, ktorými sa vykonáva celý proces premeny energie obsiahnutej v biomase na elektrinu. |
| (5) Pri technológii podľa odseku 2 písm. c) štvrtého bodu a piateho bodu, technológii podľa odseku 2 písm. d) siedmeho bodu a technológii podľa odseku 2 písm. e) sa spolu so žiadosťou výrobcu elektriny o vydanie potvrdenia o pôvode elektriny vyrobenej vysoko účinnou kombinovanou výrobou predkladá aj potvrdenie o pôvode paliva, v ktorom sa uvedie názov výrobcu paliva, chemické zloženie paliva a jeho výhrevnosť preskúšané v akreditovanom laboratóriu podľa osobitného predpisu.52) |
| (6) Cena elektriny podľa odseku 2 písm. f) sa uplatní, ak je elektrina vyrábaná výhradne v tomto zariadení výrobcu elektriny a zároveň zariadenie výrobcu elektriny obsahuje všetky technologické časti zariadenia výrobcu elektriny, ktorými sa vykonáva celý proces premeny energie obsiahnutej v primárnom palive na elektrinu. |
| § 10b |
| Cena elektriny pre zariadenie výrobcu elektriny uvedené do prevádzky od 1. januára 2016 |
| (1) Cena elektriny vyrobenej z obnoviteľných zdrojov energie v zariadení výrobcu elektriny uvedeného do prevádzky od 1. januára 2016 sa určuje priamym určením pevnej ceny v eurách na megawatthodinu takto: |
| | a) | z vodnej energie s celkovým inštalovaným výkonom zariadenia výrobcu elektriny | | 1. | do 100 kW vrátane | 111,27 eura/MWh, | | 2. | nad 100 kW do 200 kW vrátane | 109,17 eura/MWh, | | 3. | nad 200 kW do 500 kW vrátane | 106,84 eura/MWh, | | 4. | nad 500 kW do 1 MW vrátane | 105,15 eura/MWh, | | 5. | nad 1 MW do 5 MW vrátane | 97,98 eura/MWh, | | b) | zo slnečnej energie s celkovým inštalovaným výkonom zariadenia výrobcu elektriny do 30 kW, ktoré je umiestnené na strešnej konštrukcii alebo obvodovom plášti jednej budovy spojenej so zemou pevným základom | 88,89 eura/MWh, | | c) | z veternej energie | 62,49 eura/MWh, | | d) | z geotermálnej energie | 155,13 eura/MWh, | | e) | zo spaľovania alebo spoluspaľovania kombinovanou výrobou | | 1. | cielene pestovanej biomasy okrem obilnej slamy | 92,09 eura/MWh, | | 2. | odpadnej biomasy ostatnej okrem obilnej slamy | 96,90 eura/MWh, | | 3. | obilnej slamy | 107,21 eura/MWh, | | 4. | biokvapaliny | 91,79 eura/MWh, | | f) | zo spoluspaľovania biologicky rozložiteľných zložiek komunálneho odpadu s fosílnymi palivami kombinovanou výrobou; ak podiel biologicky rozložiteľnej zložky v komunálnom odpade je podľa osobitného predpisu,49) cena sa uplatní bez podmienky výroby elektriny kombinovanou výrobou | 100,49 eura/MWh, | | g) | zo spaľovania | | 1. | skládkového plynu alebo plynu z čističiek odpadových vôd | 70,34 eura/MWh, | | 2. | biometánu získaného z bioplynu vyrobeného anaeróbnou fermentačnou technológiou s celkovým výkonom zariadenia do 1 MW vrátane | 107,53 eura/MWh, | | 3. | bioplynu vyrobeného anaeróbnou fermentačnou technológiou s celkovým výkonom zariadenia do 250 kW vrátane | 120,49 eura/MWh, | | 4. | bioplynu vyrobeného anaeróbnou fermentačnou technológiou s celkovým výkonom zariadenia nad 250 kW do 500 kW vrátane | 110,00 eur/MWh, | | 5. | bioplynu vyrobeného anaeróbnou fermentačnou technológiou s celkovým výkonom zariadenia nad 500 kW do 750 kW vrátane | 102,95 eura/MWh, | | 6. | bioplynu vyrobeného anaeróbnou fermentačnou technológiou s celkovým výkonom zariadenia nad 750 kW | 100,23 eura/MWh, | | 7. | plynu vyrobeného termochemickým splyňovaním biomasy v splyňovacom generátore | 99,21 eura/MWh, | | 8. | fermentovanej zmesi vyrobenej aeróbnou fermentáciou biologicky rozložiteľného odpadu | 95,50 eura/MWh. |
|
| (2) Cena elektriny vyrobenej vysoko účinnou kombinovanou výrobou v zariadení výrobcu elektriny uvedeného do prevádzky od 1. januára 2016 sa určuje priamym určením pevnej ceny v eurách na megawatthodinu takto: |
| | a) | v spaľovacej turbíne s kombinovaným cyklom | 74,75 eura/MWh, | | b) | v spaľovacej turbíne s regeneráciou tepla | 74,69 eura/MWh, | | c) | v spaľovacom motore s palivom | | 1. | zemný plyn | 80,26 eura/MWh, | | 2. | vykurovací olej | 78,89 eura/MWh, | | 3. | zmes vzduchu a metánu | 74,39 eura/MWh, | | 4. | z katalyticky spracovaného odpadu | 99,82 eura/MWh, | | 5. | z termického štiepenia odpadov a jeho produktov | 98,40 eura/MWh, | | d) | v protitlakovej parnej turbíne alebo v kondenzačnej parnej turbíne s odberom tepla s palivom | | 1. | zemný plyn | 79,76 eura/MWh, | | 2. | vykurovací olej | 78,96 eura/MWh, | | 3. | hnedé uhlie | 80,37 eura/MWh, | | 4. | čierne uhlie s celkovým inštalovaným výkonom zariadenia výrobcu elektriny do 50 MW vrátane | 74,84 eura/MWh, | | 5. | čierne uhlie s celkovým inštalovaným výkonom zariadenia výrobcu elektriny nad 50 MW | 71,83 eura/MWh, | | 6. | komunálny odpad | 77,60 eura/MWh, | | 7. | plyn vyrobený termochemickým splyňovaním odpadu v splyňovacom generátore alebo termickým štiepením odpadu | 89,05 eura/MWh, | | e) | spaľovanie energeticky využiteľných plynov vznikajúcich pri hutníckej výrobe ocele | 80,02 eura/MWh, | | f) | v Rankinovom organickom cykle | 98,31 eura/MWh, |
|
| (3) Cena elektriny podľa odseku 1 písm. b) sa na jednej budove uplatní len pre jedného výrobcu elektriny a pre jedno zariadenie výrobcu elektriny. |
| (4) Cena elektriny podľa odseku 1 písm. e) až g) sa uplatní len pre jedného výrobcu elektriny a pre jedno zariadenie výrobcu elektriny, ktoré obsahuje všetky technologické časti zariadenia výrobcu elektriny, ktorými sa vykonáva celý proces premeny energie obsiahnutej v biomase na elektrinu. |
| (5) Pri technológii podľa odseku 2 písm. c) štvrtého bodu a piateho bodu, technológii podľa odseku 2 písm. d) siedmeho bodu a technológii podľa odseku 2 písm. e) sa spolu so žiadosťou výrobcu elektriny o vydanie potvrdenia o pôvode elektriny vyrobenej vysoko účinnou kombinovanou výrobou predkladá aj potvrdenie o pôvode paliva, v ktorom sa uvedie názov výrobcu paliva, chemické zloženie paliva a jeho výhrevnosť preskúšané v akreditovanom laboratóriu podľa osobitného predpisu.52) |
| (6) Cena elektriny podľa odseku 2 písm. f) sa uplatní, ak je elektrina vyrábaná výhradne v tomto zariadení výrobcu elektriny a zároveň zariadenie výrobcu elektriny obsahuje všetky technologické časti zariadenia výrobcu elektriny, ktorými sa vykonáva celý proces premeny energie obsiahnutej v primárnom palive na elektrinu. |
| § 11 |
| Výroba elektriny z domáceho uhlia |
| (1) Súčasťou návrhu ceny sú |
| a) návrh cien alebo taríf za výrobu elektriny z domáceho uhlia, vrátane ich štruktúry pre rok t, ktoré sa budú uplatňovať pre účastníkov trhu s elektrinou, vrátane podmienok ich pridelenia, |
| b) údaje potrebné na preverenie cien za rok t-2, |
| c) plán investícií a plán odpisov za regulovanú činnosť v rokoch t, t+1 a t+2, |
| d) výpočty a údaje podľa tohto paragrafu, týkajúce sa výroby elektriny z domáceho uhlia, |
| e) znaleckým posudkom potvrdené údaje preukazujúce inštalovaný výkon zariadení na výrobu elektriny, ktoré môžu vyrábať elektrinu spaľovaním domáceho uhlia s uvedením potenciálneho množstva elektriny, ktorú je možné na tomto zariadení vyrobiť, |
| f) doklad preukazujúci schválenie návrhu ceny najvyšším orgánom obchodnej spoločnosti alebo družstva alebo spoločníkmi verejnej obchodnej spoločnosti alebo spoločníkmi komanditnej spoločnosti regulovaného subjektu, |
| g) potvrdenie nie staršie ako tri mesiace preukazujúce, že voči regulovanému subjektu nie sú evidované |
| 1. daňové nedoplatky podľa osobitného predpisu26) správcom dane, |
| 2. nedoplatky poistného na zdravotné poistenie, |
| 3. nedoplatky na poistnom na sociálne poistenie a povinných príspevkoch na starobné dôchodkové sporenie, |
| h) údaje o inštalovanom výkone technologického zariadenia, ktoré je určené na výrobu elektriny z domáceho uhlia, |
| i) ďalšie podklady potrebné na správne posúdenie návrhu ceny. |
| (2) Podklady podľa odseku 1 písm. a), b) a d) sa predkladajú aj v elektronickej podobe. |
| (3) Ustanovenia o návrhu ceny sa primerane vzťahujú aj na návrh na zmenu cenového rozhodnutia. |
| (4) Na základe rozhodnutia ministerstva hospodárstva o uložení povinnosti vo všeobecnom hospodárskom záujme vyrábať elektrinu z domáceho uhlia sa u výrobcu elektriny uplatní za každú megawatthodinu elektriny dodanej do sústavy, ktorá bola preukázateľne vyrobená z domáceho uhlia, pevná cena DOPt v eurách za megawatthodinu vypočítaná podľa vzorca |
| .png)
|
| kde |
| a) VNt sú plánované schválené alebo určené variabilné náklady na výrobu elektriny z domáceho uhlia v eurách na rok t; VNt sa vypočítajú podľa vzorca |
| .png)
|
| kde |
| 1. NHU,t sú len ekonomicky oprávnené plánované náklady na nákup domáceho hnedého uhlia a náklady na obstaranie mazutu, ktoré zodpovedajú množstvu mazutu, ktorého energetický obsah zodpovedá najviac 1 % energetického obsahu domáceho hnedého uhlia určeného na základe jeho skutočnej výhrevnosti, |
| 2. NEK,t sú ekonomicky oprávnené plánované náklady na nákup emisných kvót, |
| 3. NOVN,t sú ekonomicky oprávnené plánované náklady v súlade s § 4 ods. 1 písm. d), |
| b) FNt sú plánované schválené alebo určené fixné náklady bez odpisov nových zariadení na výrobu elektriny z domáceho uhlia v eurách na rok t; najviac vo výške podľa vzorca |
| .png)
|
| kde |
| 1. FNvych je schválená alebo určená východisková hodnota fixných nákladov maximálne do 37 300 000 eur, |
| 2. JPIt je aritmetický priemer indexov jadrovej inflácie za obdobie od júla roku t-2 do júna roku t-1, zverejnených štatistickým úradom, |
| 3. X je faktor efektivity v každom roku regulačného obdobia, ktorého hodnota je 3,5; ak je hodnota rozdielu JPIt a X nižšia ako 0, na účely výpočtu pevnej ceny na výrobu elektriny z domáceho uhlia na rok t sa hodnota rozdielu rovná 0, |
| 4. kvyužitia je koeficient, ktorý sa vypočíta podľa vzorca |
| .png)
|
| kde |
| Qvt je plánované množstvo elektriny vyrobené z hnedého uhlia na základe plnenia povinnosti vo všeobecnom hospodárskom záujme, |
| Qp je projektované množstvo elektriny, ktoré môže zdroj vyrobiť z hnedého uhlia, |
| c) ONZt sú plánované schválené alebo určené odpisy nových zariadení na rok t v eurách; faktor ONZt sa na rok 2012 rovná nule, |
| d) PZt je plánovaný primeraný zisk regulovaného subjektu v eurách na rok t určený podľa vzorca |
| .png)
|
| kde |
| WACC je miera výnosnosti regulačnej bázy aktív na regulačné obdobie rokov 2012 až 2016 určená podľa § 5 ods. 2 a 3, |
| e) VEt sú plánované výnosy z dodávky vyrobenej elektriny z domáceho uhlia v eurách na rok t vypočítané podľa vzorca |
| .png)
|
| kde |
| 1. QVt je plánované množstvo elektriny vyrobenej z domáceho uhlia v jednotkách množstva elektriny na rok t, |
| 2. QTt je plánované množstvo vlastnej spotreby elektriny pri výrobe elektriny z domáceho uhlia v jednotkách množstva elektriny na rok t, |
| 3. QREt,KL je plánované množstvo dodávky kladnej regulačnej elektriny vyrobenej z domáceho uhlia v jednotkách množstva elektriny na rok t, |
| 4. CEt je plánovaná vážená priemerná cena celkovej dodávky elektriny, minimálne však vo výške ceny elektriny na straty podľa osobitného predpisu,53) okrem dodávky regulačnej elektriny regulovaného subjektu v eurách na jednotku množstva elektriny na rok t, |
| 5. CREt,KL je plánovaná vážená priemerná cena dodávky kladnej regulačnej elektriny vyrobenej z domáceho uhlia v eurách na jednotku množstva elektriny na rok t, |
| 6. QREt,ZA je plánované množstvo dodávky zápornej regulačnej elektriny poskytnutej zariadením na výrobu elektriny z domáceho uhlia v jednotkách množstva elektriny na rok t, |
| 7. CREt,ZA je plánovaná vážená priemerná cena dodávky zápornej regulačnej elektriny poskytnutej zariadením na výrobu elektriny z domáceho uhlia v eurách na jednotku množstva elektriny na rok t, |
| f) VPSt je plánovaný výnos v eurách z poskytovania podporných služieb zariadením na výrobu elektriny z domáceho uhlia na rok t, |
| g) QDEt je elektrina vyrobená z domáceho uhlia v jednotkách množstva elektriny dodaná dodávateľom elektriny podľa odseku 1, |
| h) KDUt je faktor vyrovnania nákladov a výnosov výroby elektriny z domáceho uhlia regulovaného subjektu v eurách na rok t vypočítaný podľa odseku 5. |
| (5) Faktor vyrovnania nákladov a výnosov výroby elektriny z domáceho uhlia KDUt v eurách na rok t sa vypočíta podľa vzorca |
| .png)
|
| kde |
| a) SVNt-2 sú skutočné schválené alebo určené variabilné náklady na výrobu elektriny z domáceho uhlia v eurách na rok t-2 vrátane nákladov na nákup emisných kvót určených podľa oficiálneho kurzového lístka zverejneného burzou EEX na jej webovom sídle, za produkt EU Emission Allowances-Spot Market v eurách na tony CO2 za obdobie od 1. januára roku t-2 do 31. decembra roku t-2, |
| b) VNt-2 sú plánované schválené alebo určené variabilné náklady na výrobu elektriny z domáceho uhlia v eurách na rok t-2, |
| c) SFNt-2 sú skutočné schválené alebo určené fixné náklady na výrobu elektriny z domáceho uhlia v eurách na rok t-2, |
| d) FNt-2 sú plánované schválené alebo určené fixné náklady na výrobu elektriny z domáceho uhlia v eurách na rok t-2, |
| e) SONZt-2 sú skutočné schválené alebo určené odpisy nových zariadení na rok t-2 v eurách; SONZt-2 sa na účely výpočtu KDUt na roky t = 2012, 2013 a 2014 rovná nule, |
| f) ONZt-2 sú plánované schválené alebo určené odpisy nových zariadení na rok t-2 v eurách; ONZt-2 sa na účely výpočtu KDUt na roky t = 2012, 2013 a 2014 rovná nule, |
| g) SPZt-2 je skutočný primeraný zisk regulovaného subjektu v eurách na rok t-2 určený podľa vzorca |
| .png)
|
| kde |
| WACC je miera výnosnosti regulačnej bázy aktív na regulačné obdobie rokov 2012 až 2016 určená podľa § 5 ods. 2 a 3, |
| h) PZt-2 je plánovaný primeraný zisk regulovaného subjektu v eurách na rok t-2 určený podľa vzorca |
| .png)
|
| i) SVEt-2 sú skutočné výnosy z dodávky vyrobenej elektriny z domáceho uhlia v eurách na rok t-2 vypočítané podľa vzorca |
| .png)
|
| kde |
| 1. SQVt-2 je skutočné množstvo elektriny vyrobenej z domáceho uhlia v jednotkách množstva elektriny na rok t-2, |
| 2. SQTt-2 je skutočné množstvo vlastnej spotreby elektriny pri výrobe elektriny z domáceho uhlia v jednotkách množstva elektriny na rok t-2, |
| 3. SQREt-2,KL je skutočné množstvo dodávky kladnej regulačnej elektriny vyrobenej z domáceho uhlia v jednotkách množstva elektriny na rok t-2, |
| 4. SCEt-2 je skutočná vážená priemerná cena celkovej dodávky elektriny okrem dodávky regulačnej elektriny regulovaného subjektu v eurách na jednotku množstva elektriny na rok t-2, od obdobia t-2 rovný roku 2014 minimálne vo výške ceny elektriny na straty podľa osobitného predpisu,52) |
| 5. SCREt-2,KL je skutočná vážená priemerná cena dodávky kladnej regulačnej elektriny vyrobenej z domáceho uhlia v eurách na jednotku množstva elektriny na rok t-2, |
| 6. SQREt-2,ZA je skutočné množstvo dodávky zápornej regulačnej elektriny poskytnutej zariadením na výrobu elektriny z domáceho uhlia v jednotkách množstva elektriny na rok t-2, |
| 7. SCREt-2,ZA je skutočná vážená priemerná cena dodávky zápornej regulačnej elektriny poskytnutej zariadením na výrobu elektriny z domáceho uhlia v eurách na jednotku množstva elektriny na rok t-2, |
| j) VEt-2 sú plánované výnosy z dodávky vyrobenej elektriny z domáceho uhlia v eurách na rok t-2 vypočítané podľa vzorca |
| .png)
|
| kde |
| 1. QVt-2 je plánované množstvo elektriny vyrobenej z domáceho uhlia v jednotkách množstva elektriny na rok t-2, |
| 2. QTt-2 je plánované množstvo vlastnej spotreby elektriny pri výrobe elektriny z domáceho uhlia v jednotkách množstva elektriny na rok t-2, |
| 3. QREt-2,KL je plánované množstvo dodávky kladnej regulačnej elektriny vyrobenej z domáceho uhlia v jednotkách množstva elektriny na rok t-2, |
| 4. CEt-2 je plánovaná vážená priemerná cena celkovej dodávky elektriny okrem dodávky regulačnej elektriny regulovaného subjektu v eurách na jednotku množstva elektriny na rok t-2, od obdobia t-2 rovný roku 2014 minimálne vo výške ceny elektriny na straty podľa osobitného predpisu,52) |
| 5. CREt-2,KL je plánovaná vážená priemerná cena dodávky kladnej regulačnej elektriny vyrobenej z domáceho uhlia v eurách na jednotku množstva elektriny na rok t-2, |
| 6. QREt-2,ZA je plánované množstvo dodávky zápornej regulačnej elektriny poskytnutej zariadením na výrobu elektriny z domáceho uhlia v jednotkách množstva elektriny na rok t-2, |
| 7. CREt-2,ZA je plánovaná vážená priemerná cena dodávky zápornej regulačnej elektriny poskytnutej zariadením na výrobu elektriny z domáceho uhlia v eurách na jednotku množstva elektriny na rok t-2, |
| k) SVPSt-2 je skutočný výnos v eurách z poskytovania podporných služieb zariadením na výrobu elektriny z domáceho uhlia na rok t-2, |
| l) VPSt-2 je plánovaný výnos v eurách z poskytovania podporných služieb zariadením na výrobu elektriny z domáceho uhlia na rok t-2, |
| m) KTPSvt je korekcia výnosov z platieb na základe tarify za prevádzkovanie systému výrobcu elektriny, ktorý na základe rozhodnutia ministerstva hospodárstva o uložení povinnosti vo všeobecnom hospodárskom záujme vyrába v roku t elektrinu z domáceho uhlia v eurách v roku t-2; pre roky 2013 až 2015 sa rovná nule a pre roky 2016 a nasledujúce sa vypočíta podľa vzorca |
| .png)
|
| kde |
| 1. TPSvt-2 je tarifa za prevádzkovanie systému určená rozhodnutím úradu pre výrobcu elektriny, ktorý na základe rozhodnutia ministerstva hospodárstva o uložení povinnosti vo všeobecnom hospodárskom záujme vyrába v roku t elektrinu z domáceho uhlia, v eurách na jednotku množstva elektriny na rok t-2, vypočítaná podľa § 18 ods. 4, |
| 2. QSKStpst-2 je celková skutočná koncová spotreba elektriny na vymedzenom území na rok t-2, na ktorú sa uplatňujú tarify za prevádzkovanie systému, |
| 3. QSvdt-2 je celkový skutočný objem elektriny v jednotkách množstva elektriny v roku t-2 odobratej koncovými odberateľmi elektriny priamo pripojenými do prenosovej sústavy s dobou ročného využitia maxima v roku t-4 vyššou ako 6800 hodín a súčasne pomernou odchýlkou subjektu zúčtovania menšou ako 0,025; dobou ročného využitia maxima sa rozumie podiel celkového ročného odobratého množstva elektriny v roku t-4 a rezervovanej kapacity určenej ako aritmetický priemer mesačných maxím štvrťhodinového výkonu za mesiace november roku t-6 až február roku t-5, |
| 4. Kvdt-2 je koeficient zvýhodnenia odberového diagramu pre individuálne sadzby taríf koncových odberateľov elektriny priamo pripojených do prenosovej sústavy na rok t-2, ktorého hodnota je 0,95, |
| 5. QPKStpst-2 je celková plánovaná koncová spotreba elektriny na vymedzenom území na rok t-2, na ktorú sa uplatňujú tarify za prevádzkovanie systému, |
| 6. QPvdt-2 je celkový plánovaný objem elektriny v jednotkách množstva elektriny v roku t-2 odobratej koncovými odberateľmi elektriny priamo pripojenými do prenosovej sústavy s dobou ročného využitia maxima v roku t-4 vyššou ako 6800 hodín a súčasne pomernou odchýlkou subjektu zúčtovania menšou ako 0,025; dobou ročného využitia maxima sa rozumie podiel celkového ročného preneseného množstva elektriny v roku t-4 a rezervovanej kapacity určenej ako aritmetický priemer mesačných maxím štvrťhodinového výkonu za mesiace november roku t-6 až február roku t-5. |
| Tarifa za prevádzkovanie systému |
| § 12 |
| Spôsob výpočtu tarify za prevádzkovanie systému, postup a podmienky uplatňovania tarify |
| (1) Tarifa za prevádzkovanie systému TPSt sa určí ako podiel plánovaných nákladov na prevádzkovanie systému vypočítaných podľa odseku 2 a celkovej plánovanej koncovej spotreby elektriny na vymedzenom území,54) na ktorú sa uplatňujú tarify za prevádzkovanie systému, a vypočíta sa podľa vzorca |
| .png)
|
| kde |
| a) NPSt sú plánované náklady na prevádzkovanie systému, |
| b) QPKStpst je celková plánovaná koncová spotreba elektriny na vymedzenom území na rok t, na ktorú sa uplatňujú tarify za prevádzkovanie systému, |
| c) QPvdt je celkový plánovaný objem elektriny v jednotkách množstva elektriny v roku t odobratej koncovými odberateľmi elektriny priamo pripojenými do prenosovej sústavy s dobou ročného využitia maxima v roku t-2 vyššou ako 6800 hodín a súčasne pomernou odchýlkou subjektu zúčtovania menšou ako 0,025; dobou ročného využitia maxima sa rozumie podiel celkového ročného preneseného množstva elektriny v roku t-2 a rezervovanej kapacity určenej ako aritmetický priemer mesačných maxím štvrťhodinového výkonu za mesiace november roku t-4 až február roku t-3; splnenie podmienok zvýhodnenia odberového diagramu na rok t sa preukazuje znaleckým posudkom, ktorý sa predkladá prevádzkovateľovi prenosovej sústavy, organizátorovi krákodobého trhu s elektrinou a úradu, a to tými koncovými odberateľmi priamo pripojenými do prenosovej sústavy, u ktorých je predpoklad splnenia týchto podmienok v roku t, |
| d) Kvdt je koeficient zvýhodnenia odberového diagramu pre individuálne sadzby taríf koncových odberateľov elektriny priamo pripojených do prenosovej sústavy na rok t, ktorého hodnota je 0,95. |
| (2) Plánované náklady na prevádzkovanie systému sa vypočítajú podľa vzorca |
| .png)
|
| kde |
| a) DOPt je pevná cena elektriny vyrobenej z domáceho uhlia v eurách za megawatthodinu, |
| b) QDEt je elektrina vyrobená z domáceho uhlia v jednotkách množstva elektriny dodaná dodávateľom elektriny, |
| c) Nozekvt sú celkové plánované náklady na nákup elektriny vyrobenej z obnoviteľných zdrojov energie a vysoko účinnou kombinovanou výrobou prevádzkovateľa sústavy v roku t, |
| d) PNOTt sú schválené alebo určené plánované náklady v eurách zohľadňujúce alikvotnú časť nákladov na organizovanie a vyhodnotenie krátkodobého trhu s elektrinou v eurách na rok t, |
| e) Noktet sú náklady na výkon ostatných činností organizátora krátkodobého trhu s elektrinou v roku t, |
| f) KPSt je korekcia v eurách na rok t zohľadňujúca náklady a výnosy prevádzkovateľa prenosovej sústavy z platieb za prevádzkovanie systému v roku t-2. |
| (3) Celkové plánované náklady na nákup elektriny vyrobenej z obnoviteľných zdrojov energie a vysoko účinnou kombinovanou výrobou prevádzkovateľa sústavy v roku t sa vypočítajú podľa vzorca |
| .png)
|
| kde |
| | a) NDOPit | sú plánované náklady na doplatok pre výrobcov elektriny z obnoviteľných zdrojov energie a vysoko účinnou kombinovanou výrobou vynaložené i-tým prevádzkovateľom regionálnej distribučnej sústavy v roku t, ktoré sa vypočítajú podľa vzorca |
|
| .png)
|
| kde |
| | 1. PQDOPjt | je plánované množstvo elektriny, na ktoré možno uplatniť doplatok, vyrobenej v roku t v j-tom zariadení na výrobu elektriny výrobcov elektriny z obnoviteľných zdrojov energie a vysoko účinnou kombinovanou výrobou, ktorí sú pripojení do i-tej regionálnej distribučnej sústavy alebo na vymedzenom území ktorej sa nachádzajú, v jednotkách množstva elektriny, | | 2. CEPSDOPjt | je cena elektriny pre stanovenie doplatku pre zariadenie na výrobu elektriny výrobcov elektriny z obnoviteľných zdrojov energie a vysoko účinnou kombinovanou výrobou v eurách na jednotku množstva elektriny na rok t, | | 3. ACESTRt | je cena elektriny na straty podľa osobitného predpisu55) určená ako aritmetický priemer cien elektriny základného pásma na účely pokrytia strát prevádzkovateľov regionálnych distribučných sústav bez nákladov na odchýlku; výška ceny elektriny základného pásma na účely pokrytia strát prevádzkovateľa regionálnej distribučnej sústavy v eurách na jednotku množstva elektriny na rok t je vypočítaná podľa § 28 ods. 3 písm. b) prvého bodu, | | b) Vpprekit | je plánovaný výnos za predaj elektriny prevyšujúcej potreby pokrytia strát i-tým prevádzkovateľom regionálnej distribučnej sústavy v roku t, ktorý sa vypočíta podľa vzorca |
|
| .png)
|
| kde |
| | 1. PQSTRprekti,j | je plánované množstvo elektriny v jednotkách množstva elektriny v j-tej hodine roku t prekúpené i-tým prevádzkovateľom regionálnej distribučnej sústavy v súvislosti s odberom elektriny i-tého prevádzkovateľa regionálnej distribučnej sústavy zo zariadení výrobcov elektriny s právom na podporu na účely pokrytia strát elektriny v distribučnej sústave; PQSTRprekti,j sa vypočíta ako rozdiel v j-tej hodine roku t plánovaného diagramu na pokrytie strát elekriny v i-tej regionálnej distribučnej sústave a plánovaného diagramu odberu elektriny i-tého prevádzkovateľa regionálnej distribučnej sústavy zo zariadení výrobcov elektriny s právom na podporu, ak je tento rozdiel kladný, PQSTRprekti,j sa rovná nule, | | 2. PCTRHjt | je plánovaná určená cena elektriny v eurách na jednotku množstva elektriny na rok t v j-tej hodine roku t; PCTRHjt sa vypočíta pre každú hodinu každého dňa na rok t ako aritmetický priemer cien elektriny príslušných hodín v dňoch v období od 1. apríla roku t – 1 do 30. septembra roku t – 1 pri dennom obchodovaní v obchodnej oblasti, v rámci ktorej je denný trh s elektrinou organizovaný organizátorom krátkodobého trhu s elektrinou; od 1. marca 2013 je táto cena minimálne vo výške ceny elektriny na straty podľa osobitného predpisu,55) | | c) Ktpsit–2 | je korekcia nákladov vynaložených na nákup elektriny od výrobcov elektriny z obnoviteľných zdrojov energie a vysoko účinnou kombinovanou výrobou vynaložené prevádzkovateľmi regionálnych distribučných sústav v roku t – 2, | | d) Krdsit–2 | je korekcia výnosov z platieb na základe tarify za prevádzkovanie systému prevádzkovateľov regionálnych distribučných sústav v roku t – 2, | | e) K2012,2013 | je korekcia nákladov prevádzkovateľa regionálnej distribučnej sústavy súvisiacich s prevzatím zodpovednosti za odchýlku za zariadenia na výrobu elektriny z obnoviteľných zdrojov energie a vysoko účinnej kombinovanej výroby elektriny a tepla, nákladov súvisiacich s dokupom elektriny, nákladov a výnosov súvisiacich s tarifou za prevádzkovanie systému fakturovanej odberateľom a samovýrobcom za roky 2012 a 2013, pre ostatné roky je rovná 0. |
|
| (4) Korekcia nákladov vynaložených na prevádzkovanie systému v roku t sa vypočíta podľa vzorca |
| .png)
|
| kde |
| a) KDOPit-2 je korekcia nákladov na doplatok pre výrobcov elektriny z obnoviteľných zdrojov energie a vysoko účinnou kombinovanou výrobou vynaložené i-tým prevádzkovateľom regionálnej distribučnej sústavy v roku t-2, |
| b) Kpprekit-2 je korekcia výnosu získaného za predaj elektriny prevyšujúcej potreby pokrytia strát i-tým prevádzkovateľom regionálnej distribučnej sústavy v roku t-2. |
| (5) Korekcia nákladov na doplatok pre výrobcov elektriny z obnoviteľných zdrojov energie a vysoko účinnou kombinovanou výrobou vynaložené i-tým prevádzkovateľom regionálnej distribučnej sústavy v roku t sa vypočíta podľa vzorca |
| .png)
|
| kde |
| a) SQDOPi,jt-2 je skutočné množstvo elektriny, na ktoré je možné uplatniť doplatok, vyrobenej v j-tom zariadení na výrobu elektriny výrobcov z obnoviteľných zdrojov energie a vysoko účinnou kombinovanou výrobou, ktorí sú pripojení do i-tej regionálnej distribučnej sústavy alebo na vymedzenom území ktorej sa nachádzajú v jednotkách množstva elektriny v roku t-2, |
| b) PQDOPi,jt-2 je plánované množstvo elektriny, na ktoré je možné uplatniť doplatok, vyrobenej v j-tom zariadení na výrobu elektriny výrobcov z obnoviteľných zdrojov energie a vysoko účinnou kombinovanou výrobou, ktorí sú pripojení do i-tej regionálnej distribučnej sústavy alebo na vymedzenom území ktorej sa nachádzajú v jednotkách množstva elektriny v roku t-2, |
| c) CEPSDOPi,jt-2 je cena elektriny pre stanovenie doplatku pre zariadenie výrobcu elektriny z obnoviteľných zdrojov energie a vysoko účinnou kombinovanou výrobou v eurách na jednotku množstva elektriny na rok t-2, |
| d) CESTRt-2 je cena elektriny na účely pokrytia strát i-tého prevádzkovateľa regionálnej distribučnej sústavy vrátane nákladov na odchýlku schválená alebo určená cenovým rozhodnutím za prístup do distribučnej sústavy a distribúciu elektriny v eurách na jednotku množstva elektriny na rok t-2. |
| (6) Korekcia výnosu získaného za predaj elektriny prevyšujúcej potreby pokrytia strát i-tým prevádzkovateľom regionálnej distribučnej sústavy v roku t sa vypočíta podľa vzorca |
| .png)
|
| kde |
| a) SQSTRpreki,jt-2 je skutočné množstvo elektriny v jednotkách množstva elektriny v j-tej hodine roku t-2 prekúpené i-tým prevádzkovateľom regionálnej distribučnej sústavy v súvislosti s odberom elektriny i-tého prevádzkovateľa regionálnej distribučnej sústavy zo zariadení výrobcov elektriny s právom na podporu na účely pokrytia strát distribučnej sústavy; SQSTRpreki,jt-2 sa vypočíta ako rozdiel v j-tej hodine roku t skutočného diagramu na pokrytie strát v i-tej regionálnej distribučnej sústave a skutočného diagramu odberu elektriny i-tého prevádzkovateľa regionálnej distribučnej sústavy zo zariadení výrobcov elektriny s právom na podporu, ak je tento rozdiel kladný, SQSTRpreki,jt-2 sa rovná nule, |
| b) PQSTRpreki,jt-2 je plánované množstvo elektriny v jednotkách množstva elektriny v j-tej hodine roku t-2 prekúpené i-tým prevádzkovateľom regionálnej distribučnej sústavy v súvislosti s odberom elektriny i-tého prevádzkovateľa regionálnej distribučnej sústavy zo zariadení výrobcov elektriny s právom na podporu na účely pokrytia strát distribučnej sústavy; PQSTRpreki,jt-2 sa vypočíta ako rozdiel v j-tej hodine roku t plánovaného diagramu na pokrytie strát v i-tej regionálnej distribučnej sústave a plánovaného diagramu odberu elektriny i-tého prevádzkovateľa regionálnej distribučnej sústavy zo zariadení výrobcov elektriny s právom na podporu, ak je tento rozdiel kladný, PQSTRpreki,jt-2 sa rovná nule, |
| c) SCTRHjt-2 je skutočná určená cena elektriny v eurách na jednotku množstva elektriny na rok t-2 v j-tej hodine roku t-2; SCTRHjt-2 sa rovná pre každú hodinu roka t-2 váženému priemeru cien elektriny príslušnej hodiny roka t-2, za ktoré boli odpredané jednotlivé časti množstva SQSTRprekjt-2 na obdobie roku t-2, od 1. marca 2013 je táto cena minimálne vo výške ceny elektriny na straty podľa osobitného predpisu;55) prekúpené množstvo elektriny SQSTRpreki,jt-2 i-tým prevádzkovateľom regionálnej distribučnej sústavy v súvislosti s odberom elektriny i-tého prevádzkovateľa regionálnej distribučnej sústavy zo zariadení výrobcov elektriny s právom na podporu na účely pokrytia strát distribučnej sústavy sa umožňuje odpredať na ročnej báze vo forme štandardného produktu ročného základného pásma s rovnakou hodnotou množstva elektriny v každej hodine roka t-2 a v dennom obchodovaní v obchodnej oblasti, v rámci ktorej je denný trh s elektrinou organizovaný organizátorom krátkodobého trhu s elektrinou. |
| (7) Korekcia výnosov z platieb na základe tarify za prevádzkovanie systému i-tého prevádzkovateľa regionálnej distribučnej sústavy v roku t-2 sa pre roky 2014 a 2015 vypočíta podľa vzorca |
| .png)
|
| kde |
| a) TPSt-2 je tarifa za prevádzkovanie systému určená cenovým rozhodnutím pre koncových odberateľov elektriny a prevádzkovateľov miestnej distribučnej sústavy, ktorí sú pripojení do regionálnej distribučnej sústavy regulovaného subjektu, v eurách na jednotku množstva elektriny v roku t-2, |
| b) TPSit-2 je tarifa za prevádzkovanie systému určená cenovým rozhodnutím pre i-tého prevádzkovateľa regionálnej distribučnej sústavy v eurách na jednotku množstva elektriny na rok t-2, |
| c) SQKit-2 je celkový skutočný objem elektriny v jednotkách množstva elektriny odobratý prevádzkovateľmi miestnej distribučnej sústavy a koncovými odberateľmi elektriny z distribučnej sústavy regulovaného subjektu vrátane prevádzkovateľov miestnej distribučnej sústavy a odberateľov elektriny pripojených v rámci prevádzky preukázateľne oddelenej od sústavy Slovenskej republiky v roku t-2, |
| d) QKit-2 je celkový plánovaný objem elektriny v jednotkách množstva elektriny, ktorý odoberú prevádzkovatelia miestnej distribučnej sústavy a koncoví odberatelia elektriny z distribučnej sústavy regulovaného subjektu vrátane prevádzkovateľov miestnej distribučnej sústavy a odberateľov elektriny pripojených v rámci prevádzky preukázateľne oddelenej od sústavy Slovenskej republiky v roku t-2, |
| e) SQZdot-2 je celkový skutočný objem elektriny distribuovanej prevádzkovateľmi miestnej distribučnej sústavy, ktorá je priamo pripojená do regionálnej distribučnej sústavy regulovaného subjektu, vyrobenej vo vlastnom zariadení na výrobu elektriny prevádzkovateľa miestnej distribučnej sústavy alebo v inom zariadení na výrobu elektriny pripojených do tejto miestnej distribučnej sústavy a dodanej odberateľom elektriny v tejto miestnej distribučnej sústave alebo spotrebovanej pre vlastnú spotrebu v tejto miestnej distribučnej sústave okrem vlastnej spotreby elektriny pri výrobe elektriny v jednotkách množstva elektriny v roku t-2, |
| f) SQVdot-2 je celkový skutočný objem elektriny vyrobenej v zariadení na výrobu elektriny výrobcov elektriny pripojených priamo do regionálnej distribučnej sústavy regulovaného subjektu a dodanej týmito výrobcami elektriny odberateľom elektriny bez použitia regionálnej distribučnej sústavy alebo spotrebovanej pre vlastnú spotrebu týchto výrobcov elektriny v mieste umiestnenia zariadenia na výrobu elektriny okrem vlastnej spotreby elektriny pri výrobe elektriny v jednotkách množstva elektriny v roku t-2, |
| g) QZdot-2 je celkový plánovaný objem elektriny distribuovanej prevádzkovateľmi miestnej distribučnej sústavy, ktorá je priamo pripojená do distribučnej sústavy regulovaného subjektu, vyrobenej vo vlastnom zariadení na výrobu elektriny prevádzkovateľa miestnej distribučnej sústavy alebo v inom zariadení na výrobu elektriny pripojených do tejto miestnej distribučnej sústavy a dodanej odberateľom elektriny v tejto miestnej distribučnej sústave alebo spotrebovanej pre vlastnú spotrebu v tejto miestnej distribučnej sústave okrem vlastnej spotreby elektriny pri výrobe elektriny v jednotkách množstva elektriny v roku t-2, |
| h) QVdot-2 je celkový plánovaný objem elektriny vyrobenej v zariadení na výrobu elektriny výrobcov elektriny pripojených priamo do regionálnej distribučnej sústavy regulovaného subjektu a dodanej týmito výrobcami elektriny odberateľom elektriny bez použitia regionálnej distribučnej sústavy alebo spotrebovanej pre vlastnú spotrebu týchto výrobcov elektriny v mieste umiestnenia zariadenia na výrobu elektriny okrem vlastnej spotreby elektriny pri výrobe elektriny v jednotkách množstva elektriny v roku t-2. |
| (8) Korekcia výnosov z platieb na základe tarify za prevádzkovanie systému i-tého prevádzkovateľa regionálnej distribučnej sústavy v roku t-2 sa pre rok 2016 a nasledujúce vypočíta podľa vzorca |
| .png)
|
| kde |
| a) TPSdsit-2 je tarifa za prevádzkovanie systému určená rozhodnutím pre i-tého prevádzkovateľa regionálnej distribučnej sústavy v eurách na jednotku množstva elektriny na rok t-2, |
| b) QSKStpst-2 je celková skutočná koncová spotreba elektriny na vymedzenom území na rok t-2, na ktorú sa uplatňujú tarify za prevádzkovanie systému, |
| c) QSvdt-2 je celkový skutočný objem elektriny v jednotkách množstva elektriny v roku t-2 odobratej koncovými odberateľmi elektriny priamo pripojenými do prenosovej sústavy s dobou ročného využitia maxima v roku t-4 vyššou ako 6800 hodín a súčasne pomernou odchýlkou subjektu zúčtovania menšou ako 0,025; dobou ročného využitia maxima sa rozumie podiel celkového ročného odobratého množstva elektriny v roku t-4 a rezervovanej kapacity určenej ako aritmetický priemer mesačných maxím štvrťhodinového výkonu za mesiace november roku t-6 až február roku t-5, |
| d) Kvdt-2 je koeficient zvýhodnenia odberového diagramu pre individuálne sadzby taríf koncových odberateľov elektriny priamo pripojených do prenosovej sústavy na rok t-2, ktorého hodnota je 0,95, |
| e) QPKStpst-2 je celková plánovaná koncová spotreba elektriny na vymedzenom území na rok t-2, na ktorú sa uplatňujú tarify za prevádzkovanie systému, |
| f) QPvdt-2 je celkový plánovaný objem elektriny v jednotkách množstva elektriny v roku t-2 odobratej koncovými odberateľmi elektriny priamo pripojenými do prenosovej sústavy s dobou ročného využitia maxima v roku t-4 vyššou ako 6800 hodín a súčasne pomernou odchýlkou subjektu zúčtovania menšou ako 0,025; dobou ročného využitia maxima sa rozumie podiel celkového ročného odobratého množstva elektriny v roku t-4 a rezervovanej kapacity určenej ako aritmetický priemer mesačných maxím štvrťhodinového výkonu za mesiace november roku t-6 až február roku t-5. |
| (9) Korekcia v eurách na rok t KPSt zohľadňujúca náklady a výnosy prevádzkovateľa prenosovej sústavy z platieb za prevádzkovanie systému v roku t-2 sa vypočíta podľa vzorca |
| .png)
|
| kde |
| a) sú celkové výnosy z platieb na základe taríf za prevádzkovanie systému v roku t-2, |
| b) sú celkové náklady z platieb na základe taríf za prevádzkovanie systému v roku t-2, |
| c) je korekcia v eurách na rok t-2 KPSt-2 zohľadňujúca náklady a výnosy prevádzkovateľa prenosovej sústavy z platieb za prevádzkovanie systému v roku t-4. |
| (10) Pre odberateľa elektriny priamo pripojeného do prenosovej sústavy sa uplatňuje tarifa za prevádzkovanie systému TPSt v eurách na jednotku množstva elektriny za prenesenú elektrinu vrátane elektriny vyrobenej v jeho vlastnom zariadení na výrobu elektriny a spotrebovanej na vlastnú spotrebu elektriny tohto odberateľa elektriny alebo dodanej iným odberateľom elektriny bez použitia prenosovej sústavy okrem vlastnej spotreby elektriny pri výrobe elektriny, ktorá nie je odobratá z nadradenej sústavy. |
| (11) Pre odberateľa elektriny pripojeného do regionálnej distribučnej sústavy sa uplatňuje tarifa za prevádzkovanie systému TPSt za distribuovanú elektrinu vrátane elektriny vyrobenej v jeho vlastnom zariadení na výrobu elektriny a spotrebovanej na vlastnú spotrebu elektriny tohto odberateľa elektriny alebo dodanej iným odberateľom elektriny bez použitia regionálnej distribučnej sústavy okrem vlastnej spotreby elektriny pri výrobe elektriny, ktorá nie je odobratá z nadradenej sústavy. |
| (12) Pre odberateľa elektriny pripojeného do miestnej distribučnej sústavy sa uplatňuje tarifa za prevádzkovanie systému TPSt za všetku elektrinu odobratú z nadradenej sústavy a distribuovanú odberateľom elektriny pripojeným do tejto miestnej distribučnej sústavy vrátane elektriny vyrobenej vo vlastnom zariadení na výrobu elektriny alebo v inom zariadení na výrobu elektriny pripojených do tejto miestnej distribučnej sústavy a spotrebovanej na vlastnú spotrebu elektriny alebo dodanej odberateľom elektriny bez použitia nadradenej sústavy okrem vlastnej spotreby elektriny pri výrobe elektriny, ktorá nie je odobratá z nadradenej distribučnej sústavy. |
| (13) Pre odberateľa elektriny, ktorý odoberá elektrinu od výrobcu elektriny bez použitia prenosovej sústavy alebo distribučnej sústavy, sa výrobcom elektriny uplatňuje tomuto odberateľovi elektriny tarifa za prevádzkovanie systému TPSt na celé množstvo takto odobratej elektriny. Ak výrobca nie je subjektom zúčtovania, uhradia sa platby uplatnené u odberateľa elektriny účastníkovi trhu, ktorý za výrobcu prevzal zodpovednosť za odchýlku. |
| (14) Tarifa za prevádzkovanie systému sa neuplatňuje na straty elektriny v sústave, za vlastnú spotrebu prevádzkovateľa sústavy pri prevádzkovaní sústavy, za vlastnú spotrebu elektriny pri výrobe elektriny, ktorá nie je odobratá z nadradenej sústavy ani za spotrebu elektriny na prečerpávanie v prečerpávacích vodných elektrárňach. |
| (15) Na účely cenovej regulácie sa do 30. apríla roku t predkladajú prevádzkovateľmi prenosovej sústavy a distribučných sústav a výrobcami elektriny údaje o skutočných množstvách elektriny v roku t-1, očakávaných množstvách elektriny v roku t a plánovaných množstvách elektriny na rok t+1 prepravenej koncovým odberateľom elektriny vrátane údajov o množstve elektriny vyrobenej vo vlastnom zariadení na výrobu elektriny, v inom zariadení na výrobu elektriny a údaje o spotrebe takto vyrobenej elektriny spotrebovanej na vlastnú spotrebu elektriny, dodanej odberateľom elektriny bez použitia prenosovej alebo regionálnej distribučnej sústavy, vlastnej spotrebe elektriny pri výrobe elektriny, ako aj údaje o skutočných nákladoch a skutočných výnosoch za prevádzkovanie systému v roku t-1. |
| § 13 |
| (1) Ak účastník trhu s elektrinou zvolil pre svoje odberné alebo odovzdávacie miesto režim prenesenej zodpovednosti za odchýlku, uhrádza sa platba za prevádzkovanie systému účastníkovi trhu s elektrinou, ktorý za jeho odberné alebo odovzdávacie miesto prevzal zodpovednosť za odchýlku. |
| (2) Ak účastník trhu s elektrinou prevzal zodpovednosť za odchýlku za odberné alebo odovzdávacie miesto iného účastníka trhu s elektrinou a nie je subjektom zúčtovania, uhrádza sa platba za prevádzkovanie systému účastníkovi trhu s elektrinou, ktorý za neho prevzal zodpovednosť za odchýlku. |
| (3) Skutočná koncová spotreba elektriny na odbernom alebo odovzdávacom mieste QSKStpsoomt, na ktorú sa uplatňuje tarifa za prevádzkovanie systému, sa určí podľa vzorca |
| .png)
|
| kde |
| a) QSKStpsoomt je celková skutočná koncová spotreba elektriny na odbernom alebo odovzdávacom mieste v roku t, na ktorú sa uplatňujú tarify za prevádzkovanie systému, |
| b) QSvdoomt je celkový plánovaný objem elektriny v jednotkách množstva elektriny v roku t odobratej koncovými odberateľmi elektriny priamo pripojenými do prenosovej sústavy s dobou ročného využitia maxima v roku t-2 vyššou ako 6800 hodín a súčasne pomernou odchýlkou subjektu zúčtovania menšou ako 0,025; dobou ročného využitia maxima sa rozumie podiel celkového ročného preneseného množstva elektriny v roku t-2 a rezervovanej kapacity určenej ako aritmetický priemer mesačných maxím štvrťhodinového výkonu za mesiace november roku t-4 až február roku t-3, |
| c) Kvdt je koeficient zvýhodnenia odberového diagramu pre individuálne sadzby taríf koncových odberateľov elektriny priamo pripojených do prenosovej sústavy na rok t, ktorého hodnota je 0,95. |
| Výkon činnosti organizátora krátkodobého trhu s elektrinou |
| § 14 |
| Všeobecné ustanovenia |
| (1) Cenová regulácia podľa odsekov 2 až 4 a § 15 až 17 sa vzťahuje za výkon činnosti organizátora krátkodobého trhu s elektrinou. |
| (2) Súčasťou návrhu ceny sú |
| a) návrh cien alebo taríf za výkon činnosti organizátora krátkodobého trhu s elektrinou, vrátane ich štruktúry, na rok t, ktoré sa budú uplatňovať pre účastníkov trhu s elektrinou, vrátane podmienok ich pridelenia, |
| b) údaje potrebné na preverenie taríf za rok t-2, najmä za zúčtovanie, vyhodnotenie a vysporiadanie odchýlok, za organizovanie a vyhodnotenie krátkodobého trhu s elektrinou, |
| c) plán investícií a plán odpisov za regulovanú činnosť v rokoch t, t+1 a t+2, |
| d) výpočty a údaje podľa § 15 až 17, týkajúce sa výkonu činnosti organizátora krátkodobého trhu s elektrinou, |
| e) doklad preukazujúci schválenie návrhu ceny najvyšším orgánom obchodnej spoločnosti alebo družstva alebo spoločníkmi verejnej obchodnej spoločnosti alebo spoločníkmi komanditnej spoločnosti regulovaného subjektu, |
| f) potvrdenie nie staršie ako tri mesiace preukazujúce, že voči regulovanému subjektu nie sú evidované |
| 1. daňové nedoplatky podľa osobitného predpisu26) správcom dane, |
| 2. nedoplatky poistného na zdravotné poistenie, |
| 3. nedoplatky na poistnom na sociálne poistenie a povinných príspevkoch na starobné dôchodkové sporenie, |
| g) podklady podľa prílohy č. 2, |
| h) ďalšie podklady potrebné na správne posúdenie návrhu ceny. |
| (3) Podklady podľa odseku 2 písm. a), b) a d) sa predkladajú aj v elektronickej podobe. |
| (4) Ustanovenia o návrhu ceny sa primerane vzťahujú aj na návrh na zmenu cenového rozhodnutia. |
| § 15 |
| Postup určenia tarify za zúčtovanie, vyhodnotenie a vysporiadanie odchýlok |
| (1) Pre subjekty zúčtovania sa uplatňujú tarify za zúčtovanie, vyhodnotenie a vysporiadanie odchýlok v štvrťhodinovom rozlíšení, kde maximálny výnos PPZOt z týchto platieb v eurách v roku t sa vypočíta podľa vzorca |
| .png)
|
| kde |
| a) PNZOt sú schválené alebo určené plánované prevádzkové náklady súvisiace so zúčtovaním, vyhodnotením a vysporiadaním odchýlok zúčtovateľa odchýlok v eurách v roku t, |
| b) PVAt je primeraný zisk za zúčtovanie, vyhodnotenie a vysporiadanie odchýlok v roku t v eurách vypočítaný podľa vzorca |
| .png)
|
| kde |
| AR sú schválené alebo určené regulované aktíva využívané v súvislosti so zúčtovaním, s vyhodnotením a vysporiadaním odchýlok k 31. decembru roku t-1, |
| c) INVZOt je faktor investícií v eurách v roku t, ktorého hodnota sa vypočíta podľa vzorca |
| .png)
|
| kde |
| 1. SOzot-2 sú skutočné schválené alebo určené odpisy v eurách zo skutočnej hodnoty schválených alebo určených investícií v eurách zaradených do regulovaných aktív nevyhnutne využívaných v súvislosti so zúčtovaním, s vyhodnotením a vysporiadaním odchýlok v roku t-2, |
| 2. POzot-2 sú plánované schválené alebo určené odpisy v eurách z plánovanej hodnoty schválených alebo určených investícií v eurách zaradených do regulovaných aktív nevyhnutne využívaných v súvislosti so zúčtovaním, s vyhodnotením a vysporiadaním odchýlok v roku t-2, |
| d) KZOt je fakor vyrovnania v eurách na rok t; KZOt sa vypočíta sa podľa vzorca |
| .png)
|
| kde |
| a) PZOt-2 je ročná fixná platba za prístup do systému zúčtovania, vyhodnotenia a vysporiadania odchýlok v eurách v roku t-2 určená pre subjekt zúčtovania odchýlok, ktorý si zvolil režim vlastnej zodpovednosti za odchýlku a ktorý má uzavretú zmluvu o zúčtovaní, vyhodnotení a vysporiadaní odchýlok, a pre subjekt, ktorý poskytuje podporné služby, ale má prenesenú zodpovednosť za odchýlku na inú bilančnú skupinu, |
| b) je skutočný počet subjektov zúčtovania odchýlok v roku t-2, ktoré si zvolili režim vlastnej zodpovednosti za odchýlku a ktoré majú uzavretú zmluvu o zúčtovaní, vyhodnotení a vysporiadaní odchýlok, |
| c) je skutočný počet subjektov v roku t-2, ktoré poskytujú podporné služby, ale majú prenesenú zodpovednosť za odchýlku na inú bilančnú skupinu, |
| d) je predpokladaný počet subjektov zúčtovania odchýlok v roku t-2, ktoré si zvolili režim vlastnej zodpovednosti za odchýlku a ktoré majú uzavretú zmluvu o zúčtovaní, vyhodnotení a vysporiadaní odchýlok, |
| e) je predpokladaný počet subjektov v roku t-2, ktoré poskytujú podporné služby, ale majú prenesenú zodpovednosť za odchýlku na inú bilančnú skupinu, |
| f) TZOt-2 je tarifa za zúčtovanie, vyhodnotenie a vysporiadanie odchýlok v eurách za jednotku množstva elektriny v roku t-2 určená pre subjekt zúčtovania odchýlok, ktorý si zvolil režim vlastnej zodpovednosti za odchýlku a ktorý má uzavretú zmluvu o zúčtovaní, vyhodnotení a vysporiadaní odchýlok, a pre subjekt, ktorý poskytuje podporné služby, ale má prenesenú zodpovednosť za odchýlku na inú bilančnú skupinu, |
| g) je celkový skutočný objem dohodnutého množstva elektriny, ktorý sa vypočíta ako suma zmluvnej dodávky a zmluvného odberu vrátane plánovaných cezhraničných prenosov, bilančných skupín subjektov zúčtovania odchýlok, ktoré si zvolili režim vlastnej zodpovednosti za odchýlku a ktoré majú uzavretú zmluvu o zúčtovaní, vyhodnotení a vysporiadaní odchýlok, podľa denných diagramov v jednotkách množstva elektriny v roku t-2, |
| h) je celkový skutočný objem poskytnutej regulačnej elektriny subjektov, ktoré poskytujú podporné služby, ale majú prenesenú zodpovednosť za odchýlku na inú bilančnú skupinu, v jednotkách množstva elektriny v roku t-2, |
| i) je celkový plánovaný objem dohodnutého množstva elektriny, ktorý sa vypočíta ako suma zmluvnej dodávky a zmluvného odberu vrátane plánovaných cezhraničných prenosov, bilančných skupín subjektov zúčtovania odchýlok, ktoré si zvolili režim vlastnej zodpovednosti za odchýlku a ktoré majú uzavretú zmluvu o zúčtovaní, vyhodnotení a vysporiadaní odchýlok, podľa denných diagramov v jednotkách množstva elektriny v roku t-2, |
| j) je celkový plánovaný objem poskytnutej regulačnej elektriny subjektov, ktoré poskytujú podporné služby, ale majú prenesenú zodpovednosť za odchýlku na inú bilančnú skupinu, v jednotkách množstva elektriny v roku t-2. |
| (2) Ročná fixná platba za prístup do systému zúčtovania, vyhodnotenia a vysporiadania odchýlok PZOt v eurách v roku t určená pre subjekt zúčtovania odchýlok, ktorý si zvolil režim vlastnej zodpovednosti za odchýlku a ktorý má uzavretú zmluvu o zúčtovaní, vyhodnotení a vysporiadaní odchýlok, a pre subjekt, ktorý poskytuje podporné služby, ale má prenesenú zodpovednosť za odchýlku na inú bilančnú skupinu, sa vypočíta podľa vzorca |
| .png)
|
| kde |
| a) PPZOt je maximálny povolený výnos v eurách za zúčtovanie, vyhodnotenie a vysporiadanie odchýlok v roku t, |
| b) QtSZ je predpokladaný počet subjektov zúčtovania v roku t, ktoré si zvolili režim vlastnej zodpovednosti za odchýlku a ktoré majú uzavretú zmluvu o zúčtovaní, vyhodnotení a vysporiadaní odchýlok, |
| c) QtPZ je predpokladaný počet subjektov v roku t, ktoré poskytujú podporné služby, ale majú prenesenú zodpovednosť za odchýlku na inú bilančnú skupinu. |
| (3) Tarifa za zúčtovanie, vyhodnotenie a vysporiadanie odchýlok TZOt v eurách za jednotku množstva elektriny v roku t určená pre subjekt zúčtovania odchýlok, ktorý si zvolil režim vlastnej zodpovednosti za odchýlku a ktorý má uzavretú zmluvu o zúčtovaní, vyhodnotení a vysporiadaní odchýlok, a pre subjekt, ktorý poskytuje podporné služby, ale má prenesenú zodpovednosť za odchýlku na inú bilančnú skupinu, sa vypočíta podľa vzorca |
| .png)
|
| kde |
| a) PPZOt je maximálny povolený výnos v eurách za zúčtovanie, vyhodnotenie a vysporiadanie odchýlok v roku t, |
| b) QtDD je celkový plánovaný objem dohodnutého množstva elektriny, ktorý sa vypočíta ako suma zmluvnej dodávky a zmluvného odberu vrátane plánovaných cezhraničných prenosov elektriny, bilančných skupín subjektov zúčtovania odchýlok, ktoré si zvolili režim vlastnej zodpovednosti za odchýlku a ktoré majú uzavretú zmluvu o zúčtovaní, vyhodnotení a vysporiadaní odchýlok, podľa denných diagramov v jednotkách množstva elektriny v roku t, |
| c) QtRE je celkový plánovaný objem poskytnutej regulačnej elektriny subjektov, ktoré poskytujú podporné služby, ale majú prenesenú zodpovednosť za odchýlku na inú bilančnú skupinu, v jednotkách množstva elektriny v roku t. |
| (4) Pre subjekty zúčtovania, ktoré si zvolili režim vlastnej zodpovednosti za odchýlku a ktoré majú uzavretú zmluvu o zúčtovaní, vyhodnotení a vysporiadaní odchýlok, a pre subjekty, ktoré poskytujú podporné služby, ale majú prenesenú zodpovednosť za odchýlku na inú bilančnú skupinu, sa uplatňuje ročná fixná platba za prístup do systému zúčtovania, vyhodnotenia a vysporiadania odchýlok PZOt podľa odseku 2 v eurách v roku t. |
| (5) Pre subjekty zúčtovania, ktoré si zvolili režim vlastnej zodpovednosti za odchýlku a ktoré majú uzavretú zmluvu o zúčtovaní, vyhodnotení a vysporiadaní odchýlok, sa uplatňuje tarifa za zúčtovanie, vyhodnotenie a vysporiadanie odchýlok TZOt podľa odseku 3 k jednotke množstva elektriny dohodnutého množstva elektriny ich bilančných skupín podľa denných diagramov v roku t. |
| (6) Pre subjekty, ktoré poskytujú podporné služby, ale majú prenesenú zodpovednosť za odchýlku na inú bilančnú skupinu, sa uplatňuje tarifa za zúčtovanie, vyhodnotenie a vysporiadanie odchýlok TZOt podľa odseku 3 k jednotke množstva elektriny objemu poskytnutej regulačnej elektriny určeného prevádzkovateľom prenosovej sústavy v roku t. |
| § 16 |
| Postup určenia cien za organizovanie a vyhodnotenie krátkodobého trhu s elektrinou |
| (1) Pre subjekty zúčtovania, ktoré majú s organizátorom krátkodobého trhu s elektrinou uzatvorenú zmluvu o prístupe a podmienkach účasti na organizovanom krátkodobom trhu s elektrinou, sa uplatňujú tarify za organizovanie a vyhodnotenie krátkodobého trhu s elektrinou, pričom úradom schválený alebo určený maximálny výnos VOTEt z týchto platieb a z alikvotnej časti výnosu z tarify za prevádzkovanie systému v eurách v roku t sa vypočíta podľa vzorca |
| VOTEt = PNOTEt + PVAt + INVOTEt - KOTEt, |
| kde |
| a) PNOTEt sú schválené alebo určené plánované prevádzkové náklady súvisiace s organizovaním a vyhodnotením krátkodobého trhu s elektrinou v eurách na rok t, |
| b) PVAt je primeraný zisk za organizovanie a vyhodnotenie krátkodobého trhu s elektrinou v roku t v eurách vypočítaný podľa vzorca |
| PVAt = ARx0,065, |
| kde |
| AR sú schválené alebo určené regulované aktíva využívané v súvislosti s organizovaním a vyhodnotením krátkodobého trhu s elektrinou k 31. decembru roku t-1, |
| c) INVOTEt je faktor investícií v eurách v roku t, ktorého hodnota sa vypočíta podľa vzorca |
| INVOTEt = SOotet-2 - POotet-2, |
| kde |
| 1. SOotet-2 sú skutočné schválené alebo určené odpisy v eurách zo skutočnej hodnoty schválených alebo určených investícií v eurách zaradených do regulovaných aktív nevyhnutne využívaných v súvislosti s organizovaním a vyhodnotením krátkodobého trhu s elektrinou v roku t-2, |
| 2. POotet-2 sú plánované schválené alebo určené odpisy v eurách z plánovanej hodnoty schválených alebo určených investícií v eurách zaradených do regulovaných aktív nevyhnutne využívaných v súvislosti s organizovaním a vyhodnotením krátkodobého trhu s elektrinou v roku t-2, |
| d) KOTEt je faktor vyrovnania v eurách v roku t vypočítaný podľa odsekov 3 a 4. |
| (2) Tarifa za organizovanie a vyhodnotenie krátkodobého trhu s elektrinou TOTEt schválená alebo určená cenovým rozhodnutím na rok t v eurách za jednotku množstva elektriny nakúpenej a predanej účastníkom krátkodobého trhu s elektrinou sa vypočíta podľa vzorca |
| vzorec 52 |
| kde |
| a) VOTEt je schválený alebo určený maximálny výnos podľa odseku 1, |
| b) PNOTt sú schválené alebo určené plánované náklady v eurách zohľadňujúce alikvotnú časť nákladov na organizovanie a vyhodnotenie krátkodobého trhu s elektrinou v eurách na rok t; PNOTt sa uplatňujú z tarify za prevádzkovanie systému a alikvotná časť tarify za prevádzkovanie systému na organizovanie a vyhodnotenie krátkodobého trhu s elektrinou organizátora krátkodobého trhu s elektrinou v eurách v roku t sa vypočíta podľa vzorca |
| 
|
| kde |
| 1. QPKStpst |
| je celková plánovaná koncová spotreba elektriny na vymedzenom území v roku t, na ktorú sa uplatňujú tarify za prevádzkovanie systému, |
| 2. QPvdt |
| je celkový plánovaný objem elektriny v jednotkách množstva elektriny v roku t odobratej koncovými odberateľmi elektriny priamo pripojenými do prenosovej sústavy s dobou ročného využitia maxima v roku t-2 vyššou ako 6 800 hodín a súčasne pomernou odchýlkou subjektu zúčtovania menšou ako 0,025; dobou ročného využitia maxima sa rozumie podiel celkového ročného preneseného množstva elektriny v roku t-2 a rezervovanej kapacity určenej ako aritmetický priemer mesačných maxím štvrťhodinového výkonu za mesiace november roku t-4 až február roku t-3, |
| 3. Kvdt |
| je koeficient zvýhodnenia odberového diagramu pre individuálne sadzby taríf koncových odberateľov elektriny priamo pripojených do prenosovej sústavy na rok t, ktorého hodnota je 0,95, |
| c) FPOTEt je schválená alebo určená ročná fixná platba v eurách určená na rok t cenovým rozhodnutím uplatneným subjektu zúčtovania, ktorý je účastníkom organizovaného krátkodobého trhu s elektrinou, |
| d) Qtote je plánovaný počet účastníkov organizovaného krátkodobého trhu s elektrinou v roku t, |
| e) QOTEt je plánované množstvo elektriny v jednotkách množstva elektriny na rok t nakúpenej a predanej účastníkmi krátkodobého trhu s elektrinou. |
| (3) Faktor vyrovnania KOTEt v eurách v roku t sa na roky 2014 až 2015 vypočíta podľa vzorca |
| vzorec 53 |
| kde |
| a) je skutočný počet účastníkov organizovaného krátkodobého trhu s elektrinou v roku t-2, |
| b) je plánovaný počet účastníkov organizovaného krátkodobého trhu s elektrinou v roku t-2, |
| c) FPOTEt-2 je ročná fixná platba v eurách určená na rok t-2 cenovým rozhodnutím pre subjekt zúčtovania, ktorý je účastníkom organizovaného krátkodobého trhu s elektrinou, |
| d) SQOTEt-2 je skutočné množstvo elektriny v jednotkách množstva elektriny v roku t-2 nakúpenej a predanej účastníkom krátkodobého trhu s elektrinou, |
| e) QOTEt-2 je plánované schválené množstvo elektriny v jednotkách množstva elektriny na rok t-2 nakúpenej na krátkodobom trhu s elektrinou, |
| f) TOTEt-2 je tarifa za organizovanie a vyhodnotenie krátkodobého trhu s elektrinou schválená alebo určená cenovým rozhodnutím na rok t-2 v eurách za jednotku množstva elektriny nakúpenej na krátkodobom trhu s elektrinou, |
| g) vzorec 54 je skutočné množstvo elektriny odobratej koncovými odberateľmi elektriny, ktorí sú priamo pripojení do prenosovej sústavy, v jednotkách množstva elektriny v roku t-2, |
| h) vzorec 55 je celkový plánovaný objem elektriny odobratej koncovými odberateľmi elektriny, ktorí sú priamo pripojení do prenosovej sústavy v jednotkách množstva elektriny na rok t-2, |
| i) vzorec 55 je tarifa za prevádzkovanie systému určená rozhodnutím pre organizátora krátkodobého trhu s elektrinou na rok t-2. |
| (4) Faktor vyrovnania KOTEt v eurách v roku t sa od roku 2016 vypočíta podľa vzorca |
| vzorec 56 |
| kde |
| a) QSKStpst-2 je celková skutočná koncová spotreba elektriny na vymedzenom území za rok t-2, na ktorú sa uplatňujú tarify za prevádzkovanie systému, |
| b) QSvdt-2 je celkový skutočný objem elektriny v jednotkách množstva elektriny v roku t-2 odobratej koncovými odberateľmi elektriny priamo pripojenými do prenosovej sústavy s dobou ročného využitia maxima v roku t-4 vyššou ako 6800 hodín a súčasne pomernou odchýlkou subjektu zúčtovania menšou ako 0,025; dobou ročného využitia maxima sa rozumie podiel celkového ročného odobratého množstva elektriny v roku t-4 a rezervovanej kapacity určenej ako aritmetický priemer mesačných maxím štvrťhodinového výkonu za mesiace november roku t-6 až február roku t-5, |
| c) Kvdt-2 je koeficient zvýhodnenia odberového diagramu pre individuálne sadzby taríf koncových odberateľov elektriny priamo pripojených do prenosovej sústavy na rok t-2, ktorého hodnota je 0,95, |
| d) QPKStpst-2 je celková plánovaná koncová spotreba elektriny na vymedzenom území na rok t-2, na ktorú sa uplatňujú tarify za prevádzkovanie systému, |
| e) QPvdt-2 je celkový plánovaný objem elektriny v jednotkách množstva elektriny v roku t-2 odobratej koncovými odberateľmi elektriny priamo pripojenými do prenosovej sústavy s dobou ročného využitia maxima v roku t-4 vyššou ako 6800 hodín a súčasne pomernou odchýlkou subjektu zúčtovania menšou ako 0,025; dobou ročného využitia maxima sa rozumie podiel celkového ročného odobratého množstva elektriny v roku t-4 a rezervovanej kapacity určenej ako aritmetický priemer mesačných maxím štvrťhodinového výkonu za mesiace november roku t-6 až február roku t-5, |
| f) PNOTt-2 sú schválené alebo určené plánované náklady v eurách zohľadňujúce alikvotnú časť nákladov na organizovanie a vyhodnotenie krátkodobého trhu s elektrinou v eurách na rok t-2. |
| § 17 |
| Zohľadnenie nákladov za výkon ostatných činností organizátora krátkodobého trhu s elektrinou |
| (1) Celkové plánované náklady a zisk za výkon ostatných činností organizátora krátkodobého trhu s elektrinou v roku t Noktet sa vypočítajú podľa vzorca |
| Noktet = PNt + POt + RABt x WACC x KDZ + FINVPt - KOTt, |
| kde |
| a) PNt, sú schválené alebo určené plánované ekonomicky oprávnené prevádzkové ročné náklady súvisiace so správou, zberom a sprístupňovaním nameraných údajov a s centrálnou fakturáciou taríf vykonávanou organizátorom krátkodobého trhu s elektrinou v eurách v roku t, |
| b) POt sú plánované schválené alebo určené odpisy v eurách na rok t súvisiace s regulovanou činnosťou z plánovanej hodnoty regulačnej bázy aktív nevyhnutne využívanej pre regulovanú činnosť v roku t, |
| c) RABt je schválená alebo určená hodnota regulačnej bázy aktív využívanej v súvislosti so správou, zberom a sprístupňovaním nameraných údajov, s centrálnou fakturáciou taríf vykonávanou organizátorom krátkodobého trhu s elektrinou k 31. decembru roku t-1, |
| d) WACC je miera výnosnosti regulačnej bázy aktív na roky 2014 až 2016 určená podľa § 5 ods. 2 a 3, |
| e) KDZ je koeficient miery využitia disponibilných zdrojov do investícií súvisiacich s regulovanou činnosťou; KDZ je na roky 2012 až 2014 rovný jednej a na roky 2015 a 2016 sa určí v intervale od 0,90 do 1,00, |
| f) FINVPt je faktor investícií v eurách na rok t; FINVPt sa na rok 2014 a 2015 rovná nule a na rok 2016 sa vypočíta podľa vzorca |
| FINVPt = SOt-2 - POt-2, |
| kde |
| 1. SOt-2 sú skutočné schválené alebo určené odpisy v eurách zo skutočnej hodnoty schválených alebo určených investícií v eurách zaradených do hodnoty regulačnej bázy aktív nevyhnutne využívaných pre regulovanú činnosť v období roku t-2, |
| 2. POt-2 sú plánované schválené alebo určené odpisy v eurách z plánovanej hodnoty schválených alebo určených investícií v eurách zaradených do hodnoty regulačnej bázy aktív nevyhnutne využívaných pre regulovanú činnosť v období roku t-2, |
| g) KOTt je korekcia organizátora krátkodobého trhu s elektrinou v eurách, ktorá sa vypočíta podľa odseku 3. |
| (2) Celkové plánované náklady a zisk za výkon ostatných činnosti organizátora krátkodobého trhu s elektrinou v roku t Noktet sa uplatňujú z tarify za prevádzkovanie systému. Alikvotná časť tarify za prevádzkovanie systému na zabezpečenie ostatných činností organizátora krátkodobého trhu s elektrinou v eurách v roku t sa vypočíta podľa vzorca |
| vzorec 59 |
| kde |
| a) QPKStpst je celková plánovaná koncová spotreba elektriny na vymedzenom území v roku t, na ktorú sa uplatňujú tarify za prevádzkovanie systému, |
| b) QPvdt je celkový plánovaný objem elektriny v jednotkách množstva elektriny v roku t odobratej koncovými odberateľmi elektriny priamo pripojenými do prenosovej sústavy s dobou ročného využitia maxima v roku t-2 vyššou ako 6800 hodín a súčasne pomernou odchýlkou subjektu zúčtovania menšou ako 0,025; dobou ročného využitia maxima sa rozumie podiel celkového ročného preneseného množstva elektriny v roku t-2 a rezervovanej kapacity určenej ako aritmetický priemer mesačných maxím štvrťhodinového výkonu za mesiace november roku t-4 až február roku t-3, |
| c) Kvdt je koeficient zvýhodnenia odberového diagramu pre individuálne sadzby taríf koncových odberateľov elektriny priamo pripojených do prenosovej sústavy na rok t, ktorého hodnota je 0,95. |
| (3) Korekcia organizátora krátkodobého trhu s elektrinou v eurách sa vypočíta podľa vzorca |
| vzorec 60 |
| kde |
| a) SVTPSostt-2 sú skutočné výnosy z alikvotnej časti tarify za prevádzkovanie systému na zabezpečenie ostatných činností organizátora krátkodobého trhu s elektrinou v eurách v roku t-2, |
| b) PVTPSostt-2 sú plánované výnosy z alikvotnej časti tarify za prevádzkovanie systému na zabezpečenie ostatných činností organizátora krátkodobého trhu s elektrinou v eurách v roku t-2. |
| § 18 |
| Podmienky uplatňovania tarify za prevádzkovanie systému účastníkmi trhu s elektrinou |
| (1) Náklady na prevádzkovanie systému NPSsz sa organizátorom krátkodobého trhu s elektrinou vyúčtujú všetkým subjektom zúčtovania s vlastnou zodpovednosťou za odchýlku55) daňovým dokladom mesačne k 15. dňu nasledujúceho mesiaca a sú vypočítané podľa vzorca |
| vzorec 61 |
| kde |
| a) QSKStpsszi je skutočná celková koncová spotreba elektriny i-tého subjektu zúčtovania s vlastnou zodpovednosťou za odchýlku, na ktorú sa uplatňujú tarify za prevádzkovanie systému, |
| b) QSvdti je celkový skutočný objem elektriny v jednotkách množstva elektriny odobratej koncovými odberateľmi elektriny, ktorí patria do bilančnej skupiny i-tého subjektu zúčtovania s vlastnou zodpovednosťou za odchýlku a sú priamo pripojení do prenosovej sústavy s dobou ročného využitia maxima v roku t-2 vyššou ako 6800 hodín a súčasne pomernou odchýlkou subjektu zúčtovania menšou ako 0,025; dobou ročného využitia maxima sa rozumie podiel celkového ročného odobratého množstva elektriny v roku t-2 a rezervovanej kapacity určenej ako aritmetický priemer mesačných maxím štvrťhodinového výkonu za mesiace november roku t-4 až február roku t-3, |
| c) Kvdt je koeficient zvýhodnenia odberového diagramu pre individuálne sadzby taríf koncových odberateľov elektriny priamo pripojených do prenosovej sústavy na rok t, ktorého hodnota je 0,95. |
| (2) Náklady na prevádzkovanie systému sa neúčtujú za celkovú koncovú spotrebu elektriny na prečerpávanie v prečerpávacích vodných elektrárňach ani malým výrobcom elektriny, ktorí nepodnikajú v energetike podľa osobitného predpisu.56) |
| (3) Ak prevádzkovateľ regionálnej distribučnej sústavy, do ktorej sú pripojení jednotliví výrobcovia elektriny z obnoviteľných zdrojov energie a vysoko účinnou kombinovanou výrobou a od ktorých prevádzkovateľ regionálnej distribučnej sústavy nakupuje elektrinu na krytie strát a ktorým vypláca doplatok k cene elektriny vyrobenej z obnoviteľných zdrojov energie a vysoko účinnou kombinovanou výrobou, vyúčtujú sa organizátorovi krátkodobého trhu s elektrinou mesačne vždy k 15. dňu nasledujúceho mesiaca náklady spojené s nákupom elektriny od týchto výrobcov elektriny NPSdsi podľa vzorca |
| vzorec 62 |
| kde |
| a) TPSdsit je tarifa za prevádzkovanie systému určená rozhodnutím pre i-tého prevádzkovateľa regionálnej distribučnej sústavy v eurách na jednotku množstva elektriny na rok t, ktorá sa vypočíta sa podľa vzorca |
| vzorec 63 |
| kde |
| 1. Nozekvit sú celkové plánované náklady na nákup elektriny vyrobenej z obnoviteľných zdrojov energie a vysoko účinnou kombinovanou výrobou i-tého prevádzkovateľa sústavy v roku t, |
| 2. QPKStpst je celková plánovaná koncová spotreba elektriny na vymedzenom území na rok t, na ktorú sa uplatňujú tarify za prevádzkovanie systému, |
| 3. QPvdt je celkový plánovaný objem elektriny v jednotkách množstva elektriny v roku t odobratej koncovými odberateľmi elektriny priamo pripojenými do prenosovej sústavy s dobou ročného využitia maxima v roku t-2 vyššou ako 6800 hodín a súčasne pomernou odchýlkou subjektu zúčtovania menšou ako 0,025; dobou ročného využitia maxima sa rozumie podiel celkového ročného preneseného množstva elektriny v roku t-2 a rezervovanej kapacity určenej ako aritmetický priemer mesačných maxím štvrťhodinového výkonu za mesiace november roku t-4 až február roku t-3, |
| 4. Kvdt je koeficient zvýhodnenia odberového diagramu pre individuálne sadzby taríf koncových odberateľov elektriny priamo pripojených do prenosovej sústavy na rok t, ktorého hodnota je 0,95, |
| b) QSKStpst je celková skutočná koncová spotreba elektriny na vymedzenom území za uplynulé obdobie, na ktorú sa uplatňujú tarify za prevádzkovanie systému, |
| c) QSvdt je celkový skutočný objem elektriny v jednotkách množstva elektriny za uplynulé obdobie odobratej koncovými odberateľmi elektriny priamo pripojenými do prenosovej sústavy s dobou ročného využitia maxima v roku t-2 vyššou ako 6800 hodín a súčasne pomernou odchýlkou subjektu zúčtovania menšou ako 0,025; dobou ročného využitia maxima sa rozumie podiel celkového ročného odobratého množstva elektriny v roku t-2 a rezervovanej kapacity určenej ako aritmetický priemer mesačných maxím štvrťhodinového výkonu za mesiace november roku t-4 až február roku t-3, |
| d) Kvdt je koeficient zvýhodnenia odberového diagramu pre individuálne sadzby taríf koncových odberateľov elektriny priamo pripojených do prenosovej sústavy na rok t, ktorého hodnota je 0,95. |
| (4) Ak výrobca elektriny, ktorý na základe rozhodnutia ministerstva hospodárstva o uložení povinnosti vo všeobecnom hospodárskom záujme vyrába v roku t elektrinu z domáceho uhlia, vyúčtuje sa organizátorovi krátkodobého trhu s elektrinou mesačne vždy k 15. dňu nasledujúceho mesiaca platba NPSv podľa vzorca |
| vzorec 64 |
| kde |
| a) TPSvt je tarifa za prevádzkovanie systému určená rozhodnutím úradu pre výrobcu elektriny, ktorý na základe rozhodnutia ministerstva hospodárstva o uložení povinnosti vo všeobecnom hospodárskom záujme vyrába v roku t elektrinu z domáceho uhlia, v eurách na jednotku množstva elektriny na rok t, ktorá sa vypočíta sa podľa vzorca |
| vzorec 65 |
| kde |
| 1. DOPt je pevná cena elektriny vyrobenej z domáceho uhlia v eurách za megawatthodinu pre rok t, |
| 2. QDEt je objem elektriny určený rozhodnutím ministerstva hospodárstva o uložení povinnosti vo všeobecnom hospodárskom záujme vyrábať elektrinu z domáceho uhlia a dodávať elektrinu vyrobenú z domáceho uhlia na rok t, |
| 3. QPKStpst je celková plánovaná koncová spotreba elektriny na vymedzenom území na rok t, na ktorú sa uplatňujú tarify za prevádzkovanie systému, |
| 4. QPvdt je celkový plánovaný objem elektriny v jednotkách množstva elektriny v roku t odobratej koncovými odberateľmi elektriny priamo pripojenými do prenosovej sústavy s dobou ročného využitia maxima v roku t-2 vyššou ako 6 800 hodín a súčasne pomernou odchýlkou subjektu zúčtovania menšou ako 0,025; dobou ročného využitia maxima sa rozumie podiel celkového ročného preneseného množstva elektriny v roku t-2 a rezervovanej kapacity určenej ako aritmetický priemer mesačných maxím štvrťhodinového výkonu za mesiace november roku t-4 až február roku t-3, |
| 5. Kvdt je koeficient zvýhodnenia odberového diagramu pre individuálne sadzby taríf koncových odberateľov elektriny priamo pripojených do prenosovej sústavy na rok t, ktorého hodnota je 0,95, |
| b) QSKStpst je celková skutočná koncová spotreba elektriny na vymedzenom území za uplynulé obdobie, na ktorú sa uplatňujú tarify za prevádzkovanie systému, |
| c) QSvdt je celkový skutočný objem elektriny v jednotkách množstva elektriny za uplynulé obdobie odobratej koncovými odberateľmi elektriny priamo pripojenými do prenosovej sústavy s dobou ročného využitia maxima v roku t-2 vyššou ako 6800 hodín a súčasne pomernou odchýlkou subjektu zúčtovania menšou ako 0,025; dobou ročného využitia maxima sa rozumie podiel celkového ročného odobratého množstva elektriny v roku t-2 a rezervovanej kapacity určenej ako aritmetický priemer mesačných maxím štvrťhodinového výkonu za mesiace november roku t-4 až február roku t-3, |
| d) Kvdt je koeficient zvýhodnenia odberového diagramu pre individuálne sadzby taríf koncových odberateľov elektriny priamo pripojených do prenosovej sústavy na rok t, ktorého hodnota je 0,95. |
| (5) Náklady spojené s korekciou prevádzkovateľa prenosovej sústavy z platieb za prevádzkovanie systému NKPSpps zohľadňujúce náklady a výnosy prevádzkovateľa prenosovej sústavy z platieb za prevádzkovanie systému za rok t-2 sa vyúčtujú organizátorovi krátkodobého trhu s elektrinou mesačne vždy k 15. dňu nasledujúceho mesiaca podľa vzorca |
| vzorec 66 |
| kde |
| a) TPSppst je tarifa za prevádzkovanie systému určená rozhodnutím úradu pre prevádzkovateľa prenosovej sústavy, v eurách na jednotku množstva elektriny na rok t, ktorá sa vypočíta sa podľa vzorca |
| vzorec 67 |
| kde |
| 1. KPSt je korekcia v eurách na rok t KPSt zohľadňujúca náklady a výnosy prevádzkovateľa prenosovej sústavy z platieb za prevádzkovanie systému v roku t-2, |
| 2. QPKStpst je celková plánovaná koncová spotreba elektriny na vymedzenom území na rok t, na ktorú sa uplatňujú tarify za prevádzkovanie systému, |
| 3. QPvdt je celkový plánovaný objem elektriny v jednotkách množstva elektriny v roku t odobratej koncovými odberateľmi elektriny priamo pripojenými do prenosovej sústavy s dobou ročného využitia maxima v roku t-2 vyššou ako 6800 hodín a súčasne pomernou odchýlkou subjektu zúčtovania menšou ako 0,025; dobou ročného využitia maxima sa rozumie podiel celkového ročného preneseného množstva elektriny v roku t-2 a rezervovanej kapacity určenej ako aritmetický priemer mesačných maxím štvrťhodinového výkonu za mesiace november roku t-4 až február roku t-3, |
| 4. Kvdt je koeficient zvýhodnenia odberového diagramu pre individuálne sadzby taríf koncových odberateľov elektriny priamo pripojených do prenosovej sústavy na rok t, ktorého hodnota je 0,95, |
| b) QSKStpst je celková skutočná koncová spotreba elektriny na vymedzenom území za uplynulé obdobie, na ktorú sa uplatňujú tarify za prevádzkovanie systému, |
| c) QSvdt je celkový skutočný objem elektriny v jednotkách množstva elektriny za uplynulé obdobie odobratej koncovými odberateľmi elektriny priamo pripojenými do prenosovej sústavy s dobou ročného využitia maxima v roku t-2 vyššou ako 6 800 hodín a súčasne pomernou odchýlkou subjektu zúčtovania menšou ako 0,025; dobou ročného využitia maxima sa rozumie podiel celkového ročného odobratého množstva elektriny v roku t-2 a rezervovanej kapacity určenej ako aritmetický priemer mesačných maxím štvrťhodinového výkonu za mesiace november roku t-4 až február roku t-3, |
| d) Kvdt je koeficient zvýhodnenia odberového diagramu pre individuálne sadzby taríf koncových odberateľov elektriny priamo pripojených do prenosovej sústavy na rok t, ktorého hodnota je 0,95. |
| Prístup do prenosovej sústavy, prenos elektriny, podporné služby a systémové služby |
| § 19 |
| Všeobecné ustanovenia |
| (1) Cenová regulácia podľa odsekov 2 až 15 a § 20 až 22 sa vzťahuje na prevádzkovateľa prenosovej sústavy, ktorého prenos elektriny v roku t-2 bol vyšší ako 5 000 000 MWh a vykonáva sa určením |
| a) spôsobu výpočtu maximálnej ceny a tarify za prístup do prenosovej sústavy a prenos elektriny, |
| b) spôsobu výpočtu maximálnej ceny a tarify za poskytovanie systémových služieb, |
| c) spôsobu výpočtu maximálnej ceny za poskytovanie podporných služieb. |
| (2) Súčasťou návrhu ceny sú |
| a) návrh cien alebo sadzieb za prístup do prenosovej sústavy a prenos elektriny, za poskytovanie systémových služieb a za poskytovanie podporných služieb, vrátane ich štruktúry, pre rok t, ktoré sa budú uplatňovať pre účastníkov trhu s elektrinou, vrátane podmienok ich pridelenia, |
| b) údaje potrebné na preverenie cien za rok t-2, najmä skutočný objem prenosu elektriny, počet odberných miest v členení po jednotlivých sadzbách, výška zmluvných a nameraných technických maxím v jednotlivých sadzbách v megawattoch, |
| c) plán investícií a plán odpisov za regulovanú činnosť v rokoch t, t+1 a t+2, |
| d) výpočty a údaje podľa § 20 až 22, týkajúce sa prístupu do prenosovej sústavy a prenosu elektriny a poskytovania podporných služieb a systémových služieb, |
| e) potvrdenie nie staršie ako tri mesiace preukazujúce, že voči regulovanému subjektu nie sú evidované |
| 1. daňové nedoplatky podľa osobitného predpisu26) správcom dane, |
| 2. nedoplatky poistného na zdravotné poistenie, |
| 3. nedoplatky na poistnom na sociálne poistenie a povinných príspevkoch na starobné dôchodkové sporenie, |
| f) podklady podľa prílohy č. 3, |
| g) ďalšie podklady potrebné na správne posúdenie návrhu ceny. |
| (3) Podklady podľa odseku 2 písm. a), b) a d) sa predkladajú aj v elektronickej podobe. |
| (4) Ustanovenia o návrhu ceny sa primerane vzťahujú aj na návrh na zmenu cenového rozhodnutia. |
| (5) Do 30. apríla roku t sa regulovaným subjektom predkladajú tieto údaje |
| a) výška skutočne vynaložených nákladov na nákup podporných služieb v roku t-1, |
| b) výška skutočných výnosov z poskytovania systémových služieb v roku t-1, |
| c) výška skutočných výnosov z penále, pokút a iných platieb, ktoré regulovaný subjekt uplatnil v roku t-1 voči poskytovateľom podporných služieb za neposkytnutie podporných služieb v rozsahu dohodnutom v zmluvách o poskytovaní podporných služieb, |
| d) výška skutočných výnosov z platieb za prevádzkovanie systému v roku t-1, |
| e) výška skutočných investícií v roku t-1, |
| f) výška skutočných výnosov z medzinárodnej prevádzky v roku t-1, |
| g) výška skutočných nákladov na medzinárodnú prevádzku v roku t-1, |
| h) skutočné výnosy v eurách v roku t-1 z uplatnenia úhrad nákladov prevádzkovateľmi distribučných sústav, výrobcami elektriny a koncovými odberateľmi elektriny za pripojenie do prenosovej sústavy. |
| (6) Na účely cenovej regulácie sa oznamuje úradu najneskôr päť mesiacov pred koncom roka t-1 plánované množstvo v roku t a do 20. kalendárneho dňa každého mesiaca skutočné množstvo v predchádzajúcom mesiaci roku t |
| a) fakturovanej prenesenej elektriny v megawatthodinách odobratej koncovými odberateľmi elektriny, ktorí sú priamo pripojení do prenosovej sústavy a prevádzkovateľmi distribučnej sústavy, |
| b) fakturovanej celkovej koncovej spotreby elektriny v megawatthodinách odobratej koncovými odberateľmi elektriny od prevádzkovateľov distribučnej sústavy vrátane koncovej spotreby elektriny odberateľov pripojených do distribučnej sústavy v rámci prevádzky preukázateľne oddelenej od sústavy Slovenskej republiky, |
| c) celkového maximálneho pohotového výkonu v megawattoch zdrojov výrobcov elektriny, ktorí sú pripojení do prenosovej sústavy, |
| d) elektriny odobratej do prenosovej sústavy od jednotlivých výrobcov elektriny, |
| e) elektriny vstupujúcej do prenosovej sústavy vrátane tokov zo zahraničia. |
| (7) Tarify za rezervovanú kapacitu a za prenesenú elektrinu sa určia tak, aby plánovaný výnos z týchto taríf bol najviac vo výške výnosu určeného ako súčin maximálnej ceny za prístup do prenosovej sústavy a prenos elektriny určenej podľa § 20 ods. 1 a plánovaného množstva elektriny QPPt. |
| (8) Platba za prístup do prenosovej sústavy, ktorá sa stanoví ako súčin hodnoty rezervovanej kapacity, koeficientu zahrnutia rezervovanej kapacity výrobcov a tarify za rezervovanú kapacitu sa uhrádza prevádzkovateľovi prenosovej sústavy výrobcom elektriny pripojeným do prenosovej sústavy. To neplatí pre výrobcu elektriny, ktorého zariadenie na výrobu elektriny slúži výlučne na poskytovanie podporných služieb pre prevádzkovateľa prenosovej sústavy alebo výlučne na dodávku regulačnej elektriny a výrobcu elektriny, ktorý prevádzkuje zariadenie na výrobu elektriny z vodnej energie s celkovým inštalovaným výkonom do 5 MW. |
| (9) Výrobcovia elektriny si rezervovanú kapacitu neobjednávajú. Hodnota rezervovanej kapacity sa určí z hodnoty dohodnutého technického dimenzovania pripojenia z výšky dohodnutej v zmluve o pripojení zariadenia na výrobu elektriny do prenosovej sústavy alebo z výšky inštalovaného činného výkonu zariadenia na výrobu elektriny, ak výrobca elektriny nemá uzatvorenú zmluvu o pripojení zariadenia na výrobu elektriny do prenosovej sústavy alebo ak hodnota technického dimenzovania nie je ešte priamo uvedená v existujúcej zmluve o pripojení zariadenia na výrobu elektriny do prenosovej sústavy. |
| (10) Koeficient zahrnutia rezervovanej kapacity výrobcov elektriny sa určí tak, aby plánované platby, ktoré výrobcovia elektriny pripojení do prenosovej sústavy uhrádzajú prevádzkovateľovi prenosovej sústavy za prístup do prenosovej sústavy v roku t boli najviac vo výške výnosu určeného ako súčin 0,5 eura/MWh a plánovaného objemu dodávky elektriny do prenosovej sústavy v roku t výrobcami elektriny pripojenými do prenosovej sústavy. |
| (11) Ceny za prístup do prenosovej sústavy a prenos elektriny sa kalkulujú pri základnom zabezpečení pripojenia užívateľa sústavy štandardným pripojením. Za štandardné pripojenie užívateľa sústavy sa považuje pripojenie jedným napájacím vedením v súlade s technickými podmienkami prevádzkovateľa prenosovej sústavy. Pri pripojení užívateľa sústavy so zvláštnymi nárokmi na spôsob zabezpečenia prenosu elektriny, napríklad cez ďalšie napájacie vedenia sa cena za prístup do prenosovej sústavy určí vo výške 15 % z tarify za rezervovanú kapacitu, ktorá je dohodnutá pre ďalšie napájacie vedenie podľa vydaného cenového rozhodnutia na rok t. Užívateľ sústavy si určí sám, ktoré napájacie vedenie je štandardné a ktoré je ďalšie napájacie vedenie. Iba v prípade prenosu elektriny cez ďalšie napájacie vedenie na základe požiadavky užívateľa sústavy v danom mesiaci sa cena za prístup do prenosovej sústavy určí vo výške 100 % z tarify za rezervovanú kapacitu a cena za prenos elektriny sa určí vo výške 100 % tarify za prenos elektriny, pričom ceny za prístup do prenosovej sústavy a prenos elektriny za štandardné pripojenie nie sú týmto dotknuté. Za nadštandardný prenos elektriny sa nepovažuje pripojenie užívateľa sústavy k prenosovej sústave zaslučkovaním. |
| (12) Do nákladov na výkon regulovanej činnosti (prevádzkových nákladov), ktoré sú zabezpečované regulovaným subjektom, iným ako regulovaným subjektom alebo subjektom, ktorý je alebo bol súčasťou vertikálne integrovaného podniku, je možné zahrnúť len primerané náklady, ktorých výška je v súlade s osobitným predpisom.21) |
| (13) V prípade odberu elektriny z prenosovej sústavy sa výrobcom elektriny okrem výrobcov elektriny, ktorí odberajú elektrinu z prenosovej sústavy výlučne na účely čerpania v prečerpávacích vodných elektrárňach, účtuje dohodnutá rezervovaná kapacita (platba za prístup do prenosovej sústavy) podľa cenového rozhodnutia úradu. |
| (14) Ak je zariadenie na výrobu elektriny výrobcu elektriny pripojené do miestnej distribučnej sústavy, prevádzkovateľom miestnej distribučnej sústavy, do ktorého miestnej distribučnej sústavy je zariadenie na výrobu elektriny výrobcu elektriny pripojené, sa uhrádza prevádzkovateľovi prenosovej sústavy, do ktorého prenosovej sústavy je jeho miestna distribučná sústava pripojená, platba za prístup do prenosovej sústavy vo výške podľa odseku 8 podľa účinného cenového rozhodnutia úradu za prístup do prenosovej sústavy a prenos elektriny na rok t pre prevádzkovateľa prenosovej sústavy. Platba za prístup do prenosovej sústavy vo výške podľa predchádzajúcej vety sa uhrádza prevádzkovateľovi prenosovej sústavy prevádzkovateľom miestnej distribučnej sústavy na základe faktúry vystavenej prevádzkovateľom prenosovej sústavy, a to aj v prípade, ak takýto prevádzkovateľ miestnej distribučnej sústavy nemá s prevádzkovateľom prenosovej sústavy uzatvorenú zmluvu o pripojení alebo zmluvu o prístupe do prenosovej sústavy a prenos elektriny pre zariadenie na výrobu elektriny. To neplatí pre výrobcu elektriny, ktorého zariadenie na výrobu elektriny slúži výlučne na poskytovanie podporných služieb pre prevádzkovateľa prenosovej sústavy alebo výlučne na dodávku regulačnej elektriny a výrobcu elektriny, ktorý prevádzkuje zariadenie na výrobu elektriny z vodnej energie s celkovým inštalovaným výkonom do 5 MW. |
| (15) V prípade pripojenia miestnej distribučnej sústavy alebo výrobcu elektriny do prenosovej sústavy cez existujúce odovzdávacie miesto sa tarifa za prístup do prenosovej sústavy uhrádza za rezervovanú kapacitu zariadenia na výrobu elektriny takto: |
| a) výrobcom elektriny sa prevádzkovateľovi prenosovej sústavy uhradí tarifa za rezervovanú kapacitu zariadenia na výrobu elektriny vo výške podľa odseku 8 alebo tarifa za rezervovanú kapacitu odberu elektriny, ak je výrobca elektriny pripojený do prenosovej sústavy cez existujúce odberné miesto podľa toho, ktorá rezervovaná kapacita je vyššia, |
| b) prevádzkovateľom miestnej distribučnej sústavy sa prevádzkovateľovi prenosovej sústavy uhradí tarifa za rezervovanú kapacitu vo výške podľa odseku 8 zariadenia na výrobu elektriny pripojeného do miestnej distribučnej sústavy, ak je zariadenie na výrobu elektriny prevádzkované inou osobou, ako je prevádzkovateľ miestnej distribučnej sústavy, |
| c) prevádzkovateľom miestnej distribučnej sústavy sa prevádzkovateľovi prenosovej sústavy uhradí tarifa za rezervovanú kapacitu vo výške podľa odseku 8 zariadenia na výrobu elektriny, ktoré prevádzkuje ako výrobca elektriny alebo tarifu za rezervovanú kapacitu odberu miestnej distribučnej sústavy podľa toho, ktorá rezervovaná kapacita je vyššia. |
| § 20 |
| Cena za prístup do prenosovej sústavy a prenos elektriny, postup a podmienky uplatňovania cien |
| (1) Maximálna cena za prístup do prenosovej sústavy a prenos elektriny CPt okrem strát elektriny pri prenose elektriny v eurách na jednotku množstva elektriny na rok t sa vypočíta podľa vzorca |
| 
|
| kde |
| a) PNvych sú schválené alebo určené skutočné ekonomicky oprávnené prevádzkové ročné náklady v eurách v roku 2010 súvisiace s regulovanou činnosťou okrem odpisov súvisiacich s regulovanou činnosťou a nákladov na dispečerskú činnosť prevádzkovateľa prenosovej sústavy na zabezpečenie systémových služieb, |
| b) JPIn je aritmetický priemer indexov jadrovej inflácie v percentách zverejnených štatistickým úradom za obdobie od júla roku n-2 do júna roku n-1, |
| c) X je faktor efektivity, ktorého hodnota v každom roku regulačného obdobia je 3,5, ak je hodnota rozdielu JPIn a X nižšia ako 0, na účely výpočtu maximálnej ceny za prístup do prenosovej sústavy a prenos elektriny na rok t sa hodnota rozdielu JPIn a X rovná 0, |
| d) Ovych je schválená alebo určená východisková hodnota odpisov regulovaného subjektu vo východiskovom roku regulačného obdobia v eurách súvisiacich s regulovanou činnosťou a vypočítaných z RABvych na základe zostatkovej doby technickej životnosti tried aktív nevyhnutne využívaných pre regulovanú činnosť podľa prílohy č. 1 tabuľky č. 2, |
| e) POt sú plánované schválené alebo určené odpisy v eurách na rok t súvisiace s regulovanou činnosťou vypočítané na základe dôb technických životností tried aktív nevyhnutne využívaných na regulovanú činnosť podľa prílohy č. 1 tabuľky č. 3 z plánovaných hodnôt schválených alebo určených investícií v eurách zaradených v roku t-1 do hodnoty regulačnej bázy aktív nevyhnutne využívaných na regulovanú činnosť, |
| f) RABvych je východisková schválená alebo určená hodnota regulačnej bázy aktív v eurách, ktorá sa rovná všeobecnej hodnote majetku57) regulačnej bázy aktív nevyhnutne súvisiacej s regulovanou činnosťou precenenej k 1. januáru 2011, |
| g) WACC je miera výnosnosti regulačnej bázy aktív na regulačné obdobie rokov 2012 až 2016 určená podľa § 5 ods. 2 a 3, |
| h) KDZ je koeficient miery využitia disponibilných zdrojov do investícií súvisiacich s regulovanou činnosťou; KDZ sa na roky 2012 až 2014 rovná jednej a na roky 2015 a 2016 sa určí úradom v intervale od 0,90 do 1,00, |
| i) FINVPt je faktor investícií v eurách na rok t; FINVPt sa na roky 2012 a 2013 rovná nule a na roky 2014 až 2016 sa vypočíta podľa vzorca |
| FINVPt = SOt-2 – POt-2, |
| kde |
| 1. SOt-2 sú skutočné schválené alebo určené odpisy v eurách na rok t-2 súvisiace s regulovanou činnosťou vypočítané na základe dôb technických životností tried aktív nevyhnutne využívaných na regulovanú činnosť podľa prílohy č. 1 tabuľky č. 3 zo skutočných hodnôt schválených alebo určených investícií v eurách zaradených v roku t-3 do hodnoty regulačnej bázy aktív nevyhnutne využívaných na regulovanú činnosť, |
| 2. POt-2 sú plánované schválené alebo určené odpisy v eurách na rok t-2 súvisiace s regulovanou činnosťou vypočítané na základe dôb technických životností tried aktív nevyhnutne využívaných na regulovanú činnosť podľa prílohy č. 1 tabuľky č. 3 z plánovaných hodnôt schválených alebo určených investícií v eurách zaradených v roku t-3 do hodnoty regulačnej bázy aktív nevyhnutne využívaných na regulovanú činnosť, |
| j) MPt je alikvotná časť plánovaných výnosov z medzinárodnej prevádzky v eurách na rok t vypočítaná podľa vzorca |
| vzorec 69 |
| kde |
| 1. ITCt je celkový plánovaný čistý výnos v eurách na rok t po odpočítaní nákladov fakturovaných regulovanému subjektu z platieb účtovaných v rámci ITC mechanizmu, |
| 2. VAt je plánovaný čistý výnos v eurách na rok t po odpočítanie nákladov fakturovaných regulovanému subjektu z aukcii prenosovej kapacity na cezhraničných profiloch prenosovej sústavy, |
| 3. m je koeficient určený cenovým rozhodnutím v rozsahu nula až jeden, |
| k) DVt sú skutočné výnosy v eurách v roku t-2 z uplatnenia úhrad nákladov prevádzkovateľmi distribučných sústav, výrobcami elektriny a koncovými odberateľmi elektriny za pripojenie do sústavy; DVt sa na roky 2012 a 2013 rovná nule, |
| l) QPPt je plánované priemerné množstvo prenesenej elektriny odobratej z prenosovej sústavy koncovými odberateľmi elektriny, ktorí sú priamo pripojení do prenosovej sústavy, výrobcami elektriny, ktorí sú priamo pripojení do prenosovej sústavy, a prevádzkovateľmi distribučnej sústavy v jednotkách množstva elektriny na rok t vypočítané ako priemer ročných hodnôt skutočného príslušného množstva elektriny za roky t-3 a t-2, očakávaného príslušného množstva za rok t-1 a plánovaného príslušného množstva za roky t a t+1, |
| m) NPSZt sú náklady na projekty spoločného záujmu v eurách na rok t. |
| (2) Rezervovaná kapacita v megawattoch v roku t pre každého odberateľa elektriny sa určí ako aritmetický priemer jeho mesačných maxím štvrťhodinového výkonu zo štyroch mesiacov, a to november roku t-2 až február roku t-1. Hodnoty výkonov sa určujú v megawattoch s rozlíšením na tri desatinné miesta. Do celkového objemu rezervovanej kapacity sa započíta aj rezervovaná kapacita pre každého výrobcu elektriny určená podľa § 19 ods. 8, 9, 10 a 15. |
| (3) Podiel výnosov z platieb za rezerváciu kapacity sa z celkových výnosov z platieb za rezerváciu kapacity a z platieb za prenesenú elektrinu určuje koeficientom 0,8. Podiel výnosov z platieb za prenesenú elektrinu sa z celkových výnosov z platieb za rezerváciu kapacity a z platieb za prenesenú elektrinu určuje koeficientom 0,2. |
| (4) Spolu s cenovým návrhom na rok t sa predkladá spôsob výpočtu navrhovaných zložiek taríf za rezervovanú kapacitu v megawattoch a za prenesenú elektrinu. Návrh taríf zohľadňuje plánované výnosy v eurách v roku t z platieb za rezervovanú kapacitu pri výrobe elektriny od výrobcov elektriny pripojených do prenosovej sústavy a charakter odberu elektriny koncových odberateľov elektriny priamo pripojených do prenosovej sústavy, ich spotrebu elektriny a výšku rezervovanej kapacity pripojených užívateľov prenosovej sústavy takto: |
| a) ak rezervovaná kapacita na rok t koncového odberateľa elektriny priamo pripojeného do prenosovej sústavy je viac ako 200 MW a zároveň prenos elektriny pre koncového odberateľa elektriny priamo pripojeného do prenosovej sústavy v roku t-2 bol viac ako 1 TWh, koncovým odberateľom elektriny priamo pripojeným do prenosovej sústavy v roku t sa uhrádzajú prevádzkovateľovi prenosovej sústavy platby za prístup do prenosovej sústavy a prenos elektriny, ktoré sa vypočítajú ako súčin hodnoty rezervovanej kapacity a 70 % z tarify za rezervovanú kapacitu a súčin hodnoty prenesenej elektriny a 70 % z tarify za prenesenú elektrinu, |
| b) ak rezervovaná kapacita na rok t koncového odberateľa elektriny priamo pripojeného do prenosovej sústavy je viac ako 250 MW a zároveň prenos elektriny pre koncového odberateľa elektriny priamo pripojeného do prenosovej sústavy v roku t-2 bol viac ako 2 TWh, koncovým odberateľom elektriny priamo pripojeným do prenosovej sústavy v roku t sa uhrádzajú prevádzkovateľovi prenosovej sústavy platby za prístup do prenosovej sústavy a prenos elektriny, ktoré sa vypočítajú ako súčin hodnoty rezervovanej kapacity a 50 % z tarify za rezervovanú kapacitu a súčin hodnoty prenesenej elektriny a 50 % z tarify za prenesenú elektrinu, |
| c) ak rezervovaná kapacita na rok t koncového odberateľa elektriny priamo pripojeného do prenosovej sústavy je viac ako 350 MW a zároveň prenos elektriny pre koncového odberateľa elektriny priamo pripojeného do prenosovej sústavy v roku t-2 bol viac ako 2,5 TWh, koncovým odberateľom elektriny priamo pripojeným do prenosovej sústavy v roku t sa uhrádzajú prevádzkovateľovi prenosovej sústavy platby za prístup do prenosovej sústavy a prenos elektriny, ktoré sa vypočítajú ako súčin hodnoty rezervovanej kapacity a 30 % z tarify za rezervovanú kapacitu a súčin hodnoty prenesenej elektriny a 30 % z tarify za prenesenú elektrinu. |
| § 21 |
| Spôsob výpočtu tarify za straty pri prenose elektriny, postup a podmienky uplatňovania cien |
| (1) Povolené plánované množstvo strát elektriny pri prenose QPLt v jednotkách množstva elektriny na rok t sa vypočíta podľa vzorca |
| vzorec 70 |
| kde |
| a) VstEPS,t je celkové plánované množstvo elektriny v jednotkách množstva elektriny vstupujúce do prenosovej sústavy na rok t vrátane tokov zo zahraničia, |
| b) PPSCPS,t je percento plánovaných strát elektriny pri prenose elektriny prenosovou sústavou na rok t vypočítané podľa vzorca |
| vzorec 71 |
| ak výsledok výpočtu vzorec 72 je vačší ako 1, tak |
| PPSCPS,t sa rovná 1, |
| kde |
| 1. SQPLt je ročný priemer zo súčtu skutočného množstva strát elektriny pri prenose elektriny za roky t-3 a t-2, očakávaného množstva strát elektriny pri prenose elektriny za rok t-1 a plánovaného množstva strát elektriny pri prenose elektriny za roky t a t+1 v jednotkách množstva elektriny, |
| 2. SVstEPS,t je ročný priemer zo súčtu skutočného množstva elektriny vstupujúceho do prenosovej sústavy za roky t-3 a t-2 vrátane tokov zo zahraničia, očakávaného množstva elektriny vstupujúceho do prenosovej sústavy za rok t-1 vrátane tokov zo zahraničia a plánovaného množstva elektriny vstupujúceho do prenosovej sústavy za roky t a t+1 vrátane tokov zo zahraničia v jednotkách množstva elektriny. |
| (2) Užívateľom prenosovej sústavy sa uplatňuje tarifa za straty elektriny pri prenose elektriny PSstratyt a výnos z týchto platieb sa nezahŕňa do výnosu za prístup do prenosovej sústavy a prenos elektriny. Výška tarify za straty elektriny pri prenose elektriny PSstratyt v eurách na jednotku množstva elektriny odobratej z prenosovej sústavy v roku t sa vypočíta podľa vzorca |
| vzorec 73 |
| kde |
| a) QPLt je povolené plánované množstvo strát elektriny pri prenose elektriny v jednotkách množstva elektriny na rok t podľa odseku 1, |
| b) PLEt je schválená alebo určená cena elektriny na účely pokrytia strát elektriny pri prenose elektriny v eurách na jednotku množstva elektriny na rok t vypočítaná podľa vzorca |
| vzorec 74 |
| kde |
| 1. CEPXE,t je aritmetický priemer denných cien oficiálneho kurzového lístka zverejneného burzou PXE (POWER EXCHANGE CENTRAL EUROPE) na jej webovom sídle, produktu F PXE SK BL Cal-t v eurách na jednotku množstva elektriny za obdobie od 1. januára roku t-1 do 30. júna roku t-1, |
| 2. kt je koeficient na rok t v percentách určený cenovým rozhodnutím v rozsahu najviac 10 % v závislosti od plánovaného diagramu strát elektriny pri prenose elektriny na rok t, |
| 3. Ot sú schválené alebo určené plánované náklady regulovaného subjektu v eurách na jednotku množstva elektriny na rok t na odchýlku súvisiacu s plánovaným diagramom strát elektriny na rok t pri prenose elektriny; tieto náklady sa stanovia pomerne k skutočným nákladom za obdobie január až jún t-1, |
| c) QPLprenost je plánované množstvo elektriny odobratej z prenosovej sústavy v jednotkách množstva elektriny na rok t, |
| d) FPSt je faktor strát pri prenose elektriny v eurách na jednotku množstva elektriny na rok t, ktorý sa vypočíta podľa vzorca |
| vzorec 75 |
| kde |
| 1. PSstratyt-2 je tarifa za straty elektriny pri prenose elektriny v eurách na jednotku množstva elektriny odobratej z prenosovej sústavy v roku t-2, |
| 2. QPLprenost-2 je plánované množstvo elektriny odobratej z prenosovej sústavy v jednotkách množstva elektriny na rok t-2, |
| 3. QSKprenost-2 je skutočné množstvo elektriny odobratej z prenosovej sústavy v jednotkách množstva elektriny v roku t-2, |
| 4. PLEt-2 je schválená alebo určená cena elektriny na účely pokrytia strát elektriny pri prenose elektriny v eurách na jednotku množstva elektriny na rok t-2, |
| 5. QPLt-2 je povolené plánované množstvo strát elektriny pri prenose elektriny na rok t-2, |
| 6. QSKt-2 je skutočné množstvo strát elektriny pri prenose elektriny v roku t-2. |
| § 22 |
| Cena za poskytovanie podporných služieb v elektroenergetike a regulačnej elektriny, postup a podmienky uplatňovania cien |
| (1) Na základe dohodnutého a schváleného technického rozsahu jednotlivých druhov podporných služieb sa prevádzkovateľovi prenosovej sústavy určujú celkové plánované náklady v eurách na nákup všetkých druhov podporných služieb PPSt od výrobcov elektriny a ostatných poskytovateľov podporných služieb. |
| (2) Na základe porovnania nákladov na poskytovanie podporných služieb a s prihliadnutím na osobitosti poskytovania podporných služieb v podmienkach Slovenskej republiky sa priamym určením určuje na rok t maximálna cena za poskytovanie primárnej regulácie činného výkonu, sekundárnej regulácie činného výkonu, terciárnych regulácií činného výkonu v eurách na jednotku disponibilného elektrického výkonu a maximálny ročný náklad na zabezpečenie poskytovania diaľkovej regulácie napätia a jalového výkonu a štartu z tmy v eurách a maximálna cena ponúkanej kladnej regulačnej elektriny alebo minimálna cena ponúkanej zápornej regulačnej elektriny v eurách na jednotku množstva elektriny pri aktivácii predmetného druhu podpornej služby. Na prednostné využívanie podporných služieb prevádzkovateľom prenosovej sústavy zo zariadení na výrobu elektriny výrobcov elektriny, ktoré vyrábajú elektrinu z domáceho uhlia, sa vzťahuje rozhodnutie ministerstva hospodárstva o uložení povinnosti vo všeobecnom hospodárskom záujme. |
| (3) Cena za obstaranú regulačnú elektrinu v eurách na jednotku množstva elektriny sa určuje na základe ponukových cien využitých elektroenergetických zariadení poskytovateľov podporných služieb ako |
| a) najvyššia cena zdroja poskytujúceho regulačnú elektrinu v štvrťhodinovom rozlíšení, ak je regulačná elektrina kladná, najviac však maximálna cena určená cenovým rozhodnutím v eurách za jednotku množstva elektriny, |
| b) najnižšia cena zdroja poskytujúceho regulačnú elektrinu v štvrťhodinovom rozlíšení, ak je regulačná elektrina záporná, najmenej však minimálna cena určená cenovým rozhodnutím v eurách za jednotku množstva elektriny. |
| (4) V každej obchodnej hodine v štvrťhodinovom rozlíšení sa osobitne vyhodnocuje kladná regulačná elektrina a osobitne záporná regulačná elektrina, kde kladná regulačná elektrina sa použije na vyrovnanie kladnej odchýlky sústavy a záporná regulačná elektrina sa použije na vyrovnanie zápornej odchýlky sústavy. |
| § 23 |
| Určenie tarify za systémové služby v elektroenergetike |
| (1) Tarifa za systémové služby sa vypočíta ako podiel plánovaných nákladov zvýšených o primeraný zisk na systémové služby stanovených podľa odseku 2 a celkovej plánovanej koncovej spotreby elektriny na vymedzenom území,53) na ktorú sa uplatňujú tarify za systémové služby, a vypočíta sa podľa vzorca |
| vzorec 75 |
| kde |
| a) NPSSt sú plánované náklady na systémové služby s primeraným ziskom, |
| b) QPKStsst je celková plánovaná koncová spotreba elektriny na vymedzenom území na rok t, na ktorú sa uplatňujú tarify sa systémové služby, |
| c) QPvdt je celkový plánovaný objem elektriny v jednotkách množstva elektriny v roku t odobratej koncovými odberateľmi elektriny priamo pripojenými do prenosovej sústavy s dobou ročného využitia maxima v roku t-2 vyššou ako 6800 hodín a súčasne pomernou odchýlkou subjektu zúčtovania menšou ako 0,025; dobou ročného využitia maxima sa rozumie podiel celkového ročného preneseného množstva elektriny v roku t-2 a rezervovanej kapacity určenej ako aritmetický priemer mesačných maxím štvrťhodinového výkonu za mesiace november roku t-4 až február roku t-3; splnenie podmienok zvýhodnenia odberového diagramu na rok t sa preukazuje znaleckým posudkom, ktorý sa predkladá prevádzkovateľovi prenosovej sústavy, organizátorovi krátkodobého trhu s elektrinou a úradu, a to tými koncovými odberateľmi priamo pripojenými do prenosovej sústavy, u ktorých je predpoklad splnenia týchto podmienok v roku t, |
| d) Kvdt je koeficient zvýhodnenia odberového diagramu pre individuálne sadzby taríf koncových odberateľov elektriny priamo pripojených do prenosovej sústavy na rok t, ktorého hodnota je 0,95, |
| (2) Plánované náklady na systémové služby s primeraným ziskom sa vypočítajú podľa vzorca |
| vzorec 77 |
| kde |
| a) PPSt sú celkové schválené alebo určené plánované náklady prevádzkovateľa prenosovej sústavy na nákup podporných služieb v roku t, od poskytovateľov podporných služieb podľa osobitného predpisu58) v eurách, |
| b) PNDispvych sú schválené alebo určené skutočné ekonomicky oprávnené prevádzkové ročné náklady v eurách v roku 2010 na dispečerskú činnosť prevádzkovateľa prenosovej sústavy na zabezpečenie systémových služieb okrem odpisov, |
| c) JPIn je aritmetický priemer indexov jadrovej inflácie zverejnených štatistickým úradom za obdobie od júla roku n-2 do júna roku n-1, |
| d) X je faktor efektivity, ktorého hodnota v každom roku regulačného obdobia je 3,5: ak je hodnota rozdielu JPIn a X nižšia ako 0, na účely výpočtu plánovaných nákladov na systémové služby s primeraným ziskom na rok t sa hodnota rozdielu JPIn a X rovná 0, |
| e) ODispvych je schválená alebo určená východisková hodnota odpisov regulovaného subjektu vo východiskovom roku regulačného obdobia v eurách súvisiacich s dispečerskou činnosťou vztiahnutých na RABDispvych a vypočítaných na základe zostatkovej doby technickej životnosti tried aktív nevyhnutne využívaných pre dispečerskú činnosť podľa prílohy č. 1 tabuľky č. 2, |
| f) PODispt sú plánované schválené alebo určené odpisy v eurách na rok t súvisiace s dispečerskou činnosťou vypočítané na základe dôb technických životností tried aktív nevyhnutne využívaných na regulovanú činnosť podľa prílohy č. 1 tabuľky č. 3 z plánovaných hodnôt schválených alebo určených investícií v eurách zaradených v roku t-1 do hodnoty regulačnej bázy aktív nevyhnutne využívaných na dispečerskú činnosť, |
| g) RABDispvych je východisková schválená alebo určená hodnota regulačnej bázy aktív v eurách, ktorá sa rovná všeobecnej hodnote majetku regulačnej bázy aktív nevyhnutne súvisiacej s dispečerskou činnosťou precenenej k 1. januáru roka 2011, |
| h) WACC je miera výnosnosti regulačnej bázy aktív na regulačné obdobie rokov 2012 až 2016 určená podľa § 5 ods. 2 a 3, |
| i) FINVDispt je faktor investícií v eurách na rok t; FINVDispt sa na roky 2012 a 2013 rovná nule a na roky 2014 až 2016 sa vypočíta podľa vzorca |
| vzorec 78 |
| kde |
| 1. SODispt-2 sú skutočné schválené alebo určené odpisy v eurách na rok t-2 súvisiace s dispečerskou činnosťou vypočítané na základe dôb technických životností tried aktív nevyhnutne využívaných na regulovanú činnosť podľa prílohy č. 1 tabuľky č. 3 zo skutočných hodnôt schválených alebo určených investícií v eurách zaradených v roku t-3 do hodnoty regulačnej bázy aktív nevyhnutne využívaných na dispečerskú činnosť, |
| 2. PODispt-2 sú plánované schválené alebo určené odpisy v eurách na rok t-2 súvisiace s dispečerskou činnosťou vypočítané na základe dôb technických životností tried aktív nevyhnutne využívaných na regulovanú činnosť podľa prílohy č. 1 tabuľky č. 3 z plánovaných hodnôt schválených alebo určených investícií v eurách zaradených v roku t-3 do hodnoty regulačnej bázy aktív nevyhnutne využívaných na dispečerskú činnosť, |
| j) KS t je faktor vyrovnania v eurách v roku t vypočítaný podľa odseku 6. |
| (3) Faktor vyrovnania v eurách na rok t sa vypočíta podľa vzorca |
| KSt = NSSSt-2 - NPSSt-2 - (1 - s) x (SPSt-2 - PPSt-2) - Naukct-2 - CVt-2 + 0,7 x GCCt-2 |
| kde |
| a) s je koeficient delenia rozdielu medzi skutočnými nákladmi a plánovanými nákladmi na nákup podporných služieb regulovaného subjektu medzi regulovaný subjekt a subjekty zúčtovania určený cenovým rozhodnutím v rozsahu nula až jedna, |
| b) SPSt-2 sú celkové skutocné náklady prevádzkovateľa prenosovej sústavy na nákup podporných služieb od poskytovatelov podporných služieb v eurách v roku t-2, |
| c) PPSt-2 sú celkové schválené alebo určené plánované náklady prevádzkovateľa prenosovej sústavy na nákup podporných služieb v roku t od poskytovateľov podporných služieb v eurách v roku t-2, |
| d) Naukct-2 sú skutočné náklady prevádzkovateľa prenosovej sústavy na aukcie potrebné na dovoz podporných služieb zo zahraničia v roku t-2, |
| e) CVt-2 je skutočný dopad z cezhraničnej výpomoci v eurách v roku t-2, ktorý sa vypočíta podľa vzorca |
| 
|
| kde |
| 1. NOcvt-2 sú skutočné náklady prevádzkovateľa prenosovej sústavy ako subjektu zúčtovania odchýlok za spôsobenú odchýlku súvisiace s cezhraničnou výpomocou v roku t-2, |
| 2. VOcvt-2 sú skutočné výnosy prevádzkovateľa prenosovej sústavy ako subjektu zúčtovania odchýlok za spôsobenú odchýlku súvisiace s cezhraničnou výpomocou v roku t-2, |
| 3. NREcvt-2 sú skutočné náklady prevádzkovateľa prenosovej sústavy ako dodávateľa regulačnej elektriny z cezhraničnej výpomoci v roku t-2, |
| 4. VREcvt-2 sú skutočné výnosy prevádzkovateľa prenosovej sústavy ako dodávateľa regulačnej elektriny z cezhraničnej výpomoci v roku t-2, |
| 5. Ncvt-2 sú skutočné náklady prevádzkovateľa prenosovej sústavy za cezhraničnú výpomoc poskytnutú ostatnými prevádzkovateľmi prenosových sústav v roku t-2, |
| 6. Vcvt-2 sú skutočné výnosy prevádzkovateľa prenosovej sústavy za cezhraničnú výpomoc poskytnutú ostatným prevádzkovateľom prenosových sústav v roku t-2. |
| f) GCCt-2 je skutočný dopad z regulačnej elektriny obstaranej v rámci systému GCC v eurách v roku t-2; GCCt-2 za rok 2011 sa rovná nule a za roky 2012 až 2014 sa vypočíta podľa vzorca |
| vzorec 81 |
| kde |
| 1. VGCCt-2 sú skutočné výnosy prevádzkovateľa prenosovej sústavy za predaj regulačnej elektriny obstaranej automatickou aktiváciu regulačnej elektriny s parametrami sekundárnej regulácie výkonu prostredníctvom riadiaceho informačného systému dispečingu prevádzkovateľa prenosovej sústavy v spolupráci so susednými prevádzkovateľmi prenosových sústav v rámci systému GCC v eurách v roku t-2, |
| 2. NGCCt-2 sú skutočné náklady prevádzkovateľa prenosovej sústavy na nákup regulačnej elektriny obstaranej automatickou aktiváciu regulačnej elektriny s parametrami sekundárnej regulácie výkonu prostredníctvom riadiaceho informačného systému dispečingu prevádzkovateľa prenosovej sústavy v spolupráci so susednými prevádzkovateľmi prenosových sústav v rámci systému GCC v eurách v roku t-2, |
| 3. VREGCCt-2 sú skutočné výnosy prevádzkovateľa prenosovej sústavy ako dodávateľa regulačnej elektriny typu sekundárnej regulácie výkonu obstaranej prevádzkovateľom prenosovej sústavy v systéme GCC v eurách v roku t-2, |
| 4. NREGCCt-2 sú skutočné náklady prevádzkovateľa prenosovej sústavy ako dodávateľa regulačnej elektriny typu sekundárnej regulácie výkonu obstaranej prevádzkovateľom prenosovej sústavy v systéme GCC v eurách v roku t-2, |
| g) NSSSt-2 sú skutočné náklady spojené so systémovými službami vyúčtované prevádzkovateľom prenosovej sústavy v roku t-2, |
| h) NPSSt-2 sú plánované náklady na systémové služby na rok t-2 s primeraným ziskom. |
| (4) Pre odberateľa elektriny priamo pripojeného do prenosovej sústavy sa uplatňuje tarifa za systémové služby TSSt v eurách na jednotku množstva elektriny za prenesenú elektrinu vrátane elektriny vyrobenej v jeho vlastnom zariadení na výrobu elektriny a spotrebovanej na vlastnú spotrebu elektriny tohto odberateľa elektriny alebo dodanej iným odberateľom elektriny bez použitia prenosovej sústavy okrem vlastnej spotreby elektriny pri výrobe elektriny, ktorá nie je odobratá z nadradenej sústavy. |
| (5) Pre odberateľa elektriny pripojeného do regionálnej distribučnej sústavy sa uplatňuje tarifa za systémové služby TSSt za distribuovanú elektrinu vrátane elektriny vyrobenej v jeho vlastnom zariadení na výrobu elektriny a spotrebovanej na vlastnú spotrebu elektriny tohto odberateľa elektriny alebo dodanej iným odberateľom elektriny bez použitia regionálnej distribučnej sústavy okrem vlastnej spotreby elektriny pri výrobe elektriny, ktorá nie je odobratá z nadradenej sústavy. |
| (6) Pre odberateľa elektriny pripojeného do miestnej distribučnej sústavy sa uplatňuje tarifa za systémové služby TSSt za všetku elektrinu odobratú z nadradenej sústavy a distribuovanú odberateľom elektriny pripojeným do tejto miestnej distribučnej sústavy vrátane elektriny vyrobenej vo vlastnom zariadení na výrobu elektriny alebo v inom zariadení na výrobu elektriny pripojených do tejto miestnej distribučnej sústavy a spotrebovanej na vlastnú spotrebu elektriny alebo dodanej odberateľom elektriny bez použitia nadradenej sústavy okrem vlastnej spotreby elektriny pri výrobe elektriny, ktorá nie je odobratá z nadradenej distribučnej sústavy. |
| (7) Pre odberateľa elektriny, ktorý odoberá elektrinu od výrobcu elektriny bez použitia prenosovej sústavy alebo distribučnej sústavy, sa výrobcom elektriny uplatňuje tomuto odberateľovi elektriny tarifa za systémové služby TSSt na celé množstvo takto odobratej elektriny. |
| (8) Tarifa za systémové služby sa neuplatňuje na straty elektriny v sústave, za vlastnú spotrebu prevádzkovateľa sústavy pri prevádzkovaní sústavy, za vlastnú spotrebu elektriny pri výrobe elektriny, ktorá nie je odobratá z nadradenej distribučnej sústavy ani za spotrebu elektriny na prečerpávanie v prečerpávacích vodných elektrárňach. |
| § 24 |
| (1) Ak účastník trhu s elektrinou zvolil pre svoje odberné alebo odovzdávacie miesto režim prenesenej zodpovednosti za odchýlku, uhrádza sa platba za systémové služby účastníkovi trhu s elektrinou, ktorý za jeho odberné alebo odovzdávacie miesto prevzal zodpovednosť za odchýlku. |
| (2) Ak účastník trhu s elektrinou prevzal zodpovednosť za odchýlku za odberné alebo odovzdávacie miesto iného účastníka trhu s elektrinou a nie je subjektom zúčtovania, uhrádza sa platba za systémové služby účastníkovi trhu s elektrinou, ktorý za neho prevzal zodpovednosť za odchýlku. |
| (3) Skutočná koncová spotreba elektriny na odbernom alebo odovzdávacom mieste QSKStssoomt, na ktorú sa uplatňuje tarifa za systémové služby, sa určí podľa vzorca |
| vzorec 82 |
| kde |
| a) QSKStpsoomt je celková skutočná koncová spotreba elektriny na odbernom alebo odovzdávacom mieste v roku t, na ktorú sa uplatňujú tarify za systémové služby, |
| b) QSvdoomt je celkový plánovaný objem elektriny v jednotkách množstva elektriny v roku t odobratej koncovými odberateľmi elektriny priamo pripojenými do prenosovej sústavy s dobou ročného využitia maxima v roku t-2 vyššou ako 6800 hodín a súčasne pomernou odchýlkou subjektu zúčtovania menšou ako 0,025; dobou ročného využitia maxima sa rozumie podiel celkového ročného preneseného množstva elektriny v roku t-2 a rezervovanej kapacity určenej ako aritmetický priemer mesačných maxím štvrťhodinového výkonu za mesiace november roku t-4 až február roku t-3, |
| c) Kvdt je koeficient zvýhodnenia odberového diagramu pre individuálne sadzby taríf koncových odberateľov elektriny priamo pripojených do prenosovej sústavy na rok t, ktorého hodnota je 0,95. |
| § 25 |
| Podmienky uplatňovania tarify za systémové služby účastníkmi trhu s elektrinou |
| (1) Náklady na systémové služby sa vyúčtujú organizátorom krátkodobého trhu s elektrinou všetkým subjektom zúčtovania s vlastnou zodpovednosťou za odchýlku55) daňovým dokladom mesačne k 15. dňu nasledujúceho mesiaca podľa vzorca |
| vzorec 83 |
| kde |
| a) QSKStssszi je skutočná celková koncová spotreba elektriny i-tého subjektu zúčtovania s vlastnou zodpovednosťou za odchýlku, na ktorú sa uplatňujú tarify za systémové služby, |
| b) QSvdt je celkový skutočný objem elektriny v jednotkách množstva elektriny odobratej koncovými odberateľmi elektriny, ktorí patria do bilančnej skupiny i-tého subjektu zúčtovania s vlastnou zodpovednosťou za odchýlku a sú priamo pripojení do prenosovej sústavy s dobou ročného využitia maxima v roku t-2 vyššou ako 6800 hodín a súčasne pomernou odchýlkou subjektu zúčtovania menšou ako 0,025; dobou ročného využitia maxima sa rozumie podiel celkového ročného odobratého množstva elektriny v roku t-2 a rezervovanej kapacity určenej ako aritmetický priemer mesačných maxím štvrťhodinového výkonu za mesiace november roku t-4 až február roku t-3, |
| c) Kvdt je koeficient zvýhodnenia odberového diagramu pre individuálne sadzby taríf koncových odberateľov elektriny priamo pripojených do prenosovej sústavy na rok t, ktorého hodnota je 0,95. |
| (2) Náklady na systémové služby sa neúčtujú za celkovú koncovú spotrebu elektriny na prečerpávanie v prečerpávacích vodných elektrárňach ani malým výrobcom elektriny, ktorí nepodnikajú v energetike podľa osobitného predpisu.59) |
| (3) Náklady prevádzkovateľa prenosovej sústavy spojené so systémovými službami NSSps sa vyúčtovávajú organizátorovi krátkodobého trhu s elektrinou mesačne vždy k 15. dňu nasledujúceho mesiaca podľa vzorca |
| vzorec 84 |
| kde |
| a) QSKStsst je celková skutočná koncová spotreba elektriny na vymedzenom území za uplynulé obdobie, na ktorú sa uplatňujú tarify za systémové služby, |
| b) QSvdt je celkový skutočný objem elektriny v jednotkách množstva elektriny za uplynulé obdobie odobratej koncovými odberateľmi elektriny priamo pripojenými do prenosovej sústavy s dobou ročného využitia maxima v roku t-2 vyššou ako 6 800 hodín a súčasne pomernou odchýlkou subjektu zúčtovania menšou ako 0,025; dobou ročného využitia maxima sa rozumie podiel celkového ročného odobratého množstva elektriny v roku t-2 a rezervovanej kapacity určenej ako aritmetický priemer mesačných maxím štvrťhodinového výkonu za mesiace november roku t-4 až február roku t-3, |
| c) Kvdt je koeficient zvýhodnenia odberového diagramu pre individuálne sadzby taríf koncových odberateľov elektriny priamo pripojených do prenosovej sústavy na rok t, ktorého hodnota je 0,95. |
| Prístup do distribučnej sústavy a distribúcia elektriny prevádzkovateľom regionálnej distribučnej sústavy |
| § 26 |
| Všeobecné ustanovenia |
| (1) Cenová regulácia podľa odsekov 2 až 35 a § 27 a 28 sa vzťahuje na prevádzkovateľa regionálnej distribučnej sústavy. |
| (2) Súčasťou návrhu ceny sú |
| a) návrh cien alebo sadzieb za prístup do distribučnej sústavy a distribúciu elektriny, vrátane ich štruktúry, na rok t, ktoré sa budú uplatňovať pre účastníkov trhu s elektrinou, vrátane podmienok ich pridelenia, |
| b) údaje potrebné na preverenie cien za rok t-2, najmä skutočný objem distribúcie elektriny, počet odberných miest v členení po jednotlivých sadzbách, výšku zmluvných a nameraných technických maxím v jednotlivých sadzbách v megawattoch, |
| c) plán investícií a plán odpisov za regulovanú činnosť v rokoch t, t+1 a t+2, |
| d) výpočty a údaje podľa § 27 a 28, týkajúce sa prístupu do distribučnej sústavy a distribúciu elektriny a uplatňovania tarify za systémové služby a tarify za prevádzkovanie systému, |
| e) potvrdenie nie staršie ako tri mesiace preukazujúce, že voči regulovanému subjektu nie sú evidované |
| 1. daňové nedoplatky podľa osobitného predpisu26) správcom dane, |
| 2. nedoplatky poistného na zdravotné poistenie, |
| 3. nedoplatky na poistnom na sociálne poistenie a povinných príspevkoch na starobné dôchodkové sporenie, |
| f) podklady podľa prílohy č. 4, |
| g) ďalšie podklady potrebné na správne posúdenie návrhu ceny. |
| (3) Podklady podľa odseku 2 písm. a), b) a d) sa predkladajú aj v elektronickej podobe. |
| (4) Ustanovenia o návrhu ceny sa primerane vzťahujú aj na návrh na zmenu cenového rozhodnutia. |
| (5) Na účely cenovej regulácie sa úradu oznamuje najneskôr do 31. augusta roku t-1 plánované množstvo elektriny v roku t a do 25. dňa každého mesiaca skutočné alebo prepočítané množstvá v závislosti na type merania v predchádzajúcom mesiaci roku t elektriny odobratej z príslušnej distribučnej sústavy |
| a) prevádzkovateľmi distribučnej sústavy a koncovými odberateľmi elektriny vrátane elektriny odobratej prevádzkovateľmi distribučnej sústavy a koncovými odberateľmi elektriny v rámci prevádzky preukázateľne oddelenej od sústavy Slovenskej republiky, |
| b) prevádzkovateľmi distribučnej sústavy a koncovými odberateľmi elektriny v rámci prevádzky preukázateľne oddelenej od sústavy Slovenskej republiky. |
| (6) Maximálna cena za prístup do distribučnej sústavy a distribúciu elektriny sa určuje osobitne pre každú napäťovú úroveň a rozpočíta sa na príslušnej napäťovej úrovni ako vážený priemer jednotlivých taríf. |
| (7) Na napäťovej úrovni nízkeho napätia sa určená tarifa za prístup do distribučnej sústavy a distribúciu elektriny rozpočíta najviac do jedenástich sadzieb pre odberateľov elektriny okrem odberateľov elektriny v domácnostiach takto: |
| a) C1 je jednopásmová sadzba s nižšou spotrebou elektriny, |
| b) C2 je jednopásmová sadzba so strednou spotrebou elektriny, |
| c) C3 je jednopásmová sadzba s vyššou spotrebou elektriny, |
| d) C4 je dvojpásmová sadzba s nižšou spotrebou elektriny, nízke pásmo sa poskytuje minimálne osem hodín denne, |
| e) C5 je dvojpásmová sadzba so strednou spotrebou elektriny; nízke pásmo sa poskytuje minimálne osem hodín denne, |
| f) C6 je dvojpásmová sadzba s vyššou spotrebou elektriny; nízke pásmo sa poskytuje minimálne osem hodín denne, |
| g) C7 je dvojpásmová sadzba; nízke pásmo sa poskytuje minimálne 20 hodín denne s blokovaním priamovýhrevných elektrických spotrebičov v čase vysokého pásma, |
| h) C8 je dvojpásmová sadzba pre tepelné čerpadlo; nízke pásmo sa poskytuje minimálne 20 hodín denne s blokovaním výhrevných elektrických spotrebičov v čase vysokého pásma, |
| i) C9 je sadzba pre nemerané odbery elektriny, |
| j) C10 je sadzba pre verejné osvetlenie, |
| k) C11 je sadzba pre dočasné odbery elektriny. |
| (8) Na napäťovej úrovni nízkeho napätia sa určená maximálna cena za prístup do distribučnej sústavy a distribúciu elektriny rozpočíta najviac do ôsmich sadzieb pre odberateľov elektriny v domácnostiach takto: |
| a) D1 je jednopásmová sadzba s nižšou spotrebou elektriny, |
| b) D2 je jednopásmová sadzba s vyššou spotrebou elektriny, |
| c) D3 je dvojpásmová sadzba; nízke pásmo sa poskytuje minimálne osem hodín denne s fixne určenými intervalmi času prevádzky v nízkom pásme, pričom aspoň jeden interval sa poskytuje v nepretržitom trvaní minimálne tri hodiny, blokovanie elektrických spotrebičov sa nevyžaduje. Prevádzkovateľ distribučnej sústavy zverejní informáciu o fixnom čase trvania intervalu v nepretržitom trvaní času prevádzky v nízkom pásme minimálne tri hodiny odberateľovi elektriny, |
| d) D4 je dvojpásmová sadzba; nízke pásmo sa poskytuje minimálne osem hodín denne s blokovaním akumulačných elektrických spotrebičov v čase vysokého pásma, |
| e) D5 je dvojpásmová sadzba pre priamovyhrevné elektrické vykurovanie; nízke pásmo sa poskytuje minimálne 20 hodín denne s blokovaním priamovýhrevných elektrických spotrebičov v čase vysokého pásma, |
| f) D6 je dvojpásmová sadzba pre tepelné čerpadlo; nízke pásmo sa poskytuje minimálne 20 hodín denne s blokovaním elektrických spotrebičov na vykurovanie v čase vysokého pásma, |
| g) D7 je dvojpásmová sadzba, nízke pásmo sa poskytuje celoročne od piatka 15:00 hodiny do pondelka 6:00 hodiny bez blokovania elektrických spotrebičov, |
| h) D8 je dvojpásmová sadzba, nízke pásmo sa poskytuje minimálne osem hodín denne s blokovaním akumulačných spotrebičov elektriny v čase vysokého pásma s určeným minimálnym inštalovaným výkonom akumulačných spotrebičov. |
| (9) Spolu s návrhom ceny na rok t sa predkladá odôvodnenie k spôsobu výpočtu navrhovaných cien a taríf. |
| (10) Na účely regulácie ceny za prístup do distribučnej sústavy a distribúciu elektriny napäťová úroveň veľmi vysokého napätia zahŕňa sústavu veľmi vysokého napätia, napäťová úroveň vysokého napätia zahŕňa sústavu vysokého napätia vrátane transformácie veľmi vysokého napätia na vysoké napätie a napäťová úroveň nízkeho napätia zahŕňa sústavu nízkeho napätia vrátane transformácie vysokého napätia na nízke napätie. |
| (11) Na účely uplatnenia tarify za prístup do prenosovej sústavy a prenos elektriny sa poskytujú prevádzkovateľovi prenosovej sústavy údaje o skutočnom množstve elektriny v jednotkách množstva elektriny, ktorú odoberú prevádzkovatelia distribučnej sústavy a koncoví odberatelia elektriny z distribučnej sústavy regulovaného subjektu vrátane prevádzkovateľov distribučnej sústavy a odberateľov elektriny pripojených v rámci prevádzky preukázateľne oddelenej od sústavy Slovenskej republiky, a skutočné údaje o množstve elektriny v jednotkách množstva elektriny, ktorú odoberú prevádzkovatelia distribučnej sústavy a koncoví odberatelia elektriny z distribučnej sústavy regulovaného subjektu v rámci prevádzky preukázateľne oddelenej od sústavy Slovenskej republiky, a to vždy za príslušný mesiac do ôsmeho kalendárneho dňa nasledujúceho mesiaca. |
| (12) Ak cena za prístup do distribučnej sústavy a distribúciu elektriny alebo tarifa za straty pri distribúcii elektriny v roku t proti roku t-1 spôsobí na napäťovej úrovni nízkeho napätia väčšiu zmenu, ako je násobok JPI-X, uplatní sa alokácia ekonomicky oprávnených nákladov za prístup do prenosovej sústavy a prenos elektriny vrátane strát elektriny pri prenose elektriny alebo alokácia ekonomicky oprávnených nákladov za straty elektriny pri distribúcii elektriny medzi napäťovými úrovňami takým spôsobom, aby bola percentuálna zmena cien distribúcie a strát pri distribúcii elektriny na všetkých napäťových úrovniach rovnaká, kde JPI je aritmetický priemer indexov jadrovej inflácie zverejnených štatistickým úradom za obdobie od júla roku t-2 do júna roku t-1 a X je faktor efektivity. |
| (13) Podiel výnosov z platieb za rezerváciu výkonu a celkových výnosov za prístup do distribučnej sústavy a distribúciu elektriny okrem výnosov za straty elektriny pri distribúcii elektriny sa určuje maximálne do výšky 0,65. Medziročná zmena podielu výnosov z platieb za rezervovanú kapacitu a celkových výnosov za prístup do distribučnej sústavy a distribúciu elektriny okrem výnosov za straty elektriny pri distribúcii elektriny je najviac 1 %. |
| (14) Maximálna rezervovaná kapacita na napäťovej úrovni veľmi vysokého napätia a vysokého napätia je stredná hodnota štvrťhodinového činného výkonu dojednaná v zmluve o pripojení alebo určená v pripojovacích podmienkach pre jedno odberné miesto. Ak nameraný štvrťhodinový výkon prekročí hodnotu rezervovanej kapacity alebo hodnotu maximálnej rezervovanej kapacity, uplatnia sa prevádzkovateľom distribučnej sústavy tarify za nedodržanie zmluvných hodnôt. Do celkového objemu rezervovanej kapacity sa započíta aj rezervovaná kapacita pre každého výrobcu elektriny určená podľa odsekov 23, 24 a 26. |
| (15) Dvanásťmesačná, trojmesačná a mesačná rezervovaná kapacita na napäťovej úrovni veľmi vysokého napätia a vysokého napätia je hodnota štvrťhodinového výkonu, ktorý sa na príslušné obdobie zabezpečuje pre odberateľa elektriny zmluvou o prístupe do distribučnej sústavy a distribúcii elektriny alebo rámcovou distribučnou zmluvou. Hodnota rezervovanej kapacity nemôže prekročiť hodnotu maximálnej rezervovanej kapacity a nemôže byť nižšia ako minimálna hodnota rezervovanej kapacity. Minimálnou hodnotou rezervovanej kapacity je 20 % hodnoty maximálnej rezervovanej kapacity okrem odberného miesta so sezónnym odberom elektriny, na ktorom je minimálnou hodnotou rezervovanej kapacity maximálne 5 % hodnoty maximálnej rezervovanej kapacity. Hodnotu rezervovanej kapacity počas doby platnosti dohodnutého typu rezervovanej kapacity nie je možné znížiť. Hodnotu rezervovanej kapacity je možné meniť v intervale hodnôt maximálnej a minimálnej hodnoty rezervovanej kapacity pri zmene typu rezervovanej kapacity alebo po uplynutí doby, na ktorú bola rezervovaná kapacita dohodnutá. |
| (16) Za sezónny odber elektriny sa považuje odber elektriny z distribučnej sústavy na napäťovej úrovni vysokého napätia alebo nízkeho napätia s priebehovým meraním typu A alebo typu B trvajúci najmenej jeden mesiac a najviac sedem mesiacov v kalendárnom roku v odbernom mieste, v ktorom množstvo elektriny odobratej počas sezónneho odberu elektriny tvorí najmenej 90 % množstva elektriny odobratej za príslušný kalendárny rok. Pre sezónny odber elektriny je možné meniť rezervovanú kapacitu dvakrát za kalendárny rok s využitím dvanásťmesačnej rezervovanej kapacity. Po ukončení kalendárneho roka prevádzkovateľ distribučnej sústavy vyhodnotí splnenie podmienok sezónneho odberu za uplynulý kalendárny rok, a to zaslaním vyúčtovacej faktúry odberateľovi elektriny do konca februára nasledujúceho roka. Ak odberné miesto nesplní podmienky pridelenia sezónneho odberu, odberateľom elektriny sa uhrádza platba za prístup do distribučnej sústavy a distribúciu elektriny takým spôsobom, že sa neprihliada na tarifu sezónneho odberu, a to uplatnením mesačnej rezervovanej kapacity (mesačná tarifa za mesačnú rezervovanú kapacitu) s hodnotou 5 % maximálnej rezervovanej kapacity alebo s nameranou hodnotou maximálneho výkonu za predchádzajúce obdobie uplatňovania tarify sezónneho odberu, ak je táto hodnota vyššia ako 5 % maximálnej rezervovanej kapacity. Zistený rozdiel v platbe (tarify za prácu a tarify za výkon) v dôsledku nesplnenia podmienok pridelenia tarify sezónneho odberu sa uhradí odberateľom elektriny prevádzkovateľovi distribučnej sústavy. |
| (17) Rezervovaná kapacita sa dohodne takto: |
| a) mesačná na jeden kalendárny mesiac, |
| b) trojmesačná na tri po sebe nasledujúce kalendárne mesiace na rovnakú hodnotu, |
| c) dvanásťmesačná na dvanásť po sebe nasledujúcich kalendárnych mesiacov na rovnakú hodnotu. |
| (18) O zmenu rezervovanej kapacity môže odberateľ elektriny, ktorého odberné miesto je pripojené na napäťovej úrovni veľmi vysokého napätia alebo vysokého napätia a ktorý má uzavretú zmluvu o prístupe do distribučnej sústavy a distribúcii elektriny, požiadať prevádzkovateľa distribučnej sústavy pri zmene z |
| a) dvanásťmesačnej rezervovanej kapacity na trojmesačnú rezervovanú kapacitu alebo mesačnú rezervovanú kapacitu po uplynutí troch mesiacov, odkedy bola dvanásťmesačná kapacita uplatňovaná, |
| b) trojmesačnej rezervovanej kapacity na mesačnú rezervovanú kapacitu alebo dvanásťmesačnú rezervovanú kapacitu po uplynutí troch mesiacov, odkedy bola trojmesačná kapacita uplatňovaná; zmena na dvanásťmesačnú rezervovanú kapacitu je možná jedenkrát počas kalendárneho roka, |
| c) mesačnej rezervovanej kapacity na trojmesačnú rezervovanú kapacitu alebo dvanásťmesačnú rezervovanú kapacitu po uplynutí jedného mesiaca, odkedy bola mesačná kapacita uplatňovaná; zmena na dvanásťmesačnú rezervovanú kapacitu je možná jedenkrát počas kalendárneho roka. |
| (19) Ak má odberateľ elektriny uzavretú zmluvu o združenej dodávke elektriny, môže požiadať o zmenu rezervovanej kapacity podľa odseku 17 prostredníctvom svojho dodávateľa elektriny. Pri zmene rezervovanej kapacity odberateľa elektriny sa postupuje podľa rámcovej distribučnej zmluvy uzavretej medzi dodávateľom elektriny a prevádzkovateľom distribučnej sústavy. |
| (20) Hodnota a doba trvania rezervovanej kapacity platí ďalej na príslušné nasledujúce obdobie, ak odberateľ elektriny nepožiada o ich zmenu. Mesačná rezervovaná kapacita platí ďalší mesiac, trojmesačná rezervovaná kapacita platí ďalšie tri mesiace, dvanásťmesačná platí ďalších 12 mesiacov. O zmenu rezervovanej kapacity na nasledujúce obdobie môže odberateľ elektriny požiadať dodávateľa elektriny alebo prevádzkovateľa distribučnej sústavy podľa zmluvy alebo najneskôr do 20. dňa posledného mesiaca obdobia, na ktoré je kapacita dohodnutá. Rezervovaná kapacita sa účtuje mesačne. |
| (21) Rezervovaná kapacita na napäťovej úrovni nízkeho napätia je maximálna rezervovaná kapacita stanovená amperickou hodnotou ističa pred elektromerom alebo prepočítaná kilowattová hodnota maximálnej rezervovanej kapacity na prúd v ampéroch dohodnutá v zmluve o pripojení do distribučnej sústavy alebo určená v pripojovacích podmienkach; pre odberné miesta vybavené určeným meradlom s meraním štvrťhodinového činného výkonu s mesačným odpočtom môže byť rezervovaná kapacita zmluvne dojednaná a môže byť nižšia, ako je hodnota kapacity zodpovedajúca amperickej hodnote hlavného ističa. Do celkového objemu rezervovanej kapacity sa započíta aj rezervovaná kapacita pre každého výrobcu elektriny určená podľa odsekov 23, 24 a 26. Odberateľ elektriny na napäťovej úrovni nízkeho napätia môže požiadať o zníženie rezervovanej kapacity po uplynutí 12 mesiacov od poslednej zmeny rezervovanej kapacity. Pri žiadosti odberateľa elektriny o zníženie rezervovanej kapacity alebo zvýšenie hodnoty rezervovanej kapacity do výšky maximálnej rezervovanej kapacity pre odberné miesta vybavené určeným meradlom s meraním štvrťhodinového činného výkonu s mesačným odpočtom sa predloženie revíznej správy nevyžaduje. Podmienkou na zníženie hodnoty rezervovanej kapacity pre odberné miesto nevybavené určeným meradlom s meraním štvrťhodinového činného výkonu je predloženie revíznej správy o výmene ističa. Pri zvýšení rezervovanej kapacity sa odberateľom elektriny podáva žiadosť o pripojenie zariadenia do distribučnej sústavy. Ak o zníženie rezervovanej kapacity požiadal odberateľ elektriny pripojený do sústavy po 31. decembri 2004, po predložení žiadosti o opätovné pridelenie pôvodnej rezervovanej kapacity do dvoch rokov od zníženia hodnoty rezervovanej kapacity na žiadosť odberateľa elektriny sa mu pri pridelení tejto kapacity neuplatňuje cena za pripojenie. |
| (22) V prípade odberu elektriny z distribučnej sústavy sa výrobcom elektriny okrem výrobcov elektriny, ktorí odberajú elektrinu z distribučnej sústavy výlučne na účely čerpania v prečerpávacích vodných elektrárňach, účtuje dohodnutá rezervovaná kapacita (platba za prístup do distribučnej sústavy) podľa cenového rozhodnutia úradu (mesačná, trojmesačná, dvanásťmesačná rezervovaná kapacita). |
| (23) Platba za prístup do distribučnej sústavy sa uhrádza prevádzkovateľovi regionálnej distribučnej sústavy výrobcom elektriny pripojeným do regionálnej distribučnej sústavy vo výške 30 % hodnoty maximálnej rezervovanej kapacity dojednanej v zmluve o pripojení zariadenia na výrobu elektriny do regionálnej distribučnej sústavy alebo z hodnoty výšky celkového inštalovaného výkonu zariadenia na výrobu elektriny, ak zariadenie na výrobu elektriny nemá uzatvorenú zmluvu o pripojení zariadenia na výrobu elektriny do regionálnej distribučnej sústavy vo výške tarify za dvanásťmesačnú rezervovanú kapacitu podľa účinného cenového rozhodnutia úradu za prístup do distribučnej sústavy a distribúciu elektriny na rok t pre prevádzkovateľa regionálnej distribučnej sústavy. Výrobcom elektriny pripojeným do regionálnej distribučnej sústavy sa uhrádza prevádzkovateľovi regionálnej distribučnej sústavy platba za prístup do distribučnej sústavy vo výške podľa predchádzajúcej vety na základe faktúry vystavenej prevádzkovateľom regionálnej distribučnej sústavy, a to aj v prípade, ak takýto výrobca elektriny nemá s prevádzkovateľom regionálnej distribučnej sústavy uzatvorenú zmluvu o pripojení alebo zmluvu o prístupe do distribučnej sústavy a distribúcii elektriny. Výrobcovia elektriny si rezervovanú kapacitu neobjednávajú. Na napäťovej úrovni nízkeho napätia sa hodnota maximálnej rezervovanej kapacity rovná hodnote rezervovanej kapacity určenej menovitou hodnotou hlavného ističa v ampéroch. To neplatí pre výrobcu elektriny, ktorého zariadenie na výrobu elektriny slúži výlučne na poskytovanie podporných služieb pre prevádzkovateľa prenosovej sústavy alebo výlučne na dodávku regulačnej elektriny, a výrobcu elektriny, ktorý prevádzkuje zariadenie na výrobu elektriny z vodnej energie s celkovým inštalovaným výkonom do 5 MW. |
| (24) Ak je zariadenie na výrobu elektriny výrobcu elektriny pripojené do miestnej distribučnej sústavy prevádzkovateľom miestnej distribučnej sústavy, do ktorého miestnej distribučnej sústavy je zariadenie na výrobu elektriny výrobcu elektriny pripojené, uhrádza sa prevádzkovateľovi regionálnej distribučnej sústavy, do ktorého regionálnej distribučnej sústavy je jeho miestna distribučná sústava pripojená alebo je zariadenie na výrobu elektriny výrobcu elektriny pripojené do miestnej distribučnej sústavy, ktorá je pripojená do regionálnej distribučnej sústavy prostredníctvom jednej alebo viacerých miestnych distribučných sústav, platba za prístup do distribučnej sústavy vo výške 30 % z hodnoty výšky celkového inštalovaného výkonu takéhoto zariadenia na výrobu elektriny výrobcu elektriny vo výške tarify za dvanásťmesačnú rezervovanú kapacitu podľa účinného cenového rozhodnutia úradu za prístup do distribučnej sústavy a distribúciu elektriny na rok t pre prevádzkovateľa regionálnej distribučnej sústavy. Platba za prístup do distribučnej sústavy sa uhrádza prevádzkovateľovi regionálnej distribučnej sústavy prevádzkovateľom miestnej distribučnej sústavy vo výške podľa predchádzajúcej vety na základe faktúry vystavenej prevádzkovateľom regionálnej distribučnej sústavy, a to aj v prípade, ak takýto prevádzkovateľ miestnej distribučnej sústavy nemá s prevádzkovateľom regionálnej distribučnej sústavy uzatvorenú zmluvu o pripojení alebo zmluvu o prístupe do distribučnej sústavy a distribúcii elektriny pre zariadenie na výrobu elektriny. To neplatí pre výrobcu elektriny, ktorého zariadenie na výrobu elektriny slúži výlučne na poskytovanie podporných služieb pre prevádzkovateľa prenosovej sústavy alebo výlučne na dodávku regulačnej elektriny, a výrobcu elektriny, ktorý prevádzkuje zariadenie na výrobu elektriny z vodnej energie s celkovým inštalovaným výkonom do 5 MW. |
| (25) Ak sa zariadenie na výrobu elektriny výrobcu elektriny pripája do miestnej distribučnej sústavy, ktorá je pripojená do regionálnej distribučnej sústavy, alebo sa mení maximálna rezervovaná kapacita existujúceho zariadenia na výrobu elektriny výrobcu elektriny pripojeného do miestnej distribučnej sústavy, ktorá je pripojená do regionálnej distribučnej sústavy, prevádzkovateľ miestnej distribučnej sústavy uzatvára s prevádzkovateľom regionálnej distribučnej sústavy, do ktorej je miestna distribučná sústava prevádzkovateľa miestnej distribučnej sústavy pripojená, zmluvu o pripojení do regionálnej distribučnej sústavy s maximálnou rezervovanou kapacitou vo výške celkového inštalovaného výkonu takéhoto zariadenia na výrobu elektriny, maximálne však do výšky rezervovanej kapacity, ktorú je technicky možné dodať do regionálnej distribučnej sústavy. |
| (26) V prípade pripojenia miestnej distribučnej sústavy alebo výrobcu elektriny do regionálnej distribučnej sústavy cez existujúce odovzdávacie miesto sa tarifa za prístup do regionálnej distribučnej sústavy uhrádza za rezervovanú kapacitu zariadenia na výrobu elektriny takto: |
| a) výrobcom elektriny sa prevádzkovateľovi regionálnej distribučnej sústavy uhradí tarifa za rezervovanú kapacitu zariadenia na výrobu elektriny vo výške podľa odseku 23 alebo tarifa za rezervovanú kapacitu odberu elektriny, ak je výrobca elektriny pripojený do regionálnej distribučnej sústavy cez existujúce odberné miesto podľa toho, ktorá rezervovaná kapacita je vyššia, |
| b) prevádzkovateľom miestnej distribučnej sústavy sa prevádzkovateľovi regionálnej distribučnej sústavy uhradí tarifa za rezervovanú kapacitu vo výške podľa odseku 24 zariadenia na výrobu elektriny pripojeného do miestnej distribučnej sústavy, ak je zariadenie na výrobu elektriny prevádzkované inou osobou, ako je prevádzkovateľ miestnej distribučnej sústavy, |
| c) prevádzkovateľom miestnej distribučnej sústavy sa prevádzkovateľovi regionálnej distribučnej sústavy uhradí tarifa za rezervovanú kapacitu vo výške podľa odseku 24 zariadenia na výrobu elektriny, ktoré prevádzkuje ako výrobca elektriny, alebo tarifa za rezervovanú kapacitu odberu miestnej distribučnej sústavy podľa toho, ktorá rezervovaná kapacita je vyššia. |
| (27) Užívateľovi regionálnej distribučnej sústavy, ktorý je prevádzkovateľom distribučnej sústavy na vymedzenom území, ktorý má na jednej z napäťových úrovní veľmi vysokého napätia alebo vysokého napätia jedného prevádzkovateľa distribučnej sústavy pripojených viac odberných miest s priebehovým meraním typu A alebo meraním typu B, ich odber elektriny je prepojený vlastnou elektrickou sústavou a ktorými sú napájané dopravné prostriedky elektrickej trakcie, sa určí prevádzkovateľom regionálnej distribučnej sústavy na základe žiadosti užívateľa distribučnej sústavy s uvedením EIC kódov odberných miest rezervovaná kapacita na účely vyhodnotenia a stanovenia cien za rezervovanú kapacitu pre každú napäťovú úroveň osobitne zo súčtov maximálnych výkonov nameraných v odberných miestach v čase, keď je tento súčet v danom mesiaci najvyšší. |
| (28) Rezervovaná kapacita sa za odberné miesta podľa odseku 27 neobjednáva u prevádzkovateľa regionálnej distribučnej sústavy. Prekročenie rezervovanej kapacity sa za odberné miesta podľa odseku 27 nevyhodnocuje a nefakturuje. Prekročenie maximálnej rezervovanej kapacity sa za odberné miesta podľa odseku 27 vyhodnocuje a fakturuje samostatne za každé odberné miesto osobitne. Nedodržanie predpísaných hodnôt účinníka a dodávky jalovej elektriny do distribučnej sústavy sa za odberné miesta podľa odseku 27 vyhodnocuje a fakturuje samostatne za každé odberné miesto osobitne. |
| (29) Odberné miesta podľa odseku 27 sa za každú napäťovú úroveň osobitne zaradia iba do jednej bilančnej skupiny. |
| (30) Prevádzkovateľom regionálnej distribučnej sústavy za odberné miesta, ktoré spĺňajú podmienky podľa odseku 27, sa fakturuje mesačne pre každú napäťovú úroveň osobitne tarifa ročnej rezervovanej kapacity za maximálnu hodnotu súčtu stredných hodnôt štvrťhodinových činných výkonov za odberné miesta, ktoré spĺňajú podmienky podľa odseku 27, za príslušný kalendárny mesiac. |
| (31) Ak maximálna hodnota súčtu stredných hodnôt štvrťhodinových činných výkonov za všetky odberné miesta, ktoré spĺňajú podmienky podľa odseku 27, pre každú napäťovú úroveň osobitne nedosiahne 20 % súčtu maximálnej rezervovanej kapacity pre každú napäťovú úroveň osobitne, prevádzkovateľom regionálnej distribučnej sústavy sa fakturuje pre každú napäťovú úroveň osobitne tarifa ročnej rezervovanej kapacity vo výške 20 % súčtu maximálnej rezervovanej kapacity. |
| (32) Ak užívateľ regionálnej distribučnej sústavy, ktorý je prevádzkovateľom distribučnej sústavy na vymedzenom území, zahrnie do odberných miest podľa odseku 27 aj odberné miesta, ktoré nie sú prepojené vlastnou elektrickou sústavou alebo ktorými nie sú napájané výhradne dopravné prostriedky elektrickej trakcie, tak za tieto odberné miesta sa platí užívateľom regionálnej distribučnej sústavy, ktorý je prevádzkovateľom distribučnej sústavy na vymedzenom území, so spätnou platnosťou rezervovaná kapacita vo výške 100 % hodnoty maximálnej rezervovanej kapacity, kým si neobjedná rezervovanú kapacitu v zmysle pravidiel prevádzkovateľa regionálnej distribučnej sústavy. |
| (33) Na účely cenovej regulácie v elektroenergetike možno uplatniť straty elektriny, ktoré vznikajú transformáciou z napäťovej úrovne |
| a) veľmi vysokého napätia na úroveň vysokého napätia najviac 2 % z množstva elektriny vystupujúceho na strane vysokého napätia, |
| b) vysokého napätia na úroveň nízkeho napätia najviac 4 % z množstva elektriny vystupujúceho na strane nízkeho napätia. |
| (34) Do nákladov na výkon regulovanej činnosti, ktoré sú zabezpečované regulovaným subjektom, iným ako regulovaným subjektom, alebo subjektom, ktorý je alebo bol súčasťou vertikálne integrovaného podniku, je možné zarátať len primerané náklady, ktorých výška je v súlade s osobitným predpisom.21) |
| (35) Ceny za prístup do distribučnej sústavy a distribúciu elektriny, do prenosovej sústavy a prenos elektriny sa kalkulujú pri základnom zabezpečení pripojenia užívateľa sústavy štandardným pripojením. Za štandardné pripojenie užívateľa sústavy sa považuje pripojenie jedným napájacím vedením podľa technických podmienok prevádzkovateľa distribučnej sústavy. Pri pripojení užívateľa sústavy s osobitnými nárokmi na spôsob zabezpečenia distribúcie elektriny, napríklad cez ďalšie napájacie vedenia, sa cena za prístup do distribučnej sústavy určí vo výške 15 % z tarify za rezervovanú kapacitu, ktorá je dohodnutá pre ďalšie napájacie vedenie, podľa cenového rozhodnutia na rok t. Užívateľ sústavy si určí sám, ktoré napájacie vedenie je štandardné a ktoré je ďalšie napájacie vedenie, a to na obdobie kalendárneho roka. V prípade distribúcie elektriny cez ďalšie napájacie vedenie na základe požiadavky užívateľa sústavy v danom mesiaci sa cena za prístup do distribučnej sústavy určí vo výške 15 % z tarify za rezervovanú kapacitu pre napäťovú úroveň, do ktorej je ďalšie napájacie vedenie pripojené, a cena za distribúciu elektriny sa určí vo výške 100 % tarify za distribúciu elektriny pre napäťovú úroveň, do ktorej je ďalšie napájacie vedenie pripojené, pričom cena za prístup do distribučnej sústavy a distribúciu elektriny za štandardné pripojenie nie je týmto dotknutá. V prípade dohodnutej rezervovanej kapacity pre ďalšie napájacie vedenie na napäťovej úrovni vysokého napätia nad 10 MW sa cena za prístup do distribučnej sústavy určí vo výške 7,5 % z tarify za rezervovanú kapacitu a v prípade distribúcie elektriny cez ďalšie napájacie vedenie sa cena za distribúciu elektriny určí vo výške 100 % tarify za distribúciu elektriny, pričom cena za prístup do distribučnej sústavy a distribúciu elektriny za štandardné pripojenie nie je týmto dotknutá. V prípade dohodnutej rezervovanej kapacity pre ďalšie napájacie vedenie na napäťovej úrovni veľmi vysokého napätia nad 100 MW sa cena za prístup do distribučnej sústavy určí vo výške 7,5 % z tarify za rezervovanú kapacitu a v prípade distribúcie elektriny cez ďalšie napájacie vedenie sa cena za distribúciu elektriny určí vo výške 100 % tarify za distribúciu elektriny, pričom cena za prístup do distribučnej sústavy a distribúciu elektriny za štandardné pripojenie nie je týmto dotknutá. |
| § 27 |
| Cena za prístup do distribučnej sústavy a distribúciu elektriny regionálnou distribučnou sústavou |
| (1) Maximálna cena za prístup do distribučnej sústavy a distribúciu elektriny na príslušnej napäťovej úrovni CDHN,t zohľadňuje vlastnú distribúciu elektriny a prenos elektriny vrátane strát pri prenose elektriny v eurách na jednotku množstva elektriny distribuovanej koncovým odberateľom elektriny v roku t a vypočíta sa podľa vzorca |
| vzorec 85 |
| kde |
| a) CDEHN,t je schválená alebo určená zložka maximálnej ceny za prístup do distribučnej sústavy a distribúciu elektriny na príslušnej napäťovej úrovni na rok t v eurách na jednotku množstva elektriny zohľadňujúca náklady a primeraný zisk vlastnej distribúcie elektriny podľa odseku 2, |
| b) CPDHN,t je priemerná zložka ceny za prístup do prenosovej sústavy a prenos elektriny vrátane strát pri prenose v eurách na jednotku množstva elektriny na príslušnej napäťovej úrovni na rok t podľa odseku 4. |
| (2) Schválená alebo určená zložka maximálnej ceny za prístup do distribučnej sústavy a distribúciu elektriny na príslušnej napäťovej úrovni CDEHN,t na rok t v eurách na jednotku množstva elektriny zohľadňujúca náklady a primeraný zisk vlastnej distribúcie elektriny vypočítaná podľa vzorca |
| vzorec 86 |
| kde |
| a) VystEHN,t je plánované množstvo distribuovanej elektriny v jednotkách množstva elektriny na rok t vystupujúce z príslušnej napäťovej úrovne vypočítané podľa vzorca |
| vzorec 87 |
| kde |
| 1. VystEOHN,t je plánované množstvo elektriny v jednotkách množstva elektriny na rok t distribuované na príslušnej napäťovej úrovni koncovým odberateľom elektriny a prevádzkovateľom miestnej distribučnej sústavy vypočítané ako ročný priemer zo súčtu skutočného príslušného množstva elektriny za roky t-3 a t-2, očakávaného príslušného množstva za rok t-1 a plánovaného príslušného množstva za roky t a t+1, |
| 2. VystETRHN,t je plánované množstvo elektriny v jednotkách množstva elektriny na rok t vystupujúce z príslušnej napäťovej úrovne do transformácie na nižšiu napäťovú úroveň vypočítané ako ročný priemer zo súčtu skutočného príslušného množstva elektriny za roky t-3 a t-2, očakávaného príslušného množstva za rok t-1 a plánovaného príslušného množstva za roky t a t+1, |
| b) VVDHN+1,t je alikvotná časť povolených nákladov a zisku za distribúciu elektriny v eurách na rok t priradených z vyššej napäťovej úrovne podľa vzorca |
| vzorec 88 |
| kde |
| 1. CDEHN+1,t je zložka maximálnej ceny za prístup do distribučnej sústavy a distribúciu elektriny na vyššej napäťovej úrovni na rok t v eurách na jednotku množstva elektriny; CDEvvn+1,t sa na vstupe do napäťovej úrovne VVN rovná nule, |
| 2. VystETRHN+1,t je plánované množstvo elektriny v jednotkách množstva elektriny na rok t vystupujúce z vyššej napäťovej úrovne HN + 1 do transformácie na napäťovú úroveň HN vypočítané ako ročný priemer zo súčtu skutočného príslušného množstva elektriny za roky t-3 a t-2, očakávaného príslušného množstva za rok t-1 a plánovaného príslušného množstva za roky t a t+1, |
| c) VVDHN,t sú schválené alebo určené náklady a zisk za prístup do distribučnej sústavy a distribúciu elektriny v eurách na rok t na napäťovej úrovni, okrem alikvotnej časti povolených nákladov a zisku za distribúciu elektriny priradených z vyššej napäťovej úrovne, vypočítané podľa odseku 3. |
| (3) Schválené alebo určené náklady a zisk za prístup do distribučnej sústavy a distribúciu elektriny v eurách na rok t na napäťovej úrovni okrem alikvotnej časti povolených nákladov a zisku za distribúciu elektriny priradených z vyššej napäťovej úrovne vypočítané podľa vzorca |
| vzorec 89 |
| kde |
| a) PNHN,vych sú schválené alebo určené skutočné ekonomicky oprávnené prevádzkové ročné náklady v eurách v roku 2010 na napäťovej úrovni súvisiace s regulovanou činnosťou okrem odpisov, |
| b) JPIn je aritmetický priemer indexov jadrovej inflácie v percentách zverejnených štatistickým úradom za obdobie od júla roku n-2 do júna roku n-1, |
| c) X je faktor efektivity podľa v každom roku regulačného obdobia, ktorého hodnota je 3,5; ak je hodnota rozdielu JPIn a X nižšia ako 0, na účely výpočtu maximálnej ceny za prístup do distribučnej sústavy a distribúciu elektriny na rok t sa hodnota rozdielu rovná 0, |
| d) OHN,vych je schválená alebo určená východisková hodnota odpisov regulovaného subjektu vo východiskovom roku regulačného obdobia v eurách vztiahnutá na RABHN,ych na napäťovej úrovni a vypočítaných na základe zostatkovej doby technickej životnosti tried aktív nevyhnutne využívaných na regulovanú činnosť podľa prílohy č. 1 tabuľky č. 2, |
| e) POHN,t sú plánované schválené alebo určené odpisy na napäťovej úrovni v eurách na rok t súvisiace s regulovanou činnosťou z plánovanej hodnoty schválených alebo určených investícií na napäťovej úrovni v eurách zaradených do hodnoty regulačnej bázy aktív nevyhnutne využívaných na regulovanú činnosť v roku t-1 a vypočítané na základe doby technickej životnosti tried aktív nevyhnutne využívaných na regulovanú činnosť podľa prílohy č. 1 tabuľky č. 3, |
| f) RABHN,vych je východisková schválená alebo určená hodnota regulačnej bázy aktív na napäťovej úrovni v eurách, ktorá sa rovná hodnote regulačnej bázy aktív nevyhnutne súvisiacej s regulovanou činnosťou k 31. decembru 2010 a vypočíta sa podľa vzorca |
| vzorec 90 |
| kde |
| 1. RABHN,2005 je hodnota regulačnej bázy aktív regulovaného subjektu na napäťovej úrovni v eurách, ktorá sa rovná schválenej alebo určenej hodnote majetku na napäťovej úrovni k 31. decembru 2005 vo výške všeobecnej hodnoty majetku57) podľa znaleckých posudkov vyhotovených na podnet úradu, a to znaleckého posudku č. 26/2006 pre regulovaný subjekt Západoslovenská distribučná, a. s., znaleckého posudku č. 38/2006 pre regulovaný subjekt Stredoslovenská energetika – Distribúcia, a.s., a znaleckého posudku č. 49/2006 pre regulovaný subjekt Východoslovenská distribučná, a. s., |
| 2. INVHN,2006 – 2010 je schválená alebo určená hodnota investícií na napäťovej úrovni v eurách zaradených do hodnoty regulačnej bázy aktív na napäťovej úrovni nevyhnutne využívaných na regulovanú činnosť v rokoch 2006 až 2010, |
| 3. OHN,2006 – 2010 sú schválené alebo určené odpisy na napäťovej úrovni v eurách súvisiace s regulovanou činnosťou v období rokov 2006 až 2010 a vypočítané na základe zostatkovej doby technickej životnosti tried aktív nevyhnutne využívaných na regulovanú činnosť podľa prílohy č. 1 tabuľky č. 2, |
| g) WACC je miera výnosnosti regulačnej bázy aktív na regulačné obdobie rokov 2012 až 2016 určená podľa § 5 ods. 2 a 3, |
| h) KDZ je koeficient miery využitia disponibilných zdrojov do investícií súvisiacich s regulovanou činnosťou; KDZ sa na roky 2012 až 2014 rovná jednej a na roky 2015 a 2016 sa určí podľa podielu |
| , pričom ak tento podiel je
|
| vyšší alebo rovný 0,5, tak KDZ = 1,00, |
| menší ako 0,5 a zároveň vyšší alebo rovný 0,4, tak KDZ = 0,98, |
| menší ako 0,4 a zároveň vyšší alebo rovný 0,3, tak KDZ = 0,96, |
| menší ako 0,3 a zároveň vyšší alebo rovný 0,2, tak KDZ = 0,94, |
| menší ako 0,2 a zároveň vyšší alebo rovný 0,1, tak KDZ = 0,92 alebo |
| menší ako 0,1, tak KDZ = 0,90, |
| kde |
| 1. INVt-2 |
| je skutočná hodnota investícií na napäťovej úrovni v eurách zaradených do hodnoty regulačnej bázy aktív na napäťovej úrovni nevyhnutne využívaných pre regulovanú činnosť v roku t-2, |
| 2. DispZdrt-2 |
| je súčet schválených alebo určených odpisov na napäťovej úrovni v eurách súvisiacich s regulovanou činnosťou v roku t-2 a vypočítaných na základe zostatkovej doby technickej životnosti tried aktív nevyhnutne využívaných pre regulovanú činnosť podľa prílohy č. 1 tabuľky č. 2 a zisku prevádzkovateľa distribučnej sústavy v roku t-2 v eurách po zdanení daňou z príjmov, ktorý sa vypočíta RAB x WACC x ( – daň z príjmov), pričom WACC a daň z príjmov sa vzťahuje na obdobie t-2, |
| i) FINVPHN,t je faktor investícií na napäťovej úrovni v eurách na rok t; FINVPHN,t sa na rok 2012 rovná nule, na roky 2013 až 2016 sa vypočíta podľa vzorca |
| vzorec 91 |
| j) DVHN,t sú skutočné dodatočné výnosy na napäťovej úrovni v eurách v roku t-2 z uplatnenia ceny za pripojenie do sústavy, zo sankcií za prekročenie rezervovanej kapacity a za skutočne zaplatené výnosy za neoprávnený odber elektriny;60) DVHN,t sa na roky 2012 a 2013 rovná nule. |
| (4) Zložka maximálnej ceny za prístup do distribučnej sústavy a distribúciu elektriny v eurách na jednotku množstva elektriny na rok t CPDHN,t súvisiaca s nákladmi za prístup do prenosovej sústavy a prenos elektriny vrátane strát pri prenose elektriny na príslušnej napäťovej úrovni sa vypočíta podľa vzorca |
| 
|
| kde |
| CPEHN,t je priemerná zložka ceny za prístup do prenosovej sústavy a prenos elektriny vrátane nákladov na straty pri prenose v eurách na jednotku množstva elektriny na príslušnej napäťovej úrovni v roku t sa vypočíta podľa odseku 5, |
| (5) Priemerná zložka ceny za prístup do prenosovej sústavy a prenos elektriny vrátane nákladov na straty pri prenose v eurách na jednotku množstva elektriny na príslušnej napäťovej úrovni v roku t |
| vzorec 94 |
| kde |
| a) VVPHN,t sú vstupujúce náklady za prístup do prenosovej sústavy a prenos elektriny vrátane nákladov na straty pri prenose elektriny v eurách v roku t vypočítané podľa vzorca |
| vzorec 95 |
| kde |
| 1. CPEHN+1,t je cena za prístup do prenosovej sústavy a prenos elektriny vrátane strát pri prenose elektriny v eurách na jednotku množstva elektriny na vyššej napäťovej úrovni distribúcie elektriny v roku t, z ktorej sa transformuje elektrina do príslušnej napäťovej úrovne, |
| 2. VystETRHN+1,t je plánované množstvo elektriny v jednotkách množstva elektriny vstupujúce do príslušnej napäťovej úrovne cez transformáciu z vyššej napäťovej úrovne v roku t, |
| b) VystEHN,t je celkové plánované množstvo elektriny v jednotkách množstva elektriny vystupujúce z príslušnej napäťovej úrovne v roku t vypočítané podľa vzorca |
| VystEHN,t = VystEOHN,t + VystETRHN,t , |
| kde |
| 1. VystEOHN,t je plánované množstvo elektriny v jednotkách množstva elektriny distribuované na príslušnej napäťovej úrovni ku koncovým odberateľom elektriny v roku t, |
| 2. VystETRHN,t je plánované množstvo elektriny v jednotkách množstva elektriny vystupujúce z príslušnej napäťovej úrovne do transformácie na nižšiu napäťovú úroveň v roku t. |
| (6) Cena za prístup do prenosovej sústavy a prenos elektriny v eurách na jednotku množstva elektriny CPEVVN+1,t na vstupe do napäťovej úrovne veľmi vysokého napätia distribučnej sústavy je jednozložková cena zahŕňajúca náklady regulovaného subjektu na rezervovaný výkon, prenesenú elektrinu a straty elektriny pri prenose elektriny v roku t určené na základe schváleného návrhu ceny za prístup do prenosovej sústavy a prenos elektriny na rok t vypočítaná podľa vzorca |
| 
|
| kde |
| a) RKPt je rezervovaná kapacita v megawattoch na rok t uplatňovaná regulovanému subjektu prevádzkovateľom prenosovej sústavy, |
| b) CRKt je cena za rezervovanú kapacitu v roku t v eurách na megawatt na rok uplatňovaná regulovanému subjektu prevádzkovateľom prenosovej sústavy, |
| c) VystETRVVN+1,t je plánované množstvo elektriny v jednotkách množstva elektriny na rok t vstupujúce do napäťovej úrovne veľmi vysokého napätia regulovaného subjektu z prenosovej sústavy, |
| d) PEt je cena za prenesenú elektrinu v eurách na jednotku množstva elektriny na rok t uplatňovaná regulovanému subjektu prevádzkovateľom prenosovej sústavy, |
| e) PSstratyt je tarifa za straty pri prenose elektriny v eurách na jednotku množstva elektriny na rok t uplatňovaná regulovanému subjektu prevádzkovateľom prenosovej sústavy, |
| f) KPt je faktor vyrovnania ceny za prístup do prenosovej sústavy a prenos elektriny v eurách, ktorý sa vypočíta podľa vzorca |
| 
|
| kde |
| 1. KPnak,t |
| je korekcia nákladov za prístup do prenosovej sústavy a prenos elektriny v eurách, ktorá sa vypočíta podľa vzorca |
| 
|
| kde |
| 1a. |
| SVystETRVVN+1,t-2 je skutočné množstvo elektriny v jednotkách množstva elektriny vstupujúce do príslušnej napäťovej úrovne cez transformáciu z vyššej napäťovej úrovne v roku t-2, |
| 1b. |
| VystETRVVN+1,t-2 je plánované množstvo elektriny v jednotkách množstva elektriny vstupujúce do príslušnej napäťovej úrovne cez transformáciu z vyššej napäťovej úrovne v roku t-2, |
| 1c. |
| PE,t-2 je cena za prenesenú elektrinu v eurách na jednotku množstva elektriny v roku t-2 uplatňovaná regulovanému subjektu prevádzkovateľom prenosovej sústavy, |
| 1d. |
| PSstratyt-2 je tarifa za straty pri prenose elektriny v eurách na jednotku množstva elektriny v roku t-2 uplatňovaná regulovanému subjektu prevádzkovateľom prenosovej sústavy, |
| 2. KPvyn,t |
| je korekcia výnosov z účtovania ceny CPDHN,t-2, ktorá sa vypočíta podľa vzorca |
| 
|
| kde |
| 2a. |
| SVystEOHN,t-2 je skutočné množstvo elektriny v jednotkách množstva elektriny distribuované na príslušnej napäťovej úrovni ku koncovým odberateľom elektriny v roku t-2, |
| 2b. |
| VystEOHN,t-2 je plánované množstvo elektriny v jednotkách množstva elektriny distribuované na príslušnej napäťovej úrovni koncovým odberateľom elektriny v roku t-2. |
| § 28 |
| Spôsob výpočtu tarify za straty pri distribúcii elektriny regionálnou distribučnou sústavou, postup a podmienky uplatňovania cien |
| (1) Tarifa za straty pri distribúcii elektriny CSDHN,t v eurách na jednotku množstva elektriny sa v roku t vypočíta postupným výpočtom na jednotlivých napäťových úrovniach začínajúcim od napäťovej úrovne veľmi vysokého napätia |
| vzorec 97 |
| kde |
| a) VVSDHN,t sú náklady za straty pri distribúcii elektriny v eurách priradené príslušnej napäťovej úrovni vypočítané podľa odseku 2, |
| b) VystEHN,t je celkové plánované množstvo elektriny v jednotkách množstva elektriny vystupujúce z príslušnej napäťovej úrovne v roku t, vypočítané podľa vzorca |
| VystEHN,t = VystEOHN,t + VystETRHN,t , |
| kde |
| 1. VystEOHN,t je plánované množstvo elektriny v jednotkách množstva elektriny distribuované na príslušnej napäťovej úrovni prevádzkovateľom distribučnej sústavy a koncovým odberateľom elektriny v roku t, |
| 2. VystETRHN,t je plánované množstvo elektriny v jednotkách množstva elektriny vystupujúce z príslušnej napäťovej úrovne do transformácie na nižšiu napäťovú úroveň v roku t. |
| (2) Náklady za straty pri distribúcii elektriny priradené príslušnej napäťovej úrovni VVSDHN,t v eurách v roku t sú zložené z alikvotnej časti nákladov za straty pri distribúcii elektriny priradených z vyššej napäťovej úrovne a nákladov za straty pri distribúcii elektriny vlastnej napäťovej úrovne a vypočítajú sa podľa vzorca |
| vzorec 98 |
| kde |
| a) CSDHN+1,t je tarifa za straty pri distribúcii elektriny v eurách na jednotku množstva elektriny na vyššej napäťovej úrovni, z ktorej sa transformuje elektrina do príslušnej napäťovej úrovne; na distribučnej napäťovej úrovni veľmi vysokého napätia sa tarifa za straty na vyššej napäťovej úrovni v eurách na jednotku množstva elektriny v roku t CSDVVN+1,t rovná nule, |
| b) CSHDHN,t je cena za straty pri distribúcii elektriny v eurách na jednotku množstva elektriny príslušnej napäťovej úrovne v roku t. |
| (3) Cena za straty pri distribúcii elektriny na príslušnej napäťovej úrovni CSHDHN,t v eurách na jednotku množstva elektriny v roku t sa vypočíta podľa vzorca |
| vzorec 99 |
| kde |
| a) PMSEHN,t je povolené množstvo strát elektriny v jednotkách množstva elektriny na príslušnej napäťovej úrovni v roku t podľa odseku 4, |
| b) PCSESt je schválená alebo určená cena elektriny na účely pokrytia strát elektriny pri distribúcii elektriny v eurách na jednotku množstva elektriny na rok t vypočítaná podľa vzorca |
| vzorec 100 |
| kde |
| 1. CEPXE,t je aritmetický priemer denných cien oficiálneho kurzového lístka zverejneného burzou PXE (POWER EXCHANGE CENTRAL EUROPE) na jej webovom sídle, produktu F PXE SK BL Cal-t v eurách na jednotku množstva elektriny za obdobie od 1. januára roku t-1 do 30. júna roku t-1, |
| 2. kt je koeficient na rok t v percentách, ktorého hodnota je 10 % na rok 2013, 9 % na rok 2014, 8 % na rok 2015 a 7 % na rok 2016, |
| 3. Ot sú schválené alebo určené plánované náklady regulovaného subjektu za podiel na nákladoch na regulačnú elektrinu a za zúčtovanie rozdielov strát podľa osobitného predpisu61) na základe údajov poskytnutých organizátorom krátkodobého trhu s elektrinou a vyrovnávacej ceny elektriny na zúčtovanie rozdielov; vyrovnávacia cena elektriny na zúčtovanie rozdielov je určená vo výške určenej ceny na nákup elektriny na krytie strát v príslušnej sústave na príslušné obdobie na rok t. |
| (4) Povolené množstvo strát elektriny PMSEHN,t v jednotkách množstva elektriny na príslušnej napäťovej úrovni v roku t sa vypočíta podľa vzorca |
| vzorec 101 |
| kde |
| a) VstEHN,t je celkové plánované množstvo elektriny v jednotkách množstva elektriny vstupujúce do príslušnej napäťovej úrovne v roku t cez transformáciu z vyššej napäťovej úrovne, zo všetkých zdrojov elektriny pripojených na príslušnú napäťovú úroveň, z prítokov elektriny zo susedných distribučných sústav, z dovozov elektriny zo susedných elektrizačných sústav a z prítokov elektriny prepravenej cez miestne distribučné sústavy pripojené do distribučnej sústavy regulovaného subjektu, |
| b) PPSCHN,t je hodnota počiatočného percenta celkových strát pri distribúcii elektriny na príslušnej napäťovej úrovni určená podľa odseku 5, |
| c) XSHN,n je faktor efektivity strát elektriny na príslušnej napäťovej úrovni; XSHN,n sa na rok 2012 rovná nule a na roky 2013 až 2016 sa určí podľa odseku 5. |
| (5) Hodnota počiatočného percenta celkových strát pri distribúcii elektriny PPSCHN na príslušnej napäťovej úrovni a hodnota faktora efektívnosti strát XSHN,n sa určuje takto: |
| | | Regionálna distribučná sústava | | PPSCHN | XSHN,n | | VVN | 0,878 % | 0,1 % | | VN | 3,692 % | 1,5 % | | NN | 12,504 % | 5,0 % | |
| Prístup do distribučnej sústavy a distribúcia elektriny prevádzkovateľom miestnej distribučnej sústavy |
| § 29 |
| Všeobecné ustanovenia |
| (1) Cenová regulácia podľa odsekov 2 až 15 a § 30 sa vzťahuje na prevádzkovateľa miestnej distribučnej sústavy a vykonáva sa určením spôsobu výpočtu maximálnej ceny a tarify za prístup do distribučnej sústavy a distribúciu elektriny. |
| (2) Súčasťou návrhu ceny sú |
| a) návrh cien alebo sadzieb za prístup do distribučnej sústavy a distribúciu elektriny prevádzkovateľa miestnej distribučnej sústavy vrátane ich štruktúry na rok t, ktoré sa budú uplatňovať pre účastníkov trhu s elektrinou, vrátane podmienok ich pridelenia, |
| b) údaje potrebné na preverenie cien za rok t-2, najmä skutočný objem distribúcie elektriny, počet odberných miest v členení po jednotlivých sadzbách, |
| c) plán investícií a plán odpisov za regulovanú činnosť v rokoch t, t+1 a t+2, |
| d) výpočty a údaje podľa § 29 a 30 týkajúce sa prístupu do distribučnej sústavy a distribúcie elektriny prevádzkovateľa miestnej distribučnej sústavy a uplatňovania tarify za systémové služby a tarify za prevádzkovanie sústavy, |
| e) potvrdenie nie staršie ako tri mesiace preukazujúce, že voči regulovanému subjektu nie sú evidované |
| 1. daňové nedoplatky podľa osobitného predpisu26) správcom dane, |
| 2. nedoplatky poistného na zdravotné poistenie, |
| 3. nedoplatky na poistnom na sociálne poistenie a povinných príspevkoch na starobné dôchodkové sporenie, |
| f) podklady podľa prílohy č. 5, |
| g) ďalšie podklady potrebné na správne posúdenie návrhu ceny. |
| (3) Podklady podľa odseku 2 písm. a), b) a d) sa predkladajú aj v elektronickej podobe. |
| (4) Ustanovenia o návrhu ceny sa primerane vzťahujú aj na návrh na zmenu cenového rozhodnutia. |
| (5) V roku t môže regulovaný subjekt použiť tarify za distribúciu elektriny prevádzkovateľa distribučnej sústavy, do ktorej je pripojený, vrátane podmienok pridelenia jednotlivých taríf (ďalej len „prevzaté tarify“). Ak regulovaný subjekt nepoužil v roku t-1 prevzaté tarify za distribúciu elektriny, môže použiť prevzaté tarify v roku t len vtedy, ak preukáže, že za rok t-1 mu nevznikne prebytok výnosov za distribúciu elektriny. |
| (6) Ak regulovaný subjekt nepoužije prevzaté tarify podľa odseku 5, maximálna cena za prístup do distribučnej sústavy a distribúciu elektriny a tarifa za straty pri distribúcii elektriny na rok t sa určia podľa § 30 na základe vlastného návrhu ceny. |
| (7) Návrh ceny za prístup do distribučnej sústavy a distribúciu elektriny podľa odseku 5 obsahuje identifikačné údaje regulovaného subjektu, identifikačné údaje prevádzkovateľa distribučnej sústavy, ktorého tarify preberá, a prevzaté tarify, ktoré bude regulovaný subjekt uplatňovať jednotlivým skupinám odberateľov elektriny, vrátane podmienok priznania jednotlivých taríf a údaje podľa prílohy č. 5 tabuľky č. 8. |
| (8) Maximálna cena At určená podľa § 30 ods. 1 sa rozpočíta do taríf jednotlivých sadzieb za prístup do distribučnej sústavy a distribúciu elektriny tak, aby vážený priemer taríf týchto sadzieb neprekročil maximálnu cenu At. Sadzba sa skladá z tarify za rezervovaný výkon a z tarify za distribuovanú elektrinu. V návrhu taríf týchto sadzieb sa zohľadní napäťová úroveň sadzby. |
| (9) Za regulovaný subjekt, ktorý predložil vlastný návrh ceny, sa najneskôr do 30. apríla roku t oznamuje |
| a) množstvo elektriny distribuovanej oprávneným odberateľom vlastnou distribučnou sústavou v roku t-1, |
| b) množstvo elektriny dodanej odberateľom elektriny v domácnosti na vlastnej časti vymedzeného územia z vlastnej výroby elektriny v roku t-1, |
| c) množstvo elektriny vyrobenej vo vlastnom zariadení na výrobu elektriny a dodanej priamo odberateľom elektriny bez použitia prenosovej sústavy alebo distribučnej sústavy iného prevádzkovateľa distribučnej sústavy v roku t-1, |
| d) vlastná spotreba elektriny vyrobenej vo vlastnom zariadení na výrobu elektriny, zníženej o objem vlastnej spotreby elektriny pri výrobe elektriny v roku t-1, |
| e) skutočné náklady za distribúciu elektriny v roku t-1. |
| (10) Na účely regulácie ceny za prístup do distribučnej sústavy a distribúciu elektriny napäťová úroveň veľmi vysokého napätia zahŕňa siete veľmi vysokého napätia, napäťová úroveň vysokého napätia zahŕňa siete vysokého napätia a transformáciu veľmi vysokého napätia na vysoké napätie a napäťová úroveň nízkeho napätia zahŕňa siete nízkeho napätia a transformáciu vysokého napätia na nízke napätie. |
| (11) Podiel výnosov z platieb za rezervovaný výkon a celkových výnosov za prístup do distribučnej sústavy a distribúciu elektriny okrem výnosov za straty elektriny pri distribúcii elektriny je maximálne do výšky 0,60. |
| (12) V prípade odberu elektriny z miestnej distribučnej sústavy sa výrobcom elektriny s výnimkou výrobcov elektriny, ktorí odberajú elektrinu z miestnej distribučnej sústavy výlučne na účely čerpania v prečerpávacích vodných elektrárňach, účtuje dohodnutá rezervovaná kapacita (platba za prístup do distribučnej sústavy) podľa cenového rozhodnutia úradu (mesačná, trojmesačná, dvanásťmesačná rezervovaná kapacita). |
| (13) Platba za prístup do distribučnej sústavy sa uhrádza prevádzkovateľovi miestnej distribučnej sústavy výrobcom elektriny pripojeným do miestnej distribučnej sústavy vo výške 30 % hodnoty maximálnej rezervovanej kapacity dojednanej v zmluve o pripojení zariadenia na výrobu elektriny do distribučnej sústavy alebo z hodnoty výšky inštalovaného činného výkonu zariadenia na výrobu elektriny, ak pre zariadenie na výrobu elektriny nie je uzatvorená zmluva o pripojení zariadenia na výrobu elektriny do distribučnej sústavy vo výške tarify za dvanásťmesačnú rezervovanú kapacitu podľa účinného cenového rozhodnutia za prístup do distribučnej sústavy a distribúciu elektriny na rok t pre prevádzkovateľa regionálnej distribučnej sústavy, do ktorej je miestna distribučná sústava pripojená. Platba podľa prvej vety sa uhrádza prevádzkovateľovi miestnej distribučnej sústavy výrobcom elektriny podľa príslušnej napäťovej úrovne miestnej distribučnej sústavy, do ktorej je výrobca elektriny pripojený. Výrobcovia elektriny si neobjednávajú rezervovanú kapacitu. Na napäťovej úrovni nízkeho napätia sa hodnota maximálnej rezervovanej kapacity rovná hodnote rezervovanej kapacity určenej menovitou hodnotou hlavného ističa v ampéroch. To neplatí pre výrobcu elektriny, ktorého zariadenie slúži výlučne na poskytovanie podporných služieb pre prevádzkovateľa prenosovej sústavy alebo výlučne na dodávku regulačnej elektriny, a výrobcu elektriny, ktorý prevádzkuje zariadenie na výrobu elektriny z vodnej energie s celkovým inštalovaným výkonom do 5 MW. |
| (14) Ak je miestna distribučná sústava pripojená do prenosovej sústavy, tak platba za prístup do prenosovej sústavy sa uhrádza prevádzkovateľovi miestnej distribučnej sústavy výrobcom elektriny pripojeným do miestnej distribučnej sústavy vo výške podľa § 19 ods. 8 z hodnoty maximálnej rezervovanej kapacity dojednanej v zmluve o pripojení zariadenia na výrobu elektriny do distribučnej sústavy alebo z hodnoty výšky inštalovaného činného výkonu zariadenia na výrobu elektriny; ak pre zariadenie na výrobu elektriny nie je uzatvorená zmluva o pripojení zariadenia na výrobu elektriny do distribučnej sústavy vo výške tarify za rezervovanú kapacitu podľa účinného cenového rozhodnutia úradu za prístup do prenosovej sústavy a prenos elektriny na rok t pre prevádzkovateľa prenosovej sústavy, do ktorej je miestna distribučná sústava pripojená. Výrobcovia elektriny si neobjednávajú rezervovanú kapacitu. Na napäťovej úrovni nízkeho napätia sa hodnota maximálnej rezervovanej kapacity rovná hodnote rezervovanej kapacity určenej menovitou hodnotou hlavného ističa v ampéroch. To neplatí pre výrobcu elektriny, ktorého zariadenie slúži výlučne na poskytovanie podporných služieb pre prevádzkovateľa prenosovej sústavy alebo výlučne na dodávku regulačnej elektriny, a výrobcu elektriny, ktorý prevádzkuje zariadenie na výrobu elektriny z vodnej energie s celkovým inštalovaným výkonom do 5 MW. |
| (15) Ceny za prístup do miestnej distribučnej sústavy a distribúciu elektriny sa kalkulujú pri základnom zabezpečení pripojenia užívateľa sústavy štandardným pripojením. Za štandardné pripojenie užívateľa sústavy sa považuje pripojenie jedným napájacím vedením v zmysle technických podmienok prevádzkovateľa miestnej distribučnej sústavy. Pri pripojení užívateľa sústavy s osobitnými nárokmi na spôsob zabezpečenia distribúcie elektriny, napríklad cez ďalšie napájacie vedenia, sa cena za prístup do miestnej distribučnej sústavy určí vo výške 15 % z tarify za rezervovanú kapacitu, ktorá je dohodnutá pre ďalšie napájacie vedenie, podľa cenového rozhodnutia na rok t. Užívateľ sústavy si určí sám, ktoré napájacie vedenie je štandardné a ktoré je ďalšie napájacie vedenie. Iba v prípade distribúcie elektriny cez ďalšie napájacie vedenie na základe požiadavky užívateľa sústavy v danom mesiaci sa cena za prístup do miestnej distribučnej sústavy určí vo výške 100 % z tarify za rezervovanú kapacitu a cena za distribúciu elektriny sa stanoví vo výške 100 % tarify za distribúciu elektriny, pričom ceny za prístup do miestnej distribučnej sústavy a distribúciu elektriny za štandardné pripojenie nie sú týmto dotknuté. Za nadštandardnú distribúciu elektriny sa nepovažuje pripojenie užívateľa sústavy k miestnej distribučnej sústave zaslučkovaním. |
| § 30 |
| Cena za prístup do miestnej distribučnej sústavy a distribúciu elektriny a tarifa za straty pri distribúcii elektriny |
| (1) Maximálna cena za prístup do miestnej distribučnej sústavy a distribúciu elektriny At v eurách na jednotku množstva elektriny na rok t okrem strát elektriny pri distribúcii elektriny sa pre regulovaný subjekt, ktorý predkladá vlastný návrh ceny, vypočíta podľa vzorca |
| 
|
| kde |
| a) EONVt sú plánované schválené alebo určené ekonomicky oprávnené náklady v eurách na distribúciu elektriny v roku t okrem nákladov na obstaranie elektriny na krytie strát elektriny pri distribúcii elektriny a plánovaných nákladov na distribúciu elektriny od prevádzkovateľa sústavy, do ktorého sústavy je regulovaný subjekt pripojený, |
| b) EONEt sú plánované schválené alebo určené ekonomicky oprávnené náklady v eurách na distribúciu elektriny v roku t, ktoré zahŕňajú náklady na distribúciu elektriny vrátane strát elektriny pri distribúcii elektriny od prevádzkovateľa sústavy, do ktorého sústavy je regulovaný subjekt pripojený, |
| c) QDt je plánované množstvo elektriny v jednotkách množstva elektriny v roku t odobratej z distribučnej sústavy regulovaného subjektu koncovými odberateľmi elektriny, |
| d) QSt je plánované množstvo elektriny spotrebované regulovaným subjektom okrem vlastnej spotreby pri distribúcii elektriny a vlastnej spotreby elektriny pri výrobe elektriny vo vlastnom zariadení na výrobu elektriny v jednotkách množstva elektriny v roku t, |
| e) QSDSt je plánované množstvo elektriny spotrebované regulovaným subjektom, ktoré zahŕňa vlastnú spotrebu pri distribúcii elektriny regulovaného subjektu v jednotkách množstva elektriny v roku t, |
| f) PZt je plánovaný maximálny primeraný zisk na rok t vo výške najviac 6,23 eura na jednotku množstva distribuovanej elektriny vypočítaný podľa vzorca |
| vzorec 103 |
| kde |
| 1. ZZt je schválená alebo určená základná výška zisku v rozsahu 0 až 2,77 eura na jednotku množstva elektriny, |
| 2. MEt je očakávaná účtovná zostatková cena dlhodobého majetku v eurách používaného výhradne na distribúciu elektriny k 31. decembru roku t-1, |
| g) PVD t-2 je celkový skutočný objem výnosov v eurách v roku t-1 nesúvisiacich s vykonávaním regulovanej činnosti využívaním prevádzkových aktív nevyhnutne využívaných na distribúciu elektriny, ktoré sa zohľadnia pri návrhu ceny za prístup do distribučnej sústavy a distribúciu elektriny v roku t; PVDt-2 sa na roky 2012 a 2013 rovná nule, |
| h) KAt je faktor vyrovnania maximálnej ceny za prístup do miestnej distribučnej sústavy a distribúciu elektriny v eurách na jednotku množstva elektriny na rok t zohľadňujúci skutočnosť za rok t-2; KAt sa na roky 2012 a 2013 rovná nule, na roky 2014 až 2016 sa vypočíta podľa vzorca |
| 
|
| kde |
| 1. SEONVt-2 sú skutočné schválené alebo určené oprávnené náklady v eurách na distribúciu elektriny v roku t-2 okrem nákladov na obstaranie elektriny na krytie strát elektriny pri distribúcii elektriny a ekonomicky oprávnených nákladov na distribúciu elektriny od prevádzkovateľa sústavy, do ktorého sústavy je regulovaný subjekt pripojený, |
| 2. EONVt-2 sú plánované schválené alebo určené ekonomicky oprávnené náklady v eurách na distribúciu elektriny v roku t-2 okrem nákladov na obstaranie elektriny na krytie strát elektriny pri distribúcii elektriny a ekonomicky oprávnených nákladov na distribúciu elektriny od prevádzkovateľa sústavy, do ktorého sústavy je regulovaný subjekt pripojený, |
| 3. SEONEt-2 sú skutočné schválené alebo určené ekonomicky oprávnené náklady v eurách na distribúciu elektriny v roku t-2, ktoré zahŕňajú náklady na distribúciu elektriny a straty elektriny pri distribúcii od prevádzkovateľa sústavy, do ktorého sústavy je regulovaný subjekt pripojený, |
| 4. EONEt-2 sú plánované schválené alebo určené ekonomicky oprávnené náklady v eurách na distribúciu elektriny v roku t-2, ktoré zahŕňajú náklady na distribúciu elektriny a straty elektriny pri distribúcii od prevádzkovateľa sústavy, do ktorého sústavy je regulovaný subjekt pripojený, |
| 5. SMEt-2 je skutočná účtovná zostatková cena dlhodobého majetku v eurách používaného výhradne na distribúciu elektriny k 31. decembru roku t-3, |
| 6. MEt-2 je očakávaná účtovná zostatková cena dlhodobého majetku v eurách používaného výhradne na distribúciu elektriny k 31. decembru roku t-3. |
| 7. STRDt-2 sú skutočné schválené alebo určené výnosy v eurách za distribúciu elektriny v roku t-2 okrem nákladov na obstaranie elektriny na krytie strát elektriny pri distribúcii elektriny, |
| 8. TRDt-2 sú plánované schválené alebo určené výnosy v eurách za distribúciu elektriny v roku t-2 okrem nákladov na obstaranie elektriny na krytie strát elektriny pri distribúcii elektriny. |
| (2) Tarifa za straty elektriny pri distribúcii elektriny CSDHN,t v eurách na jednotku množstva elektriny sa v roku t vypočíta postupným výpočtom na jednotlivých napäťových úrovniach začínajúcim od napäťovej úrovne, do ktorej je distribučná sústava regulovaného subjektu pripojená, sa vypočíta podľa vzorca |
| vzorec 105 |
| kde |
| a) VVSDHN,t sú náklady za straty pri distribúcii elektriny v eurách priradené príslušnej napäťovej úrovni vypočítané podľa odseku 3, |
| b) VystEHN,t je celkové plánované množstvo elektriny v jednotkách množstva elektriny vystupujúce z príslušnej napäťovej úrovne v roku t vypočítané podľa vzorca |
| VystEHN,t = VystEOHN,t + VystETRHN,t , |
| kde |
| 1. VystEOHN,t je plánované množstvo elektriny v jednotkách množstva elektriny na rok t distribuované na príslušnej napäťovej úrovni koncovým odberateľom elektriny a pre vlastnú spotrebu elektriny prevádzkovateľa sústavy regulovaného subjektu a ostatnú spotrebu elektriny prevádzkovateľa sústavy regulovaného subjektu, |
| 2. VystETRHN,t je plánované množstvo elektriny v jednotkách množstva elektriny na rok t vystupujúce z príslušnej napäťovej úrovne do transformácie na nižšiu napäťovú úroveň. |
| (3) Náklady za straty elektriny pri distribúcii elektriny priradené príslušnej napäťovej úrovni VVSDHN,t v eurách v roku t skladajúce sa z alikvotnej časti nákladov za straty elektriny pri distribúcii elektriny priradených z vyššej napäťovej úrovne a nákladov za straty elektriny pri distribúcii vlastnej napäťovej úrovne sa vypočítajú podľa vzorca |
| vzorec 106 |
| kde |
| a) CSDHN+1,t je tarifa za straty elektriny pri distribúcii elektriny v eurách na jednotku množstva elektriny na vyššej napäťovej úrovni, z ktorej sa transformuje elektrina do príslušnej napäťovej úrovne; na distribučnej napäťovej úrovni, do ktorej je miestna distribučná sústava pripojená, sa tarifa za straty elektriny na vyššej napäťovej úrovni v eurách na jednotku množstva elektriny v roku t CSDHN+1,t rovná nule, |
| b) CSHDHN,t je cena za straty elektriny pri distribúcii elektriny v eurách na jednotku množstva elektriny príslušnej napäťovej úrovne v roku t podľa odseku 4. |
| (4) Cena za straty pri distribúcii elektriny na príslušnej napäťovej úrovni CSHDHN,t v eurách na jednotku množstva elektriny v roku t sa vypočíta podľa vzorca |
| vzorec 107 |
| kde |
| a) PCSESt je schválená alebo určená cena elektriny na účely pokrytia strát elektriny pri distribúcii elektriny v eurách na jednotku množstva elektriny na rok t vypočítaná podľa vzorca |
| vzorec 108 |
| kde |
| 1. CEPXE,t je aritmetický priemer denných cien oficiálneho kurzového lístka zverejneného burzou PXE (POWER EXCHANGE CENTRAL EUROPE) na jej webovom sídle, produktu F PXE SK BL Cal-t v eurách na jednotku množstva elektriny za obdobie od 1. januára roku t-1 do 30. júna roku t-1, |
| 2. kt je koeficient na rok t v percentách určený cenovým rozhodnutím v rozsahu najviac 12 % v závislosti od plánovaného diagramu strát elektriny pri distribúcii elektriny na rok t, |
| 3. Ot sú schválené alebo určené plánované náklady regulovaného subjektu na odchýlku v eurách na jednotku množstva elektriny na rok t súvisiacu s plánovaným diagramom strát elektriny na rok t pri distribúcii elektriny, |
| b) PMSEHN,t je povolené množstvo strát elektriny v jednotkách množstva elektriny na príslušnej napäťovej úrovni v roku t vypočítané podľa odseku 5. |
| (5) Povolené množstvo strát elektriny PMSEHN,t v jednotkách množstva elektriny na príslušnej napäťovej úrovni v roku t sa vypočíta podľa vzorca |
| vzorec 109 |
| kde |
| a) VstEHN,t je celkové plánované množstvo elektriny v jednotkách množstva elektriny vstupujúce do príslušnej napäťovej úrovne v roku t z nadradenej distribučnej sústavy, cez transformáciu z vyššej napäťovej úrovne, zo všetkých zdrojov elektriny pripojených na danú napäťovú úroveň, z prítokov elektriny z iných miestnych distribučných sústav, |
| b) PPSCHN je hodnota percenta strát pri distribúcii elektriny na príslušnej napäťovej úrovni v závislosti od napäťovej úrovne pripojenia miestnej distribučnej sústavy je najviac, |
| 1. ak je sústava pripojená na úrovni veľmi vysokého napätia, |
| 1a. 0,1 % na napäťovej úrovni veľmi vysokého napätia, |
| 1b. 2,2 % na napäťovej úrovni vysokého napätia, |
| 1c. 5 % na napäťovej úrovni nízkeho napätia, |
| 2. ak je sústava pripojená na napäťovej úrovni vysokého napätia, |
| 2a. 0,2 % na napäťovej úrovni vysokého napätia, |
| 2b. 5 % na napäťovej úrovni nízkeho napätia, |
| 3. ak je sústava pripojená na napäťovej úrovni nízkeho napätia, 1 % na napäťovej úrovni nízkeho napätia. |
| (6) Hodnota percenta strát elektriny pri distribúcii elektriny na príslušnej napäťovej úrovni PPSCHN sa pre miestnu distribučnú sústavu, ktorá je rozlohou porovnateľná s regionálnou distribučnou sústavou, určí individuálne. |
| Dodávka elektriny pre odberateľov elektriny v domácnosti |
| § 31 |
| Všeobecné ustanovenia |
| (1) Cenová regulácia podľa odsekov 2 až 6 a § 32 sa vzťahuje na dodávateľa elektriny v domácnosti. |
| (2) Súčasťou návrhu ceny sú |
| a) návrh cien alebo sadzieb za dodávku elektriny pre odberateľov elektriny v domácnosti vrátane ich štruktúry na rok t, ktoré sa budú uplatňovať pre účastníkov trhu s elektrinou, vrátane podmienok ich pridelenia, |
| b) údaje potrebné na preverenie cien za rok t-2, najmä skutočný objem dodávky elektriny, počet odberných miest v členení po jednotlivých sadzbách, |
| c) plán investícií a plán odpisov za regulovanú činnosť v rokoch t, t+1 a t+2, |
| d) výpočty a údaje podľa § 32 týkajúce sa dodávky elektriny pre odberateľov elektriny v domácnosti, |
| e) potvrdenie nie staršie ako tri mesiace preukazujúce, že voči regulovanému subjektu nie sú evidované |
| 1. daňové nedoplatky podľa osobitného predpisu26) správcom dane, |
| 2. nedoplatky poistného na zdravotné poistenie, |
| 3. nedoplatky na poistnom na sociálne poistenie a povinných príspevkoch na starobné dôchodkové sporenie, |
| f) podklady podľa prílohy č. 6, |
| g) ďalšie podklady potrebné na správne posúdenie návrhu ceny. |
| (3) Podklady podľa odseku 2 písm. a), b) a d) sa predkladajú aj v elektronickej podobe. |
| (4) Ustanovenia o návrhu ceny sa primerane vzťahujú aj na návrh na zmenu cenového rozhodnutia. |
| (5) Pre odberateľov elektriny v domácnosti sa pre jednotlivé odberné miesta uplatní najviac osem sadzieb: |
| a) DD1 je jednopásmová sadzba s nižšou spotrebou elektriny, |
| b) DD2 je jednopásmová sadzba s vyššou spotrebou elektriny, |
| c) DD3 je dvojpásmová sadzba; nízke pásmo sa poskytuje minimálne osem hodín denne s fixne určeným časom prevádzky v nízkom pásme v nepretržitom trvaní aspoň tri hodiny, blokovanie elektrických spotrebičov sa nevyžaduje, |
| d) DD4 je dvojpásmová sadzba; nízke pásmo sa poskytuje minimálne osem hodín denne s blokovaním akumulačných elektrických spotrebičov v čase vysokého pásma, |
| e) DD5 je dvojpásmová sadzba pre priamovýhrevné elektrické vykurovanie, nízke pásmo sa poskytuje minimálne 20 hodín denne s blokovaním priamovýhrevných elektrických spotrebičov v čase vysokého pásma, |
| f) DD6 je dvojpásmová sadzba pre tepelné čerpadlo, nízke pásmo sa poskytuje minimálne 20 hodín denne s blokovaním elektrických spotrebičov na vykurovanie v čase vysokého pásma, |
| g) DD7 je dvojpásmová sadzba, nízke pásmo sa poskytuje celoročne od piatka 15:00 hodiny do pondelka 6:00 hodiny, blokovanie elektrických spotrebičov sa nevyžaduje, |
| h) DD8 je dvojpásmová sadzba, nízke pásmo sa poskytuje minimálne osem hodín denne s blokovaním akumulačných spotrebičov elektriny v čase vysokého pásma s určeným minimálnym inštalovaným výkonom akumulačných spotrebičov. |
| (6) Ceny za dodávku elektriny pre odberateľov elektriny v domácnosti v jednotlivých zložkách sadzieb sú maximálnymi cenami. |
| § 32 |
| Spôsob výpočtu maximálnej ceny za dodávku elektriny pre domácnosti |
| (1) Maximálna cena za elektrinu CEt na účely dodávky elektriny pre domácnosti schválená alebo určená cenovým rozhodnutím sa vypočíta podľa vzorca |
| vzorec 110 |
| kde |
| a) CEPXE,t je aritmetický priemer denných cien oficiálneho kurzového lístka zverejneného burzou PXE (POWER EXCHANGE CENTRAL EUROPE) na jej webovom sídle, produktu F PXE SK BL Cal-t Settlement price v eurách na jednotku množstva elektriny za obdobie od 1. januára roku t-1 do 30. júna roku t-1, |
| b) kt je koeficient na rok t v percentách určený cenovým rozhodnutím v rozsahu najviac 12 % v závislosti od plánovaného diagramu dodávky elektriny pre domácnosti na rok t, |
| c) Ot sú schválené náklady regulovaného subjektu na odchýlku súvisiace s dodávkou elektriny domácnostiam v eurách na jednotku množstva elektriny v roku t; ak je regulovaným subjektom dodávateľ elektriny, ktorý je súčasne prevádzkovateľom miestnej distribučnej sústavy a nie je subjektom zúčtovania, hodnota Ot je maximálne vo výške aritmetickej priemernej hodnoty povolených odchýlok schválených alebo určených pre regulované subjekty na rok t podľa § 28 ods. 3. |
| (2) Jednopásmové sadzby podľa § 31 ods. 5 sú zložené z |
| a) mesačnej platby za jedno odberné miesto NDOt; NDOt sú náklady na dodávku elektriny na jedno odberné miesto za mesiac, ktoré možno zahrnúť do ceny vo výške maximálne 0,65 eura na jedno odberné miesto a mesiac, |
| b) ceny za elektrinu CEDi v eurách na jednotku množstva elektriny, ktorá sa vypočíta podľa vzorca |
| vzorec 111 |
| kde |
| 1. KJPDi je koeficient ceny jednopásmového odberu elektriny určený podľa odseku 4, |
| 2. CEt je cena elektriny určená podľa odseku 1, |
| 3. PZt je primeraný zisk v roku t v eurách na jednotku množstva elektriny podľa odseku 6, ktorý je možné zahrnúť do ceny, |
| 4. i je číselný znak jednopásmovej sadzby. |
| (3) Dvojpásmové sadzby podľa § 31 ods. 5 sú zložené z |
| a) mesačnej platby za jedno odberné miesto NDOt; NDOt sú náklady na dodávku elektriny na jedno odberné miesto za mesiac, ktoré možno zahrnúť do ceny vo výške 0,65 eura na jedno odberné miesto a mesiac, |
| b) ceny za elektrinu CEVTDi v eurách na jednotku množstva elektriny odobranej vo vysokom pásme, ktorá sa vypočíta podľa vzorca |
| vzorec 112 |
| kde |
| 1. KVTDi je koeficient ceny odberu elektriny vo vysokom pásme podľa odseku 4, |
| 2. CEt je cena elektriny určená podľa odseku 1, |
| 3. PZt je primeraný zisk v roku t v eurách na jednotku množstva elektriny podľa odseku 6, ktorý je možné zahrnúť do ceny, |
| 4. i je číselný znak dvojpásmovej sadzby, |
| c) ceny za elektrinu CENTDi v eurách na jednotku množstva elektriny odobratej v nízkom pásme, ktorá sa vypočíta podľa vzorca |
| vzorec 113 |
| kde |
| 1. KNTDi je koeficient ceny odberu elektriny v nízkom pásme podľa odseku 4, |
| 2. CEt je cena elektriny určená podľa odseku 1, |
| 3. PZt je primeraný zisk v roku t v eurách na jednotku množstva elektriny podľa
odseku 6, ktorý je možné zahrnúť do ceny, |
| 4. i je číselný znak dvojpásmovej sadzby. |
| (4) Koeficienty ceny jednopásmového odberu elektriny KJPDi, koeficienty ceny odberu elektriny vo vysokom pásme KVTDi a koeficienty ceny odberu elektriny v nízkom pásme KNTDi sa uvedú v návrhu ceny regulovaného subjektu tak, aby vážený priemer cien elektriny bez primeraného zisku PZt všetkých sadzieb bol najviac vo výške rovnajúcej sa CEt podľa odseku 1. |
| (5) K sadzbám podľa odsekov 2 a 3 sa dodávateľom elektriny pripočíta cena za distribúciu elektriny vrátane prenosu elektriny a strát elektriny pri prenose a cena za straty elektriny pri distribúcii elektriny, tarifa za systémové služby a tarifa za prevádzkovanie systému podľa cenového rozhodnutia, ktorým boli schválené alebo určené ceny za prístup do distribučnej sústavy a distribúciu elektriny pre prevádzkovateľa distribučnej sústavy, do ktorej je odberateľ elektriny v domácnosti pripojený. |
| (6) Najvyššia miera primeraného zisku pri dodávke elektriny pre odberateľov elektriny v domácnosti, ktorý je možné zahrnúť do ceny za dodávku elektriny pre odberateľov elektriny v domácnosti, je maximálne 8 % z ceny elektriny CEt bez odchýlky určenej podľa odseku 1, najviac však 3 eurá/MWh. |
| Dodávka elektriny malému podniku |
| § 33 |
| Všeobecné ustanovenia |
| (1) Cenová regulácia podľa odsekov 2 až 6 a § 34 a 35 sa vzťahuje na regulovaný subjekt, ktorý dodáva elektrinu malému podniku. |
| (2) Súčasťou návrhu ceny sú |
| a) návrh cien alebo sadzieb za dodávku elektriny malému podniku vrátane ich štruktúry na rok t, ktoré sa budú uplatňovať pre účastníkov trhu s elektrinou, vrátane podmienok ich pridelenia, |
| b) údaje potrebné na preverenie cien za rok t-2, najmä skutočný objem dodávky elektriny malému podniku, počet odberných miest v členení po jednotlivých sadzbách, |
| c) plán investícií a plán odpisov za regulovanú činnosť v rokoch t, t+1 a t+2, |
| d) výpočty a údaje podľa § 34 a 35 týkajúce sa dodávky elektriny malému podniku, |
| e) potvrdenie nie staršie ako tri mesiace preukazujúce, že voči regulovanému subjektu nie sú evidované |
| 1. daňové nedoplatky podľa osobitného predpisu26) správcom dane, |
| 2. nedoplatky poistného na zdravotné poistenie, |
| 3. nedoplatky na poistnom na sociálne poistenie a povinných príspevkoch na starobné dôchodkové sporenie, |
| f) podklady podľa prílohy č. 7, |
| g) ďalšie podklady potrebné na správne posúdenie návrhu ceny. |
| (3) Podklady podľa odseku 2 písm. a), b) a d) sa predkladajú aj v elektronickej podobe. |
| (4) Ustanovenia o návrhu ceny sa primerane vzťahujú aj na návrh na zmenu cenového rozhodnutia. |
| (5) Malý podnik je koncový odberateľ elektriny s ročnou spotrebou elektriny za všetky jeho odberné miesta najviac 30 000 kWh za rok, ktorý predchádza roku predkladania návrhu ceny. Rokom na zaradenie do kategórie malý podnik sa na účely tejto vyhlášky rozumie rok t-2. |
| (6) Cena za dodávku elektriny malému podniku v jednotlivých zložkách sadzieb je určená ako maximálna cena. Maximálna cena sa skladá z dvoch zložiek, a to z mesačnej platby za jedno odberné miesto a z ceny za jednu MWh odobratej elektriny v príslušnom pásme. |
| § 34 |
| Sadzby za dodávku elektriny malému podniku |
| Pre malý podnik sa pre jednotlivé odberné miesta uplatní najviac jedenásť sadzieb: |
| a) DMP1 je jednopásmová sadzba s nižšou spotrebou elektriny, |
| b) DMP2 je jednopásmová sadzba so strednou spotrebou elektriny, |
| c) DMP3 je jednopásmová sadzba s vyššou spotrebou elektriny, |
| d) DMP4 je dvojpásmová sadzba s nižšou spotrebou elektriny; nízke pásmo sa poskytuje minimálne osem hodín denne, |
| e) DMP5 je dvojpásmová sadzba so strednou spotrebou elektriny; nízke pásmo sa poskytuje minimálne osem hodín denne, |
| f) DMP6 je dvojpásmová sadzba s vyššou spotrebou elektriny; nízke pásmo sa poskytuje minimálne osem hodín denne, |
| g) DMP7 je dvojpásmová sadzba; nízke pásmo sa poskytuje minimálne 20 hodín denne s blokovaním priamovýhrevných elektrických spotrebičov v čase vysokého pásma, |
| h) DMP8 je dvojpásmová sadzba pre tepelné čerpadlo; nízke pásmo sa poskytuje minimálne 20 hodín denne s blokovaním výhrevných elektrických spotrebičov v čase vysokého pásma, |
| i) DMP9 je sadzba pre nemerané odbery, |
| j) DMP10 je sadzba pre verejné osvetlenie, |
| k) DMP11 je sadzba pre dočasné odbery. |
| § 35 |
| Spôsob výpočtu maximálnej ceny za dodávku elektriny malému podniku |
| (1) Maximálna cena za elektrinu CEt na účely dodávky elektriny malému podniku schválená alebo určená cenovým rozhodnutím sa vypočíta podľa vzorca |
| vzorec 114 |
| kde |
| a) CEPXE,t je aritmetický priemer denných cien oficiálneho kurzového lístka zverejneného burzou PXE (POWER EXCHANGE CENTRAL EUROPE) na jej webovom sídle, produktu F PXE SK BL Cal-t v eurách na jednotku množstva elektriny za obdobie od 1. januára roku t-1 do 30. júna roku t-1, |
| b) kt je koeficient na rok t v percentách určený cenovým rozhodnutím v rozsahu najviac 12 % v závislosti od plánovaného diagramu dodávky elektriny pre malý podnik na rok t, |
| c) Ot sú schválené náklady regulovaného subjektu na odchýlku súvisiace s dodávkou elektriny malému podniku v eurách na jednotku množstva elektriny v roku t; ak je regulovaným subjektom dodávateľ elektriny, ktorý je súčasne prevádzkovateľom miestnej distribučnej sústavy a nie je subjektom zúčtovania, hodnota Ot je maximálne vo výške aritmetickej priemernej hodnoty povolených odchýlok schválených alebo určených pre prevádzkovateľov regionálnych distribučných sústav na rok t. |
| (2) Jednopásmové sadzby podľa § 34 sú zložené z |
| a) mesačnej platby za jedno odberné miesto NDOt; NDOt sú náklady na dodávku elektriny na jedno odberné miesto za mesiac, ktoré možno do ceny započítať najviac vo výške 0,65 eura na jedno odberné miesto a mesiac, |
| b) ceny za elektrinu CEMPi v eurách na jednotku množstva elektriny, ktorá sa vypočíta podľa vzorca |
| CEMPi = KJPMPi × CEt + PZt , |
| kde |
| KJPMPi je koeficient ceny jednopásmového odberu elektriny podľa odseku 4, |
| CEt je cena elektriny určená podľa odseku 1, |
| PZt je primeraný zisk v roku t v eurách na jednotku množstva elektriny, maximálne 16 % z určenej ceny za elektrinu CEt, najviac však osem eur za 1 MWh, |
| i je číselný znak jednopásmovej sadzby. |
| (3) Dvojpásmové sadzby podľa § 34 sú zložené z |
| a) mesačnej platby za jedno odberné miesto NDOt; NDOt sú náklady na dodávku elektriny na jedno odberné miesto za mesiac, ktoré možno do ceny započítať najviac vo výške 0,65 eura na jedno odberné miesto a mesiac, |
| b) ceny za elektrinu CEVTMPi v eurách na jednotku množstva elektriny odobranej vo vysokom pásme, ktorá sa vypočíta podľa vzorca |
| CEVTMPi = KVTMPi × CEt + PZt , |
| kde |
| KVTMPi je koeficient ceny odberu elektriny vo vysokom pásme podľa odseku 4, |
| CEt je cena elektriny určená podľa odseku 1, |
| PZt je primeraný zisk v roku t v eurách na jednotku množstva elektriny, maximálne 16 % z určenej ceny za elektrinu CEt, najviac však osem eur za 1 MWh, |
| i je číselný znak dvojpásmovej sadzby, |
| c) ceny za elektrinu CENTMPi v eurách na jednotku množstva elektriny odobranej v nízkom pásme, ktorá sa vypočíta podľa vzorca |
| CENTMPi = KNTMPi × CEt + PZt , |
| kde |
| KNTMPi je koeficient ceny odberu elektriny v nízkom pásme podľa odseku 4, |
| CEt je cena elektriny určená podľa odseku 1, |
| PZt je primeraný zisk v roku t v eurách na jednotku množstva elektriny, maximálne 16 % z určenej ceny za elektrinu CEt, najviac však osem eur za 1 MWh, |
| i je číselný znak dvojpásmovej sadzby. |
| (4) Koeficienty ceny jednopásmového odberu elektriny KJPMPi, koeficienty ceny odberu elektriny vo vysokom pásme KVTMPi a koeficienty ceny odberu elektriny v nízkom pásme KNTMPi sa určia v návrhu ceny regulovaného subjektu tak, aby vážený priemer cien elektriny bez primeraného zisku PZt všetkých sadzieb bol najviac vo výške rovnajúcej sa CEt podľa odseku 1. |
| (5) K sadzbám podľa odsekov 2 a 3 sa dodávateľom elektriny pripočíta cena za distribúciu elektriny vrátane prenosu elektriny a strát elektriny pri prenose a cena za straty elektriny pri distribúcii elektriny, tarifa za systémové služby a tarifa za prevádzkovanie systému podľa cenového rozhodnutia, ktorým boli schválené alebo určené ceny za prístup do distribučnej sústavy a distribúciu elektriny pre prevádzkovateľa distribučnej sústavy, do ktorej je malý podnik pripojený. |
| Dodávka elektriny dodávateľom poslednej inštancie |
| § 36 |
| Všeobecné ustanovenia |
| (1) Cenová regulácia podľa odsekov 2 až 4 a § 37 sa vzťahuje na dodávku elektriny dodávateľom poslednej inštancie do odberných miest odberateľov elektriny v domácnosti a odberateľov elektriny mimo domácnosti. |
| (2) Súčasťou návrhu ceny sú |
| a) návrh cien alebo sadzieb za dodávku elektriny dodávateľom poslednej inštancie vrátane ich štruktúry na rok t, ktoré sa budú uplatňovať pre účastníkov trhu s elektrinou, vrátane podmienok ich pridelenia, |
| b) plán investícií a plán odpisov za regulovanú činnosť v rokoch t, t+1 a t+2, |
| c) výpočty a údaje podľa § 37 týkajúce sa dodávky elektriny dodávateľom poslednej inštancie, |
| d) potvrdenie nie staršie ako tri mesiace preukazujúce, že voči regulovanému subjektu nie sú evidované |
| 1. daňové nedoplatky podľa osobitného predpisu26) správcom dane, |
| 2. nedoplatky poistného na zdravotné poistenie, |
| 3. nedoplatky na poistnom na sociálne poistenie a povinných príspevkoch na starobné dôchodkové sporenie, |
| e) ďalšie podklady potrebné na správne posúdenie návrhu ceny. |
| (3) Podklady podľa odseku 2 písm. a) a c) sa predkladajú aj v elektronickej podobe. |
| (4) Ustanovenia o návrhu ceny sa primerane vzťahujú aj na návrh na zmenu cenového rozhodnutia. |
| § 37 |
| Cena za dodávku elektriny dodávateľom poslednej inštancie, postup a podmienky uplatňovania ceny |
| (1) Maximálna cena za dodávku elektriny dodávateľom poslednej inštancie v eurách na jednotku množstva elektriny CEm,t sa určí cenovým rozhodnutím. Pri určení ceny CEm,t sa vychádza z aritmetického priemeru denných cien oficiálneho kurzového lístka zverejneného burzou PXE (POWER EXCHANGE CENTRAL EUROPE) na jej webovom sídle, produktu F PXE SK BL M na tri po sebe nasledujúce mesiace, pričom prvým mesiacom je mesiac, v ktorom sa začne dodávka elektriny dodávateľom poslednej inštancie v eurách na jednotku množstva elektriny za obdobie kalendárneho mesiaca predchádzajúceho prvému dňu dodávky elektriny dodávateľom poslednej inštancie. CEm,t sa určí tak, že tento aritmetický priemer denných cien elektriny sa zvýši o 15 % z dôvodu pokrytia diagramu dodávky elektriny pre príslušných odberateľov elektriny a o 9 % z dôvodu obmedzenia rizika súvisiaceho s dodávkou poslednej inštancie. |
| (2) Sadzba za dodávku elektriny dodávateľom poslednej inštancie je zložená z |
| a) mesačnej platby za jedno odberné miesto NDOt, kde NDOt sú náklady na dodávku elektriny dodávateľom poslednej inštancie na jedno odberné miesto za mesiac, ktoré možno zahrnúť do ceny vo výške maximálne 0,65 eura na jedno odberné miesto a mesiac, |
| b) maximálnej ceny za elektrinu CEDt v eurách na jednotku množstva elektriny, ktorá sa vypočíta podľa vzorca |
| CEDt = CEm,t +Ot+ PZt , |
| kde |
| 1. CEm,t je cena elektriny určená podľa odseku 1, |
| 2. Ot sú schválené alebo určené náklady regulovaného subjektu na odchýlku súvisiace s dodávkou elektriny v eurách na jednotku množstva elektriny v roku t v cenovom konaní regulovaného subjektu vo veci dodávky elektriny dodávateľom poslednej inštancie na rok t, |
| 3. PZt je primeraný zisk v roku t v eurách na jednotku množstva elektriny, ktorý je možné zahrnúť do ceny za dodávku elektriny dodávateľom poslednej inštancie, je maximálne |
| 3a. 10 % z ceny elektriny určenej spôsobom podľa odseku 1, najviac však 5 eur/MWh pre odberateľov elektriny v domácnosti, |
| 3b. 14 % z ceny elektriny určenej spôsobom podľa odseku 1, najviac však 8 eur/MWh pre odberateľov elektriny okrem odberateľov elektriny v domácnosti. |
| (3) Ak je dodávka elektriny dodávateľom poslednej inštancie združenou dodávkou elektriny, k sadzbám podľa odseku 2 sa dodávateľom elektriny poslednej inštancie pripočíta cena za distribúciu elektriny vrátane prenosu elektriny a strát elektriny pri prenose elektriny, straty elektriny pri distribúcii elektriny, tarifa za systémové služby a tarifa za prevádzkovanie systému podľa cenového rozhodnutia, ktorým boli schválené alebo určené ceny za prístup do distribučnej sústavy a distribúciu elektriny pre prevádzkovateľa distribučnej sústavy, do ktorej je príslušné odberné miesto pripojené. |
| Pripojenie do sústavy a pripojenie nových výrobcov elektriny do sústavy |
| § 38 |
| Všeobecné ustanovenia |
| (1) Cenová regulácia podľa odsekov 2 až 4 a § 39 až 44 sa vzťahuje na pripojenie užívateľov sústavy do sústavy vrátane nových výrobcov elektriny. |
| (2) Súčasťou návrhu ceny sú |
| a) návrh cien za pripojenie pri pripojení do distribučnej sústavy vrátane ich štruktúry na rok t, ktoré sa budú uplatňovať pre účastníkov trhu s elektrinou, vrátane podmienok ich pridelenia, |
| b) plán investícií a plán odpisov za regulovanú činnosť v rokoch t, t+1 a t+2, |
| c) výpočty a údaje podľa § 39 až 44 týkajúce sa pripojenia účastníkov trhu s elektrinou do sústavy, |
| d) potvrdenie nie staršie ako tri mesiace preukazujúce, že voči regulovanému subjektu nie sú evidované |
| 1. daňové nedoplatky podľa osobitného predpisu26) správcom dane, |
| 2. nedoplatky poistného na zdravotné poistenie, |
| 3. nedoplatky na poistnom na sociálne poistenie a povinných príspevkoch na starobné dôchodkové sporenie, |
| e) ďalšie podklady potrebné na správne posúdenie návrhu ceny. |
| (3) Podklady podľa odseku 2 písm. a) a c) sa predkladajú aj v elektronickej podobe. |
| (4) Ustanovenia o návrhu ceny sa primerane vzťahujú aj na návrh na zmenu cenového rozhodnutia. |
| § 39 |
| Pripojenie prevádzkovateľa distribučnej sústavy do prenosovej sústavy |
| (1) Elektroenergetické zariadenie prevádzkovateľa distribučnej sústavy je možné pripojiť do prenosovej sústavy po splnení technických podmienok a obchodných podmienok prevádzkovateľa prenosovej sústavy tak, aby bola zachovaná bezpečnosť, spoľahlivosť a stabilita prevádzky prenosovej sústavy. Deliace miesto medzi technologickými zariadeniami prenosovej sústavy a zariadeniami distribučnej sústavy sa určuje prevádzkovateľom prenosovej sústavy. |
| (2) Náklady vyvolané u prevádzkovateľa prenosovej sústavy pripojením elektroenergetického zariadenia prevádzkovateľa distribučnej sústavy alebo zvýšením maximálnej rezervovanej kapacity existujúceho elektroenergetického zariadenia prevádzkovateľa distribučnej sústavy pripojeného do prenosovej sústavy alebo úpravou zariadení prenosovej sústavy na základe žiadosti prevádzkovateľa distribučnej sústavy sa rozdelia medzi príslušných prevádzkovateľov sústav takto: |
| a) podiel prevádzkovateľa prenosovej sústavy je 60 % nákladov, |
| b) podiel prevádzkovateľa distribučnej sústavy je 40 % nákladov. |
| (3) Náklady podľa odseku 2 zahŕňajú |
| a) náklady súvisiace s obstaraním elektroenergetického zariadenia vrátane jeho dopravy na určené miesto, |
| b) náklady súvisiace s obstaraním automatických hasiacich zariadení, |
| c) náklady súvisiace s obstaraním riadiaceho systému, |
| d) náklady na montáž, |
| e) iné náklady súvisiace s prípravou, projektovaním a výstavbou elektroenergetického zariadenia a vyvolanými úpravami elektroenergetických zariadení prenosovej sústavy. |
| (4) Výška nákladov vyvolaných u prevádzkovateľa prenosovej sústavy sa určuje na základe nákladov podľa odseku 3, a to od miesta pripojenia elektroenergetických zariadení prevádzkovateľa distribučnej sústavy k technologickým zariadeniam prenosovej sústavy, až do miesta požadovaného dispozičného príkonu v prenosovej sústave. Elektroenergetické zariadenie patriace k prenosovej sústave sa vybuduje prevádzkovateľom prenosovej sústavy v súlade s technickými podmienkami. Elektroenergetické zariadenia patriace k distribučnej sústave sa vybudujú prevádzkovateľom distribučnej sústavy v súlade s technickými podmienkami. |
| § 40 |
| Pripojenie koncového odberateľa elektriny alebo výrobcu elektriny do prenosovej sústavy |
| (1) Elektroenergetické zariadenie výrobcu elektriny alebo koncového odberateľa elektriny je možné pripojiť do prenosovej sústavy po splnení technických podmienok a obchodných podmienok prevádzkovateľa prenosovej sústavy tak, aby bola zachovaná bezpečnosť, spoľahlivosť a stabilita prevádzky prenosovej sústavy. Deliace miesto medzi technologickými zariadeniami prenosovej sústavy a elektroenergetickými zariadeniami koncového odberateľa elektriny alebo výrobcu elektriny, ktorý žiada o pripojenie, sa určuje prevádzkovateľom prenosovej sústavy. |
| (2) Preukázané skutočné náklady vyvolané u prevádzkovateľa prenosovej sústavy žiadosťou koncového odberateľa elektriny alebo výrobcu elektriny o pripojenie, zabezpečenie požadovaného príkonu nových elektroenergetických zariadení alebo úpravy existujúcich elektroenergetických zariadení prevádzkovateľa prenosovej sústavy, sa uhradia koncovým odberateľom elektriny alebo výrobcom elektriny. |
| (3) Výška nákladov vyvolaných u prevádzkovateľa prenosovej sústavy sa určuje na základe nákladov podľa odseku 4, a to od miesta pripojenia elektroenergetických zariadení žiadateľa k technologickým zariadeniam prenosovej sústavy až do miesta požadovaného dispozičného príkonu v prenosovej sústave. |
| (4) Náklady podľa odseku 2 zahŕňajú |
| a) náklady súvisiace s obstaraním elektroenergetického zariadenia vrátane jeho dopravy na určené miesto, |
| b) náklady súvisiace s obstaraním automatických hasiacich zariadení, |
| c) náklady súvisiace s obstaraním riadiaceho systému, |
| d) náklady na montáž, |
| e) iné náklady súvisiace s prípravou, projektovaním a výstavbou elektroenergetického zariadenia a vyvolanými úpravami elektroenergetických zariadení prenosovej sústavy. |
| (5) Elektroenergetické zariadenie patriace do prenosovej sústavy sa vybuduje prevádzkovateľom prenosovej sústavy alebo podnikateľom62) po dohode a podľa požiadaviek koncového odberateľa elektriny alebo výrobcu elektriny v súlade s technickými podmienkami prevádzkovateľa prenosovej sústavy. |
| § 41 |
| Pripojenie odberateľa elektriny alebo výrobcu elektriny do distribučnej sústavy |
| (1) Elektroenergetické zariadenie účastníka trhu s elektrinou je možné pripojiť do distribučnej sústavy po splnení technických podmienok a obchodných podmienok prevádzkovateľa distribučnej sústavy tak, aby bola zachovaná bezpečnosť, spoľahlivosť a stabilita prevádzky distribučnej sústavy. Deliace miesto medzi technologickými zariadeniami distribučnej sústavy a elektroenergetickými zariadeniami žiadateľa, ktorým je odberateľ elektriny alebo výrobca elektriny, sa určí prevádzkovateľom distribučnej sústavy. Ak je žiadateľom o pripojenie výrobca elektriny z obnoviteľných zdrojov alebo vysoko účinnou kombinovanou výrobou, na určenie deliaceho miesta sa vzťahuje osobitný predpis.63) |
| (2) Náklady prevádzkovateľa distribučnej sústavy na zabezpečenie maximálnej rezervovanej kapacity budovaním nových elektroenergetických zariadení alebo úpravou existujúcich elektroenergetických zariadení prevádzkovateľa distribučnej sústavy, vyvolané pripojením žiadateľa, sa uhradia žiadateľom. |
| (3) Náklady Nc na pripojenie elektroenergetického zariadenia žiadateľa do distribučnej sústavy zahŕňajú |
| a) náklady súvisiace s obstaraním elektroenergetického zariadenia prevádzkovateľa distribučnej sústavy vrátane jeho dopravy na určené miesto, |
| b) náklady súvisiace s obstaraním automatických hasiacich zariadení, |
| c) náklady súvisiace s obstaraním riadiaceho systému, |
| d) náklady na montáž, |
| e) iné náklady súvisiace s prípravou, projektovaním, výstavbou a pripojením elektroenergetického zariadenia prevádzkovateľa distribučnej sústavy a náklady od prevádzkovateľa sústavy, do ktorej je regulovaný subjekt pripojený. |
| (4) Ak žiadateľ požaduje zvýšenie existujúcej maximálnej rezervovanej kapacity, cena za pripojenie za zvýšenie maximálnej rezervovanej kapacity sa vypočíta z rozdielu požadovanej a pôvodnej maximálnej rezervovanej kapacity. |
| (5) Ak sa pridelená maximálna rezervovaná kapacita po uplynutí dvoch rokov od zmluvne dohodnutého termínu nevyužíva, zníži sa na skutočnú hodnotu využívania, najviac však na 50 % pôvodne dohodnutej maximálnej rezervovanej kapacity, ak sa žiadateľ s prevádzkovateľom sústavy nedohodne inak. Na základe žiadosti žiadateľa o opätovné pridelenie pôvodnej maximálnej rezervovanej kapacity sa táto kapacita opätovne žiadateľovi bezplatne pridelí. Podmienkou na bezplatné opätovné pridelenie maximálnej rezervovanej kapacity je predloženie žiadosti o opätovné pridelenie pôvodnej maximálnej rezervovanej kapacity do dvoch rokov od zníženia maximálnej rezervovanej kapacity podľa prvej vety. |
| (6) Úhrada za pripojenie sa od odberateľa elektriny nevyžaduje pri |
| a) zmene dodávateľa elektriny bez zvýšenia existujúcej maximálnej rezervovanej kapacity, |
| b) zmene odberateľa elektriny bez zvýšenia existujúcej maximálnej rezervovanej kapacity podľa schváleného prevádzkového poriadku prevádzkovateľa sústavy, |
| c) opätovnom pridelení pôvodnej maximálnej rezervovanej kapacity odbernému elektrickému zariadeniu so zohľadnením podmienok podľa odsekov 5 a 7, |
| d) prevode zariadenia na výrobu elektriny alebo jeho časti na iný právny subjekt, ak toto zariadenie na výrobu elektriny je súčasťou sústavy pôvodného vlastníka zariadenia. |
| (7) Ak žiadateľ požiadal o zníženie hodnoty maximálnej rezervovanej kapacity, pri opätovnom požiadaní o zvýšenie maximálnej rezervovanej kapacity do výšky pôvodnej hodnoty sa neuplatňuje cena za pripojenie za zvýšenie maximálnej rezervovanej kapacity, ak odberateľ elektriny predložil žiadosť o opätovné pridelenie pôvodnej maximálnej rezervovanej kapacity do dvoch rokov od požiadaného zníženia hodnoty maximálnej rezervovanej kapacity. |
| (8) Cena za pripojenie pre krátkodobé odbery elektriny sa určuje prevádzkovateľom distribučnej sústavy vo výške skutočne vyvolaných nákladov prevádzkovateľa distribučnej sústavy pre pripojenie odberateľa elektriny. |
| (9) Elektroenergetické zariadenie patriace do distribučnej sústavy sa vybuduje prevádzkovateľom distribučnej sústavy alebo podnikateľom61) po dohode s prevádzkovateľom distribučnej sústavy v súlade s technickými podmienkami prevádzkovateľa sústavy. |
| (10) Cena za pripojenie sa neuplatní, ak je odberateľ elektriny už pripojený do distribučnej sústavy a táto distribučná sústava bola prevzatá iným prevádzkovateľom distribučnej sústavy. |
| (11) Nadštandardné pripojenie užívateľa sústavy je, ak elektroenergetické zariadenie žiadateľa je už pripojené do distribučnej sústavy a žiadateľ má zabezpečenú požadovanú maximálnu rezervovanú kapacitu a žiada o pripojenie s osobitnými nárokmi na spôsob zabezpečenia distribúcie elektriny, napríklad cez ďalšie napájacie vedenia. Nadštandardné pripojenie sa poskytuje z napäťovej úrovne vysokého napätia a veľmi vysokého napätia. Cena za nadštandardné pripojenia sa určí podľa spôsobu výpočtu pre štandardné pripojenie. |
| § 42 |
| Pripojenie odberateľa elektriny alebo výrobcu elektriny do distribučnej sústavy do napäťovej úrovne od 52 kV vrátane do 110 kV |
| (1) Maximálna cena za pripojenie NO pri pripojení od 52 kV vrátane do 110 kV distribučnej sústavy alebo pri zvýšení maximálnej rezervovanej kapacity v od 52 kV vrátane do 110 kV distribučnej sústave zahrnuje náklady na výstavbu požadovaného elektroenergetického zariadenia prevádzkovateľa distribučnej sústavy a všetky nevyhnutné úpravy elektroenergetických zariadení v od 52 kV vrátane do 110 kV distribučnej sústave a v prenosovej sústave a vypočíta sa podľa vzorca |
| vzorec 115 |
| kde |
| a) Nc sú celkové náklady prevádzkovateľa distribučnej sústavy na výstavbu pripojenia a súvisiace úpravy v distribučnej sústave a prenosovej sústave v eurách, |
| b) PMRK je maximálna rezervovaná kapacita pripojenia žiadateľa v megawattoch, |
| c) PD je disponibilná kapacita na pripojenie vytvorená nevyhnutnými úpravami energetických zariadení v distribučnej sústave prevádzkovateľa distribučnej sústavy súvisiacimi s pripojením žiadateľa do distribučnej sústavy v megawattoch, |
| d) ko je koeficient výšky spoluúčasti žiadateľa o pripojenie; ak je žiadateľom odberateľ elektriny, hodnota koeficientu ko sa rovná 0,5, ak je žiadateľom výrobca elektriny hodnota koeficientu ko sa rovná jednej a ak je žiadateľom výrobca elektriny z obnoviteľných zdrojov energie alebo vysoko účinnou kombinovanou výrobou, ko sa rovná 0,98. |
| (2) Ak sa zvýši maximálna rezervovaná kapacita existujúceho odberateľa elektriny alebo výrobcu elektriny, potom pre výpočet podľa odseku 1 platí, že |
| a) Nc je celkový náklad prevádzkovateľa distribučnej sústavy v eurách súvisiaci s pripojením žiadateľov na napäťovej úrovni od 52 kV vrátane do 110 kV za predchádzajúcich päť kalendárnych rokov, |
| b) PD je celkový disponibilný výkon v megawattoch vytvorený nevyhnutnými úpravami elektroenergetických zariadení v sústave prevádzkovateľa distribučnej sústavy na základe žiadostí žiadateľov o pripojenie na napäťovej úrovni od 52 kV vrátane do 110 kV do distribučnej sústavy za predchádzajúcich päť kalendárnych rokov, |
| c) PMRK je maximálna rezervovaná kapacita určená podľa § 41 ods. 4. |
| (3) Ak sa za predchádzajúcich päť kalendárnych rokov neuskutočnili nové pripojenia, použije sa na určenie ceny za pripojenie výpočet podľa odseku 1, kde |
| 1. PMRK je maximálna rezervovaná kapacita určená podľa § 41 ods. 4, |
| 2. Nc sú celkové náklady prevádzkovateľa distribučnej sústavy na zvýšenie maximálnej rezervovanej kapacity pripojenia a súvisiace úpravy v distribučnej sústave a prenosovej sústave v eurách. |
| (4) Ak sa elektroenergetické zariadenie odberateľa elektriny alebo výrobcu elektriny pripája do miestnej distribučnej sústavy alebo pri zvýšení maximálnej rezervovanej kapacity existujúceho odberateľa elektriny alebo výrobcu elektriny v miestnej distribučnej sústave a pripojenie vyvolá náklady na pripojenie v regionálnej distribučnej sústave a v prenosovej sústave, maximálna cena za pripojenie zahrnuje náklady na pripojenie požadovaného elektroenergetického zariadenia u prevádzkovateľa miestnej distribučnej sústavy a vyvolané náklady na pripojenie v regionálnej distribučnej sústave a v prenosovej sústave. Maximálna cena za pripojenie do miestnej distribučnej sústavy, do ktorej je elektroenergetické zariadenie odberateľa elektriny alebo výrobcu elektriny pripojené, sa uhrádza odberateľom elektriny alebo výrobcom elektriny prevádzkovateľovi miestnej distribučnej sústavy. |
| (5) Ak sa zariadenie na výrobu elektriny výrobcu elektriny pripája do miestnej distribučnej sústavy, ktorá je pripojená do regionálnej distribučnej sústavy, alebo sa mení maximálna rezervovaná kapacita existujúceho zariadenia na výrobu elektriny výrobcu elektriny pripojeného do miestnej distribučnej sústavy, ktorá je pripojená do regionálnej distribučnej sústavy, prevádzkovateľ miestnej distribučnej sústavy uzatvára s prevádzkovateľom regionálnej distribučnej sústavy, do ktorej je miestna distribučná sústava prevádzkovateľa miestnej distribučnej sústavy pripojená, zmluvu o pripojení do regionálnej distribučnej sústavy s maximálnou rezervovanou kapacitou vo výške celkového inštalovaného výkonu takého zariadenia na výrobu elektriny maximálne však do výšky rezervovanej kapacity, ktorú je technicky možné dodať do regionálnej distribučnej sústavy. |
| (6) Maximálna cena za pripojenie pre prevádzkovateľa regionálnej distribučnej sústavy, do ktorej je miestna distribučná sústava pripojená, sa uhrádza prevádzkovateľom miestnej distribučnej sústavy, do ktorej sa elektroenergetické zariadenie odberateľa elektriny alebo výrobcu elektriny pripája. Maximálna cena za pripojenie sa vypočíta podľa odseku 1, pričom pre výpočet platí, že Nc sú celkové preukázateľne vyvolané náklady prevádzkovateľa regionálnej distribučnej sústavy na zvýšenie maximálnej rezervovanej kapacity pripojenia a súvisiace úpravy v prenosovej sústave v eurách. |
| § 43 |
| Pripojenie odberateľa elektriny alebo výrobcu elektriny do napäťovej úrovne od 1 kV do 52 kV |
| (1) Maximálna cena za pripojenie Cp pri pripojení odberateľa elektriny alebo výrobcu elektriny do distribučnej sústavy od 1 kV vrátane do 52 kV alebo pri zvýšení maximálnej rezervovanej kapacity v distribučnej sústave od 1 kV vrátane do 52 kV zahrnuje náklady na výstavbu požadovaného elektroenergetického zariadenia prevádzkovateľa distribučnej sústavy a všetky nevyhnutné úpravy elektroenergetických zariadení v distribučnej sústave a vypočíta sa podľa vzorca |
| vzorec 116 |
| kde |
| a) NVN sú celkové náklady prevádzkovateľa distribučnej sústavy v eurách súvisiace s pripojením žiadateľov na napäťovej úrovni od 1 kV vrátane do 110 kV v roku t-1, |
| b) PD je celkový disponibilný výkon v kilowattoch vytvorený nevyhnutnými úpravami elektroenergetických zariadení v sústave prevádzkovateľa distribučnej sústavy na základe žiadostí žiadateľov o pripojenie na napäťovej úrovni od 1 kV vrátane do 110 kV do distribučnej sústavy v roku t-1, |
| c) PMRK je maximálna rezervovaná kapacita žiadateľa o pripojenie v kilowattoch, |
| d) ko je koeficient výšky spoluúčasti žiadateľa o pripojenie, ktorého hodnota sa rovná |
| 1. 0,5, ak je žiadateľom o pripojenie odberateľ elektriny, |
| 2. 1,0, ak je žiadateľom o pripojenie výrobca elektriny okrem výrobcu elektriny podľa tretieho bodu, |
| 3. 0,98, ak je žiadateľom o pripojenie výrobca elektriny z obnoviteľných zdrojov energie alebo kombinovanou výrobou, |
| 4. ak je žiadateľom o pripojenie zariadenia na výrobu elektriny do napäťovej úrovne od 1 kV do 52 kV osoba, ktorej zariadenie na výrobu elektriny je pripojené do sústavy cez existujúce odberné miesto a ak je zároveň jeho odberné miesto vybavené určeným meradlom s meraním výkonu, tak na účely určenia ceny za pripojenie zariadenia na výrobu elektriny sa postupuje podľa vzorca |
| ak A > C, potom vzorec 117 |
| kde |
| 4a P je cena za pripojenie zariadenia na výrobu elektriny, |
| 4b A je maximálna rezervovaná kapacita pripojenia zariadenia na výrobu elektriny, ktorou je inštalovaný výkon zariadenia na výrobu elektriny, ktorý chce pripojiť žiadateľ o pripojenie alebo o ktorý chce zvýšiť už existujúci inštalovaný výkon zariadenia na výrobu elektriny (požadovaná maximálna rezervovaná kapacita), |
| 4c B je maximálna rezervovaná kapacita odberného zariadenia uvedená v zmluve o pripojení odberného zariadenia, alebo ak neexistuje zmluva o pripojení odberného zariadenia, tak sa za maximálnu rezervovanú kapacitu pripojenia považuje najvyššia nameraná hodnota príkonu za obdobie posledných dvoch rokov, ktorú určí prevádzkovateľ distribučnej sústavy a ktorou je maximálna rezervovaná kapacita v existujúcom odbernom mieste, |
| 4d C je skutočne využitá maximálna rezervovaná kapacita odberného zariadenia, ktorou je najvyššia nameraná hodnota príkonu za obdobie maximálne dvoch predchádzajúcich rokov, ktorú určí prevádzkovateľ distribučnej sústavy a ktorou je skutočne využitá maximálna rezervovaná kapacita v existujúcom odbernom mieste, |
| 4e NVN sú celkové náklady prevádzkovateľa distribučnej sústavy v eurách súvisiace s pripojením žiadateľov na napäťovej úrovni od 1 kV vrátane do 110 kV v roku t-1, |
| 4f PD je celkový disponibilný výkon v kilowattoch vytvorený nevyhnutnými úpravami elektroenergetických zariadení v sústave prevádzkovateľa distribučnej sústavy na základe žiadostí žiadateľov o pripojenie na napäťovej úrovni od 1 kV vrátane do 110 kV do distribučnej sústavy v roku t-1 |
| 4g ko1 je koeficient výšky spoluúčasti žiadateľa o pripojenie, ktorého hodnota sa rovná 1,0, ak je žiadateľom o pripojenie výrobca elektriny (okrem výrobcu elektriny z obnoviteľných zdrojov energie alebo vysoko účinnou kombinovanou výrobou výrobcu elektriny), alebo 0,98, ak je žiadateľom o pripojenie výrobca elektriny z obnoviteľných zdrojov energie alebo vysoko účinnou kombinovanou výrobou, |
| 4h ko2 je koeficient výšky spoluúčasti žiadateľa o pripojenie, ktorého hodnota sa rovná 0,5, a |
| ak A xxx C, potom vzorec 118 |
| e) NVN a PD – skutočné hodnoty celkových nákladov a celkového disponibilného výkonu v roku t v prípade, že neboli realizované pripojenia v miestnej distribučnej sústave v roku t-1. |
| (2) Maximálna cena za pripojenie Cp určená podľa odseku 1 v eurách na kilowatt na rok t-1 a na rok t sa oznamuje úradu najneskôr do konca februára roku t. |
| (3) Ak sa zariadenie na výrobu elektriny výrobcu elektriny pripája do miestnej distribučnej sústavy, ktorá je pripojená do regionálnej distribučnej sústavy, alebo sa mení maximálna rezervovaná kapacita existujúceho zariadenia na výrobu elektriny výrobcu elektriny pripojeného do miestnej distribučnej sústavy, ktorá je pripojená do regionálnej distribučnej sústavy, prevádzkovateľ miestnej distribučnej sústavy uzatvára s prevádzkovateľom regionálnej distribučnej sústavy, do ktorej je miestna distribučná sústava prevádzkovateľa miestnej distribučnej sústavy pripojená, zmluvu o pripojení do regionálnej distribučnej sústavy s maximálnou rezervovanou kapacitou vo výške celkového inštalovaného výkonu takého zariadenia na výrobu elektriny, maximálne však do výšky rezervovanej kapacity, ktorú je technicky možné dodať do regionálnej distribučnej sústavy. Maximálna cena za pripojenie sa určí vo výške preukázateľne vyvolaných nákladov prevádzkovateľa regionálnej distribučnej sústavy na zvýšenie maximálnej rezervovanej kapacity, najviac však do výšky určenej podľa odseku 1. |
| § 44 |
| Pripojenie odberateľa elektriny alebo výrobcu elektriny do napäťovej úrovne do 1 kV |
| (1) Maximálna cena za pripojenie odberateľa elektriny pri pripojení do distribučnej sústavy do 1 kV alebo pri zvýšení maximálnej rezervovanej kapacity v distribučnej sústave do 1 kV zohľadňuje hodnotu príkonu odberného elektroenergetického zariadenia, výšku nákladov na výstavbu požadovaného elektroenergetického zariadenia prevádzkovateľa distribučnej sústavy a všetky nevyhnutné úpravy elektroenergetických zariadení v miestnej distribučnej sústave alebo v regionálnej distribučnej sústave a je určená pre amperickú hodnotu hlavného istiaceho prvku pred elektromerom cenovým rozhodnutím. Cena za pripojenie na rok t sa zvyšuje v porovnaní s cenou za pripojenie na rok t-1 o aritmetický priemer indexov jadrovej inflácie JPIt za obdobie od júla roku t-2 do júna roku t-1. |
| (2) Cena za pripojenie výrobcu elektriny sa vypočíta ako súčin ceny za pripojenie určenej podľa odseku 1 a koeficientu k. Hodnota koeficientu k sa rovná 5; ak je žiadateľom o pripojenie výrobca elektriny z obnoviteľných zdrojov energie alebo vysoko účinnou kombinovanou výrobou, koeficient k sa rovná 4,9. |
| (3) Ak je žiadateľom o pripojenie zariadenia na výrobu elektriny, okrem zariadenia na výrobu elektriny z obnoviteľných zdrojov energie alebo vysoko účinnou kombinovanou výrobou, do napäťovej úrovne do 1 kV osoba, ktorej zariadenie na výrobu elektriny je pripojené do sústavy cez existujúce odberné miesto, tak cena za pripojenie tohto zariadenia na výrobu elektriny sa vypočíta ako súčin ceny určenej podľa odseku 1 a koeficientu k. Hodnota koeficientu k sa rovná 0,5, ak požadovaná maximálna rezervovaná kapacitu zariadenia na výrobu elektriny je najviac vo výške doterajšej maximálnej rezervovanej kapacity existujúceho odberného miesta. Ak požadovaná hodnota maximálnej rezervovanej kapacity zariadenia na výrobu elektriny je väčšia ako hodnota doterajšej maximálnej rezervovanej kapacity existujúceho odberného miesta, koeficient k je 0,5 pre maximálnu rezervovanú kapacitu zariadenia na výrobu elektriny v rozsahu do hodnoty doterajšej maximálnej rezervovanej kapacity existujúceho odberného miesta a koeficient k sa rovná 5,0 pre hodnotu maximálnej rezervovanej kapacity zariadenia na výrobu elektriny presahujúcu doterajšiu hodnotu maximálnej rezervovanej kapacity existujúceho odberného miesta. |
| (4) Ak je žiadateľom o pripojenie zariadenia na výrobu elektriny z obnoviteľných zdrojov energie alebo vysoko účinnou kombinovanou výrobou do napäťovej úrovne do 1 kV osoba, ktorej zariadenie na výrobu elektriny je pripojené do sústavy cez existujúce odberné miesto, tak cena za pripojenie tohto zariadenia na výrobu elektriny sa vypočíta ako súčin ceny určenej podľa odseku 1 a koeficientu k. Hodnota koeficientu k sa rovná 0,49, ak požadovaná maximálna rezervovaná kapacitu zariadenia na výrobu elektriny je najviac vo výške doterajšej maximálnej rezervovanej kapacity existujúceho odberného miesta. Ak požadovaná hodnota maximálnej rezervovanej kapacity zariadenia na výrobu elektriny je väčšia ako hodnota doterajšej maximálnej rezervovanej kapacity existujúceho odberného miesta, koeficient k je 0,49 pre rozsah maximálnej rezervovanej kapacity zariadenia na výrobu elektriny do hodnoty doterajšej maximálnej rezervovanej kapacity existujúceho odberného miesta a koeficient k sa rovná 4,9 pre rozsah maximálnej rezervovanej kapacity zariadenia na výrobu elektriny presahujúci doterajšiu hodnotu maximálnej rezervovanej kapacity existujúceho odberného miesta. |
| (5) Ak sa zariadenie na výrobu elektriny výrobcu elektriny pripája do miestnej distribučnej sústavy, ktorá je pripojená do regionálnej distribučnej sústavy, alebo sa mení maximálna rezervovaná kapacita existujúceho zariadenia na výrobu elektriny výrobcu elektriny pripojeného do miestnej distribučnej sústavy, ktorá je pripojená do regionálnej distribučnej sústavy, prevádzkovateľ miestnej distribučnej sústavy uzatvára s prevádzkovateľom regionálnej distribučnej sústavy, do ktorej je miestna distribučná sústava prevádzkovateľa miestnej distribučnej sústavy pripojená, zmluvu o pripojení do regionálnej distribučnej sústavy s maximálnou rezervovanou kapacitou vo výške celkového inštalovaného výkonu takého zariadenia na výrobu elektriny maximálne však do výšky rezervovanej kapacity, ktorú je technicky možné dodať do regionálnej distribučnej sústavy. Maximálna cena za pripojenie sa určí vo výške určenej podľa cenového rozhodnutia pre prevádzkovateľa regionálnej distribučnej sústavy pre rok t podľa odseku 1. |
| § 45 |
| Ak správca bytového domu alebo spoločenstvo vlastníkov bytov a nebytových priestorov dodávateľovi elektriny alebo prevádzkovateľovi distribučnej sústavy preukáže, že užívanie spoločných častí a spoločných zariadení bytového domu je spojené výlučne s užívaním bytov, nebytových priestorov alebo spoločných častí a spoločných zariadení iba domácnosťami, distribúcia elektriny a dodávka elektriny do odberných miest spoločných častí a spoločných zariadení bytového domu sa považuje za distribúciu elektriny pre domácnosti a dodávku elektriny pre domácnosti. |
| § 46 |
| Uplatnenie tarify za systémové služby a tarify za prevádzkovanie systému výrobcom elektriny |
| (1) Tarifa za poskytovanie systémových služieb a tarifa za prevádzkovanie systému schválené alebo určené cenovým rozhodnutím pre prevádzkovateľa prenosovej sústavy alebo pre prevádzkovateľa regionálnej distribučnej sústavy, do ktorej je výrobca elektriny, ktorý je aj dodávateľom elektriny, pripojený, sa uplatňujú týmto výrobcom elektriny na všetku elektrinu ním vyrobenú a elektrinu týmto výrobcom elektriny dodanú do odberných miest odberateľov elektriny pripojených priamym vedením. Ak je výrobca elektriny pripojený do miestnej distribučnej sústavy, uplatňuje tarifu za poskytovanie systémových služieb a tarifu za prevádzkovanie systému schválenú alebo určenú pre prevádzkovateľa prenosovej sústavy alebo prevádzkovateľa regionálnej distribučnej sústavy, do ktorej je táto miestna distribučná sústava pripojená. |
| (2) Na účely uplatnenia tarify za systémové služby a tarify za prevádzkovanie systému výrobca elektriny, ktorý je aj dodávateľom elektriny, poskytuje prevádzkovateľovi sústavy, do ktorej je tento výrobca elektriny pripojený, údaje o skutočnom množstve elektriny vyrobenej v zariadení na výrobu elektriny tohto výrobcu elektriny a dodanej odberateľom elektriny priamym vedením alebo spotrebovanej týmto výrobcom elektriny okrem elektriny spotrebovanej na vlastnú spotrebu elektriny pri výrobe elektriny, a to vždy za príslušný mesiac do siedmeho kalendárneho dňa nasledujúceho mesiaca. |
|
|
| § 47 |
| Prechodné ustanovenia |
| (1) Podľa tejto vyhlášky sa prvýkrát postupuje pri vykonávaní cenovej regulácie na rok 2014. |
| (2) Ak sa cena na rok 2014 v konaní o cenovej regulácii neschváli do 31. decembra 2013, do dňa doručenia cenového rozhodnutia regulovanému subjektu okrem výrobcu elektriny, na rok 2014 sa uplatní cena schválená cenovým rozhodnutím na rok 2013; rovnako sa postupuje, ak cena nebude určená. |
| § 47a |
| Prechodné ustanovenie k úpravám účinným od 1. júla 2014 |
| Podľa tejto vyhlášky v znení účinnom od 1. júla 2014 sa prvýkrát postupuje pri vykonávaní cenovej regulácie na rok 2015. |
| § 47b |
| Prechodné ustanovenie
k úpravám účinným od 1. júla 2015 |
| Podľa tejto vyhlášky v znení účinnom od 1. júla 2015 sa prvýkrát postupuje pri vykonávaní cenovej regulácie na rok 2016. |
| § 48 |
| Účinnosť |
| Táto vyhláška nadobúda účinnosť 30. júla 2013. |
|
|
| Jozef Holjenčík v. r. |
|
|
| Príloha č. 1 k vyhláške č. 221/2013 Z. z. |
| Podklady návrhu ceny výrobcu elektriny |
| .png)
|
| Príloha č. 2 k vyhláške č. 221/2013 Z. z. |
| PODKLADY K NÁVRHU CENY ORGANIZÁTORA KRÁTKODOBÉHO TRHU S ELEKTRINOU |
| .png)
|
| Príloha č. 3 k vyhláške č. 221/2013 Z. z. |
| PODKLADY NÁVRHU CENY ZA PRÍSTUP DO PRENOSOVEJ SÚSTAVY A PRENOS ELEKTRINY PREDKLADANÉ PREVÁDZKOVATEĽOM PRENOSOVEJ SÚSTAVY |
| .png)
|
| Príloha č. 4 k vyhláške č. 221/2013 Z. z. |
| Podklady k návrhu ceny prevádzkovateľa regionálnej distribučnej sústavy |
| .png)
|
| Príloha č. 5 k vyhláške č. 221/2013 Z. z. |
| Podklady k návrhu ceny za prístup do miestnej distribučnej sústavy a distribúciu elektriny prevádzkovateľa miestnej distribučnej sústavy |
| .png)
|
| Príloha č. 6 k vyhláške č. 221/2013 Z. z. |
| Podklady k návrhu ceny dodávateľa elektriny pre domácnosti |
| .png)
|
| Príloha č. 7 k vyhláške č. 221/2013 Z. z. |
| Podklady návrhu ceny dodávateľa elektriny pre malý podnik podľa odsekov 2 až 4 |
| .png)
|
| Poznámky pod čiarou |
| 1) § 2 písm. b) bod 17 zákona č. 251/2012 Z. z. o energetike a o zmene a doplnení niektorých zákonov. |
| 2) § 66 opatrenia Ministerstva financií Slovenskej republiky zo 16. decembra 2002 č. 23054/2002-92, ktorým sa ustanovujú podrobnosti o postupoch účtovania a rámcovej účtovej osnove pre podnikateľov účtujúcich v sústave podvojného účtovníctva (oznámenie č. 740/2002 Z. z.) v znení opatrenia č. MF/25814/2006-74 z 12. decembra 2006 (oznámenie č. 671/2006 Z. z.). |
| 3) Napríklad zákon č. 381/2001 Z. z. o povinnom zmluvnom poistení zodpovednosti za škodu spôsobenú prevádzkou motorového vozidla a o zmene a doplnení niektorých zákonov v znení neskorších predpisov, zákon č. 582/2004 Z. z. o miestnych daniach a miestnom poplatku za komunálne odpady a drobné stavebné odpady v znení neskorších predpisov, zákon č. 309/2009 Z. z. o podpore obnoviteľných zdrojov energie a vysoko účinnej kombinovanej výroby a o zmene a doplnení niektorých zákonov v znení neskorších predpisov a zákon č. 251/2012 Z. z. |
| 4) Zákon č. 137/2010 Z. z. o ovzduší v znení zákona č. 318/2012 Z. z. |
| 5) § 22 až 29 zákona č. 595/2003 Z. z. o dani z príjmov v znení neskorších predpisov.
§ 28 zákona č. 431/2002 Z. z. o účtovníctve v znení neskorších predpisov. |
| 6) § 27 zákona č. 595/2003 Z. z. v znení zákona č. 548/2011 Z. z. |
| 7) § 29 zákona č. 595/2003 Z. z. v znení neskorších predpisov. |
| 8) § 2 ods. 1, 5 a 8 zákona č. 483/2001 Z. z. o bankách a o zmene a doplnení niektorých zákonov v znení neskorších predpisov. |
| 9) § 3 zákona č. 309/2009 Z. z. v znení neskorších predpisov. |
| 9a) Nariadenie Európskeho parlamentu a Rady (EÚ) č. 347/2013 zo 17. apríla 2013 o usmerneniach pre transeurópsku energetickú infraštruktúru, ktorým sa zrušuje rozhodnutie č. 1364/2006/ES a menia a dopĺňajú nariadenia (ES) č. 713/2009, (ES) č. 714/2009 a (ES) č. 715/2009 (Ú. v. EÚ L 115, 25. 4. 2013). |
| 10) § 23 zákona č. 595/2003 Z. z. v znení neskorších predpisov. |
| 11) Zákon č. 650/2004 Z. z. o doplnkovom dôchodkovom sporení a o zmene a doplnení niektorých zákonov v znení neskorších predpisov. |
| 12) § 76 a 76a Zákonníka práce v znení zákona č. 361/2012 Z. z. |
| 13) § 152 Zákonníka práce v znení neskorších predpisov. |
| 14) Zákon č. 283/2002 Z. z. o cestovných náhradách v znení neskorších predpisov. |
| 15) Zákon Národnej rady Slovenskej republiky č. 152/1994 Z. z. o sociálnom fonde a o zmene a doplnení zákona č. 286/1992 Zb. o daniach z príjmov v znení neskorších predpisov. |
| 16) Nariadenie vlády Slovenskej republiky č. 395/2006 Z. z. o minimálnych požiadavkách na poskytovanie a používanie osobných ochranných pracovných prostriedkov. |
| 17) Zákon č. 577/2004 Z. z. o rozsahu zdravotnej starostlivosti uhrádzanej na základe verejného zdravotného poistenia a o úhradách za služby súvisiace s poskytovaním zdravotnej starostlivosti v znení neskorších predpisov.
Zákon č. 355/2007 Z. z. o ochrane, podpore a rozvoji verejného zdravia a o zmene a doplnení niektorých zákonov v znení neskorších predpisov. |
| 18) Zákon č. 124/2006 Z. z. o bezpečnosti a ochrane zdravia pri práci a o zmene a doplnení niektorých zákonov v znení neskorších predpisov. |
| 19) § 20 zákona č. 595/2003 Z. z. v znení neskorších predpisov. |
| 20) § 59 ods. 14 opatrenia č. 23054/2002-92 v znení opatrenia č. MF/26312/2009-74 (oznámenie č. 518/2009 Z. z.). |
| 21) § 19 ods. 2 písm. l) zákona č. 595/2003 Z. z. v znení zákona č. 60/2009 Z. z. |
| 22) § 31 ods. 3 písm. d) zákona č. 250/2012 Z. z. |
| 23) § 3 písm. a) šiesty bod zákona č. 251/2012 Z. z. |
| 24) § 13 ods. 3 zákona č. 461/2003 Z. z. o sociálnom poistení. |
| 25) Vyhláška Úradu pre reguláciu sieťových odvetví č. 275/2012 Z. z., ktorou sa ustanovujú štandardy kvality prenosu elektriny, distribúcie elektriny a dodávky elektriny. |
| 26) § 2 písm. b) a f) zákona č. 563/2009 Z. z. o správe daní (daňový poriadok) a o zmene a doplnení niektorých zákonov. |
| 27) Vyhláška Úradu pre reguláciu sieťových odvetví č. 490/2009 Z. z., ktorou sa ustanovujú podrobnosti o podpore obnoviteľných zdrojov energie, vysoko účinnej kombinovanej výroby a biometánu v znení vyhlášky č. 437/2011 Z. z. |
| 28) § 12 ods. 2 zákona č. 251/2012 Z. z. |
| 29) § 5 ods. 14 zákona č. 309/2009 Z. z. v znení zákona č. 136/2011 Z. z. |
| 30) Vyhláška Ministerstva práce, sociálnych vecí a rodiny Slovenskej republiky č. 508/2009 Z. z., ktorou sa ustanovujú podrobnosti na zaistenie bezpečnosti a ochrany zdravia pri práci s technickými zariadeniami tlakovými, zdvíhacími, elektrickými a plynovými a ktorou sa ustanovujú technické zariadenia, ktoré sa považujú za vyhradené technické zariadenia. |
| 31) § 2 ods. 3 písm. g) zákona č. 309/2009 Z. z. v znení zákona č. 136/2011 Z. z. |
| 32) § 40 a 41 zákona č. 251/2012 Z. z. |
| 33) Zákon č. 142/2000 Z. z. o metrológii a o zmene a doplnení niektorých zákonov v znení neskorších predpisov. |
| 34) § 1 zákona Národnej rady Slovenskej republiky č. 162/1995 Z. z. o katastri nehnuteľností a o zápise vlastníckych a iných práv k nehnuteľnostiam (katastrálny zákon) v znení zákona č. 304/2009 Z. z. |
| 35) § 2 ods. 3 písm. a) zákona č. 309/2009 Z. z. v znení zákona č. 30/2013 Z. z. |
| 36) § 4 ods. 1 písm. c) zákona č. 309/2009 Z. z. v znení zákona č. 189/2012 Z. z. |
| 37) § 4 ods. 1 písm. d) zákona č. 309/2009 Z. z. v znení zákona č. 30/2013 Z. z. |
| 38) § 3 ods. 11 zákona č. 309/2009 Z. z. v znení zákona č. 30/2013 Z. z.
Vyhláška Ministerstva hospodárstva Slovenskej republiky č. 372/2011 Z. z., ktorou sa ustanovuje spôsob výpočtu ročnej výroby tepla pri výrobe elektriny spaľovaním bioplynu získaného anaeróbnou fermentáciou. |
| 39) § 3 ods. 11 zákona č. 309/2009 Z. z. v znení zákona č. 30/2013 Z. z.
Vyhláška č. 372/2011 Z. z. |
| 40) § 2 ods. 2 písm. k) zákona č. 309/2009 Z. z. |
| 41) Vyhláška č. 490/2009 Z. z. v znení vyhlášky č. 437/2011 Z. z. |
| 42) Vyhláška Ministerstva hospodárstva Slovenskej republiky č. 599/2009 Z. z., ktorou sa vykonávajú niektoré ustanovenia zákona o podpore obnoviteľných zdrojov energie a vysoko účinnej kombinovanej výroby. |
| 43) § 3 ods. 6 zákona č. 309/2009 Z. z. v znení zákona č. 30/2013 Z. z. |
| 44) § 6 ods. 8 zákona č. 309/2009 Z. z. v znení zákona č. 382/2013 Z. z. |
| 45) § 6 ods. 5 a 6 zákona č. 309/2009 Z. z. v znení neskorších predpisov. |
| 46) § 3 ods. 6 a 8 zákona č. 309/2009 Z. z. v znení zákona č. 30/2013 Z. z. |
| 47) § 3 zákona č. 309/2009 Z. z. v znení neskorších predpisov. |
| 48) § 7 zákona č. 309/2009 Z. z. v znení neskorších predpisov. |
| 49) § 7 ods. 3 písm. b) zákona č. 309/2009 Z. z. v znení zákona č. 30/2013 Z. z. |
| 50) § 6 ods. 4 zákona č. 309/2009 Z. z. v znení neskorších predpisov. |
| 51) Zákon č. 309/2009 Z. z. v znení neskorších predpisov. |
| 52) Zákon č. 505/2009 Z. z. o akreditácii orgánov posudzovania zhody a o zmene a doplnení niektorých zákonov. |
| 53) § 6 ods. 1 písm. b) zákona č. 309/2009 Z. z. |
| 54) § 2 písm. a) bod 14 vyhlášky Úradu pre reguláciu sieťových odvetví č. 24/2013 Z. z., ktorou sa ustanovujú pravidlá pre fungovanie vnútorného trhu s elektrinou a pravidlá pre fungovanie vnútorného trhu s plynom. |
| 55) § 6 ods. 1 písm. b) zákona č. 309/2009 Z. z. v znení neskorších predpisov. |
| 56) § 4 ods. 4 zákona č. 251/2012 Z. z. |
| 57) Vyhláška Ministerstva spravodlivosti Slovenskej republiky č. 492/2004 Z. z. o stanovení všeobecnej hodnoty majetku v znení neskorších predpisov. |
| 58) § 10 vyhlášky č. 24/2013 Z. z. |
| 59) § 4 ods. 4 zákona č. 251/2012 Z. z. |
| 60) § 46 zákona č. 251/2012 Z. z. |
| 61) Príloha č. 8 k vyhláške č. 24/2013 Z. z. |
| 62) § 2 ods. 2 Obchodného zákonníka. |
| 63) § 5 ods. 3 zákona č. 309/2009 Z. z. |