| 747 |
| ROZHODNUTIE |
| Úradu pre reguláciu sieťových odvetví |
| z 12. decembra 2002 |
| o rozsahu regulácie cien za dodávku elektriny pre regulovaných odberateľov, distribúciu elektriny pre oprávnených odberateľov a poskytovanie systémových služieb |
| Úrad pre reguláciu sieťových odvetví (ďalej len „úrad") podľa § 12 ods. 3 zákona č. 276/2001 Z. z. o regulácii v sieťových odvetviach a o zmene a doplnení niektorých zákonov v znení neskorších predpisov (ďalej len „zákon") ustanovuje: |
| Článok 1 |
| (1) Na účely tohto rozhodnutia sa rozumie |
| a) regulovaným odberateľom koncový odberateľ elektriny s výnimkou oprávneného odberateľa,1) ktorý má uzatvorenú zmluvu o prenose alebo distribúcii elektriny,2) |
| b) jednotkou elektriny 1 MWh elektriny, |
| c) regulovaným subjektom držiteľ licencie na rozvod elektriny, ktorého dodávka elektriny distribučnou sústavou pre regulovaných odberateľov v roku t - 1 alebo ktorého rozvod elektriny distribučnou sústavou v roku t - 1 bol vyšší ako 1 500 000 MWh, |
| d) prenosom elektriny preprava elektriny prenosovou sústavou vrátane prenosov elektriny spojených s dovozom a vývozom elektriny do elektrizačnej sústavy Slovenskej republiky a z nej, ako aj umožnenie prístupu k prenosovej sústave a riadenie prenosovej sústavy, |
| e) prenosovou sústavou systém navzájom prepojených vedení a elektrických zariadení 220 kV a vyšším napätím a vybraných zariadení s napätím 110 kV, ktoré slúži na zabezpečenie prenosu elektriny na celom území Slovenskej republiky vrátane systémov meracej, ochrannej, riadiacej, zabezpečovacej, informačnej a telekomunikačnej techniky, s výnimkou priamych vedení vlastnených odberateľom, |
| f) distribúciou elektriny preprava elektriny distribučnou sústavou, ktorú prevádzkuje regulovaný subjekt, |
| g) distribučnou sústavou systém navzájom prepojených vedení a elektrických zariadení s napätím 110 kV a nižším napätím, ktoré slúži na zabezpečenie distribúcie elektriny na vymedzenom území vrátane systémov meracej, ochrannej, riadiacej, zabezpečovacej, informačnej a telekomunikačnej techniky, s výnimkou priamych vedení vlastnených odberateľom, |
| h) dodávkou elektriny pre regulovaných odberateľov je distribúcia a predaj elektriny pre regulovaných odberateľov, |
| i) prvým regulačným obdobím obdobie účinnosti tohto rozhodnutia, |
| j) regulačným rokom obdobie začínajúce sa 1. januára a končiace sa 31. decembra kalendárneho roka, |
| k) rokom t regulačný rok, pre ktorý sa určuje maximálna cena, |
| l) rokom t - 1 regulačný rok predchádzajúci roku t, |
| m) maximálnou cenou maximálny prípustný výnos na jednotku elektriny, ktorú regulovaný subjekt dodá alebo distribuuje pri výkone regulovanej činnosti v roku t, |
| n) tarifou cena, ktorú regulovaný subjekt účtuje jednotlivým skupinám odberateľov, |
| o) krížovými dotáciami objem výnosov, ktorý regulovaný subjekt získa pri vykonávaní regulovanej činnosti pre jednu skupinu odberateľov nad výšku oprávnených nákladov a primeraného zisku a ktorý použije na pokrytie strát vznikajúcich pri vykonávaní regulovanej činnosti pre inú skupinu odberateľov, |
| p) návrhom cien návrh maximálnej ceny a taríf za činnosti podľa článku 2, |
| q) stratou elektriny rozdiel medzi množstvom elektriny na vstupe do distribučnej sústavy, ktorú prevádzkuje regulovaný subjekt, a množstvom elektriny na výstupe z tejto distribučnej sústavy znížený o spotrebu regulovaného subjektu pre vlastné účely, |
| r) systémovými službami služby poskytované regulovaným subjektom pre užívateľov distribučnej sústavy v rozsahu stanovenom Kódexom distribučnej sústavy. |
| Článok 2 |
| (1) Regulácii cien podľa tohto rozhodnutia podliehajú ceny |
| a) za dodávku elektriny pre regulovaných odberateľov, |
| b) za distribúciu elektriny pre oprávnených odberateľov, |
| c) za poskytovanie systémových služieb pre užívateľov distribučnej sústavy. |
| (2) Regulácii cien nepodliehajú ceny za predaj elektriny pre oprávnených odberateľov, ktorí majú uzatvorenú zmluvu o prenose alebo distribúcii elektriny. |
| Článok 3 |
| (1) Tento článok upravuje spôsob regulácie cien za dodávku elektriny regulovaným subjektom pre regulovaných odberateľov. |
| (2) Regulovaný subjekt navrhuje ceny na rok t tak, aby skutočne dosiahnutý priemerný výnos za dodávku elektriny v roku t na jednotku elektriny neprekročil pre regulovaných odberateľov maximálne ceny na rok t vypočítané podľa odsekov 3 a 4. |
| (3) Maximálna cena za dodávku elektriny pre regulovaných odberateľov Pt v Sk na jednotku elektriny v roku t zohľadňuje ekonomicky oprávnené náklady a primeraný zisk a vypočíta sa podľa vzorca: |
| , |
| pričom |
| PEt = neovplyvniteľné náklady v Sk na jednotku elektriny dodanú pre regulovaných odberateľov v roku t, |
| PDt = ovplyvniteľné náklady v Sk na jednotku elektriny dodanú pre regulovaných odberateľov v roku t, |
| Lt = index strát elektriny v roku t, |
| Kt = korekčný faktor v Sk na jednotku elektriny v roku t na vyrovnanie nedostatku alebo prebytku príjmov v roku t - 1, |
| Zt = neočakávané zmeny nákladov regulovaného subjektu, ktoré úrad povolí zahrnúť do cien za dodávku elektriny pre regulovaných odbe- rateľov v roku t. |
| a) Neovplyvniteľné náklady PEt v Sk na jednotku elektriny dodanú pre regulovaných odberateľov v roku t sa vypočítajú podľa vzorca: |
| .png)
|
| pričom: |
| ENt = plánovaná výška nákladov na nákup elektriny od dodávateľov na zabezpečenie dodávky elektriny pre regulovaných odberateľov v Sk v roku t, |
| TCt = plánovaná výška nákladov na prenos elektriny vrátane nákladov za prístup k prenosovej sústave a nákladov na straty elektriny pri prenose potrebnej na dodávku pre regulovaných odberateľov v Sk v roku t, |
| TOt = celkové ostatné plánované neovplyvniteľné náklady v Sk roku t, ktoré zahŕňajú najmä poplatky za vydanie licencií, náklady na poistenie majetku a dane z nehnuteľností,3) |
| Qt = celkový plánovaný objem dodávky elektriny pre regulovaných odberateľov v roku t v jednotkách elektriny, |
| SPKt = systémový poplatok pre koncových odberateľov v Sk na jednotku elektriny v roku t, |
| PNSt = poplatok za náklady systému pre koncových odberateľov v Sk na jednotku elektriny v roku t. |
| 1. Plánovaná výška nákladov na nákup elektriny ENt od dodávateľov na zabezpečenie dodávky elektriny pre regulovaných odberateľov v Sk v roku t sa vypočíta podľa vzorca: |
| .png)
|
| pričom |
| PSEt = maximálna cena v Sk na jednotku elektriny v roku t, za ktorú regulovaný subjekt nakúpi elektrinu od držiteľa licencie na výrobu elektriny, ktorého objem výroby elektriny na území Slovenskej republiky bol v roku t - 1 väčší ako 5 000 000 MWh (ďalej len „veľkovýrobca"), na účely dodávky elektriny pre regulovaných odberateľov, |
| QSEt = plánovaný objem elektriny nakúpenej od veľkovýrobcu v jednotkách elektriny v roku t na účely dodávky elektriny pre regulovaných odberateľov, |
| KSEt = korekčný faktor na náklady na nákup elektriny od veľkovýrobcu na účely dodávky elektriny pre regulovaných odberateľov v Sk v roku t, |
| = plánovaná cena v Sk na jednotku elektriny v roku t, za ktorú regulovaný subjekt nakúpi elektrinu od dodávateľov elektriny (okrem veľkovýrobcu) na účely dodávky elektriny pre regulovaných odberateľov včítane výkupu elektriny z obnoviteľných zdrojov a kombinovanej výroby elektriny a tepla v rámci i-tej zmluvy, |
| = plánovaný objem elektriny nakúpenej od dodávateľov elektriny (okrem veľkovýrobcu) vrátane elektriny vykúpenej z obnoviteľných zdrojov a kombinovanej výroby elektriny a tepla v jednotkách elektriny v roku t v rámci i-tej zmluvy na účely dodávky elektriny pre regulovaných odberateľov, |
| n = počet zmlúv na nákup elektriny od iných dodávateľov na účely dodávky elektriny pre regulovaných odberateľov,
= počet zmlúv na nákup elektriny od iných dodávateľov na účely dodávky elektriny pre regulovaných odberateľov, |
| DISt = úradom nepovolené náklady na nákup elektriny v Sk v roku t, pri ktorých regulovaný subjekt nepreukáže úradu, že nákup elektriny realizoval za najnižšie možné ceny, |
| 2. korekčný faktor na náklady na nákup elektriny od veľkovýrobcu na účely dodávky elektriny pre regulovaných odberateľov KSEt v Sk v roku t sa vypočíta podľa vzorca: |
| .png)
|
| pričom |
| TSEt - 1 = celkové skutočné náklady regulovaného subjektu na nákup elektriny od veľkovýrobcu v roku t - 1 na účely dodávky elektriny pre regulovaných odberateľov v Sk, |
| PSEt - 1 = maximálna cena, za ktorú regulovaný subjekt nakúpil elektrinu od veľkovýrobcu na účely dodávky elektriny pre regulovaných odberateľov, v Sk na jednotku elektriny v roku t - 1, |
| QSEt - 1 = celkový objem elektriny nakúpenej od veľkovýrobcu na účely dodávky elektriny pre regulovaných odberateľov v jednot- kách elektriny v roku t - 1, |
| It = úroková sadzba: 12M BRIBOR (predaj), ktorú publikuje Národná banka Slovenska za obdobie január až september v roku t - 1 a ktorá sa vypočíta ako priemer mesačných priemerov, |
| s = koeficient delenia rozdielu medzi skutočnými a plánovanými nákladmi na nákup elektriny regulovaného subjektu medzi regulovaný subjekt a veľkovýrobcu. |
| b) Ovplyvniteľné náklady PDt v Sk na jednotku elektriny dodanú pre regulovaných odberateľov v roku t sa vypočítajú podľa vzorca: |
| .png)
|
| pričom: |
| PDt - 1 = ovplyvniteľné náklady v Sk na jednotku elektriny v roku t - 1, ktoré obsahujú prevádzkové náklady, odpisy a primeraný zisk, |
| RPIt - 1 = aritmetický priemer indexov spotrebiteľských cien, ktorým je položka „indexy spotrebiteľských cien oproti rovnakému obdobiu minulého roku, spotrebiteľské ceny úhrnom", publikovaný Štatistickým úradom Slovenskej republiky, v období od októbra v roku t - 2 až do septembra v roku t - 1, |
| X = faktor cenovej regulácie. |
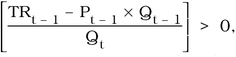
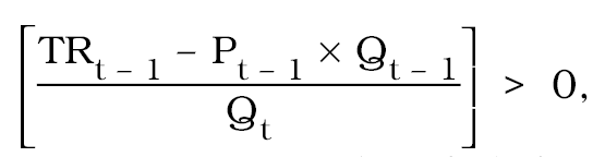
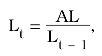
| c) Index strát elektriny Lt sa vypočíta podľa vzorca: |
| .png)
|
| pričom: |
| AL = aritmetický priemer strát elektriny regulovaného subjektu za roky t - 3, t - 2 a t - 1 v percentách, |
| Lt - 1 = straty elektriny regulovaného subjektu v roku t - 1 vypočítané v percentách takto: |
| .png)
|
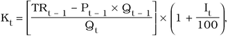
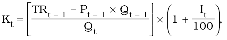
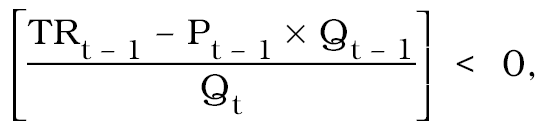
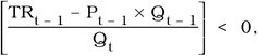
| d) Korekčný faktor Kt v Sk na jednotku elektriny v roku t sa vypočíta podľa vzorca: |
| .png)
|
| pričom |
| TRt - 1 = celkové výnosy z cien a taríf schválených úradom v Sk v roku t - 1 za dodávku elektriny pre regulovaných odberateľov s výnimkou výnosov za nedodržanie parametrov odberu elektriny, najmä nedodržanie neutrálneho účinníka, spätnej jalovej dodávky, prekročenie a nedočerpanie dohodnutého množstva elektriny, |
| Pt - 1 = maximálna cena v Sk na jednotku elektriny za dodávku elektriny pre regulovaných odberateľov v roku t - 1, |
| Qt - 1 = celkový očakávaný objem dodanej elektriny v jednotkách elektriny pre regulovaných odberateľov v roku t - 1, |
| hodnota It v prípade, ak: |
| 1. rovná sa úrokovej sadzbe: 12M BRIBOR (predaj), ktorú publikuje Národná banka Slovenska za obdobie január až september v roku t - 1 + 5 % a ktorá sa vypočíta ako priemer mesačných priemerov, |
| 2. rovná sa úrokovej sadzbe: 12M BRIBOR (predaj), ktorú publikuje Národná banka Slovenska za obdobie január až september v roku t - 1 a ktorá sa vypočíta ako priemer mesačných priemerov. |
| e) Neočakávané zmeny nákladov Zt v Sk na jednotku elektriny v roku t sa vypočítajú podľa vzorca: |
| .png)
|
| pričom: |
| PN = celkový objem nákladov v Sk, ktoré sú vyvolané skutočnosťami, na ktoré regulovaný subjekt nemá vplyv, ktoré úrad povolí zahrnúť do cien za dodávku elektriny pre regulovaných odberateľov v roku t na základe návrhu regulovaného subjektu na zmenu cien. |
| (4) Maximálna cena za dodávku elektriny pre kategóriu domácnosť4) PRt v Sk na jednotku elektriny v roku t sa vypočíta podľa vzorca: |
| .png)
|
| pričom: |
| PRt - 1 = maximálna cena za dodávku elektriny pre kategóriu domácnosť v Sk na jednotku elektriny v roku t - 1. |
| (5) Spôsob výpočtu maximálnej ceny za dodávku elektriny pre kategóriu domácnosť v Sk na jednotku elektriny uvedený v odseku 4 sa bude uplatňovať dovtedy, kým maximálna cena za dodávku elektriny pre kategóriu domácnosť nepokryje oprávnené náklady a primeraný zisk vynaložený regulovaným subjektom pri dodávke elektriny pre túto kategóriu. |
| Článok 4 |
| (1) Tento článok upravuje spôsob regulácie cien za distribúciu elektriny regulovaným subjektom pre oprávnených odberateľov, ktorí majú s regulovaným subjektom uzatvorenú zmluvu o prenose alebo distribúcii elektriny. |
| (2) Cena, ktorú regulovaný subjekt účtuje za distribúciu elektriny pre oprávnených odberateľov podľa odseku 1, určí sa ako maximálna cena v Sk na jednotku elektriny pokrývajúca ovplyvniteľné náklady PDt regulovaného subjektu vynaložené na jednotlivých napäťových úrovniach. |
| (3) Ak cena za dodávku elektriny pre skupinu odberateľov, v ktorej sa nachádzajú alebo môžu nachádzať oprávnení odberatelia podľa odseku 1, obsahuje krížové dotácie povolené úradom, maximálna cena za distribúciu elektriny pre oprávnených odberateľov PDkt v tejto skupine sa určí ako cena za dodávku elektriny v Sk na jednotku elektriny po odpočítaní nákladov na nákup a prenos elektriny v Sk na jednotku elektriny, a to podľa vzorca: |
| .png)
|
| pričom |
| Pkt = priemerná cena za dodávku elektriny pre regulovaných odberateľov v skupine k v roku t v Sk na jednotku elektriny. |
| (4) Úrad určí tarify za distribúciu elektriny pre oprávnených odberateľov podľa odseku 1 na základe návrhu cien, ktorý predloží regulovaný subjekt, spôsobom uvedeným v odsekoch 2 a 3 tak, aby priemer taríf vážený plánovaným množstvom distribuovanej elektriny oprávneným odberateľom v jednotkách množstva v jednotlivých tarifách neprekročil PDt podľa odseku 2. |
| (5) Regulovaný subjekt fakturuje oprávneným odberateľom tarify za distribúciu elektriny podľa odseku 4 zvýšené o náklady spôsobené stratami elektriny, ktoré vznikajú regulovanému subjektu pri distribúcii elektriny oprávneným odberateľom. Straty elektriny sa na tento účel určia ako násobok percenta strát elektriny, ktoré regulovaný subjekt dosiahol v roku t - 1 na jednotlivých napäťových úrovniach, a objemu elektriny, ktorý oprávnený odberateľ dohodol na distribúciu elektriny. |
| (6) Regulovaný subjekt fakturuje oprávneným odberateľom podľa odseku 1, ktorí sú zároveň koncoví odberatelia, aj poplatok za systémové náklady PNSt a systémový poplatok SPKt za každú jednotku elektriny, ktorú odoberú z distribučnej sústavy regulovaného subjektu v roku t. |
| Článok 5 |
| (1) Tento článok upravuje spôsob regulácie cien za poskytovanie systémových služieb regulovaným subjektom pre užívateľov distribučnej sústavy. |
| (2) Maximálny povolený výnos, ktorý regulovaný subjekt dosiahne za poskytovanie systémových služieb SSDt v Sk v roku t, vypočíta sa podľa vzorca: |
| , |
| pričom |
| SPKt = systémový poplatok pre koncových odberateľov v roku t v Sk na jednotku elektriny, |
| QKt = celkový plánovaný objem elektriny v jednotkách elektriny, ktorý odoberú koncoví odberatelia z distribučnej sústavy regulovaného subjektu v roku t, s výnimkou plánovaného odberu elektriny koncovými odberateľmi v rámci ostrovnej prevádzky preukázateľne oddelenej od elektrizačnej sústavy Slovenskej republiky, |
| SPZt = systémový poplatok pre držiteľov licencie na výrobu elektriny v roku t v Sk na jednotku elektriny, |
| QZt = celkový plánovaný objem elektriny v jednotkách elektriny v roku t vyrobenej držiteľmi licencie na výrobu elektriny, ktorí sú napojení na distribučnú sústavu regulovaného subjektu, vo vlastnom zariadení a dodanej priamo odberateľom bez použitia prenosovej alebo distribučnej sústavy alebo spotrebovanej týmito výrobcami bez použitia prenosovej alebo distribučnej sústavy, s výnimkou elektriny, ktorú výrobcovia spotrebujú priamo pri výrobe elektriny alebo tepla alebo pri čerpaní prečerpávacích vodných elektrární, |
| SPOt = systémový poplatok pre regulovaný subjekt v roku t v Sk na jednotku elektriny, |
| QOt = celkový plánovaný objem elektriny v jed- notkách elektriny odobraný regulovaným subjektom z elektrizačnej sústavy Slovenskej republiky v prípade plného alebo čiastočného napojenia pôvodnej ostrovnej prevádzky preukázateľne oddelenej od elektrizačnej sústavy Slovenskej republiky nad rámec diagramu schváleného v dennej príprave prevádzky elektrizačnej sústavy Slovenskej republiky, |
| KDt = korekčný faktor v Sk v roku t, ktorý sa vypočíta podľa vzorca: |
| .png)
|
| pričom |
| DSSt - 1 = celkový skutočný výnos v Sk v roku t - 1 z poskytovania systémových služieb, |
| SSDt - 1 = maximálny povolený výnos z poskytovania systémových služieb v Sk v roku t - 1, |
| It = úroková sadzba: 12M BRIBOR (predaj), ktorú publikuje Národná banka Slovenska za obdobie január až september v roku t - 1 a ktorá sa vypočíta ako priemer mesačných priemerov. |
| Celkový skutočný výnos v Sk v roku t - 1 z poskytovania systémových služieb DSSt - 1 sa vypočíta podľa vzorca: |
| pričom |
| SPKt - 1 = systémový poplatok pre koncových odberateľov v roku t - 1 v Sk na jednotku elektriny, |
| QKt - 1 = celkový objem elektriny v jednotkách elektriny odobraný koncovými odberateľmi z distribučnej sústavy regulovaného subjektu v roku t - 1 s výnimkou elektriny odobranej koncovými odberateľmi v rámci ostrovnej prevádzky preukázateľne oddelenej od elektrizačnej sústavy Slovenskej republiky, |
| SPZt - 1 = systémový poplatok pre držiteľov licencie na výrobu elektriny v roku t - 1 v Sk na jednotku elektriny, |
| QZt - 1 = celkový objem elektriny v jednotkách elektriny v roku t - 1 vyrobenej držiteľmi licencie na výrobu elektriny, ktorí sú napojení na distribučnú sústavu regulovaného subjektu, vo vlastnom zariadení a dodanej priamo odberateľom bez použitia prenosovej alebo distribučnej sústavy alebo spotrebovanej týmito výrobcami bez použitia prenosovej alebo distribučnej sústavy s výnimkou elektriny, ktorú držitelia licencie spotrebujú priamo pri výrobe elektriny alebo tepla alebo pri čerpaní prečerpávacích vodných elektrární, |
| SPOt - 1 = systémový poplatok pre regulovaný subjekt v roku t - 1 v Sk na jednotku elektriny, |
| QOt - 1 = celkový objem elektriny v jednotkách elektriny odobraný regulovaným subjektom z elektrizačnej sústavy Slovenskej republiky v prípade plného alebo čiastočného napojenia pôvodnej ostrovnej prevádzky preukázateľne oddelenej od elektrizačnej sústavy Slovenskej republiky nad rámec diagramu schváleného v dennej príprave prevádzky elektrizačnej sústavy Slovenskej republiky. |
| Článok 6 |
| (1) Úrad preverí návrh cien na rok t, ktorý predloží regulovaný subjekt úradu najmenej dva mesiace pred koncom roka t - 1. |
| (2) Úrad schváli alebo neschváli návrh cien do 30 dní od jeho doručenia. Úrad návrh cien neschváli, ak výpočty obsahujú matematické chyby alebo ak navrhované ceny sú v rozpore s týmto rozhodnutím. Úrad môže návrh cien neschváliť aj v prípade, ak tento návrh obsahuje krížové dotácie medzi jednotlivými kategóriami odberateľov. |
| (3) Ak úrad návrh cien neschváli z dôvodov uvedených v odseku 2, vyzve regulovaný subjekt, aby predložil nový návrh cien. Ak do konca roka t - 1 úrad neschváli návrh cien na rok t, regulovaný subjekt bude účtovať v roku t ceny platné v roku t - 1 násobené (RPIt - 1 - X)/100. Ak úrad neschváli nový návrh cien do konca tretieho mesiaca roku t, úrad určí do konca piateho mesiaca roku t maximálnu cenu na rok t a tarify na základe spôsobu výpočtu maximálnej ceny a taríf podľa článkov 3, 4 a 5 tohto rozhodnutia. Takto určená maximálna cena a tarify budú účinné od prvého dňa siedmeho mesiaca roku t. |
| (4) Regulovaný subjekt môže predložiť návrh na zmenu cien počas regulačného roka, ak nastanú najmä nasledujúce skutočnosti: |
| a) výrazná zmena nákupnej ceny elektriny oproti plánovanej nákupnej cene elektriny, |
| b) výrazná zmena objemu predaja elektriny oproti plánovanému objemu predaja elektriny, |
| c) zmeny daňového systému, |
| d) živelné udalosti. |
| (5) Maximálne ceny a tarify schválené alebo určené úradom podľa článkov 3, 4 a 5 úrad určí rozhodnutím, ktoré doručí regulovanému subjektu najneskôr 14 dní pred nadobudnutím jeho účinnosti. |
| Článok 7 |
| (1) Regulovaný subjekt oznámi úradu a držiteľovi licencie na rozvod elektriny a prevádzkujúcemu prenosovú sústavu nasledujúce údaje: |
| a) objem elektriny odobranej koncovými odberateľmi z jeho sústavy, |
| b) objem elektriny odobranej koncovými odberateľmi z jeho sústavy v rámci ostrovnej prevádzky preukázateľne oddelenej od elektrizačnej sústavy Slovenskej republiky, |
| c) objem elektriny vyrobený držiteľmi licencie na výrobu elektriny vo vlastnom zariadení a dodaný priamo odberateľom bez použitia prenosovej alebo distribučnej sústavy, |
| d) objem elektriny spotrebovanej pre vlastnú potrebu držiteľmi licencie na výrobu elektriny bez použitia prenosovej alebo distribučnej sústavy s výnimkou elektriny, ktorá sa spotrebúva priamo pri výrobe elektriny alebo tepla alebo pri čerpaní prečerpávacích vodných elektrární, |
| e) objem elektriny odobraný regulovaným subjektom z elektrizačnej sústavy Slovenskej republiky v prípade plného alebo čiastočného napojenia pôvodnej ostrovnej prevádzky preukázateľne oddelenej od elektrizačnej sústavy Slovenskej republiky nad rámec diagramu schváleného v dennej príprave prevádzky elektrizačnej sústavy Slovenskej republiky, |
| a to najneskôr tri mesiace pred koncom roka t - 1 pre príslušné plánované objemy v roku t a do 15. dňa každého mesiaca v roku t pre príslušné skutočné objemy v predchádzajúcom mesiaci roku t. |
| (2) Regulovaný subjekt požiada oprávnených odberateľov, ktorí sú napojení na jeho distribučnú sústavu, o vyjadrenie, či chcú odoberať elektrinu v roku t za regulované ceny, a to do 1. júla roku t - 1 na každý nasledujúci rok t. Na základe vyjadrení oprávnených odberateľov predložených regulovanému subjektu do 31. júla roku t - 1 na každý nasledujúci rok t regulovaný subjekt do 31. augusta v roku t - 1 na každý nasledujúci rok t oznámi úradu a držiteľom licencie na výrobu elektriny objem elektriny, ktorý plánuje nakúpiť na účely dodávky elektriny regulovaným odberateľom, ako aj na účely pokrytia vlastnej spotreby a strát elektriny pri distribúcii elektriny. |
| (3) Ak oprávnený odberateľ nepredloží regulovanému subjektu vyjadrenie o zámere odoberať elektrinu v roku t za regulované ceny, regulovaný subjekt môže dodávať elektrinu takému odberateľovi za zmluvné ceny v roku t. Oprávnený odberateľ, ktorý počas roka t uzatvorí s regulovaným subjektom zmluvu o prenose alebo distribúcii elektriny, odoberá elektrinu za zmluvné ceny až do skončenia regulačného obdobia. |
| Článok 8 |
| Úrad po skončení prvého regulačného obdobia na účely druhého regulačného obdobia prehodnotí spôsob regulácie cien za dodávku elektriny pre regulovaných odberateľov a za distribúciu elektriny pre oprávnených odberateľov uvedených v článkoch 3 a 4, ako aj výšku ovplyvniteľných nákladov na základe analýzy oprávnených nákladov a primeraného zisku, zohľadňujúc reprodukčnú hodnotu majetku regulovaných subjektov. |
| Článok 9 |
| Zrušuje sa rozhodnutie Úradu pre reguláciu sieťových odvetví č. 236/2002 Z. z. o rozsahu regulácie cien za dodávku elektriny pre chránených odberateľov a distribúciu elektriny pre oprávnených odberateľov. |
| Článok 10 |
| Toto rozhodnutie bude účinné od 1. januára 2003 do 31. decembra 2006. |
| Ján Matuský v. r. |
| Poznámky pod čiarou |
| 1) § 1 vyhlášky Ministerstva hospodárstva Slovenskej republiky č. 548/2002 Z. z., ktorou sa ustanovuje najmenší objem ročnej spotreby elektriny a plynu pre oprávnených odberateľov a najvyšší prípustný podiel elektriny vyrobenej v zahraničí na ročnej spotrebe oprávneného odberateľa. |
| 2) § 1 vyhlášky Ministerstva hospodárstva Slovenskej republiky č. 549/2002 Z. z., ktorou sa ustanovujú podrobnosti o pravidlách rozvodu elektriny pre oprávnených odberateľov. |
| 3) Napríklad zákon Národnej rady Slovenskej republiky č. 145/1995 Z. z. o správnych poplatkoch v znení neskorších predpisov, zákon Slovenskej národnej rady č. 317/1992 Zb. o dani z nehnuteľností v znení neskorších predpisov. |
| 4) § 2 písm. d) vyhlášky Ministerstva hospodárstva Slovenskej republiky č. 267/1999 Z. z., ktorou sa ustanovujú podrobnosti o niektorých podmienkach dodávky elektriny a spôsob výpočtu škody spôsobenej dodávateľovi elektriny neoprávneným odberom elektriny. |