Vyhláška č. 37/2012 Z. z.Vyhláška Ministerstva pôdohospodárstva a rozvoja vidieka Slovenskej republiky, ktorou sa upravujú niektoré cukry

(v znení č. 352/2019 Z. z.)

Čiastka 13/2012
Platnosť od 08.02.2012
Účinnosť od 01.12.2019

37

VYHLÁŠKA

Ministerstva pôdohospodárstva a rozvoja vidieka Slovenskej republiky

z 26. januára 2012,

ktorou sa upravujú niektoré cukry

Ministerstvo pôdohospodárstva a rozvoja vidieka Slovenskej republiky podľa § 3 ods. 1 zákona Národnej rady Slovenskej republiky č. 152/1995 Z. z. o potravinách v znení zákona č. 349/2011 Z. z. ustanovuje:


§ 1

(1) Táto vyhláška upravuje názvy niektorých cukrov určených na ľudskú spotrebu (ďalej len „niektoré cukry“) a metódy skúšania týchto druhov cukrov:

a) polobiely cukor,

b) cukor alebo biely cukor,

c) extra biely cukor,

d) tekutý cukor,

e) invertný tekutý cukor,

f) invertný cukrový sirup,

g) glukózový sirup,

h) sušený glukózový sirup,

i) dextróza alebo monohydrát dextrózy,

j) dextróza alebo bezvodá dextróza,

k) fruktóza.

(2) Táto vyhláška sa nevzťahuje na niektoré cukry, ak majú niektorú z týchto foriem:

a) práškový cukor,

b) kandis,

c) cukor v tvare homole.

§ 2

(1) Názvy niektorých cukrov, požiadavky na ich kvalitu sú uvedené v prílohe č. 1 časti A a používajú sa na ich označovanie pri ich uvádzaní na trh okrem cukrov podľa § 3 ods. 7.

(2) Metódy skúšania niektorých cukrov, a to typu farby, množstva popola a farby v roztoku sú uvedené v prílohe č. 1 časti B.

(3) Rozsah použitia metód skúšania niektorých cukrov je uvedený v prílohe č. 2 časti A.

(4) Metódy skúšania niektorých cukrov, a to úbytok hmotnosti sušením, sušiny, redukujúcich cukrov, síranového popola a polarizácie sú uvedené v prílohe č. 2 časti B.

§ 3

(1) Názvy „biely cukor“ a „extra biely cukor“ možno nahradiť názvom „cukor“.

(2) Niektoré cukry možno označiť aj inými všeobecne používanými názvami, napríklad „cukor kryštál“.

(3) Názvy pre niektoré cukry možno používať aj v názvoch iných výrobkov vytvorených v súlade so zvyklosťami, ak také názvy nebudú zavádzať spotrebiteľa.

(4) Ak ide o balené cukry, ktorých hmotnosť je menšia ako 20 g, nie je potrebné uvádzať ich hmotnosť bez obalu.

(5) Ak ide o tekutý cukor, invertný tekutý cukor a invertný cukrový sirup, uvádza sa množstvo sušiny a množstvo invertného cukru v sušine.

(6) V názve invertného cukrového sirupu obsahujúceho kryštály cukru sa použije slovo „kryštalizovaný“.

(7) Ak je obsah fruktózy v sušine výrobkov uvedených v prílohe č. 1 časti A bodoch 7 a 8 vyšší ako 5 %, ich názov a zložky sa označia slovami „glukózo-fruktózový sirup“, „fruktózo-glukózový sirup“, „sušený fruktózo-glukózový sirup“ alebo „sušený glukózo-fruktózový sirup“ podľa toho, či má väčší podiel glukózová zložka alebo fruktózová zložka.

§ 4

Touto vyhláškou sa preberajú právne záväzné akty Európskej únie uvedené v prílohe č. 3.


§ 5

Zrušuje sa výnos Ministerstva pôdohospodárstva Slovenskej republiky a Ministerstva zdravotníctva Slovenskej republiky z 28. apríla 2004 č. 978/2004-100, ktorým sa vydáva hlava Potravinového kódexu Slovenskej republiky upravujúca niektoré cukry (oznámenie č. 327/2004 Z. z.).

§ 6

Táto vyhláška nadobúda účinnosť 1. marca 2012.


Zsolt Simon v. r.


Príloha č. 1 k vyhláške č. 37/2012 Z. z.

A. Názvy niektorých cukrov

1. Polobiely cukor
je rafinovaná a kryštalizovaná sacharóza primeranej a uspokojivej kvality, ktorá musí spĺňať tieto požiadavky:

1.1 polarizácia ..... najmenej 99,5 oS,

1.2 invertný cukor ..... najviac 0,1 % hmotnosti,

1.3 úbytok hmotnosti sušením ..... najviac 0,1 % hmotnosti.

2. Cukor alebo biely cukor
je rafinovaná a kryštalizovaná sacharóza primeranej a uspokojivej kvality, ktorá musí spĺňať tieto požiadavky:

2.1 polarizácia ..... najmenej 99,7 oS,

2.2 invertný cukor ..... najviac 0,04 % hmotnosti,

2.3 úbytok hmotnosti sušením ..... najviac 0,06 % hmotnosti,

2.4 typ farby ..... najviac 9 bodov určených podľa časti B prvého bodu.

3. Extra biely cukor
je rafinovaná a kryštalizovaná sacharóza spĺňajúca požiadavky uvedené v bodoch 2.1 až 2.3 a ktorej celkový počet bodov určený podľa ustanovení časti B nepresahuje hodnotu osem bodov a nie je viac ako

3.1 štyri body, ak ide o typ farby,

3.2 šesť bodov, ak ide o množstvo popola,

3.3 tri body, ak ide o farbu v roztoku.

4. Tekutý cukor*
je vodný roztok sacharózy, ktorý musí spĺňať tieto požiadavky:

4.1 sušina ..... najmenej 62 % hmotnosti,

4.2 množstvo invertného cukru (pomer fruktózy k dextróze 1,0 ± 0,2) ..... najviac 3 % hmotnosti v sušine,

4.3 popol konduktometrický ..... najviac 0,1 % hmotnosti v sušine určeného podľa časti B druhého bodu,

4.4 farba v roztoku ..... najviac 45 jednotiek International Commission for Uniform Methods of Sugar Analysis (ďalej len „ICUMSA“).

5. Invertný tekutý cukor*
je vodný roztok sacharózy čiastočne invertovanej hydrolýzou, v ktorom neprevláda podiel invertného cukru. Invertný tekutý cukor musí spĺňať tieto požiadavky:

5.1 sušina ..... najmenej 62 % hmotnosti,

5.2 množstvo invertného cukru (pomer fruktózy k dextróze 1,0 ± 0,1) ..... viac ako 3 % hmotnosti, ale najviac 50 % hmotnosti v sušine,

5.3 popol konduktometrický ..... najviac 0,4 % hmotnosti v sušine určeného podľa časti B druhého bodu.

6. Invertný cukrový sirup*
je vodný roztok sacharózy, ktorá je čiastočne invertovaná hydrolýzou, v ktorom množstvo invertného cukru (podiel fruktózy k dextróze je 1,0 ± 0,1) v sušine musí byť väčšie ako 50 % hmotnosti, pričom musí spĺňať požiadavky podľa bodov 5.1 a 5.3; môže byť kryštalizovaný.

7. Glukózový sirup
je rafinovaný a koncentrovaný vodný roztok sacharidov získaných zo škrobu alebo inulínu, ktorý musí spĺňať tieto požiadavky:

7.1 sušina ..... najmenej 70 % hmotnosti,

7.2 ekvivalent dextrózy ..... najmenej 20 % hmotnosti sušine ako D-glukóza,

7.3 síranový popol ..... najviac 1 % hmotnosti v sušine.

8. Sušený glukózový sirup
je čiastočne vysušený glukózový sirup, ktorého sušina je najmenej 93 % hmotnosti a ktorý musí spĺňať požiadavky podľa bodov 7.2 a 7.3.

9. Dextróza alebo monohydrát dextrózy
je rafinovaná a kryštalizovaná D-glukóza s jednou molekulou kryštalizačnej vody, ktorá musí spĺňať tieto požiadavky:

9.1 dextróza (D-glukóza) ..... najmenej 99,5 % hmotnosti v sušine,

9.2 sušina ..... najmenej 90 % hmotnosti,

9.3 síranový popol ..... najviac 0,25 % hmotnosti v sušine.

10. Dextróza alebo bezvodá dextróza
je rafinovaná a kryštalizovaná D-glukóza bez molekuly kryštalickej vody so sušinou najmenej 98 % hmotnosti, ktorá musí spĺňať požiadavky podľa bodov 9.1 a 9.3.

11. Fruktóza
je rafinovaná kryštalizovaná D-fruktóza, ktorá musí spĺňať tieto požiadavky:

11.1 množstvo fruktózy ..... najmenej 98 %,

11.2 množstvo glukózy ..... najviac 0,5 %,

11.3 úbytok hmotnosti sušením ..... najviac 0,5 % hmotnosti,

11.4 popol konduktometrický ..... najviac 0,1 % hmotnosti stanoveného podľa časti B druhého bodu.

* Poznámka: Pomenovanie „biely“ je vyhradené pre

a) tekutý cukor, ktorého farba v roztoku neprekračuje 25 jednotiek ICUMSA určených metódou uvedenou v časti B treťom bode,

b) invertný tekutý cukor a invertný cukrový sirup, ktorých

množstvo konduktometrického popola nepresahuje 0,1 %,

farba v roztoku nepresahuje 25 jednotiek ICUMSA určených metódou uvedenou v časti B treťom bode.

B. Metódy skúšania niektorých cukrov, a to typu farby, množstva popola a farby v roztoku

Typ farby, množstvo popola a farba v roztoku bieleho cukru a extra bieleho cukru sa hodnotia bodmi. Jeden bod zodpovedá, ak ide o

1. typ farby, 0,5 jednotky vypočítanej metódou Brunswického inštitútu pre poľnohospodársku a cukrovarnícku technológiu, ktorá je uvedená v osobitnom predpise,1)

2. množstvo popola, 0,0018 % vypočítaného podľa metódy ICUMSA uvedenej v osobitnom predpise,2)

3. farbu v roztoku, 7,5 jednotkám vypočítaným podľa metódy ICUMSA uvedenej v osobitnom predpise.3)

Príloha č. 2 k vyhláške č. 37/2012 Z. z.

METÓDY SKÚŠANIA NIEKTORÝCH CUKROV

Časť A: Rozsah použitia metód

I. Určenie úbytku hmotnosti sušením v

polobielom cukre (metóda 1)

cukre alebo bielom cukre (metóda 1)

extra bielom cukre (metóda 1)

II. Určenie sušiny v

II.1. – glukózovom sirupe (metóda 2)

sušenom glukózovom sirupe (metóda 2)

monohydráte dextrózy (metóda 2)

bezvodej dextróze (metóda 2)

II.2. – tekutom cukre alebo bielo tekutom cukre (metóda 3)

invertovanom tekutom cukre alebo bielom invertovanom tekutom cukre (metóda 3)

invertovanom cukrovom sirupe alebo bielom invertovanom cukrovom sirupe (metóda 3)

III. Určenie redukujúcich cukrov v

III.1. – polobielom cukre (metóda 4)

III.2. – cukre alebo bielom cukre (metóda 5)

extra bielom cukre (metóda 5)

III.3. - tekutom cukre (metóda 6 alebo 7)

bielom tekutom cukre (metóda 6 alebo 7)

invertovanom tekutom cukre (metóda 6 alebo 7)

bielom invertovanom tekutom cukre (metóda 6 alebo 7)

invertovanom cukrovom sirupe (metóda 6 alebo 7)

bielom invertovanom cukrovom sirupe (metóda 6 alebo 7)

III.4. - glukózovom sirupe (metóda 6 alebo 8)

sušenom glukózovom sirupe (metóda 6 alebo 8)

monohydráte dextrózy (metóda 6 alebo 8)

bezvodej dextróze (metóda 6 alebo 8)

IV. Určenie síranového popola v

glukózovom sirupe (metóda 9)

sušenom glukózovom sirupe (metóda 9)

monohydráte dextrózy (metóda 9)

bezvodej dextróze (metóda 9)

V. Určenie polarizácie v

polobielom cukre (metóda 10)

cukre alebo bielom cukre (metóda 10)

extra bielom cukre (metóda 10)

Časť B: Metódy skúšania

Všeobecne

1. Príprava vzoriek na analýzu

Vzorka dodaná do laboratória sa starostlivo premieša. Oddelí sa časť vzorky v množstve najmenej 200 g a hneď sa prenesie do čistej, suchej, vodotesnej nádobky so vzduchotesným uzáverom.

2. Chemikálie, prístroje a pomôcky

Uvádzajú sa iba položky so špeciálnym použitím a položky s konkrétnou špecifikáciou. Všade, kde sa uvádza voda, znamená to destilovanú vodu alebo demineralizovanú vodu, ktorá má prinajmenej parametre destilovanej vody. Všetky používané chemikálie musia byť chemikálie analytickej čistoty (najmenej čistoty p. a.) okrem tých, kde je uvedené inak. Keď sa hovorí len o roztoku chemikálie bez ďalšej charakteristiky, ide o vodný roztok.

3. Vyjadrovanie výsledkov

Výsledok v protokole o skúške musí byť priemernou hodnotou najmenej dvoch paralelných stanovení spĺňajúcich podmienku opakovateľnosti. Ak sa pri metóde neuvádza inak, výsledky sa vyjadrujú ako percento sušiny pôvodnej vzorky dodanej do laboratória. Počet platných desatinných miest vo výsledku musí byť v súlade s presnosťou metódy.

Metóda 1: Určenie úbytku hmotnosti sušením

1. Predmet a oblasť použitia

Metódou sa stanovuje úbytok hmotnosti sušením v

polobielom cukre,

cukre alebo bielom cukre,

extra bielom cukre.

2. Definícia

Úbytok hmotnosti sušením: hodnota úbytku hmotnosti pri sušení podľa opísanej metódy.

3. Podstata skúšky

Úbytok hmotnosti sa určí sušením pri teplote (103 ± 2) oC.

4. Prístroje a pomôcky

4.1 Analytické váhy s presnosťou na 0,1 mg.

4.2 Sušiareň s vhodným vetraním a termostatickou reguláciou schopná udržiavať teplotu (103 ± 2) oC.

4.3 Kovová navažovacia nádobka s rovným dnom a viečkom odolná proti vzorke a podmienkam skúšky, priemer najmenej 100 mm, výška najmenej 30 mm.

4.4 Exsikátor s čerstvo aktivovaným silikagélom alebo ekvivalentným vysúšacím prostriedkom indikujúcim obsah vody.

5. Postup skúšky

UPOZORNENIE: Kroky uvedené v bodoch 5.3 až 5.7 treba vykonať ihneď po otvorení nádoby so vzorkou.

5.1 Kovová navažovacia nádobka (4.3) sa vysuší v sušiarni pri (103 ± 2) oC do konštantnej hmotnosti.

5.2 Kovová navažovacia nádobka sa nechá chladnúť v exsikátore (4.4) najmenej 30 až 35 minút. Potom sa odváži s presnosťou na 0,1 mg.

5.3 S presnosťou na 0,1 mg sa naváži do kovovej navažovacej nádobky približne 20 až 30 g vzorky.

5.4 Kovová navažovacia nádobka sa vloží na 3 hodiny do sušiarne (4.2) s teplotou (103 ± 2) oC.

5.5 Kovová navažovacia nádobka sa nechá v exsikátore (4.4) vychladnúť a odváži sa s presnosťou na 0,1 mg.

5.6 Kovová navažovacia nádobka sa vráti na 30 minút do sušiarne s teplotou (103 ± 2) oC. Nechá sa vychladnúť v exsikátore (4.4) a odváži sa s presnosťou na 0,1 mg. Tento postup sa opakuje dovtedy, kým je rozdiel medzi dvoma za sebou nasledujúcimi váženiami menší ako 1 mg. Keby došlo k zvýšeniu hmotnosti, pri výpočte treba použiť najnižšiu zaznamenanú hodnotu.

5.7 Celkový čas sušenia nesmie presiahnuť 4 hodiny.

6. Vyjadrenie výsledkov vrátane metódy výpočtu a presnosti skúšobnej metódy

6.1 Vzorec a postup výpočtu

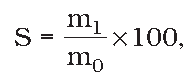
Úbytok hmotnosti sušením sa vypočíta ako percento z hmotnosti vzorky (g/100g) podľa vzorca

Vzorec 01

kde je m úbytok hmotnosti sušením v g/100 g,

m0 pôvodná hmotnosť skúšobnej vzorky v gramoch,

m1 hmotnosť skúšobnej vzorky v gramoch po vysušení.

6.2 Opakovateľnosť

Rozdiel medzi výsledkami dvoch stanovení vykonaných na vzorke tým istým analytikom pri tých istých podmienkach súčasne alebo v rýchlom slede za sebou nesmie presiahnuť 0,02 g/100 g vzorky.

Metóda 2: Určenie sušiny vákuovou metódou

1. Predmet a oblasť použitia

Metódou sa stanoví sušina v

glukózovom sirupe,

sušenom glukózovom sirupe,

monohydrátu dextrózy,

bezvodej dextróze.

2. Definícia

Množstvo sušiny: množstvo sušiny určené popísanou metódou.

3. Podstata skúšky

Sušina sa stanovuje vo vákuovej sušiarni pri teplote (70 ± 1) oC a tlaku, ktorý nepresiahne 3,3 kPa (34 mbar). Pri glukózovom sirupe a sušenom glukózovom sirupe sa skúšobné vzorky pred sušením zmiešajú s vodou a so silikagélom.

4. Chemikálie

4.1 Silikagél: Nasype sa na Büchnerov lievik a prečistí sa opakovaným premývaním zriedenou kyselinou chlorovodíkovou (1 ml koncentrovanej kyseliny s hustotou pri 20 oC = 1,19 g/ml do 1 l vody). Premytie je kompletné, keď je vytekajúci premývací roztok jednoznačne kyslý. Potom sa silikagél premýva vodou dovtedy, kým nie je pH vytekajúcej vody vyššie ako 4. Vysuší sa v sušiarni pri (103 ± 2) oC a skladuje sa vo vzduchotesnej nádobe.

5. Prístroje a pomôcky

5.1 Vákuová sušiareň, ktorá tesní, je regulovaná termostatom, vybavená teplomerom a vákuovým manometrom. Sušiareň musí byť zhotovená tak, aby teplo rýchle prechádzalo do kovových navažovacích nádobiek umiestených na roštoch.

5.2 Zostava na sušenie vzduchu skladajúca sa zo sklenej aparatúry naplnenej čerstvým silikagélom alebo ekvivalentným vysúšacím prostriedkom obsahujúcim indikátor obsahu vody, ktorá je pri prívode vzduchu do sušiarne sériovo spojená so zariadením na odstraňovanie nečistôt zo vzduchu, kde je koncentrovaná kyselina sírová.

5.3 Vákuové čerpadlo zabezpečujúce tlak v sušiarni 3,3 kPa alebo menej.

5.4 Kovová navažovacia nádobka s rovným dnom a viečkom odolná proti vzorke a podmienkam skúšky s priemerom najmenej 100 mm, hĺbkou najmenej 300 mm.

5.5 Sklená tyčinka takej dĺžky, aby nepadla celá do nádobky.

5.6 Exsikátor obsahujúci čerstvo aktivovaný suchý silikagél alebo ekvivalentné vysúšadlo s indikátorom obsahu vody.

5.7 Analytické váhy vážiace s presnosťou na 0,1 mg.

6. Postup skúšky

6.1 Nasype sa asi 30 g silikagélu (4.1) do kovovej navažovacej misky (5.4) so sklenou tyčinkou (5.5). Vloží sa do sušiarne (5.1) vyhriatej na (70 ± 1) oC a tlak sa zníži na 3,3 kPa alebo menej. Pri slabom prívode vzduchu do sušiarne cez sušiacu zostavu sa suší najmenej päť hodín. Počas sušenia sa musí kontrolovať tlak a v prípade potreby sa musí upraviť.

6.2 Opatrným zvýšením prívodu suchého vzduchu sa obnoví v sušiarni atmosférický tlak. Kovová navažovacia nádobka s tyčinkou sa ihneď musí preložiť do exsikátora (5.6), nechať vychladnúť a odvážiť.

6.3 S presnosťou na 1 mg sa odváži do 100 ml kadičky asi 10 g vzorky na analýzu.

6.4 Skúšobná vzorka sa zriedi s 10 ml teplej vody a roztok sa kvantitatívne prenesie pomocou sklenej tyčinky (5.5) do kovovej navažovacej nádobky.

6.5 Kovová navažovacia nádobka so skúšobnou vzorkou a sklenou tyčinkou sa vloží do sušiarne. Tlak sa zníži na 3,3 kPa alebo menej. Suší sa pri (70 ± 1) oC, pričom sa nechá prúdiť sušiarňou v pomalom prúde suchý vzduch. Sušenie má prebiehať 20 hodín; na konci prvého dňa sa má prejaviť zmenšenie objemu. Vákuové čerpadlo sa nechá pracovať pri vopred nastavenom tlaku. Do sušiarne má pomaly prúdiť suchý vzduch tak, aby sa v noci udržiaval tlak asi 3,3 kPa alebo menej.

6.6 Opatrným zvýšením prívodu suchého vzduchu sa obnoví atmosférický tlak v sušiarni. Kovová navažovacia nádobka s obsahom sa musí ihneď premiestniť do exsikátora, nechať vychladnúť a odvážiť s presnosťou na 1 mg.

6.7 V sušení sa pokračuje podľa uvedeného postupu (6.5) ešte 4 hodiny. Obnoví sa atmosférický tlak v sušiarni a kovová navažovacia nádobka s obsahom sa ihneď premiestni do exsikátora. Nechá sa vychladnúť a potom sa odváži. Zistí sa, či sa už dosiahla konštantná hmotnosť. Za konštantnú hmotnosť sa považuje skutočnosť, keď rozdiel medzi dvoma váženiami vzorky nepresiahne 2 mg. Ak je rozdiel väčší, opakuje sa postup uvedený v tomto odseku.

6.8 Pri stanovení sušiny vo vzorkách bezvodej dextrózy alebo monohydrátu dextrózy sa nemusí použiť silikagél a voda.

7. Vyjadrenie výsledkov vrátane metódy výpočtu a presnosti skúšobnej metódy

7.1 Vzorec a postup výpočtu

Obsah sušiny sa vypočíta ako percento z hmotnosti (g/100g) vzorky podľa vzorca

Vzorec 02

kde je m obsah sušiny v g/100g,

m0 pôvodná hmotnosť skúšobnej vzorky v gramoch,

m1 hmotnosť kovovej navažovacej nádobky so silikagélom, sklenou tyčinkou a zvyškom skúšobnej vzorky po vysušení v gramoch,

m2 hmotnosť kovovej navažovacej nádobky so silikagélom a sklenou tyčinkou v gramoch.

7.2 Opakovateľnosť

Rozdiel medzi výsledkami dvoch stanovení vykonaných na vzorke tým istým analytikom pri tých istých podmienkach súčasne alebo v rýchlom slede za sebou nesmie presiahnuť 0,12 g/100 g vzorky.

Metóda 3: Určenie celkovej sušiny refraktometricky

1. Predmet a oblasť použitia

Metódou sa stanovuje sušina v

tekutom cukre,

bielom tekutom cukre,

invertnom tekutom cukre,

bielom invertnom tekutom cukre,

sirupe z invertného cukru,

sirupe z bieleho invertného cukru.

2. Definícia

Obsah sušiny: obsah sušiny stanovený definovanou metódou.

3. Podstata skúšky

V skúšobnej vzorke sa stanoví index lomu pri teplote 20 oC a prepočíta sa na obsah sušiny pomocou tabuliek uvádzajúcich koncentráciu ako funkciu indexu lomu.

4. Prístroje a pomôcky

4.1 Refraktometer s presnosťou na štyri desatinné miesta. Musí byť vybavený teplomerom a čerpadlom na vodu, ktoré je prepojené s vodným kúpeľom temperovaným na (20 ± 0,5) oC alebo s automatickou kompenzáciou teploty.

4.2 Zdroj svetla zo sodíkovej lampy. Na účely merania je možné použiť aj polychromatické svetlo (denné svetlo, svetlo stolnej lampy).

5. Postup skúšky

5.1 Keď sú vo vzorke nejaké kryštály, musia sa znova rozpustiť zriedením vzorky s vodou v hmotnostnom pomere 1:1.

5.2 Pomocou refraktometra (4.1) sa zmeria pri teplote 20 oC index lomu vzorky.

6. Vyjadrenie výsledkov vrátane metódy výpočtu a presnosti výpočtu

6.1 Z indexu lomu pre roztok sacharózy pri 20 oC sa určí obsah sušiny odčítaním z tabuľky indexov lomu pri 20 oC uvedenej v časti C. Hodnota sa upraví podľa obsahu prítomných invertných cukrov tak, že na každé 1 % invertného cukru v analyzovanej vzorke sa pripočíta k výsledku odčítanému z tabuľky hodnota 0,022.

6.2 Keď sa vzorka riedila s vodou v hmotnostnom pomere 1:1, vypočítaný obsah sušiny sa musí vynásobiť dvomi.

6.3 Opakovateľnosť

Rozdiel medzi výsledkami dvoch stanovení vykonaných na vzorke tým istým analytikom pri tých istých podmienkach súčasne alebo v rýchlom slede za sebou nesmie presiahnuť 0,2 g sušiny na 100 g vzorky.

Metóda 4: Meranie redukujúcich cukrov vyjadrených ako invertný cukor (Metóda berlínskeho inštitútu)

1. Predmet a oblasť použitia

Metódou sa stanovuje obsah redukujúcich cukrov v polobielom cukre a vyjadrí sa ako invertný cukor.

2. Definícia

Redukujúce cukry vyjadrené ako invertný cukor: obsah redukujúcich cukrov stanovený popísanou metódou.

3. Podstata skúšky

Roztok vzorky obsahujúci redukujúce cukry sa použije na redukciu komplexu dvojmocnej medi. Vznikajúci oxid meďný sa potom oxiduje štandardným roztokom jódu, ktorého prebytok sa stanoví spätnou titráciou štandardizovaným roztokom tiosíranu sodného.

4. Chemikálie

4.1 Roztok dvojmocnej medi (Müllerov roztok).

4.1.1 V 400 ml vriacej vody sa rozpustí 35 g pentahydrátu síranu meďnatého (CuSO4.5H20) a nechá sa vychladnúť.

4.1.2 V 500 ml vriacej vody sa rozpustí 173 g tetrahydrátu vínanu sodno-draselného (Rochellova soľ alebo Seignettova soľ, KNaC4H4O6.4H20) a 68 g bezvodého uhličitanu sodného. Nechá sa vychladnúť.

4.1.3 Obidva roztoky (4.1.1 a 4.1.2) sa prenesú do litrovej odmernej banky a doplnia sa vodou na objem 1 l. Pridajú sa 2 g aktívneho uhlia, obsah sa pretrepe, nechá sa niekoľko hodín stáť a prefiltruje sa cez hrubý filtračný papier alebo membránový filter. Keď sa počas skladovania objaví oxid meďný, roztok sa musí opäť prefiltrovať.

4.2 Roztok kyseliny octovej (CH3COOH) = 5 mol/l.

4.3 Roztok jódu (I2) = 0,01665 mol/l (4,2258 g/l).

4.4 Roztok tiosíranu sodného (Na2S2O3) = 0,0333 mol/l.

4.5 Roztok škrobu: do 1 l vriacej vody sa vleje zmes 5 g rozpustného škrobu rozmiešaného v 30 ml vody. Varí sa 3 minúty, nechá sa vychladnúť a keď treba, pridá sa 10 mg jodidu ortutnatého ako konzervačná látka.

5. Prístroje a pomôcky

5.1 Kónická banka 300 ml; byrety a pipety.

5.2 Vriaci vodný kúpeľ.

6. Postup skúšky

6.1 Do 300 ml kónickej banky treba navážiť také množstvo skúšobnej vzorky (10 g alebo menej), aby obsah invertného cukru nebol vyšší ako 30 mg. Vzorka sa rozpustí asi v 100 ml vody. Do banky s roztokom vzorky sa napipetuje 10 ml roztoku dvojmocnej medi (4.1). Banka sa musí pootáčať, aby sa obsah premiešal, a vložiť presne na 10 minút do vodného kúpeľa (5.2). Hladina roztoku v kónickej banke musí byť najmenej 20 mm pod úrovňou vody vo vodnom kúpeli. Banka sa musí rýchle ochladiť pod studenou tečúcou vodou. Počas chladenia sa nesmie bankou trepať, lebo by vzdušný kyslík opätovne zoxidoval časť vyzrážaného oxidu meďného. Pipetou sa pridá 5 ml roztoku kyseliny octovej (CH3COOH) = 5 mol/l (5.4.2) bez pretrepávania a hneď potom pomocou byrety prebytok (od 20 do 40 ml) roztoku jódu (I2) = 0,01665 mol/l (4.3). Obsah banky sa musí miešať, aby sa zrazenina medi rozpustila. Prebytok jódu sa titruje roztokom tiosíranu sodného (Na2S2O3) = 0,0333 mol/l (4.4) s použitím škrobového roztoku (4.5) ako indikátora. Indikátor sa pridáva až ku koncu titrácie.

6.2 Vykoná sa slepá skúška s vodou. Musí sa robiť vždy s každým novým roztokom dvojmocnej medi (4.1). Spotreba pri titrácii nesmie prekročiť 0,1 ml.

6.3 Vykoná sa kontrolná skúška s tekutým cukrom bez ohrevu. Nechá sa stáť 10 minút pri laboratórnej teplote, aby mohli zreagovať všetky prípadne prítomné redukujúce činidlá, napríklad oxid siričitý.

7. Vyjadrenie výsledkov vrátane metódy výpočtu a presnosti výpočtu

7.1 Vzorec a postup výpočtu

Objem spotrebovaného roztoku jódu sa vypočíta podľa vzorca:

V1 = V2 – V3,

kde je V1 objem spotrebovaného roztoku jódu v ml,

V2 objem prebytku roztoku jódu (I2) = 0,01665 mol/l v ml,

V3 spotrebovaný objem roztoku tiosíranu sodného (Na2S2O3) = 0,0333 mol/l pri titrácii v ml.

Objem spotrebovaného roztoku jódu V1 koncentrácie (I2) = 0,01665 mol/l sa skoriguje podľa vzorca

Vx = V1 – Vy – Vz – Vw,

kde je Vx skorigovaný objem spotrebovaného roztoku jódu (I2) = 0,01665 mol/l v ml,

Vy objem v ml spotrebovaný pri slepej skúške s vodou (6.2),

Vz objem v ml spotrebovaný pri skúške s tekutým cukrom bez ohrevu (6.3),

Vw objem, kde každých 10 g sacharózy prítomnej v použitom alikvotnom podiele zodpovedá 2 ml. Ak
vzorka obsahuje menej ako 10 g sacharózy, odpočíta sa objem úmerne menší (korekcia na sacharózu).

Po tom, ako sa vykonajú tieto korekcie, každý zreagovaný ml roztoku jódu (4.3) zodpovedá 1 mg invertného cukru.

Obsah invertného cukru vyjadrený ako percento vo vzorke sa vypočíta podľa vzorca

Vzorec 03

kde je w obsah invertného cukru v g/100g vzorky,

Vx počet ml roztoku jódu (4.3) po korekcii,

m0 hmotnosť naváženej vzorky v gramoch.

7.2 Opakovateľnosť

Rozdiel medzi výsledkami dvoch stanovení vykonaných na vzorke tým istým analytikom pri tých istých podmienkach súčasne alebo v rýchlom slede za sebou nesmie presiahnuť 0,02 g/100 g vzorky.

Metóda 5: Meranie redukujúcich cukrov vyjadrených ako invertný cukor (Knightova a Allenova metóda)

1. Predmet a oblasť použitia

Metódou sa stanovuje obsah redukujúcich sacharidov v

cukre alebo bielom cukre,

extra bielom cukre,

a vyjadrí sa ako invertný cukor.

2. Definícia

Redukujúce cukry vyjadrené ako invertný cukor: obsah redukujúcich cukrov stanovený popísanou metódou.

3. Podstata skúšky

K roztoku vzorky sa pridá prebytok činidla dvojmocnej medi. Zredukovaný a nezredukovaný podiel sa stanoví spätnou titráciou s roztokom kyseliny etyléndiamíntetraoctovej (EDTA).

4. Chemikálie

4.1 Roztok kyseliny etyléndiamíntetraoctovej (dvojsodná soľ) (EDTA), (EDTA) = 0,0025 mol/l. Rozpustí sa 0,930 g EDTA vo vode a doplní sa vodou do 1 litra.

4.2 Roztok murexidového indikátora: Do 50 ml vody sa pridá 0,25 g murexidu a zmieša sa s 20 ml vodného roztoku metylénovej modrej s koncentráciou 0,2 g/100 ml.

4.3 Alkalické činidlo dvojmocnej medi: Približne v 600 ml vody, ktorá obsahuje 40 ml hydroxidu sodného s koncentráciou 1,0 mol/l, sa rozpustí 25 g bezvodého uhličitanu sodného a 25 g tetrahydrátu vínanu sodno-draselného. Približne v 100 ml vody sa rozpustí 6,0 g pentahydrátu síranu meďnatého (CuSO4.5H2O) a pridá sa k prvému roztoku. Objem sa doplní vodou do 1 litra.
UPOZORNENIE: Roztok má obmedzenú životnosť jeden týždeň.

4.4 Štandardný roztok invertného cukru: Približne v 120 ml vody v 250 ml banke sa rozpustí 23,750 g čistej sacharózy (4.5), pridá sa 9 ml kyseliny chlorovodíkovej ( = 1,16 g/ml) a banka sa nechá stáť osem dní pri laboratórnej teplote. Roztok sa doplní na 250 ml a pomocou polarimetra alebo sacharimetra s použitím 200 mm trubice sa skontroluje, či hydrolýza prebehla úplne. Odčítaná hodnota má byť (11,80 ± 0,05) oS. Stupne S sa prepočítavajú na polarimetrické stupne vydelením číslom 2,889. Polarimetrické trubice musia mať dĺžku 200 mm. Zdroj svetla musí pozostávať zo sodíkovej vákuovej lampy a prístroj musí byť inštalovaný v miestnosti, v ktorej sa teplota udržuje približne 20 °C. Z tohto roztoku sa odpipetuje 200 ml do 2 000 ml odmernej banky. Roztok sa zriedi vodou a pri pretrepávaní (na zabránenie prebytočnej lokálnej alkality) sa pridá 71,4 ml roztoku hydroxidu sodného (1 mol/l), v ktorom sa rozpustili 4 g kyseliny benzoovej. Objem sa doplní do 2 000 ml, čím vznikne invertný tekutý cukor s koncentráciou 1 g/100 ml. Tento roztok má mať približne pH 3. Ide o stabilný zásobný roztok, ktorý sa má riediť až tesne pred použitím.

4.5 Čistá sacharóza: vzorka čistej sacharózy s obsahom invertného cukru najviac 0,001 g/100 g.

5. Prístroje a pomôcky

5.1 Skúmavky 150 mm x 20 mm.

5.2 Biela porcelánová miska.

5.3 Analytické váhy s presnosťou na 0,1 mg.

6. Postup skúšky

6.1 5 g vzorky cukru sa rozpustí v skúmavke (5.1) v 5 ml studenej vody. Do skúmavky sa pridá 2,0 ml činidla dvojmocnej medi (4.3) a obsah sa premieša. Skúmavka sa ponorí na 5 minút do vriaceho vodného kúpeľa a potom sa ochladí v studenej vode.

6.2 Roztok sa kvantitatívne prenesie zo skúmavky do porcelánovej misky (5.2) pomocou čo najmenšieho množstva vody, pridajú sa tri kvapky indikátora (4.2) a titruje sa roztokom EDTA (4.1). Spotrebovaný objem titračného roztoku v mililitroch je V0. Tesne pred koncom titrácie sa farba zmení zo zelenej cez sivú až na výslednú fialovú. Fialová farba pomaly zmizne v dôsledku oxidácie oxidu meďného na oxid meďnatý, a to rýchlosťou, ktorá závisí od koncentrácie prítomnej redukovanej medi. Z uvedeného dôvodu je potrebné dosiahnuť konečný bod titrácie pomerne rýchlo.

6.3 Na zostrojenie kalibračnej čiary sa pridá známe množstvo invertného cukru ako príslušne zriedený roztok (4.4) k 5 g čistej sacharózy (4.5) a pridá sa dostatočné množstvo studenej vody tak, aby sa celkovo pridalo 5 ml roztoku. Objemy titračného roztoku sa nanesú na graf oproti percentám invertného cukru pridaného k 5 g sacharózy: výsledný graf má tvar priamky v rozsahu 0,001g až 0,019 hmotnostných percent invertného cukru/100 g vzorky.

7. Vyjadrenie výsledkov vrátane metódy výpočtu a presnosti skúšobnej metódy

7.1 Vzorec a postup výpočtu

Percento invertného cukru sa odčíta z kalibračnej čiary podľa hodnoty V0 (ml EDTA) pri analýze vzorky.

7.2 Keď sa v analyzovanej vzorke očakáva vyššia koncentrácia ako 0,017 g invertného cukru/100 g vzorky, musí sa množstvo vzorky v postupe (6.1) vhodne znížiť, ale k analytickej vzorke sa musí pridať 5 g čistej sacharózy (4.5).

7.3 Opakovateľnosť

Rozdiel medzi výsledkami dvoch stanovení vykonaných na vzorke tým istým analytikom pri tých istých podmienkach súčasne alebo v rýchlom slede za sebou nesmie presiahnuť 0,005 g na 100 g vzorky.

Metóda 6: Určenie redukujúcich cukrov vyjadrených ako invertný cukor alebo dextrózový ekvivalent
(Luffovo-Schoorlova metóda)

1. Predmet a oblasť použitia

Metódou sa stanovuje:

1.1 Obsah redukujúcich cukrov vyjadrený ako invertný cukor v

tekutom cukre,

bielom tekutom cukre,

invertnom tekutom cukre,

bielom invertnom tekutom cukre,

invertnom cukrovom sirupe,

bielom invertnom cukrovom sirupe.

1.2 Obsah redukujúcich cukrov vyjadrený a prepočítaný na sušinu ako dextrózový ekvivalent v

glukózovom sirupe,

sušenom glukózovom sirupe.

1.3 Obsah redukujúcich sacharidov vyjadrený ako D-glukóza v

monohydrátu dextrózy

bezvodej dextróze.

2. Definícia

Redukujúce cukry vyjadrené ako invertný cukor, D-glukóza alebo dextrózový ekvivalent: obsah redukujúcich cukrov vyjadrený alebo prepočítaný ako invertný cukor, D-glukóza alebo dextrózový ekvivalent tak, ako sa stanoví popísanou metódou.

3. Podstata skúšky

Redukujúce cukry vo vzorke, ak treba vo vyčírenej vzorke, sa zahrejú pri štandardizovaných podmienkach do teploty varu s roztokom dvojmocnej medi čiastočne redukovaným na jednomocnú meď. Prebytok dvojmocnej medi sa potom stanoví jodometricky.

4. Chemikálie

4.1 Carrezov roztok I: Vo vode sa rozpustí 21,95 g dihydrátu octanu zinočnatého (Zn(CH3COO)2.2H2O) alebo 24 g trihydrátu octanu zinočnatého (Zn(CH3COO)2.3H2O) a 3 ml ľadovej kyseliny octovej. Objem sa doplní do 100 ml.

4.2 Carrezov roztok II: Vo vode sa rozpustí 10,6 g hexakyanoželeznatanu draselného (K4Fe(CN)6.3H2O) a objem sa doplní do 100 ml.

4.3 Luffovo-Schoorlovo činidlo: Pripravia sa takéto roztoky:

4.3.1 Roztok síranu meďnatého: V 100 ml vody sa rozpustí 25 g pentahydrátu síranu meďnatého (CuSO4.5H2O), ktorý neobsahuje železo.

4.3.2 Roztok kyseliny citrónovej: V 50 ml vody sa rozpustí 50 g monohydrátu kyseliny citrónovej (C6H807.H20).

4.3.3 Roztok uhličitanu sodného: Približne v 300 ml teplej vody sa rozpustí 143,8 g bezvodého uhličitanu sodného a nechá sa vychladnúť.

4.3.4 Roztok kyseliny citrónovej (4.3.2) sa pridá k roztoku uhličitanu sodného (4.3.3) v litrovej odmernej banke, pričom sa bankou trocha otáča. Bankou treba otáčať dovtedy, kým unikajú bublinky. Potom sa pridá roztok síranu meďnatého (4.3.1) a objem sa doplní vodou do 1 000 ml. Roztok sa nechá stáť cez noc a potom sa v prípade potreby prefiltruje. Činidlo sa štandardizuje postupom uvedeným v bode 7.6.1 (roztok Cu 0,1 mol/l, roztok Na2CO3 1 mol/l).

4.4 Roztok tiosíranu sodného (Na2S2O3) = 0,1 mol/l.

4.5 Roztok škrobu: Do 1 litra vriacej vody sa vleje zmes 5 g škrobu rozmiešaného v 30 ml vody. Varí sa tri minúty, nechá sa vychladnúť a v prípade potreby sa pridá 10 mg jodidu ortutnatého ako konzervačnej látky.

4.6 Kyselina sírová (H2SO4) = 3 mol/l.

4.7 Roztok jodidu draselného 30 g/100 ml.

4.8 Varné guľôčky prevarené v kyseline chlorovodíkovej, premytím s vodou zbavené kyseliny a osušené.

4.9 Izopentanol.

4.10 Hydroxid sodný (NaOH) = 0,1 mol/l.

4.11 Kyselina chlórovodíková (HCl) = 0,1 mol/l.

4.12 Roztok fenolftaleínu v etanole s koncentráciou 1 g/100 ml etanolu.

5. Prístroje a pomôcky

5.1 Kónické banky, 300 ml, vybavené spätným chladičom.

5.2 Stopky.

6. Postup skúšky

6.1 Štandardizácia Luffovho-Schoorlovho činidla (4.3)

6.1.1 K 25 ml Luffovho-Schoorlovho činidla (4.3) sa pridajú 3 g jodidu draselného a 25 ml roztoku kyseliny sírovej 3 mol/l (4.6). Titruje sa roztokom tiosíranu sodného 0,1 mol/l (4.4) s použitím škrobového roztoku (4.5) ako indikátora, ktorý sa pridá pred koncom titrácie. Keď nie je spotreba uvedeného tiosíranu sodného 25 ml, treba pripraviť čerstvé činidlo.

6.1.2 Do 100 ml odmernej banky sa napipetuje 10 ml činidla a zriedi sa vodou do 100 ml. Z takto zriedeného činidla sa odpipetuje 10 ml do kónickej banky, v ktorej je 25 ml roztoku kyseliny chlorovodíkovej 0,1 mol/l (4.11). Banka sa nechá hodinu ohrievať vo vriacom vodnom kúpeli. Ochladí sa, doplní sa čerstvo prevarenou vodou na pôvodný objem a titruje sa roztokom hydroxidu sodného 0,1 mol/l (4.10) s použitím fenolftaleínu (4.12) ako indikátora. Spotreba roztoku hydroxidu sodného 0,1 mol/l (4.10) musí byť medzi 5,5 ml a 6,5 ml.

6.1.3 10 ml zriedeného činidla (6.1.2) sa titruje roztokom kyseliny chlorovodíkovej 0,1 mol/l (4.11) s fenolftaleínom (4.12) ako indikátorom. Koniec titrácie je charakterizovaný zmiznutím fialového sfarbenia. Spotreba roztoku kyseliny chlorovodíkovej 0,1 mol/l (4.11) musí byť medzi 6,0 ml a 7,5 ml.

6.1.4 Luffovo-Schoorlovo činidlo musí mať pri 20 oC pH v rozmedzí od 9,3 do 9,4.

6.2 Príprava roztoku

6.2.1 S presnosťou na 1 mg sa naváži presne 5 g vzorky a pomocou 200 ml vody sa kvantitatívne prenesie do 250 ml odmernej banky. V prípade potreby sa vzorka vyčíri prídavkom 5 ml Carrezovho roztoku I (4.1) a potom 5 ml Carrezovho roztoku II (4.2). Po každom prídavku sa musí obsah premiešať. Objem sa doplní vodou na 250 ml, dobre sa premieša a v prípade potreby sa prefiltruje.

6.2.2 Roztok (6.2.1) sa zriedi tak, aby obsah redukujúcich sacharidov, vyjadrený ako glukóza, v 25 ml bol v rozmedzí 15 mg až 60 mg.

6.3 Titrácia podľa Luffa-Schoorla

Do 300 ml kónickej banky (5.1) sa napipetuje 25 ml Luffovho-Schoorlovho činidla (4.3). Do banky sa pridá 25 ml sacharidového roztoku (6.2.2) a vsypú sa varné guľôčky (4.8). Na banku (5.1) sa napojí spätný chladič a banka sa postaví na azbestovú sieťku nad horiaci Bunsenov kahan. V azbeste musí byť vyrezaný otvor s približne rovnakým priemerom, ako je dno banky. Počas asi 2 minút sa kvapalina ohreje do varu a nechá sa presne 10 minút slabo vrieť. Potom sa hneď ochladí v studenej vode a po 5 minútach sa titruje takto: Pridá sa 10 ml roztoku jodidu draselného (4.7), hneď potom sa opatrne (pretože pení) pridá 25 ml roztoku kyseliny sírovej 3 mol/l (4.6). Titruje sa roztokom tiosíranu sodného 0,1 mol/l (4.4), kým sa roztok takmer celkom neodfarbí. Potom sa pridá niekoľko ml roztoku škrobu (4.5) ako indikátora a pokračuje sa v titrácii do zmiznutia modrého sfarbenia. Musí sa vykonať kontrolná skúška (slepá skúška), pričom sa namiesto 25 ml tekutého cukru (6.2.2) použije 25 ml vody.

7. Vyjadrenie výsledkov vrátane metódy výpočtu a presnosti skúšobnej metódy

7.1 Vzorec a postup výpočtu

Z tabuľky 1 sa zistí (v prípade potreby interpoláciou) hmotnosť glukózy alebo invertného cukru v mg zodpovedajúca rozdielu spotrieb roztoku tiosíranu sodného 0,1 mol/l na titráciu vzorky a slepej skúšky.

Výsledok sa prepočíta a vyjadrí ako hmotnostné percento invertného cukru alebo D-glukózy v sušine podľa vzorca

Vzorec 04

kde je w hmotnostné percento invertného cukru v sušine (g/100 g),

mC6H12O6 hmotnosť invertného cukru odčítaná z tabuľky č. 1 v mg,

R riedenie,

m(vzorky) hmotnosť vzorky v g.

7.2 Opakovateľnosť

Rozdiel medzi výsledkami dvoch titrácií vykonaných na tej istej vzorke tým istým analytikom pri tých istých podmienkach súčasne alebo v rýchlom slede za sebou nesmie presiahnuť 0,2 ml. Na obmedzenie penenia sa pred prídavkom kyseliny sírovej môže pridať trocha izopentanolu (4.9).

Tabuľka 1 – Hodnoty zodpovedajúce Luffovmu-Schoorlovmu činidlu

Roztok Na2S2O3
0,1 mol/l
Glukóza, fruktóza, invertné cukry
C6H12O6
Mlmgrozdiel
12,4
24,82,4
37,22,4
49,72,5
512,22,5
614,72,5
717,22,5
819,82,6
922,42,6
1025,02,6
1127,62,6
1230,32,7
1333,02,7
1435,72,7
1538,52,8
1641,32,8
1744,22,9
1847,12,9
1950,02,9
2053,03,0
2156,03,0
2259,13,1
2362,23,1

Metóda 7: Meranie redukujúcich cukrov vyjadrených ako invertný cukor
(Laneho a Eynonova modifikácia konštantného objemu)

1. Predmet a oblasť použitia

Metóda stanovuje redukujúce cukry vyjadrené ako invertný cukor v

tekutom cukre,

bielom tekutom cukre,

invertnom tekutom cukre,

bielom invertnom tekutom cukre,

sirupe z invertného cukru,

sirupe z bieleho invertného cukru.

2. Definícia

Redukujúce cukry vyjadrené ako invertný cukor: obsah redukujúcich cukrov stanovený popísanou metódou.

3. Podstata skúšky

Roztok vzorky sa titruje pri teplote varu definovaným objemom Fehlingovho roztoku s použitím metylénovej modrej ako indikátora.

4. Chemikálie

4.1 Fehlingov roztok

4.1.1 Roztok A: Vo vode sa rozpustí 69,3 g pentahydrátu síranu meďnatého (CuSO4.5H20) a objem sa doplní na 1 000 ml.

4.1.2 Roztok B: Vo vode sa rozpustí 346,0 g tetrahydrátu vínanu sodnodraselného (KNaC4H4O6.4H2O) a 100,0 g hydroxidu sodného. Objem roztoku sa doplní na 1 000 ml. Ak sa vytvoril sediment, čistý roztok treba dekantovať. Uvedené roztoky (4.1.1 a 4.1.2) sa musia skladovať v hnedých fľašiach.

4.2 Roztok hydroxidu sodného (NaOH) = 1 mol/l.

4.3 Štandardný invertný tekutý cukor: V 250 ml odmernej banke sa približne v 120 ml vody rozpustí 23,750 g čistej sacharózy, pridá sa 9 ml kyseliny chlorovodíkovej ( = 1,16 g/ml) a nechá sa osem dní stáť pri laboratórnej teplote. Roztok sa potom doplní na 250 ml a pomocou polarimetra alebo sacharimetra s použitím 200 mm trubice sa skontroluje, či je hydrolýza skončená. Odčítaná hodnota má byť (11,80 ± 0,05) oS. Stupne S sa prepočítajú na polarimetrické stupne vydelením číslom 2,889 (polarimetrické trubice 200 mm; sodíková lampa ako zdroj svetla; prístroj musí byť inštalovaný tam, kde sa udržiava laboratórna teplota približne 20 oC). Z pripraveného roztoku sa odpipetuje 200 ml do 2 000 ml odmernej banky. Zriedi sa vodou a pri pretrepávaní (aby nedošlo k nadmernej lokálnej alkalite) sa pridá 71,4 ml roztoku hydroxidu sodného (1 mol/l) (4.2), v ktorom sa rozpustili 4 g kyseliny benzoovej. Objem sa doplní na 2 000 ml, čo zodpovedá roztoku invertného cukru s koncentráciou 1 g/100 ml. Uvedený roztok musí mať pH približne 3. Tento stabilný zásobný roztok sa môže riediť až tesne pred použitím. Na prípravu invertného tekutého cukru s koncentráciou 0,25 g/100 ml sa pri 20 oC naplní 250 ml odmerná banka po značku zásobným invertným tekutým cukrom s koncentráciou 1 g/100 ml. Obsah odmernej banky sa kvantitatívne prenesie do 1 000 ml odmernej banky a pri 20 oC sa doplní vodou po značku.

4.4 Roztok metylénovej modrej, 1 g/100 ml.

5. Prístroje a pomôcky

5.1 Varné banky s úzkym hrdlom, 500 ml.

5.2 Byreta, 50 ml s delením na 0,05 ml.

5.3 Pipety na 20 ml, 25 ml a 50 ml.

5.4 Odmerné banky, 250 ml, 1 000 ml a 2 000 ml.

5.5 Vyhrievacie zariadenie vhodné na udržiavanie varu tak, ako je uvedené v bode 6.1, umožňujúce pozorovanie farebnej zmeny v konečnom bode bez toho, aby bolo treba varnú banku (5.1) odstaviť z ohrevu.

5.6 Stopky indikujúce najmenej jednu sekundu.

6. Postup skúšky

6.1 Štandardizácia Fehlingovho činidla

6.1.1 Do čistej suchej kadičky sa napipetuje 50 ml roztoku B (4.1.2) a potom 50 ml roztoku A (4.1.1) a dobre sa premieša.

POZNÁMKA – Zmesný Fehlingov roztok sa nesmie skladovať. Treba ho každý deň pripraviť čerstvý a štandardizovať (metóda 8 bod 6.1).

6.1.2 Byreta sa prepláchne a naplní 0,25 % štandardným invertným tekutým cukrom (4. 3) (0,25 g/100 ml).

6.1.3 Do 500 ml varnej banky (5.1) sa napipetuje 20 ml zmesi roztokov A a B (6.1.1). Pridá sa 15 ml vody. Z byrety sa do banky odpustí 39 ml invertného tekutého cukru, pridá sa trocha varných guľôčok a obsah banky sa opatrne premieša krútením.

6.1.4 Obsah banky sa ohreje do varu a nechá sa vrieť presne 2 minúty; banka sa nesmie počas tohto postupu odstaviť z ohrevu, ani obsah nesmie prestať vrieť. Ku koncu varenia sa pridajú 4 kvapky roztoku metylénovej modrej (4.4); roztok sa má sfarbiť namodro a túto farbu si má zachovať.

6.1.5 Pokračuje sa v štandardizácii. Z byrety sa pridávajú malé dávky štandardného invertného tekutého cukru – spočiatku po 0,2 ml, potom po 0,1 ml a napokon po kvapkách, kým sa nedosiahne konečný bod. Ten je indikovaný stratou modrého sfarbenia metylénovej modrej. Roztok by sa mal sfarbiť do bledočervena v dôsledku prítomnosti suspenzie oxidu medného.

6.1.6 Konečný bod treba dosiahnuť ku koncu tretej minúty od začiatku varu. Konečná spotreba V0 musí byť medzi 39,0 ml a 41,0 ml. Ak je V0 mimo tohto rozpätia, treba upraviť koncentráciu Fehlingovho roztoku A (4.1.1) a postup štandardizácie zopakovať.

6.2 Príprava roztoku

Roztok analytickej vzorky má mať takú koncentráciu, aby 100 ml roztoku obsahovalo 250 mg až 400 mg invertného cukru.

6.3 Predbežná skúška

6.3.1 Pri predbežnej skúške sa zistí, koľko vody treba pridať k 20 ml zmesi roztokov A a B na to, aby sa po titrácii dosiahol konečný objem 75 ml. Postupuje sa rovnako, ako je uvedené v 6.1.4, s tým, že namiesto štandardného invertného tekutého cukru sa použije roztok vzorky, t. j. do banky sa z byrety pridá 25 ml roztoku vzorky. Pridá sa 15 ml vody, roztok sa nechá v priebehu dvoch minút zovrieť a potom sa titruje tak, ako je uvedené v 6.1.5.

6.3.2 Ak po prídavku roztoku metylénovej modrej pretrváva červenkasté sfarbenie, použitá vzorka je priveľmi koncentrovaná. V takom prípade sa skúška zopakuje s menšou koncentráciou vzorky. Ak je na dosiahnutie červenkastého sfarbenia potrebné viac ako 50 ml vzorky, treba použiť koncentrovanejší roztok vzorky. Množstvo vody, ktoré treba pridať, sa vypočíta odčítaním objemov zmesného Fehlingovho roztoku (20 ml) a vzorky od 75 ml.

6.4 Konečná analýza roztoku vzorky

6.4.1 Do varnej banky sa napipetuje 20 ml zmesného Fehlingovho roztoku a také množstvo vody, ktoré sa stanovilo pri predbežnej skúške podľa 6.3.

6.4.2 Z byrety sa pridá objem roztoku vzorky (zistený podľa 6.3) menší o 1 ml. Pridá sa niekoľko varných guľôčok, obsah banky sa premieša krútením, nechá sa zovrieť a titruje sa tak, ako už bolo uvedené (6.3). Konečný bod treba dosiahnuť do minúty od pridania roztoku metylénovej modrej. Konečná spotreba je V1.

7. Vyjadrenie výsledkov vrátane metódy výpočtu a presnosti skúšobnej metódy

7.1 Vzorec a postup výpočtu

Obsah redukujúcich cukrov vo vzorke vyjadrený ako invertný cukor sa vypočíta takto:

Vzorec 05

kde je X percento redukujúcich cukrov (ako invertný cukor),

C0 koncentrácia roztoku analytickej vzorky v gramoch na 100 ml,

V0 spotreba štandardného invertného roztoku v mililitroch na titráciu pri štandardizácii,

V1 spotreba roztoku analytickej vzorky v mililitroch pri presnej analýze podľa 6.4.2,

f korekčný faktor na prepočet koncentrácie sacharózy v roztoku analytickej vzorky.

Hodnoty sú uvedené v tabuľke č. 2.

Tabuľka č. 2 – Hodnoty korekčného faktora f na prepočet koncentrácie sacharózy

Sacharóza
(g vo vriacej zmesi)
Korekčný faktor f
01,000
0,50,982
1,00,971
1,50,962
2,00,954
2,50,946
3,00,939
3,50,932
4,00,926
4,50,920
5,00,915
5,50,910
6,00,904
6,50,898
7,00,893
7,50,888
8,00,883
8,50,878
9,00,874
9,50,869
10,0 0,864

Korekcie pre rozličné obsahy sacharózy v roztoku analytickej vzorky sa dajú vypočítať z tabuľky interpoláciou.
Približná koncentrácia sacharózy sa dá zistiť, keď sa od koncentrácie celkovej rozpustenej sušiny vyjadrenej ako sacharóza, zistenej podľa indexu lomu roztoku pri použití metódy uvedenej v tomto dokumente, odčíta koncentrácia rozpustenej sušiny invertného cukru; na účely tohto výpočtu sa odhadnuté f rovná 1,0.

7.2 Opakovateľnosť

Rozdiel medzi výsledkami dvoch stanovení vykonaných na tej istej vzorke tým istým analytikom pri tých istých podmienkach súčasne alebo v rýchlom slede za sebou nesmie presiahnuť 1,0 % z ich aritmetického priemeru.

Metóda 8: Určenie dextrózového ekvivalentu
(Laneho-Eynonova konštanta)

1. Predmet a oblasť použitia
Touto metódou sa stanoví dextrózový ekvivalent v

glukózovom sirupe,

sušenom glukózovom sirupe,

monohydrátu dextrózy,

bezvodej dextróze.

2. Definícia

2.1 Redukčná sila: množstvo redukujúcich cukrov stanovených popísanou metódou vyjadrené ako bezvodá D-glukóza a vypočítané v percentách na hmotnosť vzorky.

2.2 Dextrózový ekvivalent: redukčná sila vypočítaná ako percento na sušinu vzorky.

3. Podstata skúšky

Roztok vzorky sa titruje pri teplote varu definovaným objemom zmesného Fehlingovho roztoku s použitím metylénovej modrej ako indikátora, pričom sa prísne dodržiavajú definované podmienky.

4. Chemikálie

5. Fehlingov roztok

5.1.1 Roztok A: Vo vode sa rozpustí 69,3 g pentahydrátu síranu meďnatého (CuSO4.5H20) a objem odmernej banky sa doplní na 1 000 ml.

5.1.2 Roztok B: Vo vode sa rozpustí 346,0 g tetrahydrátu vínanu sodno-draselného (KNaC4H4O6.4H2O) a 100,0 g hydroxidu sodného. Objem roztoku sa doplní na 1 000 ml. Ak sa vytvoril sediment, číry roztok sa musí dekantovať.
Uvedené roztoky (4.1.1 a 4.1.2) sa musia skladovať v hnedých fľašiach.

5.1.3 Príprava zmesného Fehlingovho roztoku

Do čistej suchej kadičky sa napipetuje 50 ml roztoku B (4.1.2), potom 50 ml roztoku A (4.1.1) a dobre sa premieša.

5.1.4 Zmesný Fehlingov roztok sa nesmie skladovať. Treba ho každý deň pripraviť čerstvý a štandardizovať (6.1).

5.2 Bezvodá dextróza (D-glukóza) (C6H12O6)

Túto látku treba pred použitím štyri hodiny sušiť vo vákuovej sušiarni pri (100 ± 1) oC alebo nižšej teplote a pri vnútornom tlaku približne 10 kPa.

5.3 Štandardný roztok glukózy, 0,600 g/100 ml

S presnosťou na 0,1 mg sa naváži 0,6 g bezvodej dextrózy (4.2), rozpustí sa vo vode, roztok sa kvantitatívne prenesie do 100 ml odmernej banky (5.4), doplní sa po značku a premieša. Tento roztok sa musí v deň použitia pripraviť čerstvý.

5.4 Roztok metylénovej modrej, 0,1 g/100 ml

0,1 g metylénovej modrej sa rozpustí v 100 ml vody.

6. Prístroje a pomôcky

6.1 Varné banky s úzkym hrdlom, 250 ml.

6.2 Byreta, 50 ml s delením na 0,05 ml.

6.3 Nedelené pipety, 20 ml a 50 ml.

6.4 Odmerné banky, 100 ml a 500 ml.

6.4.1 Vyhrievacie zariadenie vhodné na udržiavanie varu tak, ako je uvedené v bode 6.1, umožňujúce pozorovanie farebnej zmeny v konečnom bode bez toho, aby bolo treba varnú banku (5.1) odstaviť z ohrevu (6.1.7, poznámka 2).

6.5 Stopky indikujúce najmenej jednu sekundu.

7. Postup skúšky

7.1 Štandardizácia Fehlingovho roztoku

7.1.1 Do čistej suchej varnej banky (5.1) sa napipetuje 25 ml Fehlingovho roztoku (4.1.3).

7.1.2 Byreta (5.2) sa naplní štandardným roztokom glukózy (4.3) a hladina sa nastaví na nulovú značku.

7.1.3 Do varnej banky (5.1) sa z byrety vypustí 18 ml štandardného roztoku glukózy (4.3) a obsah banky sa premieša krútením.

7.1.4 Banka sa postaví na vyhrievacie zariadenie (5.5) nastavené tak, aby obsah banky začal vrieť v priebehu (120 ± 15) sekúnd. Ohrev sa počas celej titrácie už nesmie upravovať. Takto sa zabezpečí, že keď už došlo k varu, rýchle sa vyvíja para, čo pokračuje počas celej titrácie, čím sa čo možno najviac brzdí prístup vzduchu do titračnej banky a opätovná oxidácia jej obsahu.

7.1.5 Keď sa začne var, musia sa zapnúť stopky.

7.1.6 Obsah banky sa nechá variť presne 120 sekúnd, čo sa musí sledovať stopkami. Ku koncu uvedeného času sa pridá 1 ml roztoku metylénovej modrej (4.4).

7.1.7 Keď už var trval 120 sekúnd (podľa stopiek), začne sa pridávať do varnej banky (5.1) z byrety (6.1.2) štandardný roztok glukózy po 0,5 ml dávkach, kým nezmizne farba metylénovej modrej. Strata farby metylénovej modrej sa najlepšie pozoruje na hornej hladine obsahu titračnej banky, ktorá takmer neobsahuje červenú zrazeninu oxidu meďného. Strata farby je ľahšie viditeľná, keď sa použije nepriame osvetlenie. Pomáha biele pozadie za titračnou bankou. Počas stanovenia musí byť byreta čo najlepšie izolovaná od zdroja ohrevu. Treba si poznamenať celkový objem štandardného roztoku glukózy, ktorý sa pridal po 0,5 ml dávkach (X ml).

7.1.8 Zopakuje sa postup podľa bodov 6.1.1 a 6.1.2.

7.1.9 Z byrety sa do varnej banky (5.1) vypustí (X – 0,3) ml štandardného roztoku glukózy.

7.1.10 Zopakuje sa postup podľa bodov 6.1.4 až 6.1.6.

7.1.11 Keď už var trval 120 sekúnd, začne sa pridávať do varnej banky (5.1) z byrety štandardný roztok glukózy najskôr po 0,2 ml dávkach, potom po kvapkách, kým nezmizne farba metylénovej modrej. Ku koncu má byť čas medzi dvomi za sebou nasledujúcimi prídavkami štandardného roztoku glukózy 10 až 15 sekúnd. Pridávanie sa musí skončiť v priebehu 60 sekúnd, aby celkový čas varenia nebol dlhší ako 180 sekúnd. Aby sa to zabezpečilo, môže byť potrebná tretia titrácia s trocha pomalším, vhodne upraveným pôvodným prídavkom štandardného roztoku glukózy (6.1.9).

7.1.12 Zaznamená sa objem štandardného roztoku glukózy (V0) spotrebovaný do konečného bodu titrácie. Do procesu je vždy zapojený subjektívny faktor, preto musí každý pracovník vykonať svoju vlastnú štandardizáciu a používať pri výpočte vlastnú hodnotu V0 (9.7.1).

7.1.13 V0 má byť medzi 19,0 ml a 21,0 ml štandardného roztoku glukózy (4.3). Ak je V0 mimo uvedeného rozsahu, musí sa vhodne upraviť koncentrácia Fehlingovho roztoku A (4.1.1) a zopakovať postup štandardizácie.

7.1.14 Keďže je presne známy objem V0, pri každodennej štandardizácii zmesného Fehlingovho roztoku stačí jedna titrácia, pričom sa spočiatku pridáva štandardný roztok glukózy v množstve (V0 – 0,5) ml.

7.2 Predbežná analýza pripravenej vzorky

7.2.1 Ak nie je redukčná sila (2.1) pripravenej vzorky približne známa, musí sa vykonať predbežná analýza, aby sa získal približný údaj, ktorý umožní odhadnúť návažok skúšobnej vzorky (6.3).

Analýza sa vykoná takto:

7.2.2 Pripraví sa roztok vzorky s koncentráciou 2g/100 ml (Z).

7.2.3 Postupuje sa ako pri 6.1.2, pričom sa namiesto štandardného roztoku glukózy použije roztok vzorky (6.2.2).

7.2.4 Postupuje sa podľa 6.1.1.

7.2.5 Postupuje sa podľa 6.1.3 s použitím 10,0 ml vzorky namiesto 18,0 ml štandardného roztoku glukózy.

7.2.6 Postupuje sa podľa 6.1.4.

7.2.7 Obsah banky sa ohreje do varu. Pridá sa 1 ml roztoku metylénovej modrej (4.4).

7.2.8 Len čo sa začne var, musia sa nastaviť stopky (5.6) a začne sa pridávať do banky roztok vzorky z byrety po 1,0 ml dávkach asi v 10-sekundových intervaloch, kým nezmizne modrá farba metylénovej modrej. Zaznamená sa celková spotreba vzorky pri titrácii (Y ml).

7.2.9 Hodnota Y nesmie byť väčšia ako 50 ml. V opačnom prípade sa musí zvýšiť koncentrácia roztoku vzorky (Z) a zopakovať titrácia.

7.2.10 Približná redukčná sila (RPp) pripravenej vzorky v hmotnostných percentách je

Vzorec 06

kde je V0 objem štandardného roztoku glukózy v ml,

Y celková spotreba vzorky po titrácii v ml,

Z koncentrácia roztoku vzorky (2 g/100 ml).

7.3 Skúšobná vzorka

S presnosťou na 0,1 mg sa naváži toľko pripravenej vzorky, aby obsahovala 2,85 g až 3,15 g redukujúcich cukrov vyjadrených ako bezvodá D-glukóza pri použití výpočtu z približného zistenia redukčnej sily (9.2.1) alebo z približného údaja získaného z bodu 6.2.10.

7.4 Roztok skúšobnej vzorky

Skúšobná vzorka sa rozpustí v odmernej banke vo vode a objem sa doplní na 500 ml.

7.5 Určenie

7.5.1 Podľa 6.1.1.

7.5.2 Byreta (5.2) sa naplní skúšobným roztokom (6.4) a hladina sa nastaví na nulu.

7.5.3 Do varnej banky sa vypustí z byrety 18,5 ml skúšobného roztoku. Obsah banky sa krúživým pohybom premieša.

7.5.4 Podľa bodu 6.1.4.

7.5.5 Podľa bodu 6.1.5.

7.5.6 Podľa bodu 6.1.6.

7.5.7 Podľa bodu 6.1.7, pričom sa namiesto štandardného roztoku glukózy použije roztok vzorky.

7.5.8 Podľa bodu 6.1.8.

7.5.9 Podľa bodu 6.1.9, pričom sa namiesto štandardného roztoku glukózy použije roztok vzorky.

7.5.10 Podľa bodu 6.1.10.

7.5.11 Podľa bodu 6.1.11, pričom sa namiesto štandardného roztoku glukózy použije roztok vzorky.

7.5.12 Poznamená sa objem roztoku vzorky (V1) spotrebovaného do konečného bodu titrácie.

7.5.13 Objem skúšobného roztoku V1 musí byť v rozsahu od 19,0 ml do 21,0 ml. Ak je V1 mimo uvedeného rozsahu, musí sa vhodne upraviť koncentrácia skúšobného roztoku a kroky podľa bodov 6.5.1 až 6.5.12 zopakovať.

7.5.14 Z toho istého roztoku vzorky sa musia vykonať dve stanovenia.

8. Vyjadrenie výsledkov vrátane metódy výpočtu a presnosti skúšobnej metódy

8.1 Vzorec a postup výpočtu

8.1.1 Redukčná sila

Redukčná sila RP sa vypočíta ako hmotnostné percento pripravenej vzorky takto:

Vzorec 07

kde je V0 spotreba štandardného glukózového roztoku (4.3) v ml na titráciu pri štandardizácii (6.1),

V1 je titračná spotreba skúšobného roztoku (6.4) v ml pri určení (6.5),

M je hmotnosť skúšobnej vzorky (6.3) použitej na prípravu 500 ml skúšobného roztoku v g.

8.1.2 Dextrózový ekvivalent

Dextrózový ekvivalent DE sa vypočíta ako hmotnostné percento na sušinu pripravenej vzorky podľa

Vzorec 08

kde je RP redukčná sila vyjadrená ako hmotnostné percento v pripravenej vzorke (7.1.1),

D obsah sušiny v pripravenej vzorke vyjadrený ako hmotnostné percento.

8.1.3 Opakovateľnosť

Rozdiel medzi výsledkami dvoch stanovení vykonaných na tej istej vzorke tým istým analytikom pri tých istých podmienkach súčasne alebo v rýchlom slede za sebou nesmie presiahnuť 1,0 % z ich aritmetického priemeru.

Metoda 9: Určenie síranového popola

1. Predmet a oblasť použitia

Metódou sa stanoví obsah síranového popola v

glukózovom sirupe,

sušenom glukózovom sirupe,

monohydrátu dextrózy,

bezvodej dextróze.

2. Definícia

Obsah síranového popola: množstvo síranového popola určené popísanou metódou.

3. Podstata skúšky

Stanoví sa zvyšková (reziduálna) hmotnosť skúšobnej vzorky po spálení v oxidačnej atmosfére pri 525 oC za prítomnosti kyseliny sírovej a vypočíta sa ako hmotnostné percento zo vzorky.

4. Chemikálie

4.1 Kyselina sírová, zriedený roztok: k 300 ml vody sa pomaly a opatrne pridá 100 ml koncentrovanej kyseliny sírovej (r pri 20 oC = 1,84 g/ml, 96 % hmotnosti), pričom sa roztok stále mieša a chladí.

5. Prístroje a pomôcky

5.1 Elektrická muflová pec vybavená pyrometrom a schopná udržiavať teplotu (525 ± 25) oC.

5.2 Analytické váhy vážiace s presnosťou na 0,1 mg.

5.3 Platinové alebo kremíkové spaľovacie nádobky vhodnej veľkosti.

5.4 Exsikátor obsahujúci čerstvo aktivovaný silikagél alebo ekvivalentné vysúšacie činidlo s indikátorom obsahu vody.

6. Postup skúšky

Nádobka (5.3) sa zahreje pri teplote spaľovania, ochladí sa v exsikátore a odváži sa. Do nádobky sa odváži s presnosťou na 0,1 mg presne 5 g glukózového sirupu alebo sušeného glukózového sirupu, prípadne približne 10 g monohydrátu dextrózy alebo bezvodej dextrózy. Pridá sa 5 ml roztoku kyseliny sírovej (4.1). Kyselina sírová sa pridáva v malých množstvách, aby nedošlo k nadmernému dymeniu. Vzorka v nádobke sa opatrne ohrieva nad plameňom alebo na horúcej platni, kým kompletne nezuhoľnatie. Spaľovanie, pri ktorom unikajú zo vzorky plyny, treba robiť v digestóriu. Počas prvého spaľovania vzorky treba pracovať opatrne, aby nedošlo k stratám vzorky alebo popola vykypením. Nádobka (5.3) sa vloží do muflovej pece (5.1) vyhriatej na (525 ± 25) oC a ponechá sa v nej, kým nevznikne biely popol. Zvyčajný čas spaľovania sú dve hodiny. Ak sa vzorka ťažko spaľuje (t. j. zostávajú čierne častice), treba nádobku z muflovej pece vybrať, ochladiť, zvyšok navlhčiť niekoľkými kvapkami vody a vrátiť do pece.

7. Vyjadrenie výsledkov vrátane metódy výpočtu a presnosti skúšobnej metódy

7.1 Vzorec a postup výpočtu

Obsah síranového popola (S) vyjadrený hmotnostným percentom na analyzovanú vzorku je

Vzorec 09

kde je m1 hmotnosť popola v gramoch,

m0 hmotnosť skúšobnej vzorky v gramoch.

7.2 Opakovateľnosť

Rozdiel medzi výsledkami dvoch stanovení vykonaných na tej istej vzorke tým istým analytikom pri tých istých podmienkach súčasne alebo v rýchlom slede za sebou nesmie presiahnuť 2 % z ich aritmetického priemeru.

Metóda 10: Určenie polarizácie

1. Predmet a oblasť použitia

Metódou sa stanovuje polarizácia

polobieleho cukru,

cukru alebo bieleho cukru,

extra bieleho cukru.

2. Definícia

Polarizácia: otočenie roviny polarizovaného svetla tekutého cukru v trubici s dĺžkou 200 mm, pričom 100 ml roztoku obsahuje 26 g cukru.

3. Podstata skúšky

Polarizácia sa stanoví sacharometrom alebo polarimetrom pri podmienkach opísaných v nasledujúcom postupe.

4. Chemikálie

4.1 Číridlo: roztok alkalického octanu olovnatého.
Asi do 1 000 ml čerstvo zovretej vody sa pridá 560 g suchého alkalického octanu olovnatého. Zmes sa nechá 30 minút variť a potom sa nechá cez noc odstáť. Tekutý supernatant sa odleje a zriedi sa s čerstvo prevarenou vodou na roztok, ktorý má pri 20 oC hustotu 1,25 g/ml. Roztok treba chrániť pred stykom so vzduchom.

4.2 Dietyléter

5. Prístroje a pomôcky

5.1 Sacharometer kalibrovaný na návažok 26 g sacharózy alebo polarimeter. Toto zariadenie musí byť inštalované v miestnosti, kde sa udržiava teplota okolo 20 oC. Prístroj sa kalibruje na kremenné doštičky.

5.2 Zdroj svetla zo sodíkovej lampy. Môže sa použiť aj iný zdroj svetla, ak sa prístroj kalibruje kremennými doštičkami overenými pri tomto zdroji svetla. V tomto prípade je prevodový koeficient v bode 12.7.1 iný ako 2,889 (zistí sa pri kalibrácii etalónovými doštičkami).

5.3 Presné polarimetrické trubice s dĺžkou 200 mm, ktorých chyba nie je väčšia ako ± 0,02 mm.

5.4 Analytické váhy s presnosťou na 0,1 mg.

5.5 Jednotlivo kalibrované 100 ml odmerné banky so zátkami. Banky so skutočným objemom v rozsahu (100 ± 0,01) ml sa dajú použiť bez korekcie. Banky s objemom mimo tohto rozsahu sa môžu použiť s korekciou, ktorá upraví ich objem na 100 ml.

5.6 Vodný kúpeľ regulovaný termostatom na (20,0 ± 0,1) oC.

6. Postup skúšky

6.1 Príprava roztoku

Čo možno najrýchlejšie sa naváži (26,000 ± 0,002) g vzorky, ktorá sa kvantitatívne prenesie do 100 ml odmernej banky (5.5) s použitím približne 60 ml vody. Vzorka sa rozpustí krúžením banky, nie však ohrevom. Tam, kde treba vzorku vyčíriť, pridá sa 0,5 ml činidla octanu olovnatého (4.1). Roztok sa premieša krúžením banky a steny banky sa oplachujú dovtedy, kým hladina v banke nesiaha asi 10 mm pod objemovú rysku. Banka sa vloží do vodného kúpeľa (5.6), kým sa teplota tekutého cukru neustáli. Objem banky sa doplní vodou. Banka sa zazátkuje a dôkladne sa premieša najmenej trojnásobným prevrátením. Nechá sa päť minút stáť.

6.2 Polarizácia

Pri všetkých nasledujúcich krokoch sa dodržiava teplota (20,0 ± 0,1) oC.

6.2.1 Prístroj sa vynuluje.

6.2.2 Vzorka sa prefiltruje cez filtračný papier. Prvých 10 ml filtrátu sa vyleje. Získa sa ďalších asi 50 ml filtrátu.

6.2.3 Polarimetrická trubica sa dvakrát prepláchne roztokom vzorky (6.2.2).

6.2.4 Trubica sa opatrne naplní pri (20,0 ± 0,1) oC roztokom vzorky. Prevrátením sa odstránia vzduchové bubliny. Naplnená trubica sa vloží do prístroja.

6.2.5 Odčíta sa uhol otočenia roviny polarizovaného svetla v sacharimetrickej stupnici s presnosťou na 0,05 oS alebo v uhlovej stupnici s presnosťou 0,02o. Meranie sa štyrikrát zopakuje. Zohľadní sa priemer z piatich odčítaní.

7. Vyjadrenie výsledkov vrátane metódy výpočtu a presnosti skúšobnej metódy

7.1 Vzorec a postup výpočtu

Výsledky sa vyjadria v stupňoch sacharimetrickej stupnice (oS) s presnosťou na 0,1oS. Pri prevode uhlovej stupnice na sacharimetrickú sa použije prevodový vzorec: oS = uhlové stupne x 2,889, kde oS je percentuálny obsah opticky aktívneho cukru vo vzorke vyjadreného ako sacharóza.

7.1.1 Opakovateľnosť

Rozdiel medzi výsledkami dvoch stanovení vykonaných na tej istej vzorke tým istým analytikom pri tých istých podmienkach súčasne alebo v rýchlom slede za sebou, pričom výsledok každého stanovenia reprezentuje priemer z piatich odčítaní, nesmie presiahnuť 0,1oS.

Časť C:

Tabuľka: Indexy lomu (n) roztokov sacharózy pri 20 oC

(k metóde 3: Určenie celkovej sušiny refraktometricky)

Hodnoty n pri 20 oC sú vypočítané z rovnice, ktorú vyvinul K. Rosenhauer pre ICUMSA, naprogramoval a počítačovo spracoval Frank G. Carpenter z USDA a ktorá bola publikovaná v Sugar J. 33, 15-22 (jún 1970). Index lomu sa meral pri 20 oC s nulovou čiarou pre Na. Brix (% hmotnosti sacharózy) sa získalo vážením na vzduchu pri 20 oC, tlaku 760 Torr (mm Hg) a relatívnej vlhkosti 50 %. Ide o náhradu predchádzajúcej tabuľky 47.012, 11. vydanie prevzaté z Intern. Sugar J. 39, 22 s (1937).

N
(20 oC)
sacharóza
(% hmotnosti)
n
(20 oC)
sacharóza
(% hmotnosti)
n
(20 oC)
sacharóza
(% hmotnosti)
n
(20 oC)
sacharóza
(% hmotnosti)
n
(20 oC)
sacharóza
(% hmotnosti)
1,33300,0091,33652,4361,34004,8211,34357,1641,34709,466
1,33310,0781,33662,5051,34014,8881,34367,2301,34719,531
1,33320,1491,33672,5741,34024,9561,34377,2961,34729,596
1,33330,2181,33682,6421,34035,0231,34387,3621,34739,661
1,33340,2881,33692,7111,34045,0911,34397,4291,34749,726
          
1,33350,3581,33702,7791,34055,1581,34407,4951,34759,791
1,33360,4281,33712,8481,34065,2251,34417,5611,34769,856
1,33370,4981,33722,9171,34075,2931,34427,6271,34779,921
1,33380,5671,33732,9851,34085,3601,34437,6931,34789,986
1,33390,6371,33743,0531,34095,4271,34447,7591,347910,051
          
1,33400,7071,33753,1221,34105,4941,34457,8251,348010,116
1,33410,7761,33763,1901,34115,5621,34467,8911,348110,181
1,33420,8461,33773,2591,34125,6291,34477,9571,348210,246
1,33430,9151,33783,3271,34135,6961,34488,0231,348310,311
1,33440,9851,33793,3951,34145,7631,34498,0891,348410,375
          
1,33451,0541,33803,4631,34155,8301,34508,1551,348510,440
1,33461,1241,33813,5321,34165,8971,34518,2211,348610,505
1,33471,1931,33823,6001,34175,9641,34528,2871,348710,570
1,33481,2631,33833,6681,34186,0311,34538,3521,348810,634
1,33491,3321,33843,7361,34196,0981,34548,4181,348910,699
          
1,33501,4011,33853,8041,34206,1651,34558,4841,349010,763
1,33511,4701,33863,8721,34216,2311,34568,5501,349110,828
1,33521,5401,33873,9401,34226,2981,34578,6151,349210,892
1,33531,6091,33884,0081,34236,3651 34588,6811,349310,957
1,33541,6781,33894,0761,34246,4321,34598,7461,349411,021
          
1,33551,7471,33904,1441,34256,4981,34608,8121,349511,086
1,33561,8161,33914,2121,34266,5651,34618,8781,349611,150
1,33571,8851,33924,2791,34276,6321,34628,9431,349711,215
1,33581,9541,33934,3471,34286,6981,34639,0081,349811,279
1,33592,0231,33944,4151,34296,7651,34649,0741,349911,343
          
1,33602,0921,33954,4831,34306,8311,34659,1391,350011,407
1,33612,1611,33964,5501,34316,8981,34669,2051,350111,472
1,33622,2301,33974,6181,34326,9641,34679,2701,350211,536
1,33632,2991,33984,6861,34337,0311,34689,3351,350311,600
1,33642,3671,33994,7531,34347,0971,34699,4001,350411,664
          
1,350511,7281,356015,2071,361518,5951,367021,8961,372525,114
1,350611,7921,356115,2691,361618,6551,367121,9551,372625,172
1,350711,8561,356215,3321,361718,7161,367222,0141,372725,230
1,350811,9201,356315,3941,361818,7771,167322,0731,372825 287
1,350911,9841,356415,4561,361918,8371,367422,1321,372925,345
1,351012,0481,356515,5181,362018,8981,367522,1921,373025,403
1,351112,1121,356615,5811,362118,9591,367622,2511,373125,460
1,351212,1761,356715,6431,362219,0191,167722,3101,373225,518
1,351312,2401,356815,7051,362319,0801,367822,3691,373325,576
1,351412,3041,356915,7671,362419,1411,367922,4281,373425,633
          
1,351512,3681,357015,8291,362519,2011,368022,4871,373525,691
1,351612,4311,357115,8911,362619,2621,368122,5461,373625,748
1,351712,4951,357215,9531,362719,3221,368222,6051,373725,806
1,351812,5591,357316,0161,362819,3821,368322,6641,373825,863
1,351912,6231,357416,0781,362919,4431,368422,7231,373925,921
          
1,352012,6861,357516,1401,363019,5031,368522,7811,374025,978
1,352112,7501,357616,2011,363119,5641,368622,8401,374126,035
1,352212,8131,357716,2631,363219,6241,368722,8991,374226,093
1,352312,8771,357816,3251,363319,6841,368822,9581,374326,150
1,352412,9401,357916,3871,363419,7451,368923,0171,374426,207
          
1,352513,0041,358016,4491,363519,8051,369023,0751,374526,265
1,352613,0671,358116,5111,363619,8651,369123,1341,374626,322
1,352713,1311,358216,5731,363719,9251,369223,1931,374726,379
1,352813,1941,358316,6341,363819,9851,369323,2511,374826,436
1,352913,2581,358416,6961,363920,0451,369423,3101,374926,493
          
1,353013,3211,358516,7581,364020,1061,369523,3691,375026,551
1,353113,3841,358616,8191.364120,1661,369623,4271,375126,608
1,353213,4481,358716,8811,364220,2261,369723,4861,375226,665
1,353313,5111,358816,9431,364320,2861,369823,5441,375326,722
1,353413,5741,338917,0041,364420,3461,369923,6031,375426,779
          
1,353513,6371,359017,0661,364520,4061,370023,6611,375526,836
1,353613,7001,359117,1271,364620,4661,370123,7201,375626,893
1,353713,7631,359217,1891,364720,5251,370223,7781,375726,950
1,353813,8261,359317,2501,364820,5851,370323,8361,375827,007
1,353913,8901,359417,3111,364920,6451,370423,8951,375927,064
          
1,354013,9531,359517,3731,365020,7051,370523,9531,376027,121
1,354114,0161,359617,4341,365120,7651,370624,0111,376127,178
1,354214,0791,359717,4961,365220,8251,370724,0701,376227,234
1,354314,1411,359817,5571,365320,8841,370824,1281,376327,291
1,354414,2041,359917,6181,365420,9441,370924,1861,376427,348
          
1,354514,2671,360017,6791,365521,0041,371024,2441,376527,405
1,354614,3301,360117,7411,365621,0631,371124,3021,376527,462
1,354714,3931,360217,8021,365721,1231,371224,3611,376727,518
1,354814,4561,360317,8631,365821,1831,371324,4191,376827,575
1,354914,5181,360417,9241,365921,2421,371424,4771,376927,632
1,355014,5811,360517,9851,366021,3021,371524,5351,377027,688
1,355114,6441,360618,0461,366121,3611,371624,5931,377127,745
1,355214,7071,360718,1071,366221,4211,371724,6511,377227,802
1,355314,7691,360818,1681,356321,4801,371824,7091,377327,858
1,355414,8321,360918,2291,366421,5401,371924,7671,377427,915
          
1,355514,8941,361018,2901,366521,5991,372024,8251,377527,971
1,355614,9571,361018,3511,366621,6581,372124,8831,377628,028
1,355715,0191,361118,4121,366721,7181,372224,9411,377728,084
1,355815,0821,361318,4731,366821,7771,372324,9981,377828,141
1,355915,1441,361418,5341,366921,8361,372425,0561,377928,197
          
1,378028,2531,383531,3171,389034,3101,394537,2331,400040,091
1,378128,3101,383631,3721,389134,3631,394637,2861,400140,142
1,378228,3661,383731,4281,389234,4171,394737,3381,400240,194
1,378328,4221,383831,4821,389334,4711,394837,3911,400340,245
1,378428,4791,383931,5371,389434,5241,394937,4431,400440,296
          
1,378528,5351,384031,5921,389534,5781,395037,4951,400540,348
1,378628,5911,384131,6471,389634,6321,395137,5481,400640,399
1,378728,6481,384231,7021,389734,6851,395237,6001,400740,450
1,378828,7041,384331,7571,389834,7391,395337,6531,400840,501
1,378928,7601,384431,8121,389934,7931,395437,7051,400940,553
          
1,379028,8161,384531,8671,390034,8461,395537,7571,401040,604
1,379128,8721,384631,9221,390134,9001,395637,8101,401140,655
1,379228,9281,384731,9761,390234,9531,395737,8621,401240,706
1,379328,9841,384832,0311,390335,0071,395837,9141,401340,757
1,379429,0401,384932,0861,390435,0601,395937,9671,401440,808
          
1,379529,0961,385032,1401,390535,1141,396038,0191,401540,860
1,379629,1521,385132,1951,390635,1671,396138,0711,401640,911
1,379729,2081,385232,2501,390735,2201,396238,1231,401740,962
1,379829,2641,385332,3041,390835,2741,396338,1751,401841,013
1,379929,3201,385432,3591,390935,3271,396438,2281,401941,064
          
1,380029,3761,385532,4141,391035,3801,396538,2801,402041,115
1,380129,4321,385632,4681,391135,4341,396638,3321,402141,166
1,380229,4881,385732,5231,391235,4871,396738,3841,402241,217
1,380329,5441,385832,5771,391335,5401,396838,4361,402341,268
1,380429,6001,385932,6321,391435,5931,396938,4881,402441,318
          
1,380529,6551,386032,6861,391535,6471,397038,5401,402541,369
1,380629,7111,386132,7411,391635,7001,397138,5921,402641,420
1,380729,7671,386232,7951,391735,7531,397238,6441,402741,471
1,380829,8231,386332,8491,391835,8061,397338,6961,402841,522
1,380929,8781,386432,9041,391935,8591,397438,7481,402941,573
1,381029,9341,386532,9581,392035,9121,397538,8001,403041,623
1,381129,9891,386633,0131,392135,9661,397638,8521,403141,674
1,381230,0451,386733,0671,392236,0191,397738,9041,403241,725
1,381330,1011,386833,1211,392336,0721,397838,9551,403341,776
1,381430,1561,388933,1751,392436,1251,397939,0071,403441,826
1,381530,2121,387033,2301,392536,1781,398039,0591,403541,877
1,381630,2671,387133,2841,392636,2311,398139,1111,403641,928
1,381730,3231,387233,3381,392736,2841,398239,1631,403741,978
1,381830,3781,387333,3921,392836,3371,398339,2141,403842,029
1,381930,4341,387433,4461,392936,3891,398439,2661,403942,080
          
1,382030,4891,387533,5001,393036,4421,398539,3181,404042,130
1,382130,5441,387633,5551,393136,4951,398639,3701,404142,181
1,382230,6001,387733,6091,393236,5481,398739,4211,404242,231
1,382330,6551,387833,6631,393336,6011,398839,4731,404342,282
1,382430,7111,387933,7171,393436,6541,398939,5251,404442,332
          
1,382530,7661,388033,7711,393536,7061,399039,5761,404542,383
1,382630,8211,388133,8251,393636,7591,399139,6281,404642,433
1,382730,8761,388233,8791,393736,8121,399239,6791,404742,484
1,382830,9321,388333,9331,393836,8651,399339,7311,404842,534
1,382930,9871,388433,9871,393936,9171,399439,7821,404942,585
1,383031,0421,388534,0401,394036,9701,399539,8341,405042,635
1,383131,0971,388634,0941,394137,0231,399639,8851,405142,685
1,383231,1521,388734,1481,394237,0751,399739,9371,405242,736
1,383331,2071,388834,2021,394337,1281,399839,9881,405342,786
1,383431,2621,388934,2561,394437,1801,399940,0401,405442,836
          
1,405542,8871,411045,6231,416548,3021,422050,9281,427553,501
1,405642,9371,411145,6721,416648,3501,422150,9751,427653,548
1,405742,9871,411245,7211,416748,3991,422251,0221,427753,594
1,405843,0371,411345,7701,416848,4471,422351,0691,427853,640
1,405943,0881,411445,8201,416948,4951,422451,1161,427953,686
1,406043,1381,411545,8691,417048,5431,422551,1641,428053,733
1,406143,1881,411645,9181,417148,5911,422651,2111,428153,779
1,406243,2381,411746,9671,417248,6391,422751,2581,428253,825
1,406343,2881,411846,0161,417348,6871,422851 3051,428353,871
1,406443,3381,411946,0651,417448,7351,422951,3521,428453,918
          
1,406543,3881,412046,1141,417548,7841,423051,3991,428553,964
1,406643,4391,412146,1631,417648,8321,423151,4461,428654,010
1,406743,4891,412246,2121,417748,8801,423251,4931,428754,056
1,406843,5391,412346,2611,417848,9281,423351,5401,428854,102
1,406943,5891,412446,3101,417948,9761,423451,5871,428954,148
          
1,407043,6391,412546,3591,418049,0231,423551,6341,429054,194
1,407143,6891,412646,4081,418149,0711,423651,6811,429154,241
1,407243 7391,412746,4571,418249,1191,423751,7281,429254,287
1,407343,7891,412846,5061,418349,1671,423851,7751,429354,333
1,407443,8381,412946,5551,418449,2151,423951,8221,429454,379
          
1,407543,8881,413046,6041,418549,2631,424051,8691,429554,425
1,407643,9381,413146,6521,418649,3111,424151,9161,429654,471
1,407743,9881,413246,7011,418749,3591,424251,9631,429754,517
1,407844,0381,413346,7501,418849,4071,424352,0101,429854,563
1,407944,0881,413446,7991,418949,4541,424452,0571,429954,609
1,408044,1381,413546,8481,419049,5021,424552,1041,430054,655
1,408144,1871,413646,8961,419149,5501,424652,1501,430154,701
1,408244,2371,413746,9451,419249,5981,424752,1971,430254,746
1,408344,2871,413846,9941,419349,6451,424852,2441,430354,792
1,408444,3371,413947,0431,419449,6931,424952,2911,430454,838
          
1,408544,3861,414047,0911,419549,7411,425052,3381,430554,884
1,408644,4361,414147,1401,419649,7881,425152,3841,430654,930
1,408744,4861,414147,1881,419749,8361,425252,4311,430754,976
1,408844,5351,414347,2371,419849,8841,425352,4781,430855,022
1,408944,5851,414447,2861,419949,9311,425452,5241,430955 067
          
1,409044,6351,414547,3341,420049,9791,425552,5711,431055,113
1,409144,6841,414647,3831,420150,0271,425652,6181,431155,159
1,409244,7341,414747,4311,420250,0741,425752,6641,431255,205
1,409344,7831,414847,4801,420350,1221,425852,7111,431355,250
1,409444,8331,414947,5281,420450,1691,425952,7581,431455,296
          
1,409544,8821,415047,5771,420550,2171,426052,8041,431555,342
1,409644,9321,415147,6251,420650,2641,426152,8511,431655,388
1,409744,9811,415247,6741,420750,3121,426152,8971,431755,433
1,409845,0311,415347,7221,420850,3591,426352,9441,431855,479
1,409945,0801,415447,7711,420950,4071,426452,9901,431955,524
1,410045,1301,415547,8191,421050,4541,426553,0371,432055,570
1,410143,1791,415647,8681,421150,5021,426653,0831,432155,616
1,410245,2281,415747,9161,421250,5491,426753,1301,432255,661
1,410345,2781,415847,9641,421350,5961,426853,1761,432355,707
1,410445,3271,415948,0131,421450,6441,426953,2231,432455,752
          
1,410545,3761,416048,0611,421550,6911,427053,2691,432555,798
1,410645,4261,416148,1091,421650,7381,427153,3161,432655,844
1,410745,4751,416248,1581,421750,7861,427253,3621,432755,889
1,410845,5241,416348,2061,421850,8331,427353,4081,432855,935
1,410945,5741,416448,2541,421950,8801,427453,4551,432955,980
          
1,433056,0261,438558,5031,444060,9351,449563,3241,455065,672
1,433156,0711,438658,5471,444160,9791,449663,3671,455165,714
1,433256,1161,438758,5921,444261,0231,449763,4101,455265,756
1,413356,1621,438858,6371,444361,0661,449863,4531,455365,798
1,433456,2071,438958,6811,444461,1101,449963,4961,455465,841
          
1,433556,2531,439058,7261,444561,1541,450063,5391,455565,883
1,433656,2981,439158,7701,444661,1981,450163,5821,455665,925
1,433756,3431,439258,8151,444761,2411,450263,6251,455765,967
1,433856,3891,439358,8591,444861,2851,450363,6681,455866,010
1,433956,4341,439458,9041,444961,3291,430463,7111,455966,052
          
1,434056,4791,439558,9481,445061,3721,450563,7541,456066,094
1,434156,5251,439658,9931,445161,4161,450663,7971,456166,136
1,434256,5701,439759,0371,445261,4601,450763,8401,456266,178
1,434356,6151,439859,0821,445361,5031,450863,8821,456366,221
1,434456,6601,439959,1261,445461,5471,450963,9251,456466,263
          
1,434556,7061,440059,1701,445561,5911,451063,9681,456566,305
1,434656,7511,440159,2151,445661,6341,451164,0111,456666,347
1,434756,7961,440259,2591,445761,6781,451264,0541,456766,389
1,434856,8411,440359,3041,445861,7211,451364,0971,456866,431
1,434956,8871,440459,3481,445961,7651,451464,1391,456966,473
          
1,435056,9321,440559,3921,446061,8091,451564,1821,457066,515
1,435156,9771,440659,4371,446161,8521,451664,2251,457166,557
1,435257,0221,440759,4811,446261,8961,451764,2681,457266,599
1,435357,0671,440859,5251,446361,9391,451864,3111,457366,641
1,435457,1121,440959,5691,446462,9831,451964,3531,457466,683
          
1,435557,1571,441059,6141,446562,0261,452064,3961,457566,725
1,435657,2021,441159,6581,446662,0701,452164,4391,457666,767
1,435757,2471,441259,7021,446762,1131,452264,4811,457766,809
1,435857,2921,441359,7461,446862,1561,452364,5241,457866,851
1,435957,3371,441459,7911,446962,2001,452464,5671,457966,893
          
1,436057,3821,441559,8351,447062,2431,452564,6091,458066,935
1,436157,4271,441659,8791,447162,2871,452664,6521,458166,977
1,436257,4721,441759,9231,447262,3301,452764,6951,458267,019
1,436357,5171,441859,9671,447362,3731,452864,7371,458367,061
1,436457,5621,441960,0111,447462,4171,452964,7801,458467,103
          
1,436557,6071,442060,0561,447562,4601,453064,8231,458567,145
1,436657,6521,442160,1001,447662,5031,453164,8651,458667,186
1,436757,6971,442260,1441,447762,5471,453264,9081,458767,228
1,436857,7421,442360,1881,447862,5901,453364,9501,458867,270
1,436957,7871,442460,2321447962,6331,453464,9931,458967,312
1,437057,8321,442560,2761,448062,6771,453565,0351,459067,354
1,437157,8771,442660,3201,448162,7201,453665,0781,459167,396
1,437257,9211,442760,3641,448262,7631,453765,1201,459267,437
1,437357,9661,442860,4081,448362,8061,453865,1631,459367,479
1,437458,0111,442960,4521,418462,8491,453965,2051,459467,521
          
1,437558,0561,443060,4961,448562,8931,454065,2481,459567,563
1,437658,1011,443160,5401,448662,9361,454165,2901,459667,604
1,437758,1451,443260,5841,448762,9791,454265,3331,459767,646
1,437858,1901,443360,6281,448863,0221,454365,3751,459867,688
1,437958,2351,443460,6721,448963,0651,454465,4171,459967,729
          
1,438058,2791,443560,7161,449063,1081,454565,4601,460067,771
1,438158,3241,443660,7591,449163,1521,454665,5021,460167,813
1,438258,3691,443760,8031,449263,1951,454765,5441,460267,854
1,438358,4131,443860,8471,449363,2381,454865,5871,460367,896
1,438453,4581,443960,8911,449463,2811,454965,6291,460467,938
          
1,460567,9791,466070,2491,471572,4821,477074,6781,482576,841
1,460668,0211,466170,2901,471672,5221,477174,7181,482676,880
1,460768,0631,466270,3311,471772,5621,177274,7581,482776,919
1,460868,1041,466370,3721,471872,6021,477374,7971,482876,958
1,460968,1461,466470,4131,471972,6431,477474,8371,482976,997
          
1,461068,1871,466570,4531,472072,6831,477574,8761,483077,036
1,461168,2291,466670,4941,472172,7231,477674,9161,483177,075
1,461168,2701,466770,5351,472272,7631,477774,9561,483277,113
1,461368,3121,466870,5761,472372,8031,477874,9951,483377,152
1,461468,3531,466970,6171,472472,8431,477975,0351,483477,191
1,461568,3951,467070,6581,472572,8841,478075,0741,483577,230
1,461668,4361,467170,6981,472672 9241,178175,1141 433677 269
1,461768,4781,467270,7391,472772,9641,478275,1531,483777,308
1,461868,5191,467370,7801,472873,0041,478375,1931,483877,347
1,461968,5611,467470,8211,472973,0441,478475,2321,483977,386
          
1,462068,6021,467570,8611,473073,0841,478575,2721,484077,425
1,462168,6431,467670,9021,473173,1241,478675,3111,484177,463
1,462268,6851,467770,9431,473273,1641,478775,3501,484277,502
1,462368,7261,467870,9841,473373,2041,478875,3901,484377,541
1,462468,7681,467971 0241,473473,2441,478975,4291,484477,580
          
1,462568,8091,468071,0651,473573,2851,479075,4691,484577,619
1,462668,8501,468171,1061,473673,3251,479175,5081,484677,657
1,462768,8921,468171,1461,473773,3651,479275,5471,484777,696
1,462868,9331,468371,1871,473873,4051,479375,5871,484877,735
1,462968,9741,468471,2281,473973,4451,479475,6261,484977,774
          
1,463069,0161,468571,2681,474073,4851,479575,6661,485077,812
1,463169,0571,468671,3091,474173,5241,479675,7051,485177,851
1,463269,0981,468771,3491,474273,5641,479775,7441,485277,890
1,463369,1391,468871,3901,474373,6041,479875,7841,485377,928
1,463469,1811,468971,4311,474473,6441,479975,8231,485477,967
          
1,463569,2221,469071,4711,474573,6841,480075,8621,485578,006
1,463669,2631,469171,5121,474673,7241,480175,9011,485678,045
1,463769,3041,469271,5521,474773,7641,480275,9411,485778,083
1,463869,3461,469371,5931,474873,8041,480375,9801,485878,122
1,463969,3871,469471,6331,474973,8441,480476,0191,485978,160
1,464069,4281,469571,6741,475073,8841,480576,0581,486078,199
1,464169,4691,469671,7141,475173,9241,480676,0981,486178,238
1,464269,5101,469771,7551,475273,9631,480776,1371,486278,276
1,464369,5511,469871,7951,475374,0031,480876,1761,486378,315
1,464469,5931,469971,8361,475474,0431,480976,2151,486478,353
          
1,464569,6341,470071,8761,475574,0831,481076,2541,486578,392
1,464669,6751,470171,9171,475674,1231,481076,2941,486678,431
1,464769,7161,470271,9571,475774,1621,481276,3331,486778,469
1,464869,7571,470371,9981,475874,2021,481376,3721,486878,508
1,464969,7981,470472,0381,475974,2421,481476,4111,486978,546
          
1,465069,8391,470572,0781,476074,2821,481576,4501,487078,585
1,465169,8801,470672,1191,476174,3211,481676,4891,487178,623
1,465269,9211,470772,1591,476274,3611,481776,5281,487278,662
1,465369,9621,470872,1991,476374,4011,481876,5671,487378,700
1,465470,0031,470972,2401,476474,4411,481976,6071,487478,739
          
1,465570,0441,471072,2801,476574,4801,482076,6461,487578,777
1,465670,0851,471172,3201,476674,5201,482176,6851,487678,816
1,465770,1261,471272,3611,476774,5601,482276,7241,487778,854
1,465870,1671,471372,4011,476874,5991,482376,7631,487878,892
1,465970,2081,471472,4411,476974,6391,482476,8021,487978,931
1,488078,9691,492080,4971,496082,0071,500083,5001,504084,976
1,488179,0081,492180,5341,496182,0441,500183,5371,504185,013
1,488279,0461,492280,5721,496282,0821,500283,5741,504285,049
1,488379,0841,492380,6101,496382,1191,500383,6111,504385,086
1,488479,1231,492480,6481,496482,1571,500483,6481,504485,123
          
1,488579,1611,492580,6861,496582,1941,500583,6851,504585,159
1,488679,1991,492680,7241,496682,2321,500683,7221,504685,196
1,488779,2381,492780,7621,496782,2691,500783,7591,504785,233
1,488879,2761,492880,8001,496882,3071,500883,7961,504885,269
1,488979,3141,492980,8381,496982,3441,500983,8331,504985,306
          
1,489079,3531,493080,8761,497082,3811,501083,8701,505085,343
1,489179,3911,493180,9131,497182,4191,501183,9071,505185,379
1,489279,4291,493280,9511,497282,4561,501283,9441,505285,416
1,489379,4681,493380,9891,497382,4941,501383,9811,505385,452
1,489479,5061,493481,0271,497487,5311,501484,0181,505485,489
          
1,489579,5441,493581,0651,497582,5691,501584,0551,505585,525
1,489679,5821,493681,1031,997682,6061,501684,0921,505685,562
1,489779,6201,493781,1401,497782,6431,501784,1291,505785,598
1,489879,6591,493881,1781,497882,6811,501884,1661,505885,635
1,489979,6971,493981,2161,497982,7181,501984,2031,505985,672
          
1,490079,7351,494081,2541,498082,7551,502084,2401,506085,708
1,490179,7731,494181,2911,498182,7931,502184,2771,506185,744
1,490279,8111,494281,3291,498282,8301,502284,3141,506285,781
1,490379,8501,494381,3671,498382,8671,502384,3511,506385,817
1,490479,8881,494481,4051,498482,9051,502484,3881,506485,854
          
1,490579,9261,494581,4421,498582,9421,502584,4241,506585,890
1,490679,9641,494681,4801,498682,9791,502684,4611,506685,927
1,490780,0021,494781,5181,498783,0161,502784,4981,506785,963
1,490880,0401,494881,5551,498883,0541,502884,5351,506886,000
1,490980,0781,494981,5931,498983,0911,502984,5721,506986,036
          
1,491080,1161,495081,6311499083,1281,503084,6091,507086,072
1,491180,1541,495181,6681,499183,1651,503184,6451,507186,109
1,491280,1921,495281,7061,499283,2021 503284,6821,507286,145
1,491380,2311,495381,7441,499383,2401,503384,7191,507386,182
1,491480,2691,495481,7811,499483,2771,503484,7561,507486,218
          
1,491580,3071,495581,8191,499583,3141,503584,7921,507586,254
1,491680,3451,495681,8561,499683,3511,503684,8291,507686,291
1,491780,3831,495781,8941,499783,3881,503784,8661,507786,327
1,491880,4211,495881,9321,499883,4251,503884,9031,507886,363
1,491980,4591,495981,9691,499983,4631,503984,9391,507986,399

Príloha č. 3 k vyhláške č. 37/2012 Z. z.

ZOZNAM PREBERANÝCH PRÁVNE ZÁVÄZNÝCH AKTOV EURÓPSKEJ ÚNIE

1. Prvá smernica Komisie 79/796/EHS z 26. júla 1979 stanovujúca analytické metódy testovania určitých cukrov určených na humánnu spotrebu, platná v rámci Spoločenstva (Mimoriadne vydanie Ú. v. EÚ, kap. 13/zv. 5).

2. Smernica Rady 2001/111/ES z 20. decembra 2001 vzťahujúca sa na niektoré cukry určené na ľudskú spotrebu (Mimoriadne vydanie Ú. v. EÚ, kap. 13/zv. 27).

Poznámky pod čiarou

1) Príloha časť A druhý bod nariadenia Komisie (EHS) 1265/69 z 1. júla 1969, ktorým sa stanovujú metódy určenia kvality cukru nakupovaného intervenčnými agentúrami (Mimoriadne vydanie Ú. v. EÚ, kap. 3/zv. 1) v platnom znení.

2) Príloha časť A prvý bod nariadenia (EHS) 1265/69 v platnom znení.

3) Príloha časť A tretí bod nariadenia (EHS) 1265/69 v platnom znení.