| 154 |
| VYHLÁŠKA |
| Úradu pre reguláciu sieťových odvetví |
| z 12. júna 2024, |
| ktorou sa ustanovuje cenová regulácia v elektroenergetike a niektoré podmienky vykonávania regulovaných činností v elektroenergetike |
| Úrad pre reguláciu sieťových odvetví (ďalej len „úrad“) podľa § 40 ods. 1 písm. a) až i) a l) až n) zákona č. 250/2012 Z. z. o regulácii v sieťových odvetviach v znení neskorších predpisov (ďalej len „zákon o regulácii“) a § 19 ods. 2 písm. c), d), i), j), l) a m) zákona č. 309/2009 Z. z. o podpore obnoviteľných zdrojov energie a vysoko účinnej kombinovanej výroby a o zmene a doplnení niektorých zákonov (ďalej len „zákon o podpore“) ustanovuje: |
|
|
| § 1 |
| Základné pojmy |
| Na účely tejto vyhlášky sa rozumie |
| a) regulačným obdobím 6. regulačné obdobie od 1. januára 2023, |
| b) regulačným rokom kalendárny rok, |
| c) rokom t regulačný rok, na ktorý sa určuje alebo platí cena, |
| d) rokom t+n n-tý rok nasledujúci po roku t, |
| e) rokom t-n n-tý rok predchádzajúci roku t, |
| f) východiskovým rokom rok 2021, |
| g) jednotkou množstva elektriny 1 MWh, |
| h) ITC mechanizmom kompenzačný mechanizmus pri zúčtovaní a vysporiadaní platieb za použitie národných prenosových sústav pre cezhraničnú výmenu elektriny, |
| i) technologickou časťou zariadenia výrobcu elektriny súbor jednotlivých technologických častí zariadenia na výrobu elektriny nevyhnutných na výrobu elektriny tvoriaci jeden technologický celok pozostávajúci najmä zo zariadenia na skladovanie primárneho zdroja energie, zariadenia na úpravu primárneho zdroja energie, zariadenia, v ktorom sa vykonáva premena formy primárnej energie na elektrinu, zariadenia vykonávajúceho kvalitatívnu úpravu elektriny, meracieho zariadenia, riadiaceho zariadenia, kontrolného zariadenia a zariadenia na ochranu životného prostredia, |
| j) výstavbou zariadenia na výrobu elektriny výstavba nového zariadenia na výrobu elektriny na základe stavebného povolenia alebo ohlásenia stavebnému úradu o realizácii drobnej stavby alebo stavebných úprav, |
| k) nadradenou sústavou prenosová sústava alebo regionálna distribučná sústava, do ktorej je pripojená miestna distribučná sústava, odberateľ elektriny alebo výrobca elektriny, alebo miestna distribučná sústava, do ktorej je pripojená iná miestna distribučná sústava, odberateľ elektriny alebo výrobca elektriny, |
| l) opravou odstránenie čiastočného fyzického opotrebovania alebo poškodenia na účely uvedenia do predchádzajúceho stavu alebo prevádzkyschopného stavu; uvedením do prevádzkyschopného stavu sa rozumie vykonanie opravy aj s použitím iných než pôvodných materiálov, náhradných dielov, súčastí alebo technológií, ak nedôjde k zmene technických parametrov alebo zvýšeniu výkonnosti majetku a ani k zmene účelu použitia, |
| m) údržbou súhrn činností zabezpečujúcich technickú spôsobilosť a hospodárnosť prevádzky zariadenia, pri ktorých sa spomaľuje fyzické opotrebenie, predchádza sa jeho následkom a odstraňujú sa drobnejšie vady, spravidla bez demontáže dielov a bez výmeny súčiastok, |
| n) modernizáciou rozšírenie vybavenosti alebo použiteľnosti hmotného majetku a nehmotného majetku o také súčasti, ktoré pôvodný majetok neobsahoval, pričom tvoria neoddeliteľnú súčasť majetku; za neoddeliteľnú súčasť tohto majetku sa považujú samostatné veci, ktoré sú určené na spoločné použitie s hlavnou vecou a spolu s ňou tvoria jeden majetkový celok, |
| o) rekonštrukciou také zásahy do hmotného majetku, ktoré majú za následok zmenu jeho účelu použitia, kvalitatívnu zmenu jeho výkonnosti alebo technických parametrov; za zmenu technických parametrov nemožno považovať zámenu použitého materiálu pri dodržaní jeho porovnateľných vlastností, |
| p) výlučným poskytovaním podporných služieb pre prevádzkovateľa prenosovej sústavy |
| 1. poskytovanie disponibility podporných služieb, |
| 2. dodávka regulačnej elektriny, |
| 3. výroba elektriny počas certifikačných testov a skúšok alebo pred certifikačnými testami a skúškami v rámci procesu certifikácie zariadení na poskytovanie podporných služieb, pričom výroba elektriny podľa tohto bodu v zariadení na výroby elektriny počas technických skúšok zariadenia nepresiahne 3 % hodinového časového fondu príslušného mesiaca; tieto činnosti možno vzájomne kombinovať. |
| § 2 |
| Rozsah cenovej regulácie |
| (1) Cenová regulácia vybraných regulovaných činností v elektroenergetike sa vzťahuje na |
| a) pripojenie do sústavy, |
| b) prístup do prenosovej sústavy a prenos elektriny, |
| c) prístup do distribučnej sústavy a distribúciu elektriny, |
| d) poskytovanie podporných služieb, |
| e) poskytovanie systémových služieb, |
| f) výkon činnosti organizátora krátkodobého trhu s elektrinou, |
| g) určenie tarify za prevádzkovanie systému. |
| (2) Cenová regulácia v oblasti dodávky elektriny sa vzťahuje na |
| a) dodávku elektriny zraniteľným odberateľom elektriny, ktorí uzatvorili zmluvu o združenej dodávke elektriny za cenu regulovanú úradom, |
| b) dodávku elektriny dodávateľom poslednej inštancie. |
| (3) Cenová regulácia v oblasti podpory výroby elektriny sa vzťahuje na |
| a) výrobu elektriny z obnoviteľných zdrojov energie a výrobu elektriny vyrobenej vysoko účinnou kombinovanou výrobou, |
| b) výkon činnosti výkupcu elektriny. |
| § 3 |
| Spôsoby vykonávania cenovej regulácie |
| (1) Cenová regulácia podľa § 2 ods. 1 sa vykonáva |
| a) určením spôsobu výpočtu maximálnej ceny za pripojenie do sústavy, |
| b) určením spôsobu výpočtu maximálnej ceny a tarify za prístup do prenosovej sústavy a prenos elektriny, |
| c) určením spôsobu výpočtu maximálnej ceny a tarify za prístup do distribučnej sústavy a distribúciu elektriny, |
| d) určením maximálnej ceny alebo spôsobu výpočtu maximálnej ceny za poskytovanie podporných služieb, |
| e) určením spôsobu výpočtu pevnej ceny a tarify za poskytovanie systémových služieb, |
| f) určením spôsobu výpočtu pevnej ceny a tarify za prevádzkovanie systému a výkon činnosti organizátora krátkodobého trhu s elektrinou, |
| g) priamym určením tarify a určením spôsobu výpočtu tarify alebo rozdelením nákladov podľa osobitných predpisov.1) |
| (2) Cenová regulácia podľa § 2 ods. 2 sa vykonáva určením spôsobu výpočtu maximálnej ceny. |
| (3) Cenová regulácia podľa § 2 ods. 3 sa vykonáva |
| a) priamym určením pevnej ceny za výrobu elektriny z obnoviteľných zdrojov energie a výrobu elektriny vyrobenej vysoko účinnou kombinovanou výrobou, |
| b) určením spôsobu výpočtu maximálnej ceny za výkon činnosti výkupcu elektriny, |
| c) určením spôsobu výpočtu ceny elektriny na účel predĺženia podpory so zníženou cenou elektriny podľa § 3d zákona o podpore. |
| § 4 |
| Rozsah, štruktúra a výška ekonomicky oprávnených nákladov |
| (1) Ekonomicky oprávnenými nákladmi sú náklady preukázateľne a v nevyhnutnom rozsahu vynaložené na vykonávanie regulovanej činnosti, ktorými sú |
| a) náklady na obstaranie regulačnej elektriny,2) |
| b) náklady na obstaranie elektriny na vlastnú spotrebu a krytie strát pri prenose elektriny a distribúcii elektriny vrátane nákladov na vyrovnanie odchýlky pri prenose elektriny a distribúcii elektriny, |
| c) náklady na obstaranie elektriny pri dodávke elektriny zraniteľným odberateľom vrátane nákladov na vyrovnanie odchýlky zraniteľným odberateľom pri dodávke elektriny zraniteľným odberateľom určené úradom, |
| d) náklady na obstaranie elektriny pri dodávke elektriny odberateľom v režime dodávky poslednej inštancie vrátane nákladov na vyrovnanie odchýlky odberateľom elektriny pri dodávke elektriny dodávateľom poslednej inštancie určené úradom, |
| e) výrobné a prevádzkové náklady zahrňujúce náklady na energie, suroviny a technologické hmoty, |
| f) osobné náklady,3) |
| g) náklady na plnenie povinností podľa osobitných predpisov,4) pri poplatkoch za znečisťovanie ovzdušia len poplatky za znečisťujúce látky vypustené do ovzdušia pri dodržaní podmienok a požiadaviek podľa osobitného predpisu5) a pri skleníkových plynoch len náklady najviac do výšky 100 % na nákup emisných kvót nad množstvo bezodplatne pridelených a potrebných na vykonávanie regulovanej činnosti; pri skleníkových plynoch sú ekonomicky oprávnenými nákladmi náklady na nákup emisných kvót vypočítané ako množstvo spotrebovaných ton CO2, vynásobené cenou určenou ako aritmetický priemer denných uzatváracích cien oficiálneho kurzového lístka zverejneného burzou EEX na jej webovom sídle, za produkt EU Emission Allowances – Spot Market v eur/t CO2 za obdobie šiestich kalendárnych mesiacov predchádzajúcich mesiacu, v ktorom sa začalo konanie o cenovej regulácii (ďalej len „cenové konanie“) podľa § 14 ods. 1 zákona o regulácii, |
| h) odpisy majetku; pre rok t = 2025 pri hmotnom majetku rovnomerné odpisovanie hmotného majetku využívaného len na výkon regulovanej činnosti a pri nehmotnom majetku ročný odpis vo výške 25 % z obstarávacej ceny nehmotného majetku využívaného len na výkon regulovanej činnosti, a pre rok t = 2026 a nasledujúce roky rovnomerné odpisy hmotného majetku a nehmotného majetku využívaného výhradne na výkon regulovanej činnosti zohľadňujúce dobu technickej životnosti majetku podľa prílohy č. 1, |
| i) časti splátok za finančný prenájom hmotného majetku využívaného výhradne na výkon regulovanej činnosti podľa zmlúv o finančnom prenájme najviac vo výške odpisov podľa písmena h) pre regulovanú činnosť podľa § 2 ods. 1, |
| j) nájomné za prenájom hmotného majetku a nehmotného majetku od tretích osôb, ktorý sa využíva len na výkon regulovanej činnosti vo výške odpisov podľa písmena h), |
| k) náklady na opravy a údržbu majetku využívaného na zabezpečenie regulovanej činnosti v rozsahu zabezpečujúcom výkon regulovanej činnosti okrem nákladov vynaložených na technické zhodnotenie hmotného majetku a nehmotného majetku podľa osobitného predpisu,6) |
| l) úrok z úveru poskytnutého bankou alebo pobočkou zahraničnej banky7) na obstaranie hmotného majetku alebo nehmotného majetku, ktorý sa používa výhradne na regulovanú činnosť najviac do hodnoty úroku rovnajúceho sa aritmetickému priemeru hodnôt mesačných priemerov ukazovateľa 12M EURIBOR za obdobie posledných 12 mesiacov predchádzajúcich mesiacu, v ktorom sa začalo cenové konanie podľa § 14 ods. 1 zákona o regulácii, zverejnených na webovom sídle www.euribor-ebf.eu v časti „Euribor rates“, |
| m) úrok z úveru na zabezpečenie finančných prostriedkov na prevádzkové náklady v súvislosti s výkonom činností organizátora krátkodobého trhu s elektrinou podľa osobitného predpisu8) maximálne do výšky hodnoty úroku rovnajúceho sa hodnote ukazovateľa 12M EURIBOR za obdobie posledných 12 mesiacov predchádzajúcich mesiacu, v ktorom sa začalo cenové konanie podľa § 14 ods. 1 zákona o regulácii, zverejnených na webovom sídle www.euribor-ebf.eu v časti „Euribor rates“. |
| (2) Ekonomicky oprávnenými nákladmi nie sú |
| a) sankcie, |
| b) náklady spojené s nevyužitými prevádzkami a výrobnými kapacitami, |
| c) odpisy nevyužívaného dlhodobého majetku, odpisy „goodwill“ a odpisy hmotného majetku a nehmotného majetku vylúčeného z odpisovania,9) |
| d) odmeny členov štatutárnych orgánov a ďalších orgánov právnických osôb za výkon funkcie, ktorí nie sú v pracovnoprávnom vzťahu s regulovaným subjektom, |
| e) platby poistného za poistenie zodpovednosti za škody spôsobené členmi štatutárnych orgánov a členmi iných orgánov regulovaného subjektu, |
| f) príspevky na doplnkové dôchodkové sporenie10) platené zamestnávateľom okrem príspevkov na doplnkové dôchodkové sporenie podľa odseku 1 písm. g), príspevky na životné poistenie a účelové sporenie zamestnanca, |
| g) odstupné a odchodné presahujúce výšku ustanovenú v § 76 a 76a Zákonníka práce, |
| h) príspevky na stravovanie zamestnancov nad rozsah ustanovený v § 152 Zákonníka práce, |
| i) cestovné náhrady nad rozsah ustanovený osobitným predpisom,11) |
| j) tvorba sociálneho fondu nad rozsah ustanovený osobitným predpisom,12) |
| k) náklady na poskytovanie ochranných pracovných prostriedkov nad rozsah ustanovený osobitným predpisom,13) |
| l) dobrovoľné poistenie osôb, |
| m) manká a škody na majetku vrátane škody zo zníženia cien nevyužiteľných zásob a likvidácie zásob, |
| n) náklady vyplývajúce z chýb vo výpočtoch, v kalkulačných prepočtoch alebo v účtovníctve, duplicitne účtované náklady, |
| o) náklady na reprezentáciu a dary, |
| p) odmeny a dary pri životných jubileách a pri odchode do dôchodku, |
| q) náklady na starostlivosť o zdravie zamestnancov a na vlastné zdravotnícke zariadenia nad rozsah podľa osobitných predpisov,14) |
| r) príspevky a náklady na rekreačné, regeneračné, rekondičné a ozdravné pobyty, ak povinnosť ich uhrádzania neustanovuje osobitný predpis,15) |
| s) náklady na údržbu a prevádzku školiacich a rekreačných zariadení a iných zariadení, ktoré nesúvisia s regulovanou činnosťou, |
| t) náklady vynaložené na obstaranie materiálu, služieb na činnosti nesúvisiace s výkonom regulovanej činnosti, |
| u) daň z nehnuteľnosti platená za školiace a rekreačné zariadenia, |
| v) štipendiá poskytnuté žiakom stredných škôl a študentom, |
| w) odpis nedobytnej pohľadávky, |
| x) tvorba rezerv nad rozsah podľa osobitného predpisu,16) |
| y) rozdiely zo zmien použitých účtovných metód a účtovných zásad,17) |
| z) tvorba opravných položiek, |
| aa) náklady vynaložené na odstránenie nedostatkov zistených pri kolaudačnom konaní, |
| ab) náklady spojené s prípravou a zabezpečením nerealizovanej investičnej výstavby, |
| ac) straty z predaja dlhodobého majetku a zásob, |
| ad) zostatková cena predaného alebo vyradeného hmotného majetku a nehmotného majetku, |
| ae) náklady na reklamu alebo propagáciu uskutočňovanú formou podpory športových, kultúrnych a zábavných podujatí a iných činností, |
| af) spotreba pohonných látok nad rozsah podľa osobitného predpisu,18) |
| ag) náklady na výkon regulovanej činnosti, ktoré sú vyššie ako náklady zistené na základe overovania primeranosti nákladov podľa § 31 ods. 3 písm. d) zákona o regulácii, ktoré sú zabezpečované regulovaným subjektom, iným ako regulovaným subjektom alebo subjektom, ktorý je alebo bol súčasťou vertikálne integrovaného podniku,19) |
| ah) straty z obchodov s finančnými derivátmi a komoditnými derivátmi, |
| ai) náklady na náhradu škody, ktorá vznikla v dôsledku protiprávneho konania regulovaného subjektu, |
| aj) vyplatené kompenzačné platby podľa osobitného predpisu,20) |
| ak) náklady na konzultácie, poradenstvo a štúdie, |
| al) iné náklady, ktoré nie sú výslovne uvedené v odseku 1, |
| am) platba za prekročenie hraničnej hodnoty tokov dodávky jalovej kapacitnej elektriny z regionálnej distribučnej sústavy a z miestnej distribučnej sústavy do prenosovej sústavy. |
| (3) Na účely § 45 ods. 3 písm. c) ekonomicky oprávnenými nákladmi nie sú ani náklady na obstaranie alebo opravu oplotenia, prevádzkové náklady, náklady na úpravu areálu, náklady na zabezpečenie strážnej služby, náklady na obstaranie alebo opravu kamerového systému, náklady na obstaranie alebo opravu osvetlenia areálu, náklady na výmenu fotovoltických panelov iného druhu a inštalovaného výkonu, náklady na výmenu a úpravu nosných konštrukcií fotovoltických panelov a priehradného múru. Náklady na opravu spojené s odstraňovaním havarijných stavov vzťahujúcich sa na opravu priehradného múru a nosných konštrukcií fotovoltických panelov sú ekonomicky oprávnenými nákladmi, len ak by nevykonaním opravy bola ohrozená funkčnosť elektroenergetického zariadenia na výrobu elektriny. |
| (4) Ak regulovaný subjekt vykonáva súčasne regulované činnosti aj neregulované činnosti alebo vykonáva súčasne viacero regulovaných činností, do ekonomicky oprávnených nákladov na regulovanú činnosť sa zahrnú len úradom schválené alebo určené preukázateľné náklady. |
| § 5 |
| Spôsob určenia miery výnosnosti regulačnej bázy aktív |
| (1) Miera výnosnosti regulačnej bázy aktív sa určuje na regulačné obdobie a zohľadňuje |
| a) návratnosť prevádzkových aktív používaných výhradne na zabezpečenie regulovanej činnosti, |
| b) rozsah potrebných investícií na zabezpečenie dlhodobo spoľahlivej, bezpečnej a udržateľnej prevádzky aktív používaných pri výkone regulovanej činnosti. |
| (2) Miera výnosnosti regulačnej bázy aktív pred zdanením na regulačné obdobie sa vyjadruje ako vážený priemer nákladov na kapitál WACC pred zdanením, určený v percentuálnej hodnote, matematicky zaokrúhlenej na dve desatinné miesta, a vypočíta sa podľa vzorca |
| 
|
| kde |
| a) Ke sú náklady na vlastný kapitál v percentách určené podľa odseku 3, |
| b) Kd sú náklady na cudzí kapitál v percentách, vo výške 2,77 %, |
| c) je podiel vlastného majetku na celkovom majetku, ktorý sa ustanovuje na celé regulačné obdobie vo výške 40 %, |
| d) je podiel cudzieho majetku na celkovom majetku, ktorý sa ustanovuje na celé regulačné obdobie vo výške 60 %, |
| e) T je sadzba dane z príjmov právnických osôb v roku t v percentách. |
| (3) Náklady na vlastný kapitál Ke sa vypočítajú podľa vzorca |
| , |
| kde |
| a) Rf je bezriziková výnosová miera, ktorá sa na regulačné obdobie ustanovuje vo výške 1,11 %, |
| b) βlevered je vážený beta koeficient vyjadrujúci systematické riziko, citlivosť konkrétneho odvetvia na zmenu trhu, ktorý sa vypočíta podľa vzorca |
| 
|
| kde |
| 1. βunlevered je nevážený beta koeficient bez vplyvu sadzby dane z príjmov a podielu cudzích zdrojov; pre regulačné obdobie sa ustanovuje vo výške 0,49, |
| 2. D/E je pomer cudzích zdrojov k vlastnému majetku, ktorý sa ustanovuje na celé regulačné obdobie vo výške 1,5, |
| c) MRP je trhová riziková prirážka, ktorá sa na regulačné obdobie ustanovuje vo výške 5,84 %. |
| (4) Hodnota WACC na rok 2025 sa ustanovuje vo výške 5,39 % s platnosťou do konca regulačného obdobia. Ak sa určí nová hodnota WACC na rok t podľa odseku 5, hodnota WACC podľa prvej vety sa na rok t a zvyšok regulačného obdobia nepoužije. |
| (5) Ak odchýlka medzi rokmi t-2 a t-1 v niektorom z parametrov vstupujúcich do výpočtu WACC, podrobne ustanovených v prílohe č. 2, v priebehu regulačného obdobia bude vyššia ako 20 %, určí sa nová hodnota WACC na rok t a na zvyšok regulačného obdobia, ktorá sa zverejňuje na webovom sídle úradu najneskôr do 30. júna roku t-1. Zmena vyjadrená ako hodnota pomeru medzi aktuálnou číselnou hodnotou WACC a novou číselnou hodnotou WACC nepresiahne 10 %, teda pomer nepresiahne hodnoty uzavretého matematického intervalu <0>,9 – 1,1>.0> |
| § 6 |
| (1) Peňažné hodnoty sa na výpočet ceny matematicky zaokrúhľujú na štyri desatinné miesta. Mesačná platba za jedno odberné miesto alebo odovzdávacie miesto sa zaokrúhľuje na dve desatinné miesta. |
| (2) Ceny podľa tejto vyhlášky sa uvádzajú bez dane z pridanej hodnoty. |
| (3) Pri zmene ceny sa ustanovenia o spôsobe výpočtu ceny a hodnoty vstupujúce do výpočtu cien použijú primerane podľa zodpovedajúceho roku regulačného obdobia, v ktorom nastala zmena ceny. |
| (4) Ustanovenia o návrhu ceny a podklady k návrhu ceny sa vzťahujú aj na návrh na zmenu cenového rozhodnutia. |
| § 7 |
| Tarifa za prevádzkovanie systému |
| (1) Tarifa za prevádzkovanie systému sa uplatňuje v eurách na jednotku množstva elektriny na koncovú spotrebu elektriny odobratú zo sústavy koncovými odberateľmi elektriny. |
| (2) Tarifa za prevádzkovanie systému môže byť diferencovaná na viaceré hodnoty sadzieb TPSi,t, ktoré sa uplatnia individuálne pre jednotlivé skupiny odberných miest koncových odberateľov elektriny, pričom pre priradenie odberného miesta koncového odberateľa elektriny do príslušnej skupiny sa vyhodnocuje očakávaná výška koncovej spotreby elektriny odobratej zo sústavy za rok t-1 na všetkých odberných miestach koncového odberateľa elektriny. |
| (3) Skupiny odberných miest koncových odberateľov elektriny sú |
| a) skupina 1, a to odberné miesta koncových odberateľov elektriny s očakávanou koncovou spotrebou elektriny, na ktorú sa uplatňujú tarify za prevádzkovanie systému za rok t-1 do 1 GWh vrátane, okrem odberných miest koncových odberateľov elektriny zaradených v skupine 4, |
| b) skupina 2, a to odberné miesta koncových odberateľov elektriny s očakávanou koncovou spotrebou elektriny, na ktorú sa uplatňujú tarify za prevádzkovanie systému za rok t-1 nad 1 GWh do 100 GWh vrátane, okrem odberných miest koncových odberateľov elektriny zaradených v skupine 4, |
| c) skupina 3, a to odberné miesta koncových odberateľov elektriny s očakávanou koncovou spotrebou elektriny, na ktorú sa uplatňujú tarify za prevádzkovanie systému za rok t-1 nad 100 GWh, okrem odberných miest koncových odberateľov elektriny zaradených v skupine 4, |
| d) skupina 4, a to odberné miesta koncových odberateľov elektriny, ktorým bola pre rok t určená individuálna sadzba tarify za prevádzkovanie systému podľa § 8. |
| (4) Pre tarifu za prevádzkovanie systému platí |
| , |
| kde |
| a) TPSi,t je sadzba tarify za prevádzkovanie systému uplatnená na koncovú spotrebu elektriny odobratej zo sústavy v i-tej skupine odberných miest odberateľov elektriny, na ktorú sa uplatňujú tarify za prevádzkovanie systému v eurách na jednotku množstva elektriny v roku t, |
| b) QPKStpsi,t je celkové množstvo plánovanej koncovej spotreby elektriny odobratej zo sústavy v i-tej skupine odberných miest odberateľov elektriny v jednotkách množstva elektriny v roku t, na ktorú sa uplatňujú tarify za prevádzkovanie systému, |
| c) k je celkový počet skupín odberných miest odberateľov elektriny v roku t, |
| d) NPSt sú plánované náklady na prevádzkovanie systému v eurách v roku t, ktoré sa vypočítajú podľa vzorca |
| , |
| kde |
| 1. Nozekvt sú celkové plánované náklady na podporu elektriny vyrobenej z obnoviteľných zdrojov energie a vysoko účinnou kombinovanou výrobou v eurách v roku t, ktoré sa vypočítajú podľa odseku 5, |
| 2. PNOTt sú schválené alebo určené plánované náklady v eurách zohľadňujúce alikvotnú časť nákladov na organizovanie a vyhodnotenie krátkodobého trhu s elektrinou v eurách na rok t, |
| 3. Noktet sú schválené alebo určené náklady na výkon ostatných činností organizátora krátkodobého trhu s elektrinou v eurách v roku t, ktoré sa vypočítajú podľa § 13 ods. 1, |
| 4. DNPSt sú schválené dodatočné náklady na prevádzkovanie systému v eurách na rok t, ktoré sa vypočítajú podľa odseku 8, |
| 5. KVPTPSt je korekcia vplyvu pásmovej tarify za prevádzkovanie systému v eurách na rok t, ktorá sa vypočíta podľa odseku 9. |
| (5) Celkové plánované náklady na podporu elektriny vyrobenej z obnoviteľných zdrojov energie a vysoko účinnou kombinovanou výrobou v eurách v roku t sa vypočítajú podľa vzorca
|
| Nozekvt = PNDt + PNPt + PNVEt – PFPt – PVzpt – PVzat + Kozekvt , |
| kde |
| a) PNDt sú plánované náklady organizátora krátkodobého trhu s elektrinou na doplatok pre výrobcov elektriny z obnoviteľných zdrojov energie a vysoko účinnou kombinovanou výrobou v roku t v eurách, ktoré sa vypočítajú podľa vzorca |
| 
|
| kde |
| 1. PQDti je plánované množstvo elektriny, na ktoré je možné uplatniť doplatok, vyrobenej v roku t v i-tom zariadení na výrobu elektriny výrobcov elektriny z obnoviteľných zdrojov energie a vysoko účinnou kombinovanou výrobou, v jednotkách množstva elektriny, |
| 2. CEPSDti je cena elektriny pre stanovenie doplatku pre i-té zariadenie na výrobu elektriny výrobcov elektriny z obnoviteľných zdrojov energie a vysoko účinnou kombinovanou výrobou v eurách na jednotku množstva elektriny na rok t, |
| 3. PCVEt je plánovaná priemerná cena vykupovanej elektriny v eurách na jednotku množstva elektriny na rok t, |
| 4. n je počet zariadení na výrobu elektriny výrobcov elektriny z obnoviteľných zdrojov energie a vysoko účinnou kombinovanou výrobou v roku t, |
| b) PNPt sú plánované náklady organizátora krátkodobého trhu s elektrinou na príplatok pre výrobcov elektriny z obnoviteľných zdrojov energie a vysoko účinnou kombinovanou výrobou v roku t v eurách, ktoré sa vypočítajú podľa vzorca |
| 
|
| kde |
| 1. PQPti je plánované množstvo elektriny, na ktoré je možné uplatniť príplatok, vyrobenej v roku t v i-tom zariadení na výrobu elektriny výrobcov elektriny z obnoviteľných zdrojov energie a vysoko účinnou kombinovanou výrobou, v jednotkách množstva elektriny, |
| 2. CEPSPti je cena elektriny pre stanovenie príplatku pre i-té zariadenie na výrobu elektriny výrobcov elektriny z obnoviteľných zdrojov energie a vysoko účinnou kombinovanou výrobou v eurách na jednotku množstva elektriny na rok t, |
| 3. PCVEt je plánovaná priemerná cena vykupovanej elektriny v eurách na jednotku množstva elektriny na rok t, |
| 4. n je počet zariadení na výrobu elektriny výrobcov elektriny z obnoviteľných zdrojov energie a vysoko účinnou kombinovanou výrobou v roku t, |
| c) PNVEt sú plánované náklady organizátora krátkodobého trhu s elektrinou na úhradu za činnosť výkupcu elektriny v roku t v eurách, ktoré sa vypočítajú podľa vzorca |
| , |
| kde |
| 1. PQEvti je plánované množstvo elektriny s nárokom na podporu výkupom elektriny podľa § 3 ods. 1 písm. b) zákona o podpore a prevzatím zodpovednosti za odchýlku podľa § 3 ods. 1 písm. d) zákona o podpore vykúpenej i-tým výkupcom elektriny v režime prenesenej zodpovednosti za odchýlku v jednotkách množstva elektriny v roku t, |
| 2. PUCVEti je plánovaná úhrada za činnosť i-tého výkupcu elektriny v eurách na jednotku množstva elektriny na rok t, |
| d) PFPt je plánovaná výška finančných prostriedkov poskytnutých na rok t Ministerstvom hospodárstva Slovenskej republiky (ďalej len „ministerstvo hospodárstva“) na financovanie nákladov vynaložených na zúčtovanie podpory v roku t v eurách, |
| e) PVzpt je plánovaný výnos z uplatňovania taríf za vedenie účtu, za vydanie záruk pôvodu elektriny a za prevody záruk pôvodu elektriny v roku t v eurách, |
| f) PVzat je plánovaný výnos z predaja záruk pôvodu elektriny vydaných podľa § 8b ods. 3 zákona o podpore v roku t v eurách, |
| g) Kozekvt je korekcia nákladov a výnosov organizátora krátkodobého trhu s elektrinou na podporu elektriny vyrobenej z obnoviteľných zdrojov energie a vysoko účinnou kombinovanou výrobou v eurách v roku t, ktorá sa vypočíta podľa odseku 4. |
| (6) Na účely cenovej regulácie do 30. apríla roku t sa predkladajú organizátorom krátkodobého trhu s elektrinou údaje o skutočných množstvách elektriny v roku t-1, očakávaných množstvách elektriny v roku t a plánovaných množstvách elektriny na rok t+1 odobratej koncovým odberateľom elektriny, ako aj údaje o skutočných nákladoch a skutočných výnosoch za prevádzkovanie systému v roku t-1. |
| (7) Korekcia nákladov a výnosov organizátora krátkodobého trhu s elektrinou na podporu elektriny vyrobenej z obnoviteľných zdrojov energie a vysoko účinnou kombinovanou výrobou v eurách v roku t Kozekvt sa vypočíta podľa vzorca |
| 
|
| kde |
| a) SNozekvt-2 sú skutočné náklady organizátora krátkodobého trhu s elektrinou na podporu elektriny vyrobenej z obnoviteľných zdrojov energie a vysoko účinnou kombinovanou výrobou v roku t-2 v eurách, ktoré sa pre výpočet Kozekvt sa vypočítajú podľa vzorca |
| SNozekvt–2 = SNDt–2 + SNPt–2 + SNVEt–2 – SFPt–2 – SVzpt–2 – SVzat–2, |
| kde |
| 1. SNDt-2 sú skutočné náklady organizátora krátkodobého trhu s elektrinou na doplatok pre výrobcov elektriny z obnoviteľných zdrojov energie a vysoko účinnou kombinovanou výrobou v roku t-2 v eurách, |
| 2. SNPt-2 sú skutočné náklady organizátora krátkodobého trhu s elektrinou na príplatok pre výrobcov elektriny z obnoviteľných zdrojov energie a vysoko účinnou kombinovanou výrobou v roku t-2 v eurách, |
| 3. SNVEt-2 sú skutočné náklady organizátora krátkodobého trhu s elektrinou na úhradu za činnosť výkupcu elektriny v roku t-2 v eurách, |
| 4. SFPt-2 je skutočná výška finančných prostriedkov poskytnutých ministerstvom hospodárstva na financovanie nákladov vynaložených na zúčtovanie podpory v roku t-2 v eurách, |
| 5. SVzpt-2 sú skutočné výnosy z uplatňovania taríf za vedenie účtu, za vydanie záruk pôvodu elektriny a za prevody záruk pôvodu elektriny v roku t-2 v eurách; pre výpočet Kozekvt pre roky 2025 a 2026 sa SVzpt-2 rovná nule, |
| 6. SVzat-2 sú skutočné výnosy z predaja záruk pôvodu elektriny vydaných podľa § 8b ods. 3 zákona o podpore v roku t-2 v eurách; pre výpočet Kozekvt pre roky 2025 a 2026 sa SVzat-2 rovná nule, |
| b) PNozekvt-2 sú určené alebo schválené plánované náklady organizátora krátkodobého trhu s elektrinou na podporu elektriny vyrobenej z obnoviteľných zdrojov energie a vysoko účinnou kombinovanou výrobou na rok t-2 v eurách, ktoré sa vypočítajú podľa vzorca |
| PNozekvt–2 = PNDt–2 + PNPt–2 + PNVEt–2 – PFPt–2 – PVzpt–2 – PVzat–2, |
| kde |
| 1. PNDt-2 sú určené alebo schválené plánované náklady organizátora krátkodobého trhu s elektrinou na doplatok pre výrobcov elektriny z obnoviteľných zdrojov energie a vysoko účinnou kombinovanou výrobou na rok t-2 v eurách, |
| 2. PNPt-2 sú určené alebo schválené plánované náklady organizátora krátkodobého trhu s elektrinou na príplatok pre výrobcov elektriny z obnoviteľných zdrojov energie a vysoko účinnou kombinovanou výrobou na rok t-2 v eurách, |
| 3. PNVEt-2 sú určené alebo schválené plánované náklady organizátora krátkodobého trhu s elektrinou na úhradu za činnosť výkupcu elektriny na rok t-2 v eurách, |
| 4. PFPt-2 je plánovaná výška finančných prostriedkov poskytnutých ministerstvom hospodárstva na financovanie nákladov vynaložených na zúčtovanie podpory na rok t-2 v eurách, |
| 5. PVzpt-2 sú plánované výnosy z uplatňovania taríf za vedenie účtu, za vydanie záruk pôvodu elektriny a za prevody záruk pôvodu elektriny v roku t-2 v eurách; pre výpočet Kozekvt pre roky 2025 a 2026 sa PVzpt-2 rovná nule, |
| 6. PVzat-2 sú plánované výnosy z predaja záruk pôvodu elektriny vydaných podľa § 8b ods. 3 zákona o podpore v roku t-2 v eurách; pre výpočet Kozekvt pre roky 2025 a 2026 sa PVzat-2 rovná nule, |
| c) PVozekvt-2 sú určené alebo schválené plánované výnosy organizátora krátkodobého trhu s elektrinou z alikvotnej časti tarify za prevádzkovanie systému určenej na podporu elektriny vyrobenej z obnoviteľných zdrojov energie a vysoko účinnou kombinovanou výrobou na rok t-2 v eurách, ktoré sa vypočítajú podľa vzorca |
| PVozekvt–2 = Nozekvt–2, |
| kde |
| Nozekvt-2 sú celkové určené alebo schválené plánované náklady na podporu elektriny vyrobenej z obnoviteľných zdrojov energie a vysoko účinnou kombinovanou výrobou v eurách v roku t-2, |
| d) SVozekvt-2 sú skutočné výnosy organizátora krátkodobého trhu s elektrinou z alikvotnej časti tarify za prevádzkovanie systému určenej na podporu elektriny vyrobenej z obnoviteľných zdrojov energie a vysoko účinnou kombinovanou výrobou v roku t-2 v eurách, ktoré sa vypočítajú podľa vzorca |
| 
|
| kde |
| 1. Nozekvt-2 sú celkové určené alebo schválené plánované náklady na podporu elektriny vyrobenej z obnoviteľných zdrojov energie a vysoko účinnou kombinovanou výrobou v eurách v roku t-2, |
| 2. QSKStpst-2 je celkové množstvo skutočnej koncovej spotreby elektriny odobratej zo sústavy v jednotkách množstva elektriny v roku t-2, na ktorú sa uplatňuje tarifa za prevádzkovanie systému, |
| 3. QPKStpst-2 je celkové množstvo plánovanej koncovej spotreby elektriny odobratej zo sústavy v jednotkách množstva elektriny v roku t-2, na ktorú sa uplatňuje tarifa za prevádzkovanie systému, |
| e) ONozekvt-1 sú očakávané náklady organizátora krátkodobého trhu s elektrinou na podporu elektriny vyrobenej z obnoviteľných zdrojov energie a vysoko účinnou kombinovanou výrobou na rok t-1 v eurách, ktoré sa vypočítajú podľa vzorca |
| ONozekvt–1 = ONDt–1 + ONPt–1 + ONVEt–1 – OFPt–1 – OVzpt–1 – OVzat–1, |
| kde |
| 1. ONDt-1 sú očakávané náklady organizátora krátkodobého trhu s elektrinou na doplatok pre výrobcov elektriny z obnoviteľných zdrojov energie a vysoko účinnou kombinovanou výrobou v roku t-1 v eurách, |
| 2. ONPt-1 sú očakávané náklady organizátora krátkodobého trhu s elektrinou na príplatok pre výrobcov elektriny z obnoviteľných zdrojov energie a vysoko účinnou kombinovanou výrobou v roku t-1 v eurách, |
| 3. ONVEt-1 sú očakávané náklady organizátora krátkodobého trhu s elektrinou na úhradu za činnosť výkupcu elektriny v roku t-1 v eurách, |
| 4. OFPt-1 je očakávaná výška finančných prostriedkov poskytnutých ministerstvom hospodárstva na financovanie nákladov vynaložených na zúčtovanie podpory v roku t-1 v eurách, |
| 5. OVzpt-1 sú očakávané výnosy z uplatňovania taríf za vedenie účtu, za vydanie záruk pôvodu elektriny a za prevody záruk pôvodu elektriny v roku t-1 v eurách; pre výpočet Kozekvt pre roky 2025 a 2026 sa OVzpt-1 rovná nule, |
| 6. OVzat-1 sú očakávané výnosy z predaja záruk pôvodu elektriny vydaných podľa § 8b ods. 3 zákona o podpore v roku t-1 v eurách; pre výpočet Kozekvt pre roky 2025 a 2026 sa OVzat-1 rovná nule, |
| f) PNozekvt-1 sú plánované náklady organizátora krátkodobého trhu s elektrinou na podporu elektriny vyrobenej z obnoviteľných zdrojov energie a vysoko účinnou kombinovanou výrobou v roku t-1 v eurách, ktoré sa vypočítajú podľa vzorca |
| PNozekvt–1 = PNDt–1 + PNPt–1 + PNVEt–1 – PFPt–1 – PVzpt–1 – PVzat–1, |
| kde |
| 1. PNDt-1 sú plánované náklady organizátora krátkodobého trhu s elektrinou na doplatok pre výrobcov elektriny z obnoviteľných zdrojov energie a vysoko účinnou kombinovanou výrobou v roku t-1 v eurách, |
| 2. PNPt-1 sú plánované náklady organizátora krátkodobého trhu s elektrinou na príplatok pre výrobcov elektriny z obnoviteľných zdrojov energie a vysoko účinnou kombinovanou výrobou v roku t-1 v eurách, |
| 3. PNVEt-1 sú plánované náklady organizátora krátkodobého trhu s elektrinou na úhradu za činnosť výkupcu elektriny v roku t-1 v eurách, |
| 4. PFPt-1 je plánovaná výška finančných prostriedkov poskytnutých ministerstvom hospodárstva na financovanie nákladov vynaložených na zúčtovanie podpory v roku t-1 v eurách, |
| 5. PVzpt-1 sú plánované výnosy z uplatňovania taríf za vedenie účtu, za vydanie záruk pôvodu elektriny a za prevody záruk pôvodu elektriny v roku t-1 v eurách; pre výpočet Kozekvt pre roky 2025 a 2026 sa PVzpt-1 rovná nule, |
| 6. PVzat-1 sú plánované výnosy z predaja záruk pôvodu elektriny vydaných podľa § 8b ods. 3 zákona o podpore v roku t-1 v eurách; pre výpočet Kozekvt pre roky 2025 a 2026 sa PVzat-1 rovná nule, |
| g) PVozekvt-1 sú plánované výnosy organizátora krátkodobého trhu s elektrinou z alikvotnej časti tarify za prevádzkovanie systému určenej na podporu elektriny vyrobenej z obnoviteľných zdrojov energie a vysoko účinnou kombinovanou výrobou na rok t-1 v eurách, ktoré sa vypočítajú podľa vzorca |
| PVozekvt–1 = Nozekvt–1 – KOKTEt–1, |
| kde |
| 1. Nozekvt-1 sú celkové plánované náklady na podporu elektriny vyrobenej z obnoviteľných zdrojov energie a vysoko účinnou kombinovanou výrobou v eurách v roku t-1, |
| 2. KOKTEt-1 je korekcia nákladov a výnosov organizátora krátkodobého trhu s elektrinou na podporu elektriny vyrobenej z obnoviteľných zdrojov energie a vysoko účinnou kombinovanou výrobou za piate regulačné obdobie v eurách v roku t-1, |
| h) OVozekvt-1 sú očakávané výnosy organizátora krátkodobého trhu s elektrinou z alikvotnej časti tarify za prevádzkovanie systému určenej na podporu elektriny vyrobenej z obnoviteľných zdrojov energie a vysoko účinnou kombinovanou výrobou v roku t-1 v eurách, ktoré sa vypočítajú podľa vzorca |
| 
|
| kde |
| 1. Nozekvt-1 sú celkové plánované náklady na podporu elektriny vyrobenej z obnoviteľných zdrojov energie a vysoko účinnou kombinovanou výrobou v eurách v roku t-1, |
| 2. KOKTEt-1 je korekcia nákladov a výnosov organizátora krátkodobého trhu s elektrinou na podporu elektriny vyrobenej z obnoviteľných zdrojov energie a vysoko účinnou kombinovanou výrobou za piate regulačné obdobie v eurách v roku t-1, |
| 3. QOKStpst-1 je celková očakávaná skutočná koncová spotreba elektriny v jednotkách množstva elektriny na rok t-1, na ktorú sa uplatňujú tarify za prevádzkovanie systému, |
| 4. QPKStpst-1 je celková plánovaná koncová spotreba elektriny v jednotkách množstva elektriny na rok t-1, na ktorú sa uplatňujú tarify za prevádzkovanie systému. |
| (8) Dodatočné náklady na prevádzkovanie systému v eurách na rok t DNPSt sa vypočítajú podľa vzorca
|
| , |
| kde |
| a) PFNt sú plánované náklady na úrok na zabezpečenie finančných prostriedkov na prevádzkové náklady v súvislosti s výkonom činností organizátorom krátkodobého trhu s elektrinou v roku t v eurách, |
| b) KDNPSt je korekcia dodatočných nákladov na prevádzkovanie systému na rok t v eurách, ktorá sa vypočíta podľa vzorca |
| 
|
| kde |
| 1. SFNt-2 sú skutočné náklady na úrok na zabezpečenie finančných prostriedkov na prevádzkové náklady v súvislosti s výkonom činností organizátorom krátkodobého trhu s elektrinou v roku t-2 v eurách, |
| 2. PFNt-2 sú plánované náklady na úrok na zabezpečenie finančných prostriedkov na prevádzkové náklady v súvislosti s výkonom činností organizátorom krátkodobého trhu s elektrinou v roku t-2 v eurách, |
| 3. DNPSt-2 sú dodatočné náklady na prevádzkovanie systému v eurách na rok t-2, |
| 4. QSKStpst-2 je celková skutočná koncová spotreba elektriny v jednotkách množstva elektriny na rok t-2, na ktorú sa uplatňujú tarify za prevádzkovanie systému, |
| 5. QPKStpst-2 je celková plánovaná koncová spotreba elektriny v jednotkách množstva elektriny na rok t-2, na ktorú sa uplatňujú tarify za prevádzkovanie systému. |
| (9) Korekcia vplyvu pásmovej tarify za prevádzkovanie systému v eurách na rok t KVPTPSt sa vypočíta podľa vzorca
|
| KVPTPSt = OVPTPSt–2 – SVPTPSt–2 + PVPTPSt–1 – OVPTPSt–1, |
| kde |
| a) OVPTPSt-2 je očakávaný vplyv pásmovej tarify za prevádzkovanie systému v roku t-2 v eurách, ktorý sa vypočíta podľa vzorca |
| OVPTPSt–2 = OVTPSt–2 – ONPSt–2, |
| kde |
| 1. OVTPSt-2 sú očakávané výnosy z tarify za prevádzkovanie systému v roku t-2 v eurách, |
| 2. ONPSt-2 sú očakávané náklady na prevádzkovanie systému v roku t-2 v eurách, |
| b) SVPTPSt-2 je skutočný vplyv pásmovej tarify za prevádzkovanie systému v roku t-2 v eurách, ktorý sa vypočíta podľa vzorca |
| SVPTPSt–2 = SVTPSt–2 – SNPSt–2, |
| kde |
| 1. SVTPSt-2 sú skutočné výnosy z tarify za prevádzkovanie systému v roku t-2 v eurách, |
| 2. SNPSt-2 sú skutočné náklady na prevádzkovanie systému v roku t-2 v eurách, |
| c) PVPTPSt-1 je plánovaný vplyv pásmovej tarify za prevádzkovanie systému v roku t-1 v eurách, ktorý sa vypočíta podľa vzorca |
| PVPTPSt–1 = PVTPSt–1 – PNPSt–1, |
| kde |
| 1. PVTPSt-1 sú plánované výnosy z tarify za prevádzkovanie systému v roku t-1 v eurách, |
| 2. PNPSt-1 sú plánované náklady na prevádzkovanie systému v roku t-1 v eurách, |
| d) OVPTPSt-1 je očakávaný vplyv pásmovej tarify za prevádzkovanie systému v roku t-1 v eurách, ktorý sa vypočíta podľa vzorca |
| OVPTPSt–1 = OVTPSt–1 – ONPSt–1, |
| kde |
| 1. OVTPSt-1 sú očakávané výnosy z tarify za prevádzkovanie systému v roku t-1 v eurách, |
| 2. ONPSt-1 sú očakávané náklady na prevádzkovanie systému v roku t-1 v eurách. |
| (10) Tarifa za prevádzkovanie systému sa neuplatňuje za |
| a) vlastnú spotrebu elektriny pri výrobe elektriny, ktorá nie je odobratá zo sústavy, |
| b) ostatnú vlastnú spotrebu elektriny pri výrobe elektriny, ktorá nebola odobratá zo sústavy, |
| c) elektrinu uskladnenú v zariadení na uskladňovanie elektriny, odobratú zo sústavy, ku ktorej je zariadenie na uskladňovanie elektriny pripojené, alebo odobratú od výrobcu elektriny bez použitia sústavy, ktorá je následne po uskladnení dodaná do sústavy, |
| d) straty elektriny v sústave, |
| e) vlastnú spotrebu elektriny prevádzkovateľa sústavy pri prevádzkovaní sústavy, |
| f) elektrinu exportovanú zo sústavy v rámci prevádzky medzinárodne prepojených sústav, |
| g) spotrebu elektriny pri skúškach po ukončení výstavby zariadenia na výrobu elektriny alebo zariadenia na uskladňovanie elektriny pred jeho uvedením do prevádzky, ak takéto skúšky sú vykonané prostredníctvom odberu elektriny z prenosovej sústavy, |
| h) vlastnú spotrebu elektriny výrobcu elektriny v zariadení na výrobu elektriny alebo prevádzkovateľa zariadení na uskladňovanie elektriny v zariadení na uskladňovanie elektriny, ktorí nepodnikajú v energetike, |
| i) spotrebu elektriny vyrobenej v zariadení na výrobu elektriny, ktoré nie je pripojené do sústavy a je trvalo oddelené od sústavy, |
| j) elektrinu vyrobenú v zariadení na kombinovanú výrobu a spotrebovanú na výrobu tepla z obnoviteľných zdrojov energie využitého v centralizovanom zásobovaní teplom, podľa § 3 ods. 16 zákona o podpore, |
| k) elektrinu vyrobenú v lokálnom zdroji a spotrebovanú v odbernom mieste identickom s odovzdávacím miestom lokálneho zdroja, podľa § 4b ods. 19 zákona o podpore, |
| l) elektrinu vyrobenú a spotrebovanú spoločenstvom vlastníkov bytov a nebytových priestorov v bytovom dome bez využitia distribučnej sústavy. |
| (11) Pre odberateľa elektriny pripojeného do prenosovej sústavy sa uplatňuje tarifa za prevádzkovanie systému len za elektrinu odobratú z prenosovej sústavy. |
| (12) Pre odberateľa elektriny pripojeného do regionálnej distribučnej sústavy sa uplatňuje tarifa za prevádzkovanie systému len za elektrinu odobratú z distribučnej sústavy. |
| (13) Pre odberateľa elektriny pripojeného do miestnej distribučnej sústavy sa uplatňuje tarifa za prevádzkovanie systému len za elektrinu odobratú zo sústavy. |
| (14) Pre odberateľa elektriny, ktorý odoberá elektrinu od výrobcu elektriny bez použitia prenosovej sústavy alebo distribučnej sústavy, sa tarifa za prevádzkovanie systému neuplatňuje. |
| § 8 |
| Individuálna sadzba tarify za prevádzkovanie systému |
| (1) Individuálna sadzba tarify za prevádzkovanie systému na rok t v eurách na jednotku množstva elektriny sa uplatňuje vo výške TPS4,t, ktorá sa vypočíta podľa vzorca |
| TPS4,t = (1 – Kistpst) × TPS1,t, |
| kde |
| a) Kistpst je koeficient individuálnej sadzby tarify za prevádzkovanie systému v roku t najviac vo výške 0,95, |
| b) TPS1,t je sadzba tarify za prevádzkovanie systému uplatnená na koncovú spotrebu elektriny odobratú zo sústavy skupiny 1 koncových odberateľov elektriny, na ktorú sa uplatňuje tarifa za prevádzkovanie systému v eurách na jednotku množstva elektriny v roku t. |
| (2) Individuálna sadzba tarify za prevádzkovanie systému v eurách na jednotku množstva elektriny podľa odseku 1 sa uplatňuje na koncovú spotrebu elektriny, na ktorú sa uplatňuje tarifa za prevádzkovanie systému koncového odberateľa elektriny, ktorý predloží úradu správu podľa § 12 ods. 8 zákona o regulácii a preukáže, že najmenej 80 % jeho koncovej spotreby elektriny zodpovedá niektorému z kódov činnosti podniku alebo ich kombinácii podľa štatistickej klasifikácie ekonomických činností21) uvedených v zozname podľa prílohy č. 3 a zároveň jeho elektroenergetická náročnosť podľa odseku 3 sa rovná alebo je väčšia ako elektroenergetická náročnosť podľa odseku 7. |
| (3) Elektroenergetická náročnosť podniku v percentách sa vypočíta podľa vzorca
|
| , |
| kde |
| a) E je spotreba elektriny koncového odberateľa elektriny v jednotkách množstva elektriny, ktorá sa určí podľa odseku 4, |
| b) C je cena elektriny v eurách na jednotku množstva elektriny, ktorá sa určí podľa odseku 5, |
| c) HPH je hrubá pridaná hodnota podniku v eurách, ktorá sa určí ako aritmetický priemer hodnôt hrubej pridanej hodnoty podniku za posledné tri kalendárne roky vypočítaných podľa odseku 6. |
| (4) Spotreba elektriny koncového odberateľa elektriny E v jednotkách množstva elektriny sa určuje ako aritmetický priemer hodnôt koncovej spotreby elektriny koncového odberateľa elektriny za posledné tri kalendárne roky. |
| (5) Cena elektriny C v eurách na jednotkách množstva elektriny sa určuje ako aritmetický priemer maloobchodných cien elektrickej energie pre odberateľov elektriny mimo domácnosti v kategórii spotreby od 500 MWh do 1 999 MWh v roku t-2 v eurách na jednotku množstva elektriny, bez dane z pridanej hodnoty zverejnených Štatistickým úradom Európskej únie (ďalej len „Eurostat“) pre Slovenskú republiku. |
| (6) Hrubá pridaná hodnota podniku v kalendárnom roku HPH sa vypočíta podľa vzorca
|
| HPH = TVVT + AHNIM + OPV + ZSZ – NTS – CDV, |
| kde |
| a) TVVT sú tržby za vlastné výkony a tovar v eurách za kalendárny rok, |
| b) AHNIM je aktivácia hmotného a nehmotného investičného majetku v eurách za kalendárny rok, |
| c) OPV sú ostatné prevádzkové výnosy bez výnosov z odpísaných pohľadávok, výnosov z predaja pohľadávok, výnosov z postúpených pohľadávok a výnosov z faktoringu v eurách za kalendárny rok, |
| d) ZSZ je zmena stavu zásob v eurách za kalendárny rok, |
| e) NTS sú náklady na nákup tovaru, materiálu, energie a služieb bez nákladov na personálny lízing a nákladov na operatívny lízing v eurách za kalendárny rok, |
| f) CDV sú clá a dane súvisiace s výrobou a iné dane z výrobkov, ktoré súvisia s tržbami, ale nie sú odpočítateľné v eurách za kalendárny rok. |
| (7) Minimálna požadovaná elektroenergetická náročnosť podniku na určenie individuálnej sadzby tarify za prevádzkovanie systému EENpt v percentách, ktorá sa pre rok 2020 určuje vo výške 100 % a pre nasledujúce roky sa vypočíta podľa vzorca
|
| EENpt = EENpt–1 × kzcet, |
| kde |
| a) EENpt-1 je minimálna požadovaná elektroenergetická náročnosť podniku na určenie individuálnej sadzby tarify za prevádzkovanie systému v roku t-1 v percentách, |
| b) kzcet je koeficient zmeny cien elektriny pre rok t, ktorý sa vypočíta podľa vzorca |
| 
|
| kde |
| 1. CEeurostat,t-2 je aritmetický priemer maloobchodných cien elektrickej energie pre odberateľov elektriny mimo domácnosti v kategórii spotreby od 500 MWh do 1 999 MWh v roku t-2 v eurách na jednotku množstva elektriny, bez dane z pridanej hodnoty zverejnených Eurostatom pre Slovenskú republiku, |
| 2. CEeurostat,t-3 je aritmetický priemer maloobchodných cien elektrickej energie pre odberateľov elektriny mimo domácnosti v kategórii spotreby od 500 MWh do 1 999 MWh v roku t-3 v eurách na jednotku množstva elektriny, bez dane z pridanej hodnoty zverejnených Eurostatom pre Slovenskú republiku. |
| (8) Na výpočty podľa odsekov 2 až 6 sa použijú aritmetické priemery údajov koncového odberateľa elektriny za obdobie posledných troch kalendárnych rokov v štruktúre podľa prílohy č. 4. Ak koncový odberateľ elektriny vykonáva činnosť menej ako tri kalendárne roky, alebo v priebehu posledných troch kalendárnych rokov bola jeho činnosť prerušená dlhšie ako jeden kalendárny rok, použijú sa aritmetické priemery údajov za dva kalendárne roky predchádzajúce roku, v ktorom došlo k prerušeniu činnosti, za ktoré sú údaje k dispozícii. Ak koncový odberateľ elektriny vykonáva činnosť menej ako dva kalendárne roky, použijú sa údaje za kalendárny rok, za ktorý sú údaje k dispozícii. |
| (9) Správa, ktorú vypracúva koncový odberateľ elektriny na účely priznania individuálnej tarify za prevádzkovanie systému obsahuje |
| a) pri právnickej osobe obchodné meno, sídlo a identifikačné číslo organizácie, ak je pridelené, a pri fyzickej osobe – podnikateľovi meno a priezvisko, miesto podnikania a identifikačné číslo organizácie, ak je pridelené, |
| b) potvrdenie alebo vyhlásenie o koncovej spotrebe elektriny koncového odberateľa elektriny v jednotkách množstva elektriny, pričom ak koncový odberateľ elektriny |
| 1. je subjektom zúčtovania, potvrdenie o koncovej spotrebe elektriny vyhotovené organizátorom krátkodobého trhu s elektrinou, |
| 2. nie je subjektom zúčtovania, potvrdenie o koncovej spotrebe elektriny vystavené dodávateľom elektriny, ktorý za odberné miesta koncového odberateľa elektriny prevzal zodpovednosť za odchýlku, |
| 3. je výrobcom elektriny a vyrobenú elektrinu spotrebúva pre vlastnú spotrebu, vyhlásenie o koncovej spotrebe elektriny vypracované koncovým spotrebiteľom, |
| 4. spĺňa viacero kritérií uvedených v prvom až treťom bode a na preukázanie splnenia podmienky podľa § 12 ods. 7 písm. a) zákona o regulácii nepostačuje jedno potvrdenie alebo vyhlásenie, súčasťou správy sú aj príslušné potvrdenia alebo vyhlásenia podľa prvého až tretieho bodu, |
| c) elektroenergetickú náročnosť podniku v percentách vypočítanú podľa odseku 3, |
| d) údaje nevyhnutné na výpočet elektroenergetickej náročnosti podniku podľa prílohy č. 4 tabuľky č. 3, a to |
| 1. hrubú pridanú hodnotu podniku, |
| 2. aritmetický priemer maloobchodných cien elektrickej energie pre odberateľov elektriny okrem odberateľov elektriny v domácnosti v kategórii spotreby od 500 MWh do 1 999 MWh v roku t-2 v eurách na jednotku množstva elektriny, bez dane z pridanej hodnoty zverejnených Eurostatom pre Slovenskú republiku, |
| 3. koncovú spotrebu elektriny podniku v jednotkách množstva elektriny, |
| e) údaje nevyhnutné na výpočet hrubej pridanej hodnoty podniku vypočítanej podľa odseku 6 a prílohy č. 4 tabuľky č. 1, a to |
| 1. tržby za vlastné výkony a tovar v eurách, |
| 2. aktiváciu hmotného investičného majetku a nehmotného investičného majetku v eurách, |
| 3. ostatné prevádzkové výnosy v eurách, |
| 4. výnosy z odpísaných pohľadávok, výnosy z predaja pohľadávok, výnosy z postúpených pohľadávok, výnosy z faktoringu a ďalšie výnosy súvisiace s postúpením pohľadávok v eurách, |
| 5. zmenu stavu zásob v eurách, |
| 6. náklady na nákup tovaru, materiálu, energie a služieb, vrátane nákladov na personálny lízing a operatívny lízing v eurách, |
| 7. náklady na personálny lízing v eurách, |
| 8. náklady na operatívny lízing v eurách, |
| 9. clá a dane súvisiace s výrobou a iné dane z výrobkov, ktoré súvisia s tržbami, ale nie sú odpočítateľné v eurách, |
| 10. hrubú pridanú hodnotu podniku v eurách, |
| f) ostatné údaje na posúdenie nároku na určenie individuálnej sadzby tarify za prevádzkovanie systému podľa prílohy č. 4 tabuľky č. 2, a to |
| 1. koncovú spotrebu elektriny zodpovedajúcu jednotlivým kódom činnosti podniku podľa štatistickej klasifikácie ekonomických činností uvedených v prílohe č. 3 v jednotkách množstva elektriny, |
| 2. podiel súčtu koncovej spotreby elektriny podniku podľa prvého bodu a koncovej spotreby elektriny podniku podľa písmena d) tretieho bodu v percentách, |
| g) potvrdenie preukazujúce správnosť výpočtu podľa písmena f) druhého bodu vyhotovené znalcom v odbore Elektrotechnika – Elektroenergetické stroje a zariadenia alebo Energetika – Regulácia a riadenie sieťových odvetví. |
| § 9 |
| (1) Ak účastník trhu s elektrinou zvolí pre svoje odberné miesto alebo odovzdávacie miesto režim prenesenej zodpovednosti za odchýlku, uhrádza sa platba za prevádzkovanie systému účastníkovi trhu s elektrinou, ktorý za jeho odberné alebo odovzdávacie miesto prevezme zodpovednosť za odchýlku. |
| (2) Ak účastník trhu s elektrinou prevezme zodpovednosť za odchýlku za odberné miesto alebo odovzdávacie miesto iného účastníka trhu s elektrinou a nie je subjektom zúčtovania, uhrádza sa platba za prevádzkovanie systému účastníkovi trhu s elektrinou, ktorý za neho prevezme zodpovednosť za odchýlku. |
| § 10 |
| Cenová regulácia výkonu činnosti organizátora krátkodobého trhu s elektrinou a spôsob úhrady osobitných nákladov |
| (1) Cenová regulácia podľa odsekov 2 až 4 a § 11 až 14 sa vzťahuje na výkon činnosti organizátora krátkodobého trhu s elektrinou. |
| (2) Súčasťou návrhu ceny sú |
| a) návrh cien alebo taríf za výkon činnosti organizátora krátkodobého trhu s elektrinou vrátane ich štruktúry na rok t, ktoré sa uplatňujú pre účastníka trhu s elektrinou, vrátane podmienok ich pridelenia, |
| b) údaje nevyhnutné na preverenie taríf za rok t-2 v členení za |
| 1. zúčtovanie, vyhodnotenie a vysporiadanie odchýlok, |
| 2. organizovanie a vyhodnotenie krátkodobého trhu s elektrinou, |
| 3. ostatné činnosti vykonávané organizátorom krátkodobého trhu s elektrinou, |
| c) plán investícií a plán odpisov za regulovanú činnosť v rokoch t, t+1 a t+2, |
| d) výpočty a údaje podľa § 11 až 13 týkajúce sa výkonu činnosti organizátora krátkodobého trhu s elektrinou, |
| e) doklad preukazujúci schválenie návrhu ceny najvyšším orgánom obchodnej spoločnosti alebo družstva alebo spoločníkmi verejnej obchodnej spoločnosti alebo spoločníkmi komanditnej spoločnosti regulovaného subjektu, |
| f) podklady podľa prílohy č. 5 predkladané v termínoch v nej uvedených, |
| g) ďalšie podklady nevyhnutné na správne posúdenie návrhu ceny. |
| (3) Podklady podľa odseku 2 sa predkladajú v listinnej podobe a podklady podľa odseku 2 písm. a), b) a d) sa predkladajú aj v elektronickej podobe do elektronickej schránky.22) Vyplnené tabuľky podľa prílohy č. 5 sa predkladajú v elektronickej podobe vo formáte, ktorý zachováva úplnú funkčnosť tabuľkového editora. |
| (4) Ustanovenia o návrhu ceny sa primerane vzťahujú aj na návrh na zmenu cenového rozhodnutia. |
| (5) Koeficient zahrnutia hodnoty základného imania organizátora krátkodobého trhu s elektrinou kZIt sa určuje úradom pre |
| a) činnosti zúčtovanie, vyhodnotenie a vysporiadanie odchýlok pre rok t vo výške 0 až 1, |
| b) činnosti organizovanie a vyhodnotenie krátkodobého trhu s elektrinou pre rok t vo výške 0 až 1, |
| c) výkon ostatných činností organizátora krátkodobého trhu s elektrinou pre rok t vo výške 0 až 1. |
| § 11 |
| (1) Pre subjekt zúčtovania sa uplatňuje tarifa za zúčtovanie, vyhodnotenie a vysporiadanie odchýlok v štvrťhodinovom rozlíšení, kde najväčší výnos PPZOt z týchto platieb v eurách v roku t sa vypočíta podľa vzorca
|
| PPOt = PNZOt + POZOt + ZIt × WACC × kZIt + INVZOt – KZOt, |
| kde |
| a) PNZOt sú schválené alebo určené plánované ročné prevádzkové náklady súvisiace so zúčtovaním, vyhodnotením a vysporiadaním odchýlok zúčtovateľa odchýlok v eurách v roku t, |
| b) POZOt sú schválené alebo určené plánované odpisy v eurách na rok t súvisiace s regulovanou činnosťou z plánovanej hodnoty regulačnej bázy aktív nevyhnutne využívanej pre regulovanú činnosť v roku t, |
| c) ZIt je hodnota základného imania organizátora krátkodobého trhu s elektrinou k dátumu podania cenového návrhu v eurách, ktorá sa zohľadní pre rok t, |
| d) WACC je miera výnosnosti regulačnej bázy aktív na 6. regulačné obdobie určená podľa § 5, |
| e) kZIt je koeficient zahrnutia hodnoty základného imania organizátora krátkodobého trhu s elektrinou určený úradom vo výške 0 až 1 pre rok t, |
| f) INVZOt je faktor investícií v eurách v roku t, ktorého hodnota sa vypočíta podľa vzorca |
| INVZOt = SOzot–2 – POzot–2, |
| kde |
| 1. SOzot-2 sú skutočné odpisy v eurách z investícií zaradených do hodnoty regulačnej bázy aktív v eurách nevyhnutne využívaných na zúčtovanie, vyhodnotenie a vysporiadanie odchýlok v roku t-2, |
| 2. POzot-2 sú schválené alebo určené plánované odpisy z investícií, plánovaných zaradiť do hodnoty regulačnej bázy aktív v eurách nevyhnutne využívaných na zúčtovanie, vyhodnotenie a vysporiadanie odchýlok v roku t-2, |
| g) KZOt je faktor vyrovnania v eurách na rok t, ktorý sa vypočíta podľa vzorca |
| 
|
| kde |
| 1. PZOt-2 je ročná fixná platba za prístup do systému zúčtovania, vyhodnotenia a vysporiadania odchýlok v roku t-2 v eurách určená pre subjekt zúčtovania odchýlok, ktorý si zvolí režim vlastnej zodpovednosti za odchýlku a ktorý má uzavretú zmluvu o zúčtovaní, vyhodnotení a vysporiadaní odchýlok, a pre subjekt, ktorý poskytuje podporné služby, ale má prenesenú zodpovednosť za odchýlku na inú bilančnú skupinu, |
| 2. SQt-2SZ je skutočný počet subjektov zúčtovania odchýlok v roku t-2, ktoré si zvolia režim vlastnej zodpovednosti za odchýlku, a ktoré majú uzavretú zmluvu o zúčtovaní, vyhodnotení a vysporiadaní odchýlok, |
| 3. SQt-2PZ je skutočný počet subjektov v roku t-2, ktoré poskytujú podporné služby, a zároveň majú prenesenú zodpovednosť za odchýlku na inú bilančnú skupinu, |
| 4. Qt-2SZ je plánovaný počet subjektov zúčtovania odchýlok v roku t-2, ktoré si mali zvoliť režim vlastnej zodpovednosti za odchýlku, a ktoré mali mať uzavretú zmluvu o zúčtovaní, vyhodnotení a vysporiadaní odchýlok, |
| 5. Qt-2PZ je plánovaný počet subjektov v roku t-2, ktoré mali poskytovať podporné služby, a zároveň mali mať prenesenú zodpovednosť za odchýlku na inú bilančnú skupinu, |
| 6. TZOt-2 je tarifa za zúčtovanie, vyhodnotenie a vysporiadanie odchýlok v roku t-2 v eurách za jednotku množstva elektriny určená pre subjekt zúčtovania odchýlok, ktorý si zvolí režim vlastnej zodpovednosti za odchýlku, a ktorý má uzavretú zmluvu o zúčtovaní, vyhodnotení a vysporiadaní odchýlok, a pre subjekt, ktorý poskytuje podporné služby, ale má prenesenú zodpovednosť za odchýlku na inú bilančnú skupinu, |
| 7. SQt-2DD je celkový skutočný objem dohodnutého množstva elektriny, ktorý sa vypočíta ako suma zmluvnej dodávky a zmluvného odberu vrátane plánovaných cezhraničných prenosov, bilančných skupín subjektov zúčtovania odchýlok, ktoré si zvolili režim vlastnej zodpovednosti za odchýlku, a ktoré mali uzavretú zmluvu o zúčtovaní, vyhodnotení a vysporiadaní odchýlok, podľa denných diagramov v jednotkách množstva elektriny v roku t-2, |
| 8. SQt-2RE je celkový skutočný objem poskytnutej regulačnej elektriny subjektami, ktoré poskytovali podporné služby, a zároveň mali prenesenú zodpovednosť za odchýlku na inú bilančnú skupinu, v jednotkách množstva elektriny v roku t-2, |
| 9. Qt-2DD je celkový plánovaný objem dohodnutého množstva elektriny, ktorý sa vypočíta ako suma zmluvnej dodávky a zmluvného odberu vrátane plánovaných cezhraničných prenosov, bilančných skupín subjektov zúčtovania odchýlok, ktoré si mali zvoliť režim vlastnej zodpovednosti za odchýlku, a ktoré mali mať uzavretú zmluvu o zúčtovaní, vyhodnotení a vysporiadaní odchýlok, podľa denných diagramov v jednotkách množstva elektriny v roku t-2, |
| 10. Qt-2RE je celkový plánovaný objem poskytnutej regulačnej elektriny subjektami, ktoré mali poskytovať podporné služby, a zároveň mali prenesenú zodpovednosť za odchýlku na inú bilančnú skupinu, v jednotkách množstva elektriny v roku t-2. |
| (2) Ročná fixná platba za prístup do systému zúčtovania, vyhodnotenia a vysporiadania odchýlok PZOt v eurách v roku t určená pre subjekt zúčtovania odchýlok, ktorý si zvolil režim vlastnej zodpovednosti za odchýlku, má uzavretú zmluvu o zúčtovaní, vyhodnotení a vysporiadaní odchýlok, a pre subjekt, ktorý poskytuje podporné služby, a zároveň má prenesenú zodpovednosť za odchýlku na inú bilančnú skupinu, sa vypočíta podľa vzorca
|
| , |
| kde |
| a) PPZOt je maximálny povolený výnos za zúčtovanie, vyhodnotenie a vysporiadanie odchýlok v roku t v eurách, |
| b) QtSZ je plánovaný počet subjektov zúčtovania v roku t, ktoré si zvolili režim vlastnej zodpovednosti za odchýlku, majú uzavretú zmluvu o zúčtovaní, vyhodnotení a vysporiadaní odchýlok, |
| c) QtPZ je plánovaný počet subjektov v roku t, ktoré poskytujú podporné služby, majú prenesenú zodpovednosť za odchýlku na inú bilančnú skupinu. |
| (3) Tarifa za zúčtovanie, vyhodnotenie a vysporiadanie odchýlok TZOt v eurách na jednotku množstva elektriny v roku t určená pre subjekt zúčtovania odchýlok, ktorý si zvolil režim vlastnej zodpovednosti za odchýlku, má uzavretú zmluvu o zúčtovaní, vyhodnotení a vysporiadaní odchýlok, a pre subjekt, ktorý poskytuje podporné služby, a zároveň má prenesenú zodpovednosť za odchýlku na inú bilančnú skupinu, sa vypočíta podľa vzorca
|
| , |
| kde |
| a) PPZOt je maximálny povolený výnos za zúčtovanie, vyhodnotenie a vysporiadanie odchýlok v roku t v eurách, |
| b) QtDD je celkový plánovaný objem dohodnutého množstva elektriny, ktorý sa vypočíta ako suma zmluvnej dodávky a zmluvného odberu vrátane plánovaných cezhraničných prenosov elektriny, bilančných skupín subjektov zúčtovania odchýlok, ktoré si zvolili režim vlastnej zodpovednosti za odchýlku, majú uzavretú zmluvu o zúčtovaní, vyhodnotení a vysporiadaní odchýlok, podľa denných diagramov v jednotkách množstva elektriny v roku t, |
| c) QtRE je celkový plánovaný objem poskytnutej regulačnej elektriny subjektami, ktoré poskytujú podporné služby, majú prenesenú zodpovednosť za odchýlku na inú bilančnú skupinu, v jednotkách množstva elektriny v roku t. |
| (4) Pre subjekty zúčtovania, ktoré si zvolili režim vlastnej zodpovednosti za odchýlku, majú uzavretú zmluvu o zúčtovaní, vyhodnotení a vysporiadaní odchýlok, a pre subjekty, ktoré poskytujú podporné služby, a zároveň majú prenesenú zodpovednosť za odchýlku na inú bilančnú skupinu, sa uplatňuje ročná fixná platba za prístup do systému zúčtovania, vyhodnotenia a vysporiadania odchýlok PZOt podľa odseku 2 v roku t v eurách. |
| (5) Pre subjekty zúčtovania, ktoré si zvolili režim vlastnej zodpovednosti za odchýlku, majú uzavretú zmluvu o zúčtovaní, vyhodnotení a vysporiadaní odchýlok, sa uplatňuje tarifa za zúčtovanie, vyhodnotenie a vysporiadanie odchýlok TZOt v eurách na jednotku množstva elektriny, vypočítaná podľa odseku 3, na dohodnuté množstvo elektriny ich bilančných skupín podľa denných diagramov v roku t. |
| (6) Pre subjekty, ktoré poskytujú podporné služby, majú prenesenú zodpovednosť za odchýlku na inú bilančnú skupinu, sa uplatňuje tarifa za zúčtovanie, vyhodnotenie a vysporiadanie odchýlok TZOt v eurách na jednotku množstva elektriny, vypočítaná podľa odseku 3 na objem poskytnutej regulačnej elektriny v jednotkách množstva elektriny určeného prevádzkovateľom prenosovej sústavy v roku t. |
| § 12 |
| (1) Pre subjekty zúčtovania, ktoré majú s organizátorom krátkodobého trhu s elektrinou uzatvorenú zmluvu o prístupe a podmienkach účasti na organizovanom krátkodobom trhu s elektrinou, sa uplatňujú tarify za organizovanie a vyhodnotenie krátkodobého trhu s elektrinou a schválený alebo určený maximálny výnos VOTEt z týchto platieb a z alikvotnej časti výnosu z tarify za prevádzkovanie systému v roku t v eurách sa vypočíta podľa vzorca
|
| VOTEt = PNOTEt + POOTEt + ZIt × WACC × kZIt + INVOTEt – KOTEt, |
| kde |
| a) PNOTEt sú schválené alebo určené plánované ročné prevádzkové náklady súvisiace s organizovaním a vyhodnotením krátkodobého trhu s elektrinou na rok t v eurách, |
| b) POOTEt sú schválené alebo určené plánované odpisy na rok t v eurách súvisiace s regulovanou činnosťou z plánovanej hodnoty regulačnej bázy aktív nevyhnutne využívanej pre regulovanú činnosť v roku t, |
| c) ZIt je hodnota základného imania organizátora krátkodobého trhu s elektrinou k dátumu podania cenového návrhu v eurách, ktorá sa zohľadní pre rok t, |
| d) WACC je miera výnosnosti regulačnej bázy aktív na 6. regulačné obdobie určená podľa § 5, |
| e) kZIt je koeficient zahrnutia hodnoty základného imania organizátora krátkodobého trhu s elektrinou určený úradom vo výške 0 až 1 pre rok t, |
| f) INVOTEt je faktor investícií v roku t v eurách, ktorého hodnota sa vypočíta podľa vzorca |
| INVOTEt = SOotet–2 – POotet–2, |
| kde |
| 1. SOotet-2 sú skutočné odpisy v eurách z investícií zaradených do hodnoty regulačnej bázy aktív nevyhnutne využívaných na organizovanie a vyhodnotenie krátkodobého trhu s elektrinou v roku t-2, |
| 2. POotet-2 sú schválené alebo určené plánované odpisy z investícií, plánovaných zaradiť do hodnoty regulačnej bázy aktív nevyhnutne využívaných na organizovanie a vyhodnotenie krátkodobého trhu s elektrinou v roku t-2, |
| g) KOTEt je faktor vyrovnania v roku t v eurách vypočítaný podľa odseku 3. |
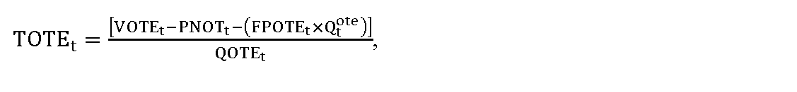
| (2) Tarifa za organizovanie a vyhodnotenie krátkodobého trhu s elektrinou TOTEt schválená alebo určená cenovým rozhodnutím na rok t v eurách na jednotku množstva elektriny nakúpenej a predanej účastníkom krátkodobého trhu s elektrinou sa vypočíta podľa vzorca |
| 
|
| kde |
| a) VOTEt je schválený alebo určený maximálny výnos v eurách na rok t, určený podľa odseku 1, |
| b) Tarifa za prevádzkovanie systému a alikvotná časť tarify za prevádzkovanie systému na organizovanie a vyhodnotenie krátkodobého trhu s elektrinou organizátora krátkodobého trhu s elektrinou TPSotet v roku t v eurách sa vypočíta podľa vzorca |
| , |
| kde |
| 1. PNOTt sú schválené alebo určené plánované náklady zohľadňujúce alikvotnú časť nákladov na organizovanie a vyhodnotenie krátkodobého trhu s elektrinou na rok t v eurách, |
| 2. QPKStpst je celkové množstvo plánovanej koncovej spotreby elektriny odobratej zo sústavy v jednotkách množstva elektriny v roku t, na ktorú sa uplatňujú tarify za prevádzkovanie systému, |
| c) FPOTEt je ročná fixná platba na rok t v eurách schválená alebo určená cenovým rozhodnutím pre subjekt zúčtovania, ktorý je účastníkom organizovaného krátkodobého trhu s elektrinou, |
| d) Qtote je plánovaný počet účastníkov organizovaného krátkodobého trhu s elektrinou v roku t, |
| e) QOTEt je plánované množstvo elektriny v jednotkách množstva elektriny na rok t nakúpenej a predanej účastníkmi krátkodobého trhu s elektrinou. |
| (3) Faktor vyrovnania KOTEt v roku t v eurách sa vypočíta podľa vzorca |
| 
|
| kde |
| a) SQt-2ote je skutočný počet účastníkov organizovaného krátkodobého trhu s elektrinou v roku t-2, |
| b) Qt-2ote je plánovaný počet účastníkov organizovaného krátkodobého trhu s elektrinou v roku t-2, |
| c) FPOTEt-2 je ročná fixná platba na rok t-2 v eurách schválená alebo určená cenovým rozhodnutím pre subjekt zúčtovania, ktorý bol účastníkom organizovaného krátkodobého trhu s elektrinou, |
| d) SQOTEt-2 je skutočné množstvo elektriny v jednotkách množstva elektriny v roku t-2 nakúpenej a predanej na krátkodobom trhu s elektrinou, |
| e) QOTEt-2 je schválené plánované množstvo elektriny v jednotkách množstva elektriny na rok t-2 nakúpenej a predanej na krátkodobom trhu s elektrinou, |
| f) TOTEt-2 je tarifa za organizovanie a vyhodnotenie krátkodobého trhu s elektrinou schválená alebo určená cenovým rozhodnutím na rok t-2 v eurách na jednotku množstva elektriny nakúpenej na krátkodobom trhu s elektrinou, |
| g) SVTPSt-2ote sú skutočné výnosy z uplatňovania alikvotnej časti tarify za prevádzkovanie systému na organizovanie a vyhodnotenie krátkodobého trhu s elektrinou organizátora krátkodobého trhu s elektrinou v roku t-2 v eurách, |
| h) PVTPSt-2ote sú plánované výnosy z uplatňovania alikvotnej časti tarify za prevádzkovanie systému na organizovanie a vyhodnotenie krátkodobého trhu s elektrinou organizátora krátkodobého trhu s elektrinou v roku t-2 v eurách. |
| § 13 |
| (1) Celkové plánované náklady a zisk za výkon ostatných činností organizátora krátkodobého trhu s elektrinou v roku t Noktet sa vypočítajú podľa vzorca
|
| Noktet = PNt + POt + ZIt × WACC × kZIt + INVostt – KOTt, |
| kde |
| a) PNt sú schválené alebo určené plánované ekonomicky oprávnené prevádzkové ročné náklady súvisiace so správou, zberom a sprístupňovaním nameraných údajov, s centrálnou fakturáciou taríf, s organizovaním a zúčtovaním podpory elektriny vyrobenej z obnoviteľných zdrojov energie a vysoko účinnou kombinovanou výrobou a s evidenciou, prevodmi a organizovaním trhu so zárukami pôvodu elektriny, s prevádzkou energetického dátového centra vykonávanými organizátorom krátkodobého trhu s elektrinou v roku t v eurách, |
| b) POt sú schválené alebo určené plánované odpisy na rok t v eurách súvisiace so správou, zberom a sprístupňovaním nameraných údajov, s centrálnou fakturáciou taríf, s organizovaním a zúčtovaním podpory elektriny vyrobenej z obnoviteľných zdrojov energie a vysoko účinnou kombinovanou výrobou a s evidenciou, prevodmi a organizovaním trhu so zárukami pôvodu elektriny, s prevádzkou energetického dátového centra vykonávanými organizátorom krátkodobého trhu s elektrinou z plánovanej hodnoty regulačnej bázy aktív nevyhnutne využívanej pre regulovanú činnosť v roku t, |
| c) ZIt je hodnota základného imania organizátora krátkodobého trhu s elektrinou k dátumu podania cenového návrhu v eurách, ktorá sa zohľadní pre rok t, |
| d) WACC je miera výnosnosti regulačnej bázy aktív na 6. regulačné obdobie určená podľa § 5, |
| e) kZIt je koeficient zahrnutia hodnoty základného imania organizátora krátkodobého trhu s elektrinou určený úradom vo výške 0 až 1 pre rok t, |
| f) INVostt je faktor investícií na rok t v eurách; ktorého hodnota sa vypočíta podľa vzorca |
| INVostt = SOt–2 – POt–2, |
| kde |
| 1. SOt-2 sú skutočné odpisy v eurách z investícií zaradených do hodnoty regulačnej bázy aktív nevyhnutne využívaných pre regulovanú činnosť v roku t-2, |
| 2. POt-2 sú schválené alebo určené plánované odpisy z investícií, plánovaných zaradiť do hodnoty regulačnej bázy aktív nevyhnutne využívaných pre regulovanú činnosť v roku t-2, |
| g) KOTt je korekcia organizátora krátkodobého trhu s elektrinou zo správy, zberu a sprístupňovania nameraných údajov, z centrálnej fakturácie taríf, z organizovania a zúčtovania podpory elektriny vyrobenej z obnoviteľných zdrojov energie a vysoko účinnou kombinovanou výrobou a z evidencie, prevodov a organizovania trhu so zárukami pôvodu elektriny, s prevádzkou energetického dátového centra vykonávanými organizátorom krátkodobého trhu s elektrinou v roku t v eurách, ktorá sa vypočíta podľa odseku 3. |
| (2) Celkové plánované náklady a zisk za výkon ostatných činností organizátora krátkodobého trhu s elektrinou v roku t NOKTEt sa uplatňujú z tarify za prevádzkovanie systému. Alikvotná časť tarify za prevádzkovanie systému na zabezpečenie ostatných činností organizátora krátkodobého trhu s elektrinou v eurách v roku t sa vypočíta podľa vzorca
|
| , |
| kde |
| a) NOKTEt sú celkové plánované náklady a zisk za výkon ostatných činností organizátora krátkodobého trhu s elektrinou v roku t, |
| b) QPKStpst je celkové množstvo plánovanej koncovej spotreby elektriny odobratej zo sústavy v jednotke množstva elektriny v roku t, na ktorú sa uplatňujú tarify za prevádzkovanie systému. |
| (3) Korekcia organizátora krátkodobého trhu s elektrinou v eurách sa vypočíta podľa vzorca
|
| KOTt = (SVzpt–2 – PVzpt–2) + (SVzat–2 – PVzat–2) + (SVTPSostt–2 – PVTPSostt–2), |
| kde |
| a) SVzpt-2 sú skutočné výnosy z uplatňovania taríf za vedenie účtu, za vydanie záruk pôvodu elektriny a za prevody záruk pôvodu elektriny v roku t-2 v eurách; pre výpočet KOTt pre roky 2027 a nasledujúce roky sa SVzpt-2 rovná nule, |
| b) PVzpt-2 sú plánované výnosy z uplatňovania taríf za vedenie účtu, za vydanie záruk pôvodu elektriny a za prevody záruk pôvodu elektriny v roku t-2 v eurách; pre výpočet KOTt pre roky 2027 a nasledujúce roky sa PVzpt-2 rovná nule, |
| c) SVzat-2 sú skutočné výnosy z predaja záruk pôvodu elektriny vydaných podľa § 8b ods. 3 zákona o podpore v roku t-2 v eurách; pre výpočet KOTt pre roky 2027 a nasledujúce roky sa SVzat-2 rovná nule, |
| d) PVzat-2 sú plánované výnosy z predaja záruk pôvodu elektriny vydaných podľa § 8b ods. 3 zákona o podpore v roku t-2 v eurách; pre výpočet KOTt pre roky 2027 a nasledujúce roky sa PVzat-2 rovná nule, |
| e) SVTPSostt-2 sú skutočné výnosy z uplatňovania alikvotnej časti tarify za prevádzkovanie systému na zabezpečenie ostatných činností organizátora krátkodobého trhu s elektrinou v roku t-2 v eurách, |
| f) PVTPSostt-2 sú plánované výnosy z uplatňovania alikvotnej časti tarify za prevádzkovanie systému na zabezpečenie ostatných činností organizátora krátkodobého trhu s elektrinou v roku t-2 v eurách. |
| § 14 |
| Podmienky uplatňovania tarify za prevádzkovanie systému |
| Platba na pokrytie nákladov na prevádzkovanie systému pre j-tý subjekt zúčtovania s vlastnou zodpovednosťou za odchýlku v eurách NPSszj sa organizátorom krátkodobého trhu s elektrinou vyúčtuje subjektom zúčtovania s vlastnou zodpovednosťou za odchýlku daňovým dokladom mesačne k 15. dňu nasledujúceho mesiaca, a vypočíta sa podľa vzorca |
| , |
| kde |
| a) TPSi,t je sadzba tarify za prevádzkovanie systému uplatnená na koncovú spotrebu elektriny odobratú zo sústavy, na ktorú sa uplatňujú tarify za prevádzkovanie systému v i-tej skupine odberných miest koncových odberateľov elektriny v roku t v eurách na jednotku množstva elektriny, |
| b) QSKStpsszij je celkové množstvo skutočnej koncovej spotreby elektriny odobratej zo sústavy j-tého subjektu zúčtovania s vlastnou zodpovednosťou za odchýlku v i-tej skupine odberných miest koncových odberateľov elektriny v jednotkách množstva elektriny, na ktoré sa uplatňujú tarify za prevádzkovanie systému, |
| § 15 |
| Cenová regulácia prístupu do prenosovej sústavy, prenosu elektriny, systémových služieb a podporných služieb a spôsob a podmienky uplatnenia cien |
| (1) Cenová regulácia podľa odsekov 2 až 17 a § 16 až 21 sa vzťahuje na prevádzkovateľa prenosovej sústavy a vykonáva sa určením spôsobu výpočtu maximálnej ceny |
| a) a tarify za prístup do prenosovej sústavy a prenos elektriny, |
| b) a tarify za poskytovanie systémových služieb, |
| c) za poskytovanie podporných služieb. |
| (2) Súčasťou návrhu ceny sú |
| a) návrh cien, alebo sadzieb za prístup do prenosovej sústavy a prenos elektriny, návrh parametrov k cenám za poskytovanie systémových služieb a za poskytovanie podporných služieb vrátane ich štruktúry na rok t, ktoré sa budú uplatňovať pre účastníkov trhu s elektrinou, vrátane podmienok ich pridelenia, |
| b) údaje nevyhnutné na preverenie cien za rok t-2, najmä skutočný objem prenosu elektriny, počet odberných miest, suma zmluvných a nameraných technických maxím v jednotlivých sadzbách v MW, |
| c) plán investícií a plán odpisov za regulovanú činnosť v rokoch t, t+1 a t+2, |
| d) výpočty a údaje podľa § 16 až 19 týkajúce sa prístupu do prenosovej sústavy a prenosu elektriny a poskytovania podporných služieb a systémových služieb, |
| e) podklady predkladané v termínoch podľa prílohy č. 6, |
| f) ďalšie podklady nevyhnutné na správne posúdenie návrhu ceny. |
| (3) Podklady podľa odseku 2 sa predkladajú v listinnej podobe a podklady podľa odseku 2 písm. a), b) a d) sa predkladajú aj v elektronickej podobe do elektronickej schránky. Vyplnené tabuľky podľa prílohy č. 6 sa predkladajú v elektronickej podobe vo formáte, ktorý zachováva úplnú funkčnosť tabuľkového editora, do 31. júla v každom roku regulačného obdobia. |
| (4) Ustanovenia o návrhu ceny sa primerane vzťahujú aj na návrh na zmenu cenového rozhodnutia, podľa § 17 ods. 1 a 2 zákona o regulácii. |
| (5) Na účely cenovej regulácie sa predkladajú najneskôr do 30. apríla roku t-1 tieto údaje |
| a) skutočne vynaložené náklady na nákup podporných služieb v roku t-2, |
| b) skutočne vynaložené náklady na poskytovanie systémových služieb v roku t-2, |
| c) skutočné výnosy z penále, pokút a iných platieb, ktoré regulovaný subjekt uplatnil v roku t-2 voči poskytovateľom podporných služieb za neposkytnutie podporných služieb v rozsahu dohodnutom v zmluvách o poskytovaní podporných služieb, |
| d) skutočné investície v roku t-2, |
| e) skutočné výnosy z medzinárodnej prevádzky v roku t-2, |
| f) skutočné náklady na medzinárodnú prevádzku v roku t-2, |
| g) skutočné výnosy v eurách v roku t-2 z uplatnenia úhrad nákladov prevádzkovateľmi distribučných sústav, výrobcami elektriny, prevádzkovateľmi zariadení na uskladňovanie elektriny a koncovými odberateľmi elektriny za pripojenie do prenosovej sústavy. |
| (6) Na účely cenovej regulácie sa úradu predkladajú najneskôr do 31. júla roku t-1 údaje o plánovanom množstve v roku t a do 20. dňa každého mesiaca skutočné množstvo za predchádzajúci mesiac roku t |
| a) fakturovanej prenesenej elektriny v jednotkách množstva elektriny odobratej koncovými odberateľmi elektriny a prevádzkovateľmi zariadení na uskladňovanie elektriny, ktorí sú priamo pripojení do prenosovej sústavy, a prevádzkovateľmi distribučnej sústavy, |
| b) celkového maximálneho pohotového výkonu v MW elektroenergetických zariadení na výrobu elektriny výrobcov elektriny a elektroenergetických zariadení na uskladňovanie elektriny prevádzkovateľov zariadení na uskladňovanie elektriny, ktorí sú pripojení do prenosovej sústavy, |
| c) elektriny na vstupe do prenosovej sústavy dodanej zo zariadení jednotlivých výrobcov elektriny v jednotkách množstva elektriny, |
| d) elektriny na vstupe do prenosovej sústavy vrátane tokov zo zahraničia v jednotkách množstva elektriny. |
| (7) Tarify za rezervovanú kapacitu a za prenesenú elektrinu sa určia tak, že plánovaný výnos z týchto taríf je najviac vo výške výnosu určeného ako súčin maximálnej ceny za prístup do prenosovej sústavy a prenos elektriny určenej podľa § 16 ods. 1 a plánovaného priemerného množstva elektriny odobratej z prenosovej sústavy koncovými odberateľmi elektriny v jednotkách množstva elektriny, ktorí sú priamo pripojení do prenosovej sústavy, výrobcami elektriny, ktorí sú priamo pripojení do prenosovej sústavy, prevádzkovateľmi distribučnej sústavy a prevádzkovateľmi zariadení na uskladňovanie elektriny, ktorí sú priamo pripojení do prenosovej sústavy. |
| (8) Platba za prístup do prenosovej sústavy, ktorá sa určí ako súčin hodnoty rezervovanej kapacity v odovzdávacích miestach, koeficientu zahrnutia rezervovanej kapacity v odovzdávacích miestach výrobcov elektriny a v odberných a odovzdávacích miestach prevádzkovateľov zariadení na uskladňovanie elektriny, ktorých rezervovaná kapacita pre dodávku elektriny do sústavy v odovzdávacom mieste je väčšia ako rezervovaná kapacita pre odber zo sústavy v odbernom mieste, a tarify za rezervovanú kapacitu sa uhrádza prevádzkovateľovi prenosovej sústavy výrobcom elektriny a prevádzkovateľmi zariadení na uskladňovanie elektriny pripojenými do prenosovej sústavy. To neplatí pre užívateľa prenosovej sústavy, ktorý prevádzkuje zariadenie na výrobu elektriny z vodnej energie s celkovým inštalovaným výkonom do 1 MW alebo prevádzkuje prečerpávaciu vodnú elektráreň alebo prevádzkuje certifikované zariadenie výlučne na poskytovanie podporných služieb pre prevádzkovateľa prenosovej sústavy alebo výlučne na dodávku alebo odber regulačnej elektriny. |
| (9) Rezervovaná kapacita sa v odovzdávacích miestach neobjednáva. Hodnota rezervovanej kapacity sa určí z hodnoty kapacity pripojenia v odovzdávacom mieste dohodnutej v zmluve o pripojení zariadenia na výrobu elektriny do prenosovej sústavy. |
| (10) Ak je odberné a odovzdávacie miesto v jednom mieste pripojenia, platba za prístup do prenosovej sústavy sa uhrádza prevádzkovateľovi prenosovej sústavy len za tú časť rezervovanej kapacity, ktorá je vyššia. Ak je vyššia rezervovaná kapacita pre dodávku do sústavy, uplatní sa platba za prístup do prenosovej sústavy podľa odsekov 8 a 9. Ak je vyššia rezervovaná kapacita pre odber zo sústavy, uplatní sa platba za prístup do prenosovej sústavy podľa odseku 14. |
| (11) Koeficient zahrnutia rezervovanej kapacity výrobcov elektriny a prevádzkovateľov zariadení na uskladňovanie elektriny sa určí tak, že plánované platby, ktoré výrobcovia elektriny pripojení do prenosovej sústavy a prevádzkovatelia zariadení na uskladňovanie elektriny, ktorých rezervovaná kapacita pre dodávku elektriny do sústavy je v odovzdávacom mieste vyššia ako rezervovaná kapacita pre odber zo sústavy v odbernom mieste, ktorú uhrádzajú prevádzkovateľovi prenosovej sústavy za prístup do prenosovej sústavy v roku t, sú najviac v sume výnosu určeného ako súčin 0,5 eura na jednotku množstva elektriny a plánovaného objemu dodávky elektriny do prenosovej sústavy v roku t výrobcami elektriny alebo prevádzkovateľmi zariadení na uskladňovanie elektriny pripojenými do prenosovej sústavy. |
| (12) Ceny za prístup do prenosovej sústavy a prenos elektriny sa určujú pri základnom zabezpečení pripojenia užívateľa sústavy štandardným pripojením. Za štandardné pripojenie užívateľa sústavy sa považuje pripojenie jedným napájacím vedením podľa technických podmienok prevádzkovateľa prenosovej sústavy. Pri pripojení užívateľa sústavy s osobitnými nárokmi na spôsob zabezpečenia prenosu elektriny, napríklad cez ďalšie napájacie vedenie, sa cena za prístup do prenosovej sústavy určuje vo výške 15 % z tarify za rezervovanú kapacitu, ktorá je dohodnutá pre ďalšie napájacie vedenie podľa vydaného cenového rozhodnutia na rok t. Užívateľ sústavy si sám určuje, ktoré napájacie vedenie je štandardné a ktoré je ďalšie napájacie vedenie. Pri prenose elektriny cez ďalšie napájacie vedenie na základe požiadavky užívateľa sústavy v príslušnom mesiaci sa cena za prístup do prenosovej sústavy určí vo výške 100 % z tarify za rezervovanú kapacitu a cena za prenos elektriny sa určí vo výške 100 % z tarify za prenos elektriny; ceny za prístup do prenosovej sústavy a prenos elektriny za štandardné pripojenie tým nie sú dotknuté. Za nadštandardný prenos elektriny sa nepovažuje pripojenie užívateľa sústavy k prenosovej sústave zaslučkovaním. |
| (13) Do nákladov na výkon regulovanej činnosti, prevádzkových nákladov, ktoré sú zabezpečované regulovaným subjektom, iným ako regulovaným subjektom alebo subjektom, ktorý je alebo bol súčasťou vertikálne integrovaného podniku, je možné zahrnúť len primerané náklady, ktorých výška je v súlade s osobitným predpisom.23) |
| (14) Pri odbere elektriny z prenosovej sústavy v odbernom mieste a odovzdávacom mieste v jednom mieste pripojenia do sústavy sa výrobcom elektriny prevádzkujúcich aj zariadenia na uskladňovanie elektriny a prevádzkovateľom zariadení na uskladňovanie elektriny, ktorí odberajú elektrinu z prenosovej sústavy výlučne na účely uskladňovania elektriny, účtuje dohodnutá rezervovaná kapacita podľa cenového rozhodnutia úradu. |
| (15) Ak je zariadenie na výrobu elektriny alebo zariadenie na uskladňovanie elektriny, ktorých rezervovaná kapacita pre dodávku elektriny do sústavy v odovzdávacom mieste je väčšia ako rezervovaná kapacita pre odber zo sústavy, v odbernom mieste pripojenom do miestnej distribučnej sústavy, sa platba za prístup do prenosovej sústavy uhrádza prevádzkovateľom miestnej distribučnej sústavy prevádzkovateľovi prenosovej sústavy, do ktorej je jeho miestna distribučná sústava pripojená, vo výške podľa odseku 8 a podľa platného cenového rozhodnutia úradu za prístup do prenosovej sústavy a prenos elektriny na rok t pre prevádzkovateľa prenosovej sústavy; to neplatí pre užívateľa prenosovej sústavy, ktorý prevádzkuje zariadenie na výrobu elektriny z vodnej energie s celkovým inštalovaným výkonom do 1 MW alebo prevádzkuje prečerpávaciu vodnú elektráreň alebo prevádzkuje certifikované zariadenie výlučne na poskytovanie podporných služieb pre prevádzkovateľa prenosovej sústavy alebo výlučne na dodávku a odber regulačnej elektriny. |
| (16) Pri pripojení miestnej distribučnej sústavy alebo výrobcu elektriny do prenosovej sústavy cez existujúce odovzdávacie miesto sa platba za prístup do prenosovej sústavy uhrádza za rezervovanú kapacitu zariadenia na výrobu elektriny alebo zariadenia na uskladňovanie elektriny takto: |
| a) výrobcom elektriny alebo prevádzkovateľom zariadenia na uskladňovanie elektriny sa prevádzkovateľovi prenosovej sústavy uhrádza tarifa za rezervovanú kapacitu zariadenia na výrobu elektriny alebo zariadenia na uskladňovanie elektriny vo výške podľa odseku 8 alebo tarifa za rezervovanú kapacitu odberu elektriny, ak je výrobca elektriny alebo prevádzkovateľ zariadenia na uskladňovanie elektriny pripojený do prenosovej sústavy cez existujúce odberné miesto podľa toho, ktorá rezervovaná kapacita je vyššia, |
| b) prevádzkovateľom miestnej distribučnej sústavy sa prevádzkovateľovi prenosovej sústavy uhrádza tarifa za rezervovanú kapacitu vo výške podľa odseku 8 zariadenia na výrobu elektriny alebo zariadenia na uskladňovanie elektriny pripojeného do miestnej distribučnej sústavy, ak je zariadenie na výrobu elektriny alebo zariadenie na uskladňovanie elektriny prevádzkované inou osobou, ako je prevádzkovateľ miestnej distribučnej sústavy, |
| c) prevádzkovateľom miestnej distribučnej sústavy sa prevádzkovateľovi prenosovej sústavy uhrádza tarifa za rezervovanú kapacitu vo výške podľa odseku 8 zariadenia na výrobu elektriny alebo zariadenia na uskladňovanie elektriny, ktoré prevádzkuje ako výrobca elektriny, alebo ako prevádzkovateľ zariadenia na uskladňovanie elektriny, alebo tarifa za rezervovanú kapacitu odberu miestnej distribučnej sústavy podľa toho, ktorá rezervovaná kapacita je vyššia. |
| (17) Na uplatnenie tarify za prístup do prenosovej sústavy a prenos elektriny sa poskytujú prevádzkovateľovi prenosovej sústavy údaje o skutočnom množstve elektriny v jednotkách množstva elektriny, ktorú odoberú prevádzkovatelia distribučnej sústavy, koncoví odberatelia elektriny z distribučnej sústavy regulovaného subjektu vrátane prevádzkovateľov distribučnej sústavy a odberateľov elektriny pripojených v rámci prevádzky preukázateľne oddelenej od sústavy Slovenskej republiky a skutočné údaje o množstve elektriny v jednotkách množstva elektriny, ktorú odoberú prevádzkovatelia distribučnej sústavy a koncoví odberatelia elektriny z distribučnej sústavy regulovaného subjektu v rámci prevádzky preukázateľne oddelenej od sústavy Slovenskej republiky, a to vždy za príslušný mesiac do ôsmeho dňa nasledujúceho mesiaca. |
| § 16 |
| (1) Maximálna cena za prístup do prenosovej sústavy a prenos elektriny CPt okrem strát elektriny pri prenose elektriny na rok t v eurách na jednotku množstva elektriny sa vypočíta podľa vzorca |
| 
|
| kde |
| a) PNt sú schválené alebo určené prevádzkové náklady v eurách na rok t súvisiace s regulovanou činnosťou okrem odpisov súvisiacich s regulovanou činnosťou, nákladov a odpisov na dispečerskú činnosť prevádzkovateľa prenosovej sústavy na zabezpečenie systémových služieb, ktorých hodnota |
| 1. pre rok t = 2025 zodpovedá hodnote schválených alebo určených prevádzkových nákladov v eurách na rok 2024 súvisiacich s regulovanou činnosťou okrem odpisov, nákladov a odpisov na dispečerskú činnosť prevádzkovateľa prenosovej sústavy na zabezpečenie systémových služieb, |
| 2. pre rok t = 2026 a nasledujúce roky sa vypočíta podľa vzorca |
| 
|
| kde |
| 2a. PN2024 sú schválené alebo určené prevádzkové náklady v eurách na rok 2024 súvisiace s regulovanou činnosťou okrem odpisov, nákladov a odpisov na dispečerskú činnosť prevádzkovateľa prenosovej sústavy na zabezpečenie systémových služieb, |
| 2b. JPIn je aritmetický priemer indexov jadrovej inflácie v percentách zverejnených štatistickým úradom za obdobie od júla roku n-2 vrátane do júna roku n-1 vrátane, uvedených na webovom sídle Štatistického úradu Slovenskej republiky – http://datacube.statistics.sk v priečinku „Makroekonomické štatistiky“ v sekcii „Spotrebiteľské ceny a ceny produkčných štatistík“ v časti „Indexy spotrebiteľských cien (inflácia)“ v časti „Jadrová a čistá inflácia“ v priečinku „Jadrová a čistá inflácia – oproti rovnakému obdobiu minulého roku v percentách – mesačne [sp0008ms]“, |
| 2c. X je faktor efektivity, ktorého hodnota v každom roku regulačného obdobia je 3,0 % a, pričom ak je hodnota rozdielu JPIn a X nižšia ako 0 %, na výpočet maximálnej ceny za prístup do prenosovej sústavy a prenos elektriny na rok t sa hodnota rozdielu JPIn a X rovná 0 %, |
| b) Ot je schválená alebo určená hodnota odpisov prevádzkovateľa prenosovej sústavy v eurách na rok t, ktorá |
| 1. pre rok t = 2025 zodpovedá výške účtovných odpisov prevádzkovateľa prenosovej sústavy v roku 2023 z majetku uvažovaného v RAB2023, podľa písmena e) prvého bodu podbodu 1a., |
| 2. pre rok t = 2026 zodpovedá výške regulačných odpisov prevádzkovateľa prenosovej sústavy z majetku uvažovaného v RAB2024, podľa písmena e) druhého bodu podbodu 2a., určená na základe prílohy č. 1, |
| 3. pre rok t = 2027 a nasledujúce roky sa vypočíta podľa vzorca |
| 
|
| kde |
| 3a. O2024 je schválená alebo určená hodnota odpisov prevádzkovateľa prenosovej sústavy v eurách, ktorá zodpovedá výške regulačných odpisov prevádzkovateľa prenosovej sústavy v roku 2024 z majetku uvažovaného v RAB2024, podľa písmena e) tretieho bodu podbodu 3a., určená na základe prílohy č. 1, |
| 3b. SOn je schválená alebo určená hodnota odpisov prevádzkovateľa prenosovej sústavy v eurách, ktorá zodpovedá výške regulačných odpisov prevádzkovateľa prenosovej sústavy v roku n-1 z majetku zaradeného do užívania na regulovanú činnosť v roku n-2 bez dispečerskej činnosti, určená na základe prílohy č. 1, |
| 3c. VOn je schválená alebo určená hodnota odpisov prevádzkovateľa prenosovej sústavy v eurách, ktorá zodpovedá výške regulačných odpisov prevádzkovateľa prenosovej sústavy v roku n-2 z majetku vyradeného z užívania na regulovanú činnosť v roku n-2 bez dispečerskej činnosti, určená na základe prílohy č. 1, |
| c) POt je schválená alebo určená plánovaná hodnota odpisov prevádzkovateľa prenosovej sústavy v eurách, ktorá zodpovedá výške plánovaných regulačných odpisov prevádzkovateľa prenosovej sústavy v roku t z majetku s plánovaným zaradením do užívania na regulovanú činnosť v roku t-1 bez dispečerskej činnosti, určená na základe prílohy č. 1, |
| d) KDZ je koeficient miery využitia disponibilných zdrojov do investícií súvisiacich s regulovanou činnosťou, ktorý sa určuje v intervale od 0,80 do 1,00 a vypočíta sa podľa vzorca |
| 
|
| kde |
| ak je výsledok podielu |
| vyšší alebo sa rovná 0,7, tak KDZ = 1,00, |
| menší ako 0,7 a zároveň vyšší alebo sa rovná 0,6, tak KDZ = 0,97, |
| menší ako 0,6 a zároveň vyšší alebo sa rovná 0,5, tak KDZ = 0,94, |
| menší ako 0,5 a zároveň vyšší alebo sa rovná 0,4, tak KDZ = 0,91, |
| menší ako 0,4 a zároveň vyšší alebo sa rovná 0,3, tak KDZ = 0,88, |
| menší ako 0,3 a zároveň vyšší alebo sa rovná 0,2, tak KDZ = 0,85, |
| menší ako 0,2 a zároveň vyšší alebo sa rovná 0,1, tak KDZ = 0,82, |
| menší ako 0,1, tak KDZ = 0,80, |
| kde |
| 1. INVt-2 je skutočná hodnota investičných výdavkov na regulovanú činnosť prevádzkovateľa prenosovej sústavy bez dispečerskej činnosti v roku t-2 v eurách, |
| 2. PPSziskt-2 je regulovaný zisk prevádzkovateľa prenosovej sústavy po zdanení v roku t-2 v eurách, ktorý sa vypočíta podľa vzorca |
| PPSziskt–2 = (RABST,t–2 × WACCt–2) × (t – SOOPROt–2) × (1 – daň z príjmovt–2), |
| kde |
| 2a. RABST,t-2 je schválená alebo určená hodnota regulačnej bázy aktív v eurách na rok t-2, |
| 2b. WACCt-2 je miera výnosnosti regulačnej bázy aktív na 6. regulačné obdobie určená na rok t-2 podľa § 5, |
| 2c. SOOPROt-2 je 12-násobok hodnoty mesačnej sadzby osobitného odvodu z podnikania v regulovaných odvetviach v roku t-2, ustanovenej podľa osobitného predpisu,24) |
| 2d. daň z príjmovt-2 je hodnota sadzby dane z príjmov právnických osôb v roku t-2, |
| 3. PPSodpisyt-2 je hodnota regulovaných odpisov prevádzkovateľa prenosovej sústavy v roku t-2 v eurách, ktorá sa vypočíta podľa vzorca |
| PPSodpisyt–2 = Ot–2 + POt–2 + FINVPt–2 – DVt–2, |
| kde |
| 3a. Ot-2 je schválená alebo určená hodnota odpisov regulovaného subjektu za regulovanú činnosť bez dispečerskej činnosti v eurách na rok t-2, |
| 3b. POt-2 je schválená alebo určená plánovaná hodnota odpisov prevádzkovateľa prenosovej sústavy v eurách v roku t-2 z majetku s plánovaným zaradením do užívania na regulovanú činnosť bez dispečerskej činnosti v roku t-3, |
| 3c. FINVPt-2 je faktor investícií v eurách na rok t-2, |
| 3d. DVt-2 sú skutočné výnosy v roku t-4 v eurách z uplatnenia úhrad nákladov užívateľov prenosovej sústavy za pripojenie do sústavy, |
| 4. INVAEG,t-2 je skutočná hodnota investičných výdavkov na regulovanú činnosť prevádzkovateľa prenosovej sústavy bez dispečerskej činnosti v roku t-2 v eurách, ktoré boli financované z výnosov z aukcií prenosovej kapacity na cezhraničných profiloch prenosovej sústavy, zo zdrojov Európskej únie alebo iných grantov a štátnych podpôr, |
| e) RABST,t, je schválená alebo určená hodnota regulačnej bázy aktív prevádzkovateľa prenosovej sústavy v eurách na rok t, ktorá je rovná hodnote majetku využívaného na regulovanú činnosť bez dispečerskej činnosti a vypočíta sa |
| 1. pre rok t = 2025 podľa vzorca |
| RABST,t = RAB2023 – M2023, |
| kde |
| 1a. RAB2023 je schválená alebo určená hodnota regulačnej bázy aktív prevádzkovateľa prenosovej sústavy v eurách, ktorá zodpovedá zostatkovej účtovnej hodnote majetku prevádzkovateľa prenosovej sústavy k 31. decembru 2023 využívaného na regulovanú činnosť bez dispečerskej činnosti, vrátane pozemkov v pôvodných obstarávacích hodnotách bez vplyvu precenenia, |
| 1b. M2023 je hodnota tej časti regulačnej bázy aktív RAB2023 v eurách, ktorá bola financovaná zo zdrojov Európskej únie, alebo iných grantov a štátnych podpôr, alebo z investícií do aktív financovaných z výnosov z aukcií prenosovej kapacity na cezhraničných profiloch prenosovej sústavy, |
| 2. pre rok t = 2026 podľa vzorca, |
| RABST,t = RAB2024 – M2024, |
| kde |
| 2a. RAB2024 je schválená alebo určená hodnota regulačnej bázy aktív prevádzkovateľa prenosovej sústavy v eurách, ktorá zodpovedá zostatkovej účtovnej hodnote majetku prevádzkovateľa prenosovej sústavy k 31. decembru 2024 využívaného na regulovanú činnosť bez dispečerskej činnosti, určenej na základe znaleckého posudku vypracovaného znalcom zapísaným v zozname znalcov v odbore Ekonomika a riadenie podnikov v súlade s osobitným predpisom,25) vrátane pozemkov v pôvodných obstarávacích hodnotách bez vplyvu precenenia, |
| 2b. M2024 je hodnota tej časti regulačnej bázy aktív RAB2024 v eurách, ktorá bola financovaná zo zdrojov Európskej únie, alebo iných grantov a štátnych podpôr, alebo z investícií do aktív financovaných z výnosov z aukcií prenosovej kapacity na cezhraničných profiloch prenosovej sústavy, |
| 3. pre rok t = 2027 a nasledujúce roky sa vypočíta podľa vzorca |
| 
|
| kde |
| 3a. RAB2024 je schválená alebo určená hodnota regulačnej bázy aktív prevádzkovateľa prenosovej sústavy v eurách, ktorá zodpovedá hodnote majetku prevádzkovateľa prenosovej sústavy k 31. decembru 2024, využívaného na regulovanú činnosť bez dispečerskej činnosti určenej na základe znaleckého posudku vypracovaného znalcom zapísaným v zozname znalcov v odbore Ekonomika a riadenie podnikov v súlade s osobitným predpisom,25) vrátane pozemkov v pôvodných obstarávacích hodnotách bez vplyvu precenenia, |
| 3b. M2024 je hodnota tej časti regulačnej bázy aktív RABn v eurách, ktorá bola financovaná zo zdrojov Európskej únie alebo iných grantov a štátnych podpôr, a z investícií do aktív financovaných z výnosov z aukcií prenosovej kapacity na cezhraničných profiloch prenosovej sústavy, |
| 3c. RABn je schválená alebo určená hodnota regulačnej bázy aktív prevádzkovateľa prenosovej sústavy v eurách, ktorá zodpovedá hodnote majetku prevádzkovateľa prenosovej sústavy využívaného na regulovanú činnosť bez dispečerskej činnosti zaradeného do užívania v roku n-2, vrátane pozemkov v pôvodných obstarávacích hodnotách bez vplyvu precenenia, |
| 3d. Mn je hodnota tej časti regulačnej bázy aktív RABn v eurách, ktorá je financovaná zo zdrojov Európskej únie alebo iných grantov a štátnych podpôr, a z investícií do aktív financovaných z výnosov z aukcií prenosovej kapacity na cezhraničných profiloch prenosovej sústavy, |
| 3e. SOn je schválená alebo určená hodnota odpisov prevádzkovateľa prenosovej sústavy v eurách, ktorá zodpovedá výške regulačných odpisov prevádzkovateľa prenosovej sústavy v roku n-1 z majetku zaradeného do užívania na regulovanú činnosť v roku n-2 bez dispečerskej činnosti, určená na základe prílohy č. 1, |
| f) WACC je miera výnosnosti regulačnej bázy aktív na 6. regulačné obdobie určená podľa § 5, |
| g) FINVPt je faktor investícií v eurách na rok t a vypočíta sa |
| FINVPt = SOt–1 – POt–2, |
| kde |
| 1. SOt-1 je schválená alebo určená hodnota odpisov prevádzkovateľa prenosovej sústavy v eurách, ktorá zodpovedá výške regulačných odpisov prevádzkovateľa prenosovej sústavy v roku t-2 z majetku zaradeného do užívania na regulovanú činnosť v roku t-3 bez dispečerskej činnosti, určená na základe prílohy č. 1, |
| 2. POt-2 je schválená alebo určená plánovaná hodnota odpisov prevádzkovateľa prenosovej sústavy v eurách, ktorá zodpovedá výške plánovaných regulačných odpisov prevádzkovateľa prenosovej sústavy v roku t-2 z majetku s plánovaným zaradením do užívania na regulovanú činnosť v roku t-3 bez dispečerskej činnosti, určená na základe prílohy č. 1, |
| h) CPITCt je alikvotná časť čistých výnosov alebo nákladov z ITC mechanizmu v eurách zahrnutá do ceny za prístup do prenosovej sústavy a prenos elektriny na rok t a vypočíta sa podľa vzorca |
| CPITCt = ITCplt–1 × mt × (1 – mstrt), |
| kde |
| 1. ITCplt-1 je celkový rozdiel očakávaných výnosov a nákladov prevádzkovateľa prenosovej sústavy v eurách fakturovaných v rámci ITC mechanizmu v roku t-1, ktorý sa určí ako súčet |
| 1a. celkového rozdielu skutočných výnosov a nákladov prevádzkovateľa prenosovej sústavy v eurách fakturovaných v rámci ITC mechanizmu za všetky účtovne uzavreté mesiace roku t-1 v dobe vypracovania cenového návrhu a |
| 1b. celkového rozdielu očakávaných výnosov a nákladov prevádzkovateľa prenosovej sústavy v eurách fakturovaných v rámci ITC mechanizmu za tie mesiace roku t-1, ktoré v dobe vypracovania cenového návrhu nie sú účtovne uzavreté, |
| 2. mt je koeficient zahrnutia ITC mechanizmu do taríf na rok t určený úradom do 31. decembra roku t-1 v rozsahu 0 až 1, |
| 3. mstrt je koeficient zahrnutia ITC mechanizmu do tarify za straty elektriny pri prenose elektriny určený úradom do 31. decembra roku t-1 v rozsahu 0 až 1, |
| i) CPVAt je alikvotná časť čistých výnosov alebo nákladov z aukcií prenosovej kapacity na cezhraničných profiloch prenosovej sústavy v eurách zahrnutá do ceny za prístup do prenosovej sústavy a prenos elektriny na rok t, a vypočíta sa podľa vzorca |
| CPVAt = VAplt–1 × nt × (1 – nstrt – ntsst), |
| kde |
| 1. VAplt-1 je celkový rozdiel očakávaných výnosov a nákladov prevádzkovateľa prenosovej sústavy v eurách fakturovaných v rámci aukcií prenosovej kapacity na cezhraničných profiloch prenosovej sústavy v roku t-1, ktorý sa určí ako súčet |
| 1a. celkového rozdielu skutočných výnosov a nákladov prevádzkovateľa prenosovej sústavy v eurách fakturovaných v rámci aukcií prenosovej kapacity na cezhraničných profiloch prenosovej sústavy za všetky účtovne uzavreté mesiace roku t-1 v dobe vypracovania cenového návrhu a |
| 1b. celkového rozdielu očakávaných výnosov a nákladov prevádzkovateľa prenosovej sústavy v eurách fakturovaných v rámci aukcií prenosovej kapacity na cezhraničných profiloch prenosovej sústavy za tie mesiace roku t-1, ktoré v dobe vypracovania cenového návrhu nie sú účtovne uzavreté, |
| 2. nt je koeficient zahrnutia aukcií prenosovej kapacity na cezhraničných profiloch prenosovej sústavy do taríf na rok t určený úradom do 31. decembra roku t-1 v rozsahu 0 až 1, |
| 3. nstrt je koeficient zahrnutia aukcií prenosovej kapacity na cezhraničných profiloch prenosovej sústavy do tarify za straty elektriny pri prenose elektriny určený úradom do 31. decembra roku t-1 v rozsahu 0 až 1, |
| 4. ntsst je koeficient zahrnutia aukcií prenosovej kapacity na cezhraničných profiloch prenosovej sústavy do tarify za systémové služby určený úradom do 31. decembra roku t-1 v rozsahu 0 až 1, |
| j) KCPt je faktor ITC a aukcií prenosovej kapacity v eurách, ktorý sa vypočíta podľa vzorca |
| KCPt = ITCskt–2 – ITCplt–2 + VAskt–2 – VAplt–2, |
| kde |
| 1. ITCskt-2 je celkový rozdiel skutočných výnosov a nákladov prevádzkovateľa prenosovej sústavy v eurách fakturovaných v rámci ITC mechanizmu v roku t-2, |
| 2. ITCplt-2 je celkový rozdiel očakávaných výnosov a nákladov prevádzkovateľa prenosovej sústavy v eurách fakturovaných v rámci ITC mechanizmu v roku t-2, |
| 3. VAskt-2 je celkový rozdiel skutočných výnosov a nákladov prevádzkovateľa prenosovej sústavy v eurách fakturovaných v rámci aukcií prenosovej kapacity na cezhraničných profiloch prenosovej sústavy v roku t-2, |
| 4. VAplt-2 je celkový rozdiel očakávaných výnosov a nákladov prevádzkovateľa prenosovej sústavy v eurách fakturovaných v rámci aukcií prenosovej kapacity na cezhraničných profiloch prenosovej sústavy v roku t-2, |
| k) DVt sú skutočné výnosy v roku t-2 v eurách z uplatnenia úhrad nákladov užívateľov prenosovej sústavy za pripojenie do sústavy, |
| l) QPPt je plánované priemerné množstvo elektriny odobratej z prenosovej sústavy koncovými odberateľmi elektriny, ktorí sú priamo pripojení do prenosovej sústavy, výrobcami elektriny, ktorí sú priamo pripojení do prenosovej sústavy, a prevádzkovateľmi distribučnej sústavy v jednotkách množstva elektriny na rok t vypočítané ako priemer ročných hodnôt skutočného príslušného množstva elektriny za roky t-3 a t-2, očakávaného príslušného množstva za rok t-1 a plánovaného príslušného množstva na rok t, |
| m) NPSZt sú náklady na projekty spoločného záujmu na rok t v eurách, |
| n) CACMt sú schválené náklady na projekty prideľovania kapacity a riadenia preťaženia sústavy, ktoré nie sú evidované v majetku prevádzkovateľa prenosovej sústavy na rok t v eurách, |
| o) SOGLt sú schválené náklady na projekty súvisiace s implementáciou povinností prevádzkovateľa prenosovej sústavy podľa osobitného predpisu26) na rok t v eurách, |
| p) NOCACMt sú schválené náklady na nápravné opatrenia použité v procese prideľovania prenosových kapacít podľa osobitného predpisu27) na rok t v eurách, |
| q) NOSOGLt sú schválené náklady na nápravné opatrenia použité v procese riadenia prevádzky prenosovej sústavy na zabezpečenie spoľahlivosti a bezpečnosti dodávok elektriny podľa osobitného predpisu28) na rok t v eurách, |
| r) EBGLt sú schválené náklady na zriadenie, zmenu a prevádzkovanie európskych platforiem podľa osobitného predpisu29) na rok t v eurách, |
| s) VCP,t sú výnosy z platieb za rezervovanú kapacitu a prenos elektriny za dodávku jalovej kapacitnej elektriny do prenosovej sústavy v roku t-2 podľa § 17a ods. 1 písm. a) a b). |
| (2) Súčet koeficientov nstrt a ntsst, ktoré sú ustanovené v odseku 1 písm. i) v treťom a štvrtom bode, je menší alebo sa rovná 1. |
| (3) Na účely platby za prístup do prenosovej sústavy sa dohodnutá rezervovaná kapacita v MW v roku t v každom odbernom mieste určuje kumulatívne za všetky odberné miesta odberateľa elektriny ako aritmetický priemer ročných hodnôt skutočného ročného maxima štvrťhodinového výkonu za roky t-2 až t-4. Hodnoty výkonov sa určujú v MW s rozlíšením na tri desatinné miesta. Do celkového objemu rezervovanej kapacity sa započíta aj rezervovaná kapacita pre každého výrobcu elektriny a prevádzkovateľa zariadenia na uskladňovanie elektriny určená podľa § 15 ods. 8 až 10 a 15. |
| (4) Ak nie je do odberných miest užívateľa prenosovej sústavy vykonávaný prenos elektriny v roku t-4, použije sa aritmetický priemer z rokov t-2 a t-3. Ak nie je do odberných miest užívateľa prenosovej sústavy vykonávaný prenos elektriny v rokoch t-4 a t-3, použije sa hodnota skutočného ročného maxima štvrťhodinového výkonu za rok t-2. Ak nie je do odberných miest užívateľa prenosovej sústavy vykonávaný prenos elektriny v rokoch t-4, t-3 a t-2, rezervovaná kapacita pre odber elektriny zo sústavy užívateľa prenosovej sústavy a výrobcu elektriny, ktorého zariadenie na výrobu elektriny je pripojené do prenosovej sústavy výlučne na odber elektriny a prevádzkovateľa zariadenia na uskladňovanie elektriny, ktorého zariadenie na uskladňovanie elektriny je pripojené do prenosovej sústavy výlučne na odber elektriny sa určuje prevádzkovateľom prenosovej sústavy mesačne na základe nameraného mesačného maxima štvrťhodinového činného výkonu. Rovnaký postup sa použije, ak hodnota skutočne nameraného mesačného maxima štvrťhodinového činného výkonu koncového odberateľa elektriny priamo pripojeného do prenosovej sústavy v príslušnom mesiaci počas roku t presiahne 1,10-násobok alebo nedosiahne 0,50-násobok hodnoty dohodnutej rezervovanej kapacity určenej podľa odseku 2. Hodnoty výkonov sa určujú v MW s rozlíšením na tri desatinné miesta. Takto určená rezervovaná kapacita nesmie byť vyššia ako kapacita pripojenia uvedená v zmluve o pripojení do prenosovej sústavy. |
| (5) Podiel výnosov z platieb za rezervovanú kapacitu sa z celkových výnosov z platieb za rezervovanú kapacitu a z platieb za prenesenú elektrinu určuje koeficientom do 0,7. Podiel výnosov z platieb za prenesenú elektrinu sa z celkových výnosov z platieb za rezerváciu kapacity a z platieb za prenesenú elektrinu určuje koeficientom 0,3. |
| (6) Spolu s návrhom ceny na rok t sa predkladá spôsob výpočtu navrhovaných zložiek taríf za rezervovanú kapacitu v MW a za elektrinu odobratú z prenosovej sústavy. Navrhované tarify zohľadňujú plánované výnosy v roku t v eurách z platieb za rezervovanú kapacitu pri výrobe elektriny od výrobcov elektriny pripojených do prenosovej sústavy, prevádzkovateľov zariadení na uskladňovanie elektriny a charakter odberu elektriny koncových odberateľov elektriny priamo pripojených do prenosovej sústavy, ich spotrebu elektriny a rezervovanú kapacitu pripojených užívateľov prenosovej sústavy, a to ak |
| a) rezervovaná kapacita na rok t v odbernom mieste koncového odberateľa elektriny priamo pripojeného do prenosovej sústavy je viac ako 150 MW a zároveň prenos elektriny pre koncového odberateľa elektriny priamo pripojeného do prenosovej sústavy v roku t-2 bol viac ako 1 TWh, koncovým odberateľom elektriny priamo pripojeným do prenosovej sústavy v roku t sa uhrádzajú prevádzkovateľovi prenosovej sústavy platby za prístup do prenosovej sústavy a prenos elektriny, ktoré sa vypočítajú ako súčin hodnoty rezervovanej kapacity a 75 % z tarify za rezervovanú kapacitu a súčin hodnoty prenesenej elektriny a 75 % z tarify za prenesenú elektrinu, |
| b) rezervovaná kapacita na rok t v odbernom mieste koncového odberateľa elektriny priamo pripojeného do prenosovej sústavy je viac ako 250 MW a zároveň prenos elektriny pre koncového odberateľa elektriny priamo pripojeného do prenosovej sústavy v roku t-2 je viac ako 1,5 TWh, koncovým odberateľom elektriny priamo pripojeným do prenosovej sústavy v roku t sa uhrádzajú prevádzkovateľovi prenosovej sústavy platby za prístup do prenosovej sústavy a prenos elektriny, ktoré sa vypočítajú ako súčin hodnoty rezervovanej kapacity a 50 % z tarify za rezervovanú kapacitu a súčin hodnoty prenesenej elektriny a 50 % z tarify za prenesenú elektrinu, |
| c) rezervovaná kapacita na rok t v odbernom mieste koncového odberateľa elektriny priamo pripojeného do prenosovej sústavy je viac ako 350 MW a zároveň prenos elektriny pre koncového odberateľa elektriny priamo pripojeného do prenosovej sústavy v roku t-2 je viac ako 2,5 TWh, koncovým odberateľom elektriny priamo pripojeným do prenosovej sústavy v roku t sa uhrádzajú prevádzkovateľovi prenosovej sústavy platby za prístup do prenosovej sústavy a prenos elektriny, ktoré sa vypočítajú ako súčin hodnoty rezervovanej kapacity a 25 % z tarify za rezervovanú kapacitu a súčin hodnoty prenesenej elektriny a 25 % z tarify za prenesenú elektrinu. |
| § 17 |
| (1) Užívateľom prenosovej sústavy sa uplatňuje tarifa za straty elektriny pri prenose elektriny PSstratyt, pričom výnos z týchto platieb sa nezahŕňa do výnosu za prístup do prenosovej sústavy a prenos elektriny. Výška tarify za straty elektriny pri prenose elektriny PSstratyt na jednotku množstva elektriny odobratej z prenosovej sústavy v roku t v eurách sa vypočíta podľa vzorca |
| 
|
| kde |
| a) PLEt je určená cena elektriny na pokrytie strát elektriny pri prenose elektriny na jednotku množstva elektriny na rok t v eurách, a vypočíta sa podľa vzorca |
| , |
| kde |
| 1. CEPXE,t je aritmetický priemer denných cien oficiálneho kurzového lístka zverejneného burzou PXE (POWER EXCHANGE CENTRAL EUROPE) na jej webovom sídle, produktu EEX-PXE Slovakian Power Futures Cal-t v eurách na jednotku množstva elektriny, pre rok t = 2025 za obdobie od 1. júla roku t-2 do 30. júna roku t-1 a pre rok t = 2026 a nasledujúce roky je toto obdobie od 1. januára roku t-1 do 30. júna roku t-1, |
| 2. kt je koeficient na rok t v percentách určený cenovým rozhodnutím v rozsahu najviac 6 % v závislosti od plánovaného diagramu strát elektriny pri prenose elektriny na rok t, |
| 3. Ot sú určené plánované náklady prevádzkovateľa prenosovej sústavy na odchýlku súvisiace s diagramom strát elektriny na jednotku množstva elektriny na rok t v eurách podľa metodiky výpočtu nákladov na odchýlku, ktorá je uvedená v prílohe č. 7, |
| b) QPLt je plánované množstvo strát elektriny pri prenose elektriny v jednotkách množstva elektriny na rok t určené podľa odseku 2, |
| c) FPSt je faktor strát pri prenose elektriny na jednotku množstva elektriny na rok t v eurách, ktorý sa vypočíta podľa vzorca |
| FPSt = PSstratyt–2 × (QPLprenost–2 – QSKprenost–2) + PLEt–2 × (QSKt–2 – QPLt–2), |
| kde |
| 1. PSstratyt-2 je tarifa za straty elektriny pri prenose elektriny na jednotku množstva elektriny odobratej z prenosovej sústavy v roku t-2 v eurách, |
| 2. QPLprenost-2 je plánované množstvo elektriny odobratej z prenosovej sústavy v jednotkách množstva elektriny na rok t-2, |
| 3. QSKprenost-2 je skutočné množstvo elektriny odobratej z prenosovej sústavy v jednotkách množstva elektriny na rok t, |
| 4. PLEt-2 je schválená alebo určená cena elektriny na pokrytie strát elektriny pri prenose elektriny na jednotku množstva elektriny na rok t-2 v eurách, |
| 5. QSKt-2 je skutočné čisté množstvo elektriny obstaranej na krytie strát elektriny pri prenose elektriny v i-tej štvrťhodine roku t-2, po odpočítaní množstva predanej prebytočnej elektriny v jednotkách množstva elektriny, |
| 6. QPLt-2 je povolené plánované množstvo strát elektriny pri prenose elektriny na rok t-2 v jednotkách množstva elektriny. |
| d) QPLprenost je plánované množstvo elektriny odobratej z prenosovej sústavy v jednotkách množstva elektriny na rok t, |
| e) STRITCt je alikvotná časť čistých výnosov alebo nákladov z ITC mechanizmu v eurách zahrnutá do tarify za straty elektriny pri prenose elektriny na rok t a vypočíta sa podľa vzorca |
| STRITCt = ITCplt–1× mt × mstrt, |
| kde |
| 1. ITCplt-1 je celkový rozdiel očakávaných výnosov a nákladov prevádzkovateľa prenosovej sústavy v eurách fakturovaných v rámci ITC mechanizmu v roku t-1, ktorý sa určí ako súčet |
| 1a. celkového rozdielu skutočných výnosov a nákladov prevádzkovateľa prenosovej sústavy v eurách fakturovaných v rámci ITC mechanizmu za všetky účtovne uzavreté mesiace roku t-1 v dobe vypracovania cenového návrhu a |
| 1b. celkového rozdielu očakávaných výnosov a nákladov prevádzkovateľa prenosovej sústavy v eurách fakturovaných v rámci ITC mechanizmu za tie mesiace roku t-1, ktoré v dobe vypracovania cenového návrhu nie sú účtovne uzavreté, |
| 2. mt je koeficient zahrnutia ITC mechanizmu do taríf na rok t určený úradom do 31. decembra roku t-1 v rozsahu 0 až 1, |
| 3. mstrt je koeficient zahrnutia ITC mechanizmu do tarify za straty elektriny pri prenose elektriny určený úradom do 31. decembra roku t-1 v rozsahu 0 až 1, |
| f) STRVAt je alikvotná časť čistých výnosov alebo nákladov z aukcií prenosovej kapacity na cezhraničných profiloch prenosovej sústavy v eurách zahrnutá do tarify za straty elektriny pri prenose elektriny na rok t a vypočíta sa podľa vzorca |
| STRVAt = VAplt–1 × nt × nstrt, |
| kde |
| 1. VAplt-1 je celkový rozdiel očakávaných výnosov a nákladov prevádzkovateľa prenosovej sústavy v eurách fakturovaných v rámci aukcií prenosovej kapacity na cezhraničných profiloch prenosovej sústavy v roku t-1, ktorý sa určí ako súčet |
| 1a. celkového rozdielu skutočných výnosov a nákladov prevádzkovateľa prenosovej sústavy v eurách fakturovaných v rámci aukcií prenosovej kapacity na cezhraničných profiloch prenosovej sústavy za všetky účtovne uzavreté mesiace roku t-1 v dobe vypracovania cenového návrhu a |
| 1b. celkového rozdielu očakávaných výnosov a nákladov prevádzkovateľa prenosovej sústavy v eurách fakturovaných v rámci aukcií prenosovej kapacity na cezhraničných profiloch prenosovej sústavy za tie mesiace roku t-1, ktoré v dobe vypracovania cenového návrhu nie sú účtovne uzavreté, |
| 2. nt je koeficient zahrnutia aukcií prenosovej kapacity na cezhraničných profiloch prenosovej sústavy do taríf na rok t určený úradom do 31. decembra roku t-1 v rozsahu 0 až 1, |
| 3. nstrt je koeficient zahrnutia aukcií prenosovej kapacity na cezhraničných profiloch prenosovej sústavy do tarify za straty elektriny pri prenose elektriny určený úradom do 31. decembra roku t-1 v rozsahu 0 až 1. |
| g) VSTR,t sú platby za straty za dodávku jalovej kapacitnej elektriny v roku t-2 podľa § 17a ods. 1 písm. c). |
| (2) Plánované množstvo strát elektriny pri prenose elektriny QPLt v jednotkách množstva elektriny na rok t sa vypočíta podľa vzorca
|
| QPLt = VstEt × PPSTRt, |
| kde |
| a) VstEt je plánované množstvo elektriny v jednotkách množstva elektriny na rok t vstupujúce do prenosovej sústavy vrátane tokov zo zahraničia, |
| b) PPSTRt je percento plánovaných strát elektriny pri prenose elektriny prenosovou sústavou v percentách na rok t a vypočíta sa podľa vzorca |
| 
|
| kde |
| 1. SQPLt je súčet skutočného množstva strát elektriny pri prenose elektriny v jednotkách množstva elektriny v rokoch t-3 a t-2, očakávaného množstva strát elektriny pri prenose elektriny v jednotkách množstva elektriny v roku t-1 a plánovaného množstva strát elektriny pri prenose elektriny v jednotkách množstva elektriny na rok t, |
| 2. SVstEt je súčet skutočného množstva elektriny v jednotkách množstva elektriny v rokoch t-3 a t-2 vstupujúceho do prenosovej sústavy vrátane tokov zo zahraničia, očakávaného množstva elektriny v jednotkách množstva elektriny v roku t-1 vstupujúceho do prenosovej sústavy vrátane tokov zo zahraničia a plánovaného množstva elektriny v jednotkách množstva elektriny na rok t vstupujúceho do prenosovej sústavy vrátane tokov zo zahraničia, |
| 3. XSPS je faktor strát elektriny pri prenose elektriny v percentách, ktorý je určený vo výške 2 %. |
| § 18 |
| (1) Na základe schváleného technického rozsahu jednotlivých druhov podporných služieb sa prevádzkovateľovi prenosovej sústavy určujú celkové plánované maximálne ekonomicky oprávnené náklady na rok t v eurách na nákup všetkých druhov podporných služieb od poskytovateľov podporných služieb. |
| (2) Pri určení maximálnych ekonomicky oprávnených nákladov na rok t podľa odseku 1 sa prihliada aj na aktuálnu situáciu na trhu s elektrinou, dosahované ceny podporných služieb na vymedzenom území a v okolitých krajinách a osobitosti poskytovania podporných služieb na vymedzenom území. Plánované maximálne ekonomicky oprávnené náklady sa určia v takej výške, aby prevádzkovateľ prenosovej sústavy bol pri dodržiavaní princípov hospodárnosti a pri transparentom a nediskriminačnom spôsobe obstarávania podporných služieb schopný zabezpečiť schválený technický rozsah jednotlivých druhov podporných služieb na zabezpečenie poskytovania systémových služieb. |
| (3) V cenovom rozhodnutí úradu sa určuje priamym určením na rok t |
| a) maximálna cena za poskytovanie disponibility jednotlivých druhov regulačných služieb v eurách na jednotku disponibilného elektrického výkonu, alebo spôsob výpočtu maximálnej ceny za poskytovanie disponibility jednotlivých druhov regulačných služieb, |
| b) maximálny oprávnený ročný náklad na nákup nefrekvenčných podporných služieb alebo maximálna cena za poskytovanie jednotlivých druhov nefrekvenčných podporných služieb v eurách na jednotku elektrického činného alebo jalového výkonu, |
| c) maximálna cena ponúkanej kladnej regulačnej elektriny a minimálna cena ponúkanej zápornej regulačnej elektriny v eurách na jednotku množstva elektriny pri aktivácii predmetného druhu regulačnej služby. |
| (4) Cena za obstaranú regulačnú elektrinu v eurách na jednotku množstva elektriny sa do doby pripojenia prevádzkovateľa k európskym platformám na výmenu regulačnej elektriny z rezerv na obnovenie frekvencie podľa osobitného predpisu určuje na základe ponukových cien využitých elektroenergetických zariadení a odberných elektrických zariadení poskytovateľov regulačných služieb ako |
| a) najvyššia ponúkaná cena regulačnej elektriny z elektroenergetického zariadenia alebo z odberného elektrického zariadenia poskytujúceho regulačnú elektrinu v štvrťhodinovom rozlíšení, ak je regulačná elektrina kladná, najviac však maximálna cena určená cenovým rozhodnutím v eurách za jednotku množstva elektriny, |
| b) najnižšia ponúkaná cena regulačnej elektriny z elektroenergetického zariadenia alebo z odberného elektrického zariadenia poskytujúceho regulačnú elektrinu v štvrťhodinovom rozlíšení, ak je regulačná elektrina záporná, najmenej však minimálna cena určená cenovým rozhodnutím v eurách za jednotku množstva elektriny. |
| (5) Po pripojení prevádzkovateľa prenosovej sústavy k európskym platformám na výmenu regulačnej elektriny z rezerv na obnovenie frekvencie podľa osobitého predpisu30) sa cena regulačnej elektriny pri štandardných produktoch určuje podľa pravidiel európskych platforiem na výmenu regulačnej elektriny z rezerv na obnovenie frekvencie. Pri úradom schválených osobitných produktoch sa cena regulačnej elektriny určuje podľa pravidiel schválených rozhodnutím úradu, v súlade s osobitným predpisom.31) |
| (6) Do doby pripojenia prevádzkovateľa prenosovej sústavy k európskym platformám na výmenu regulačnej elektriny z rezerv na obnovenie frekvencie štandardných produktov pre regulačnú elektrinu,32) sa cena regulačnej elektriny pri osobitných produktoch určuje podľa odseku 4. |
| § 19 |
| (1) Tarifa za systémové služby na rok t v eurách na jednotku množstva elektriny sa uplatňuje na koncovú spotrebu elektriny odobratú zo sústavy koncovými odberateľmi elektriny. |
| (2) Tarifa za systémové služby môže byť diferencovaná na viaceré hodnoty sadzieb TSSi,t, ktoré sa uplatnia individuálne pre jednotlivé skupiny odberných miest koncových odberateľov elektriny, pričom pre priradenie odberného miesta koncového odberateľa elektriny do príslušnej skupiny sa vyhodnocuje očakávaná výška koncovej spotreby elektriny odobratej zo sústavy za rok t-1 na všetkých odberných miestach koncového odberateľa elektriny. |
| (3) Skupiny odberných miest koncových odberateľov elektriny sú |
| a) skupina 1, a to odberné miesta koncových odberateľov elektriny s očakávanou koncovou spotrebou elektriny, na ktorú sa uplatňujú tarify za systémové služby za rok t-1 do 1 GWh vrátane, okrem odberných miest koncových odberateľov elektriny zaradených v skupine 4, |
| b) skupina 2, a to odberné miesta koncových odberateľov elektriny s očakávanou koncovou spotrebou elektriny, na ktorú sa uplatňujú tarify za systémové služby za rok t-1 nad 1 GWh do 100 GWh vrátane, okrem odberných miest koncových odberateľov elektriny zaradených v skupine 4, |
| c) skupina 3, a to odberné miesta koncových odberateľov elektriny s očakávanou koncovou spotrebou elektriny, na ktorú sa uplatňujú tarify za systémové služby za rok t-1 nad 100 GWh, okrem odberných miest koncových odberateľov elektriny zaradených v skupine 4, |
| d) skupina 4, a to odberné miesta koncových odberateľov elektriny priamo pripojených do prenosovej sústavy s dobou ročného využitia maxima v roku t-2 6 800 hodín alebo vyššou a súčasne pomernou odchýlkou subjektu zúčtovania 0,025 alebo menšou; dobou ročného využitia maxima sa rozumie podiel celkového ročného odobratého množstva elektriny z prenosovej sústavy v roku t-2 a rezervovanej kapacity v roku t-2 určenej ako aritmetický priemer ročných hodnôt skutočného ročného maxima štvrťhodinového výkonu za roky t-4 až t-6, pričom podmienky zvýhodnenia odberového diagramu na rok t sa preukazujú znaleckým posudkom, predloženým prevádzkovateľovi prenosovej sústavy, organizátorovi krátkodobého trhu s elektrinou a úradu, koncovými odberateľmi elektriny priamo pripojenými do prenosovej sústavy, u ktorých je predpoklad splnenia týchto podmienok v roku t; pomernou odchýlkou subjektu zúčtovania sa rozumie priemerná hodnota za obdobie posledných 12 mesiacov predchádzajúcich dátumu predloženia žiadosti, a ak v priebehu posledných troch kalendárnych rokov bola činnosť koncového odberateľa prerušená dlhšie ako jeden kalendárny rok, použijú sa parametre za dva kalendárne roky predchádzajúce roku, v ktorom došlo k prerušeniu činnosti. |
| (4) Pre tarifu za systémové služby platí |
| , |
| kde |
| a) TSSi,t je sadzba tarify za systémové služby uplatnená na koncovú spotrebu elektriny odobratú zo sústavy v i-tej skupine odberných miest koncových odberateľov elektriny v eurách na jednotku množstva elektriny v roku t, |
| b) QPKStssi,t je celkové plánované množstvo koncovej spotreby elektriny odobratej zo sústavy v i-tej skupine odberných miest koncových odberateľov elektriny v jednotkách množstva elektriny v roku t, na ktorú sa uplatňujú tarify za systémové služby, |
| c) k je celkový počet skupín odberných miest odberateľov elektriny v roku t, |
| d) NPSSt sú plánované maximálne oprávnené náklady na poskytovanie systémových služieb so zahrnutím primeraného zisku na rok t, ktoré sa vypočítajú podľa odseku 5, |
| (5) Plánované maximálne oprávnené náklady na poskytovanie systémových služieb so zahrnutím primeraného zisku NPSSt v eurách na rok t sa vypočítajú podľa vzorca |
| NPSSt = PPSt + PNDis,t + ODis,t + PODis,t + RABDis,ST,t × WACC + FINVDis,t – DVPpS,t – TSSVAt – KSt – VTSS,t |
| kde |
| a) PPSt sú celkové schválené alebo určené plánované maximálne oprávnené náklady prevádzkovateľa prenosovej sústavy na nákup podporných služieb v eurách v roku t od poskytovateľov podporných služieb podľa osobitného predpisu,33) |
| b) PNDis,t sú schválené alebo určené prevádzkové náklady v eurách na rok t na dispečerskú činnosť prevádzkovateľa prenosovej sústavy na zabezpečenie poskytovania systémových služieb okrem odpisov, ktorých hodnota |
| 1. pre rok t = 2025 zodpovedá hodnote schválených alebo určených prevádzkových nákladov v eurách na rok 2024 na dispečerskú činnosť prevádzkovateľa prenosovej sústavy na zabezpečenie poskytovania systémových služieb okrem odpisov, |
| 2. pre rok t = 2026 a nasledujúce roky sa vypočíta podľa vzorca |
| 
|
| kde |
| 2a. PNDis,2024 sú schválené alebo určené prevádzkové náklady v eurách na rok 2024 na dispečerskú činnosť prevádzkovateľa prenosovej sústavy na zabezpečenie poskytovania systémových služieb okrem odpisov, |
| 2b. JPIn je aritmetický priemer indexov jadrovej inflácie v percentách zverejnených štatistickým úradom za obdobie od júla roku n-2 do júna roku n-1, uvedených na webovom sídle Štatistického úradu Slovenskej republiky – http://datacube.statistics.sk v priečinku „Makroekonomické štatistiky“ v sekcii „Spotrebiteľské ceny a ceny produkčných štatistík“ v časti „Indexy spotrebiteľských cien (inflácia)“ v časti „Jadrová a čistá inflácia“ v priečinku „Jadrová a čistá inflácia – oproti rovnakému obdobiu minulého roku v percentách – mesačne [sp0008ms]“, |
| 2c. X je faktor efektivity, ktorého hodnota v každom roku regulačného obdobia je 3,0 %, pričom ak je hodnota rozdielu JPIn a X nižšia ako 0 %, na výpočet plánovaných nákladov na systémové služby s primeraným ziskom na rok t sa hodnota rozdielu JPIn a X rovná 0 %, |
| c) ODis,t je schválená alebo určená hodnota odpisov prevádzkovateľa prenosovej sústavy v eurách na rok t, ktorá |
| 1. pre rok t = 2025 zodpovedá výške účtovných odpisov prevádzkovateľa prenosovej sústavy v roku 2023 z majetku uvažovaného v RABDis,2023 podľa písmena e) prvého bodu podbodu 1a., |
| 2. pre rok t = 2026 zodpovedá výške regulačných odpisov prevádzkovateľa prenosovej sústavy z majetku uvažovaného v RABDis,2024, podľa písmena e) druhého bodu podbodu 2a., určená na základe prílohy č. 1, |
| 3. pre rok t = 2027 a nasledujúce roky sa vypočíta podľa vzorca |
| 
|
| kde |
| 3a. ODis,2024 je schválená alebo určená hodnota odpisov prevádzkovateľa prenosovej sústavy v eurách, ktorá zodpovedá výške regulačných odpisov prevádzkovateľa prenosovej sústavy v roku 2024 z majetku uvažovaného v RABDis,2024, podľa písmena e) tretieho bodu podbodu 3a., určená na základe prílohy č. 1, |
| 3b. SODis,n je schválená alebo určená hodnota odpisov prevádzkovateľa prenosovej sústavy v eurách, ktorá zodpovedá výške regulačných odpisov prevádzkovateľa prenosovej sústavy v roku n-1 z majetku, zaradeného do užívania na dispečerskú činnosť v roku n-2, určená na základe prílohy č. 1, |
| 3c. VODis,n je schválená alebo určená hodnota odpisov prevádzkovateľa prenosovej sústavy v eurách, ktorá zodpovedá výške regulačných odpisov prevádzkovateľa prenosovej sústavy v roku n-2 z majetku, vyradeného z užívania na dispečerskú činnosť v roku n-2, určená na základe prílohy č. 1, |
| d) PODis,t je schválená alebo určená plánovaná hodnota odpisov prevádzkovateľa prenosovej sústavy v eurách, ktorá zodpovedá výške plánovaných regulačných odpisov prevádzkovateľa prenosovej sústavy v roku t z majetku, s plánovaným zaradením do užívania na dispečerskú činnosť v roku t-1, a určená na základe prílohy č. 1, |
| e) RABDis,ST,t je schválená alebo určená hodnota regulačnej bázy aktív na rok t v eurách, ktorá je rovná hodnote majetku využívaného na dispečerskú činnosť prevádzkovateľa prenosovej sústavy a vypočíta sa |
| 1. pre rok t = 2025 podľa vzorca |
| RABDis,ST,t = RABDis,2023 – MDis,2023, |
| kde |
| 1a. RABDis,2023 je schválená alebo určená hodnota regulačnej bázy aktív prevádzkovateľa prenosovej sústavy, ktorá zodpovedá zostatkovej účtovnej hodnote majetku prevádzkovateľa prenosovej sústavy k 31. decembru 2023, využívaného na dispečerskú činnosť, vrátane pozemkov v pôvodných obstarávacích hodnotách bez vplyvu precenenia, |
| 1b. MDis,2023 je hodnota tej časti regulačnej bázy aktív RABDis,2023 v eurách, ktorá bola financovaná zo zdrojov Európskej únie, alebo iných grantov a štátnych podpôr, alebo z investícií do aktív financovaných z výnosov z aukcií prenosovej kapacity na cezhraničných profiloch prenosovej sústavy, |
| 2. pre rok t = 2026 podľa vzorca |
| RABDis,ST,t = RABDis,2024 – MDis,2024, |
| kde |
| 2a. RABDis,2024 je schválená alebo určená hodnota regulačnej bázy aktív prevádzkovateľa prenosovej sústavy, ktorá zodpovedá zostatkovej hodnote majetku prevádzkovateľa prenosovej sústavy k 31. decembru 2024, využívaného na dispečerskú činnosť, určenej na základe znaleckého posudku vypracovaného znalcom zapísaným v zozname znalcov v odbore Ekonomika a riadenie podnikov v súlade s osobitným predpisom,25) vrátane pozemkov v pôvodných obstarávacích hodnotách bez vplyvu precenenia, |
| 2b. MDis,2024 je hodnota tej časti regulačnej bázy aktív RABDis,2024 v eurách, ktorá bola financovaná zo zdrojov Európskej únie, alebo iných grantov a štátnych podpôr, alebo z investícií do aktív financovaných z výnosov z aukcií prenosovej kapacity na cezhraničných profiloch prenosovej sústavy, |
| 3. pre rok t = 2027 a nasledujúce roky podľa vzorca |
| 
|
| kde |
| 3a. RABDis,2024 je schválená alebo určená hodnota regulačnej bázy aktív prevádzkovateľa prenosovej sústavy v eurách, ktorá zodpovedá zostatkovej hodnote majetku prevádzkovateľa prenosovej sústavy k 31. decembru 2024, využívaného na dispečerskú činnosť, určenej na základe znaleckého posudku vypracovaného znalcom zapísaným v zozname znalcov v odbore Ekonomika a riadenie podnikov v súlade s osobitným predpisom,25) vrátane pozemkov v pôvodných obstarávacích hodnotách bez vplyvu precenenia, |
| 3b. MDis,2024 je schválená alebo určená hodnota tej časti regulačnej bázy aktív RABDis,2024 v eurách, ktorá bola financovaná zo zdrojov Európskej únie, alebo iných grantov a štátnych podpôr alebo z investícií do aktív financovaných z výnosov z aukcií prenosovej kapacity na cezhraničných profiloch prenosovej sústavy, |
| 3c. RABDis,n je schválená alebo určená hodnota regulačnej bázy aktív prevádzkovateľa prenosovej sústavy v eurách, ktorá zodpovedá hodnote majetku prevádzkovateľa prenosovej sústavy využívaného na dispečerskú činnosť zaradeného do užívania v roku n-2, vrátane pozemkov v pôvodných obstarávacích hodnotách bez vplyvu precenenia, |
| 3d. MDis,n je hodnota tej časti regulačnej bázy aktív RABDis,n v eurách, ktorá bola financovaná zo zdrojov Európskej únie, alebo iných grantov a štátnych podpôr, alebo z investícií do aktív financovaných z výnosov z aukcií prenosovej kapacity na cezhraničných profiloch prenosovej sústavy, |
| 3e. SODis,n je schválená alebo určená hodnota odpisov prevádzkovateľa prenosovej sústavy v eurách, zodpovedajúca výške regulačných odpisov prevádzkovateľa prenosovej sústavy v roku n-1 z majetku RABDis,n, zaradeného do užívania na dispečerskú činnosť v roku n-2, určená na základe prílohy č. 1, |
| f) WACC je miera výnosnosti regulačnej bázy aktív na regulačné obdobie určená podľa § 5, |
| g) FINVDis,t je faktor investícií súvisiacich s dispečerskou činnosťou na rok t v eurách, ktorý sa vypočíta podľa vzorca |
| FINVDis,t = SODis,t–1 – PODis,t–2, |
| kde |
| 1. SODis,t-1 je schválená alebo určená hodnota odpisov prevádzkovateľa prenosovej sústavy v eurách, zodpovedajúca výške regulačných odpisov prevádzkovateľa prenosovej sústavy v roku t-2 z majetku zaradeného do užívania na dispečerskú činnosť v roku t-3, určená na základe prílohy č. 1, |
| 2. PODis,t-2 je schválená alebo určená plánovaná hodnota odpisov prevádzkovateľa prenosovej sústavy v eurách, ktorá zodpovedá výške plánovaných regulačných odpisov prevádzkovateľa prenosovej sústavy v roku t-2 z majetku s plánovaným zaradením do užívania na dispečerskú činnosť v roku t-3, určená na základe prílohy č. 1, |
| h) DVPpS,t sú skutočné dodatočné výnosy prevádzkovateľa prenosovej sústavy v roku t-2 v eurách zo sankcií uplatnených prevádzkovateľom prenosovej sústavy voči poskytovateľom podporných služieb za neplnenie zmluvných podmienok v príslušnej zmluve o poskytovaní podporných služieb, |
| i) TSSVAt je alikvotná časť čistých výnosov alebo nákladov z aukcií prenosovej kapacity na cezhraničných profiloch prenosovej sústavy v eurách zahrnutá do tarify za systémové služby na rok t a vypočíta sa podľa vzorca |
| TSSVAt = VAplt–1 × nt × ntsst, |
| kde |
| 1. VAplt-1 je celkový rozdiel očakávaných výnosov a nákladov prevádzkovateľa prenosovej sústavy v eurách fakturovaných v rámci aukcií prenosovej kapacity na cezhraničných profiloch prenosovej sústavy v roku t-1, ktorý sa určí ako súčet |
| 1a. celkového rozdielu skutočných výnosov a nákladov prevádzkovateľa prenosovej sústavy v eurách fakturovaných v rámci aukcií prenosovej kapacity na cezhraničných profiloch prenosovej sústavy za všetky účtovne uzavreté mesiace roku t-1 v dobe vypracovania cenového návrhu a |
| 1b. celkového rozdielu očakávaných výnosov a nákladov prevádzkovateľa prenosovej sústavy v eurách fakturovaných v rámci aukcií prenosovej kapacity na cezhraničných profiloch prenosovej sústavy za tie mesiace roku t-1, ktoré v dobe vypracovania cenového návrhu nie sú účtovne uzavreté, |
| 2. nt je koeficient zahrnutia aukcií prenosovej kapacity na cezhraničných profiloch prenosovej sústavy do taríf určený úradom do 31. decembra roku t-1 v rozsahu 0 až 1, |
| 3. ntsst je koeficient zahrnutia aukcií prenosovej kapacity na cezhraničných profiloch prenosovej sústavy do tarify za systémové služby určený úradom do 31. decembra roku t-1 v rozsahu 0 až 1, |
| j) KSt je faktor vyrovnania v roku t v eurách vypočítaný podľa odseku 3, |
| k) VTSS,t sú výnosy z platieb za jalovú kapacitnú elektrinu podľa § 17b za rok t-2. |
| (6) Faktor vyrovnania KSt na rok t v eurách sa vypočíta podľa vzorca |
| 
|
| kde |
| a) NSSSt-2 sú skutočné výnosy z poskytovania systémových služieb vyúčtované prevádzkovateľom prenosovej sústavy v eurách v roku t-2, |
| b) NPSSt-2 sú plánované výnosy z poskytovania systémových služieb v eurách na rok t-2 so zohľadnením primeraného zisku, |
| c) st je koeficient zahrnutia rozdielu medzi skutočnými a plánovanými nákladmi na nákup podporných služieb určený cenovým rozhodnutím úradu na rok t v rozsahu 0 až 1, |
| d) SPSt-2 sú celkové skutočné náklady prevádzkovateľa prenosovej sústavy na nákup podporných služieb od poskytovateľov podporných služieb v eurách v roku t-2, |
| e) PPSt-2 sú celkové schválené alebo určené plánované maximálne oprávnené náklady prevádzkovateľa prenosovej sústavy na nákup podporných služieb od poskytovateľov podporných služieb v eurách v roku t-2 uplatnené v tarife za systémové služby, |
| f) SVTPStsst-2 sú skutočné výnosy prevádzkovateľa prenosovej sústavy v eurách v roku t-2 z tarify za prevádzkovanie systému, v ktorej bola prevádzkovateľovi prenosovej sústavy zohľadnená pomerná časť nákladov na nákup podporných služieb, ktoré sa pre rok t = 2027 a nasledujúce roky rovnajú nule, |
| g) Naukct-2 sú skutočné náklady prevádzkovateľa prenosovej sústavy na aukcie potrebné na dovoz podporných služieb zo zahraničia v eurách v roku t-2, |
| h) CVt-2 je skutočný dopad z cezhraničnej výpomoci v roku t-2 v eurách, ktorý sa vypočíta podľa vzorca |
| 
|
| kde |
| 1. NOcvt-2 sú skutočné náklady prevádzkovateľa prenosovej sústavy ako subjektu zúčtovania odchýlok za spôsobenú odchýlku súvisiace s cezhraničným saldom a havarijnou výpomocou v eurách v roku t-2, |
| 2. VOcvt-2 sú skutočné výnosy prevádzkovateľa prenosovej sústavy ako subjektu zúčtovania odchýlok za spôsobenú odchýlku súvisiace s cezhraničným saldom a havarijnou výpomocou v eurách v roku t-2, |
| 3. NREcvt-2 sú skutočné náklady prevádzkovateľa prenosovej sústavy ako dodávateľa regulačnej elektriny z havarijnej výpomoci v eurách v roku t-2, |
| 4. VREcvt-2 sú skutočné výnosy prevádzkovateľa prenosovej sústavy ako dodávateľa regulačnej elektriny z havarijnej výpomoci v eurách v roku t-2, |
| 5. Ncvt-2 sú skutočné náklady prevádzkovateľa prenosovej sústavy za havarijnú výpomoc a dodávku elektriny v rámci cezhraničného redispečingu a protiobchodu poskytnutého ostatnými prevádzkovateľmi prenosových sústav v eurách v roku t-2, |
| 6. Vcvt-2 sú skutočné výnosy prevádzkovateľa prenosovej sústavy za havarijnú výpomoc a dodávku elektriny v rámci cezhraničného redispečingu a protiobchodu poskytnutého ostatným prevádzkovateľom prenosových sústav v eurách v roku t-2, |
| 7. NFSkart-2 sú skutočné náklady prevádzkovateľa prenosovej sústavy zo systému FSkar v eurách v roku t-2, |
| 8. VFSkart-2 sú skutočné výnosy prevádzkovateľa prenosovej sústavy zo systému FSkar v eurách v roku t-2, |
| i) IGCCt je alikvotná časť čistých výnosov alebo nákladov prevádzkovateľa prenosovej sústavy na regulačnú elektrinu obstaranú v rámci systému IGCC a na regulačnú elektrinu z európskych platforiem na výmenu štandardných produktov pre regulačnú elektrinu v eurách zahrnutá do tarify za systémové služby na rok t, o ktorej úrad rozhodne do 31. decembra roku t-1 a vypočíta sa podľa vzorca |
| 
|
| kde |
| 1. VIGCCplt-1 sú očakávané výnosy prevádzkovateľa prenosovej sústavy za predaj regulačnej elektriny obstaranej automatickou aktiváciu regulačnej elektriny prostredníctvom riadiaceho informačného systému dispečingu prevádzkovateľa prenosovej sústavy v spolupráci so susednými prevádzkovateľmi prenosových sústav v rámci systému IGCC v roku t-1 v eurách, |
| 2. NIGCCplt-1 sú očakávané náklady prevádzkovateľa prenosovej sústavy na nákup regulačnej elektriny obstaranej automatickou aktiváciu regulačnej elektriny prostredníctvom riadiaceho informačného systému dispečingu prevádzkovateľa prenosovej sústavy v spolupráci so susednými prevádzkovateľmi prenosových sústav v rámci systému IGCC v roku t-1 v eurách, |
| 3. VREIGplt-1 sú očakávané výnosy prevádzkovateľa prenosovej sústavy ako dodávateľa regulačnej elektriny obstaranej prevádzkovateľom prenosovej sústavy v systéme IGCC v roku t-1 v eurách, |
| 4. NREIGplt-1 sú očakávané náklady prevádzkovateľa prenosovej sústavy ako dodávateľa regulačnej elektriny obstaranej prevádzkovateľom prenosovej sústavy v systéme IGCC v roku t-1 v eurách, |
| 5. VREEPplt-1 sú očakávané výnosy prevádzkovateľa prenosovej sústavy za regulačnú elektrinu z európskych platforiem na výmenu štandardných produktov pre regulačnú elektrinu v roku t-1 v eurách, |
| 6. NREEPplt-1 sú očakávané náklady prevádzkovateľa prenosovej sústavy na regulačnú elektrinu z európskych platforiem na výmenu štandardných produktov pre regulačnú elektrinu v roku t-1 v eurách, |
| 7. ut je koeficient zahrnutia IGCC do tarify za systémové služby určený úradom vo výške 0,8, |
| j) KIGCCt je korekcia plánovaných a skutočných čistých výnosov a nákladov prevádzkovateľa prenosovej sústavy na regulačnú elektrinu obstaranú v rámci systému IGCC a plánovaných a skutočných čistých výnosov a nákladov prevádzkovateľa prenosovej sústavy na regulačnú elektrinu z európskych platforiem na výmenu štandardných produktov pre regulačnú elektrinu v eurách na rok t, ktorá sa vypočíta podľa vzorca |
| 
|
| kde |
| 1. VIGCCskt-2 sú skutočné výnosy prevádzkovateľa prenosovej sústavy za predaj regulačnej elektriny obstaranej automatickou aktiváciou regulačnej elektriny prostredníctvom riadiaceho informačného systému dispečingu prevádzkovateľa prenosovej sústavy v spolupráci so susednými prevádzkovateľmi prenosových sústav v rámci systému IGCC v roku t-2 v eurách, |
| 2. NIGCCskt-2 sú skutočné náklady prevádzkovateľa prenosovej sústavy na nákup regulačnej elektriny obstaranej automatickou aktiváciou regulačnej elektriny prostredníctvom riadiaceho informačného systému dispečingu prevádzkovateľa prenosovej sústavy v spolupráci so susednými prevádzkovateľmi prenosových sústav v rámci systému IGCC v roku t-2 v eurách, |
| 3. VREIGskt-2 sú skutočné výnosy prevádzkovateľa prenosovej sústavy ako dodávateľa regulačnej elektriny obstaranej prevádzkovateľom prenosovej sústavy v systéme IGCC v roku t-2 v eurách, |
| 4. NREIGskt-2 sú skutočné náklady prevádzkovateľa prenosovej sústavy ako dodávateľa regulačnej elektriny obstaranej prevádzkovateľom prenosovej sústavy v systéme IGCC v roku t-2 v eurách, |
| 5. NREEPskt-2 sú skutočné náklady prevádzkovateľa prenosovej sústavy na regulačnú elektrinu z európskych platforiem na výmenu štandardných produktov pre regulačnú elektrinu v roku t-2 v eurách, |
| 6. VREEPskt-2 sú skutočné výnosy prevádzkovateľa prenosovej sústavy za regulačnú elektrinu z európskych platforiem na výmenu štandardných produktov pre regulačnú elektrinu v roku t-2 v eurách, |
| 7. VIGCCplt-2 sú očakávané výnosy prevádzkovateľa prenosovej sústavy za predaj regulačnej elektriny obstaranej automatickou aktiváciou regulačnej elektriny prostredníctvom riadiaceho informačného systému dispečingu prevádzkovateľa prenosovej sústavy v spolupráci so susednými prevádzkovateľmi prenosových sústav v rámci systému IGCC v roku t-2 v eurách, |
| 8. NIGCCplt-2 sú očakávané náklady prevádzkovateľa prenosovej sústavy na nákup regulačnej elektriny obstaranej automatickou aktiváciou regulačnej elektriny prostredníctvom riadiaceho informačného systému dispečingu prevádzkovateľa prenosovej sústavy v spolupráci so susednými prevádzkovateľmi prenosových sústav v rámci systému IGCC v roku t-2 v eurách, |
| 9. VREIGplt-2 sú očakávané výnosy prevádzkovateľa prenosovej sústavy ako dodávateľa regulačnej elektriny obstaranej prevádzkovateľom prenosovej sústavy v systéme IGCC v roku t-2 v eurách, |
| 10. NREIGplt-2 sú očakávané náklady prevádzkovateľa prenosovej sústavy ako dodávateľa regulačnej elektriny obstaranej prevádzkovateľom prenosovej sústavy v systéme IGCC v roku t-2 v eurách, |
| 11. NREEPplt-2 sú očakávané náklady prevádzkovateľa prenosovej sústavy na regulačnú elektrinu z európskych platforiem na výmenu štandardných produktov pre regulačnú elektrinu v roku t-2 v eurách, |
| 12. VREEPplt-2 sú očakávané výnosy prevádzkovateľa prenosovej sústavy za regulačnú elektrinu z európskych platforiem na výmenu štandardných produktov pre regulačnú elektrinu v roku t-2 v eurách. |
| (7) Pre odberateľa elektriny priamo pripojeného do prenosovej sústavy sa uplatňuje tarifa za systémové služby TSSt len za elektrinu odobratú z prenosovej sústavy. |
| (8) Pre odberateľa elektriny pripojeného do regionálnej distribučnej sústavy sa uplatňuje tarifa za systémové služby TSSt len za elektrinu odobratú z distribučnej sústavy. |
| (9) Pre odberateľa elektriny pripojeného do miestnej distribučnej sústavy sa uplatňuje tarifa za systémové služby TSSt len za všetku elektrinu odobratú zo sústavy. |
| (10) Pre odberateľa elektriny, ktorý odoberá elektrinu od výrobcu elektriny bez použitia prenosovej sústavy alebo distribučnej sústavy, sa tarifa za systémové služby TSSt neuplatňuje. |
| (11) Tarifa za systémové služby sa neuplatňuje za |
| a) vlastnú spotrebu elektriny pri výrobe elektriny, ktorá nie je odobratá z nadradenej sústavy, |
| b) ostatnú vlastnú spotrebu elektriny pri výrobe elektriny, ktorá nebola odobratá zo sústavy, |
| c) elektrinu uskladnenú v zariadení na uskladňovanie elektriny, odobratú zo sústavy, ku ktorej je zariadenie na uskladňovanie elektriny pripojené, alebo odobratú od výrobcu elektriny bez použitia sústavy, ktorá je následne po uskladnení dodaná do sústavy, |
| d) straty elektriny v sústave, |
| e) vlastnú spotrebu elektriny prevádzkovateľa sústavy pri prevádzkovaní sústavy, |
| f) elektrinu exportovanú zo sústavy v rámci prevádzky medzinárodne prepojených sústav, |
| g) spotrebu elektriny pri skúškach po ukončení výstavby zariadenia na výrobu elektriny alebo zariadenia na uskladňovanie elektriny pred jeho uvedením do prevádzky, ak takéto skúšky sú vykonané prostredníctvom odberu elektriny z prenosovej sústavy, |
| h) spotrebovanú elektrinu vyrobenú v zariadení na výrobu elektriny, ktoré nie je pripojené do sústavy a je trvalo oddelené od sústavy. |
| (12) Individuálna sadzba tarify za systémové služby na rok t v eurách na jednotku množstva elektriny, v súlade s § 12 ods. 6 zákona o regulácii, sa uplatňuje vo výške TSS4,t, ktorá sa vypočíta podľa vzorca |
| TSS4,t = (1 – Kistsst) × TSS1,t, |
| kde |
| a) TSS4,t je sadzba tarify za systémové služby uplatnená na koncovú spotrebu elektriny odobratú zo sústavy, na ktorú sa uplatňuje tarifa za systémové služby v skupine 4 odberných miest koncových odberateľov elektriny podľa odseku 3 písm. d) v eurách na jednotku množstva elektriny v roku t, |
| b) Kistsst je koeficient individuálnej sadzby tarify za systémové služby v roku t najviac vo výške 0,95, |
| c) TSS1,t je sadzba tarify za systémové služby uplatnená na koncovú spotrebu elektriny odobratú zo sústavy, na ktorú sa uplatňuje tarifa za systémové služby v skupine 1 odberných miest koncových odberateľov elektriny podľa odseku 3 písm. d) v eurách na jednotku množstva elektriny v roku t. |
| § 20 |
| (1) Ak účastník trhu s elektrinou zvolí pre svoje odberné miesto alebo odovzdávacie miesto režim prenesenej zodpovednosti za odchýlku, uhrádza sa platba za systémové služby účastníkovi trhu s elektrinou, ktorý za jeho odberné miesto alebo odovzdávacie miesto prevezme zodpovednosť za odchýlku. |
| (2) Ak účastník trhu s elektrinou prevezme zodpovednosť za odchýlku za odberné miesto alebo odovzdávacie miesto iného účastníka trhu s elektrinou a nie je subjektom zúčtovania, uhrádza sa platba za systémové služby účastníkovi trhu s elektrinou, ktorý za neho prevezme zodpovednosť za odchýlku. |
| § 21 |
| (1) Platby na pokrytie nákladov na systémové služby pre j-ty subjekt zúčtovania s vlastnou zodpovednosťou za odchýlku v eurách NSSszj sa vyúčtujú organizátorom krátkodobého trhu s elektrinou subjektom zúčtovania s vlastnou zodpovednosťou za odchýlku daňovým dokladom mesačne k 15. dňu nasledujúceho mesiaca v eurách a vypočítajú sa podľa vzorca |
| , |
| kde |
| a) NSSszj sú schválené alebo určené náklady na systémové služby pre j-ty subjekt zúčtovania s vlastnou zodpovednosťou za odchýlku v eurách |
| b) TSSi,t je sadzba tarify za systémové služby v eurách na jednotku množstva elektriny v roku t, uplatnená na koncovú spotrebu elektriny odobratú zo sústavy v i-tej skupine odberných miest koncových odberateľov elektriny v eurách na jednotku množstva elektriny v roku t, |
| c) QSKStssszi je celkové množstvo skutočnej koncovej spotreby elektriny odobratej zo sústavy v i-tej skupine odberných miest odberateľov elektriny j-tého subjektu zúčtovania s vlastnou zodpovednosťou za odchýlku, v jednotkách množstva elektriny, na ktoré sa uplatňujú tarify za systémové služby. |
| (2) Platby na pokrytie nákladov prevádzkovateľa prenosovej sústavy spojené so systémovými službami NSSps sa vyúčtovávajú organizátorovi krátkodobého trhu s elektrinou mesačne vždy k 15. dňu nasledujúceho mesiaca a vypočítajú sa podľa vzorca |
| , |
| kde |
| a) TSSi,t je sadzba tarify za systémové služby v eurách na jednotku množstva elektriny v roku t uplatnená na koncovú spotrebu elektriny odobratej zo sústavy v i-tej skupine odberných miest koncových odberateľov elektriny v eurách na jednotku množstva elektriny v roku t, |
| b) QSKStsst je celkové skutočné množstvo koncovej spotreby elektriny odobratej zo sústavy v i-tej skupine odberných miest odberateľov elektriny v jednotkách množstva elektriny, na ktoré sa uplatňuje tarifa za systémové služby, |
| c) k je celkový počet skupín odberných miest odberateľov elektriny v roku t podľa § 19 ods. 3. |
| § 22 |
| Cenová regulácia prístupu do distribučnej sústavy a distribúcie elektriny prevádzkovateľom regionálnej distribučnej sústavy, postup a podmienky uplatňovania cien a niektoré podmienky vykonávania regulovaných činností |
| (1) Cenová regulácia podľa odsekov 2 až 14 a § 23 až 26 sa vzťahuje na prevádzkovateľa regionálnej distribučnej sústavy. |
| (2) Súčasťou návrhu ceny sú |
| a) návrh cien alebo sadzieb za prístup do distribučnej sústavy a distribúciu elektriny, vrátane ich štruktúry, na rok t, ktoré sa uplatňujú pre účastníkov trhu s elektrinou vrátane podmienok ich pridelenia, |
| b) údaje nevyhnutné na preverenie cien za rok t-2, najmä skutočný objem distribúcie elektriny, počet odberných miest v členení po jednotlivých sadzbách, sumu zmluvných technických maxím a nameraných technických maxím v jednotlivých sadzbách v MW, |
| c) plán investícií a plán odpisov za regulovanú činnosť na roky t až t+2, |
| d) výpočty a údaje podľa § 25 a 26 týkajúce sa prístupu do distribučnej sústavy a distribúcie elektriny, |
| e) podklady podľa prílohy č. 8, |
| f) údaje o odberných miestach vo vzťahu k maximálnej rezervovanej kapacite podľa § 31 ods. 5, v rozsahu podľa tabuľky č. 2 v prílohe č. 9, |
| g) ďalšie podklady nevyhnutné na správne posúdenie návrhu ceny. |
| (3) Podklady podľa odseku 2 sa predkladajú v listinnej podobe a podklady podľa odseku 2 písm. a), b) a d) sa predkladajú aj v elektronickej podobe elektronickým podaním do elektronickej schránky. Vyplnené tabuľky podľa prílohy č. 8 sa predkladajú v elektronickej podobe vo formáte, ktorý zachováva úplnú funkčnosť tabuľkového editora. |
| (4) Ustanovenia o návrhu ceny sa primerane vzťahujú aj na návrh na zmenu cenového rozhodnutia podľa § 17 ods. 1 a 2 zákona o regulácii. |
| (5) Na účely cenovej regulácie sa úradu oznamuje najneskôr do 31. augusta roku t-1 plánované množstvo elektriny v roku t a do 25. dňa každého kalendárneho mesiaca skutočné alebo prepočítané množstvá v závislosti od typu merania v predchádzajúcom kalendárnom mesiaci roku t elektriny odobratej z príslušnej distribučnej sústavy |
| a) prevádzkovateľmi distribučnej sústavy a koncovými odberateľmi elektriny vrátane elektriny odobratej prevádzkovateľmi distribučnej sústavy a koncovými odberateľmi elektriny v rámci prevádzky preukázateľne oddelenej od elektrizačnej sústavy Slovenskej republiky, |
| b) prevádzkovateľmi distribučnej sústavy a koncovými odberateľmi elektriny v rámci prevádzky preukázateľne oddelenej od elektrizačnej sústavy Slovenskej republiky. |
| (6) Maximálna cena za prístup do distribučnej sústavy a distribúciu elektriny sa určuje osobitne pre každú napäťovú úroveň a rozpočíta sa na príslušnej napäťovej úrovni ako vážený priemer jednotlivých taríf. |
| (7) Na napäťovej úrovni nízkeho napätia sa určená tarifa za prístup do distribučnej sústavy a distribúciu elektriny rozpočíta najviac do týchto sadzieb pre odberateľov elektriny mimo domácnosti: |
| a) C1 je jednopásmová sadzba na spotrebu elektriny, s nižšou spotrebou elektriny, |
| b) C2 je jednopásmová sadzba na spotrebu elektriny, so strednou spotrebou elektriny, |
| c) C3 je jednopásmová sadzba na spotrebu elektriny, s vyššou spotrebou elektriny, |
| d) C4 je dvojpásmová sadzba s nižšou spotrebou elektriny, pričom nízke pásmo sa poskytuje minimálne osem hodín denne, |
| e) C5 je dvojpásmová sadzba so strednou spotrebou elektriny, pričom nízke pásmo sa poskytuje minimálne osem hodín denne, |
| f) C6 je dvojpásmová sadzba s vyššou spotrebou elektriny, pričom nízke pásmo sa poskytuje minimálne osem hodín denne, |
| g) C7 je dvojpásmová sadzba, pričom nízke pásmo sa poskytuje minimálne 20 hodín denne s blokovaním priamo-výhrevných elektrických spotrebičov v čase vysokého pásma, |
| h) C8 je dvojpásmová sadzba pre tepelné čerpadlo, pričom nízke pásmo sa poskytuje minimálne 22 hodín denne s blokovaním výhrevných elektrických spotrebičov v čase vysokého pásma, |
| i) C9 je sadzba pre nemerané odbery elektriny, |
| j) C10 je sadzba na spotrebu elektriny pre verejné osvetlenie, |
| k) C11 je sadzba na spotrebu elektriny pre dočasné odbery elektriny, |
| l) C12 je sadzba pre odberné miesto len s nabíjacou stanicou elektrických vozidiel, |
| m) C13 je sadzba pre odberné miesto len s batériovým úložiskom. |
| (8) Na napäťovej úrovni nízkeho napätia sa určená maximálna cena za prístup do distribučnej sústavy a distribúciu elektriny rozpočíta najviac do týchto sadzieb pre odberateľov elektriny v domácnosti: |
| a) D1 je jednopásmová sadzba s nižšou spotrebou elektriny, |
| b) D2 je jednopásmová sadzba s vyššou spotrebou elektriny, |
| c) D3 je dvojpásmová sadzba, pričom nízke pásmo sa poskytuje minimálne osem hodín denne s fixne určenými intervalmi času prevádzky v nízkom pásme a aspoň jeden interval sa poskytuje v nepretržitom trvaní minimálne tri hodiny, blokovanie elektrických spotrebičov nie je povinné; informácia o fixnom čase trvania intervalu v nepretržitom trvaní času prevádzky v nízkom pásme minimálne tri hodiny sa zverejňuje na webovom sídle prevádzkovateľa distribučnej sústavy, |
| d) D4 je dvojpásmová sadzba, pričom nízke pásmo sa poskytuje minimálne osem hodín denne s blokovaním akumulačných elektrických spotrebičov v čase vysokého pásma, |
| e) D5 je dvojpásmová sadzba pre výhrevné elektrické vykurovanie, pričom nízke pásmo sa poskytuje minimálne 20 hodín denne s blokovaním výhrevných elektrických spotrebičov v čase vysokého pásma, |
| f) D6 je dvojpásmová sadzba pre tepelné čerpadlo, pričom nízke pásmo sa poskytuje minimálne 22 hodín denne s blokovaním elektrických spotrebičov na vykurovanie v čase vysokého pásma, |
| g) D7 je dvojpásmová sadzba, pričom nízke pásmo sa poskytuje celoročne od piatka 15:00 hodiny do pondelka 6:00 hodiny bez blokovania elektrických spotrebičov, |
| h) D8 je dvojpásmová sadzba, pričom nízke pásmo sa poskytuje minimálne osem hodín denne s blokovaním akumulačných spotrebičov elektriny v čase vysokého pásma s určeným minimálnym inštalovaným výkonom akumulačných spotrebičov, |
| i) D9 je sadzba pre odberné miesto len s nabíjacou stanicou elektrických vozidiel. |
| (9) Na napäťovej úrovni vysokého napätia a veľmi vysokého napätia sa určená maximálna cena za prístup do distribučnej sústavy a distribúciu elektriny rozpočíta minimálne do troch z nižšie uvedených sadzieb pre odberateľov elektriny, pričom |
| a) X1 je jednopásmová sadzba s tarifou za rezervovaný výkon a tarifou za spotrebu elektriny na napäťovej úrovni veľmi vysokého napätia, |
| b) X2 je jednopásmová sadzba s tarifou za rezervovaný výkon a tarifou za spotrebu elektriny na napäťovej úrovni vysokého napätia, |
| c) X2-N je jednopásmová sadzba s tarifou za rezervovaný výkon a tarifou za spotrebu elektriny na napäťovej úrovni vysokého napätia pre odberné miesto len s pripojenou nabíjacou stanicou elektrických vozidiel. |
| (10) Pri sadzbách uplatňovaných podľa odsekov 7 a 8 sa |
| a) tarifa za prístup do distribučnej sústavy uplatňuje za rezervovanú kapacitu alebo odberné miesto a pri odberných miestach na napäťovej úrovni nízkeho napätia vybavených určeným meradlom s meraním štvrťhodinového činného výkonu s mesačným odpočtom môže byť dohodnutá rezervovaná kapacita nižšia, ako je hodnota kapacity zodpovedajúca amperickej hodnote hlavného ističa, |
| b) tarifa za distribúciu elektriny vrátane prenosu elektriny sa uplatňuje za nameraný odber elektriny z distribučnej sústavy určeným meradlom prevádzkovateľa distribučnej sústavy. |
| (11) Spolu s návrhom ceny na rok t sa predkladá odôvodnenie k spôsobu výpočtu navrhovanej ceny a tarify spolu s vyhodnotením dopadov na odberateľa elektriny. |
| (12) Na reguláciu ceny za prístup do distribučnej sústavy a distribúciu elektriny napäťová úroveň veľmi vysokého napätia zahŕňa sústavu veľmi vysokého napätia, napäťová úroveň vysokého napätia zahŕňa sústavu vysokého napätia vrátane transformácie veľmi vysokého napätia na vysoké napätie a napäťová úroveň nízkeho napätia zahŕňa sústavu nízkeho napätia vrátane transformácie vysokého napätia na nízke napätie. |
| (13) Ak cena za prístup do distribučnej sústavy a distribúciu elektriny alebo tarifa za straty elektriny pri distribúcii elektriny v roku t oproti roku t-1 spôsobí na napäťovej úrovni nízkeho napätia väčšiu zmenu, ako je násobok JPI-X, uplatní sa alokácia ekonomicky oprávnených nákladov za prístup do prenosovej sústavy a prenos elektriny vrátane strát elektriny pri prenose elektriny alebo alokácia ekonomicky oprávnených nákladov za straty elektriny pri distribúcii elektriny medzi napäťovými úrovňami takým spôsobom, aby bola percentuálna zmena ceny distribúcie a strát pri distribúcii elektriny na všetkých napäťových úrovniach rovnaká, kde JPI je aritmetický priemer indexov jadrovej inflácie v percentách zverejnených štatistickým úradom za obdobie od júla roku t-2 do júna roku t-1 a X je faktor efektivity určený podľa § 25 ods. 3 písm. a) tretieho bodu. |
| (14) Podiel výnosov z platieb za rezerváciu kapacity a celkových výnosov za prístup do distribučnej sústavy a distribúciu elektriny okrem výnosov za straty elektriny pri distribúcii elektriny sa určuje maximálne vo výške 0,7. Medziročná zmena podielu výnosov z platieb za rezervovanú kapacitu a celkových výnosov za prístup do distribučnej sústavy a distribúciu elektriny okrem výnosov za straty elektriny pri distribúcii elektriny na rok t sa ustanovuje maximálne vo výške 3 % z povolenej hodnoty podielu výnosov z platieb za rezerváciu kapacity a celkových výnosov za prístup do distribučnej sústavy a distribúciu elektriny okrem výnosov za straty elektriny pri distribúcii elektriny v roku t-1. |
| § 23 |
| (1) Na určenie maximálnej rezervovanej kapacity v odbernom mieste na napäťovej úrovni veľmi vysokého napätia a vysokého napätia sa použije osobitný predpis.34) Ak nameraný štvrťhodinový výkon prekročí hodnotu rezervovanej kapacity alebo hodnotu maximálnej rezervovanej kapacity, uplatnia sa prevádzkovateľom distribučnej sústavy tarify za nedodržanie zmluvných hodnôt. |
| (2) Dvanásťmesačná, trojmesačná a mesačná rezervovaná kapacita v odbernom mieste na napäťovej úrovni veľmi vysokého napätia a vysokého napätia je hodnota štvrťhodinového výkonu, ktorý sa na príslušné obdobie zabezpečuje pre odberateľa elektriny v zmluve o prístupe do distribučnej sústavy a distribúcii elektriny alebo v rámcovej distribučnej zmluve. Hodnota rezervovanej kapacity v odbernom mieste nemôže prekročiť hodnotu maximálnej rezervovanej kapacity v odbernom mieste a nemôže byť nižšia ako minimálna rezervovaná kapacita. Minimálnou rezervovanou kapacitou je 50 % z hodnoty maximálnej rezervovanej kapacity okrem odberného miesta so sezónnym odberom elektriny, na ktorom je minimálnou rezervovanou kapacitou 5 % z hodnoty maximálnej rezervovanej kapacity. Hodnotu rezervovanej kapacity v odbernom mieste počas trvania platnosti dohodnutého typu rezervovanej kapacity nie je možné znížiť. Hodnotu rezervovanej kapacity v odbernom mieste je možné meniť v intervale hodnôt maximálnej a minimálnej hodnoty rezervovanej kapacity pri zmene typu rezervovanej kapacity alebo po uplynutí doby, na ktorú je rezervovaná kapacita dohodnutá. Ak sa zvýši hodnota maximálnej rezervovanej kapacity v odbernom mieste a táto zmena má za následok, že dohodnutá hodnota rezervovanej kapacity v odbernom mieste je nižšia ako minimálna hodnota rezervovanej kapacity, potom na základe zmeny dohodnutej hodnoty maximálnej rezervovanej kapacity v odbernom mieste je nová hodnota rezervovanej kapacity rovnaká ako minimálna hodnota rezervovanej kapacity. To neplatí, ak odberateľ elektriny požiada prevádzkovateľa distribučnej sústavy o zvýšenie dohodnutej rezervovanej kapacity v odbernom mieste. Ak sa zvýši hodnota maximálnej rezervovanej kapacity, odberateľ elektriny môže požiadať prevádzkovateľa distribučnej sústavy o súčasné zvýšenie dohodnutej rezervovanej kapacity v intervale hodnôt maximálnej a minimálnej hodnoty rezervovanej kapacity v odbernom mieste; dohodnutý typ a dohodnuté trvanie platnosti rezervovanej kapacity v odbernom mieste týmto zvýšením dohodnutej hodnoty rezervovanej kapacity nie sú dotknuté. |
| (3) Za sezónny odber elektriny sa považuje odber elektriny z distribučnej sústavy na napäťovej úrovni vysokého napätia alebo nízkeho napätia s priebehovým meraním typu A alebo priebehovým meraním typu B trvajúci najmenej jeden mesiac a najviac sedem mesiacov v kalendárnom roku v odbernom mieste, v ktorom množstvo elektriny odobratej počas sezónneho odberu elektriny tvorí najmenej 80 % z množstva elektriny odobratej za príslušný kalendárny rok. Pre sezónny odber elektriny je možné zmeniť rezervovanú kapacitu dvakrát za kalendárny rok s využitím dvanásťmesačnej rezervovanej kapacity. Splnenie podmienok sezónneho odberu za uplynulý kalendárny rok sa vyhodnocuje prevádzkovateľom distribučnej sústavy po ukončení kalendárneho roka a vyúčtovacia faktúra sa odberateľovi elektriny zasiela do konca februára nasledujúceho kalendárneho roka. Ak odberné miesto nesplní podmienky pridelenia sezónneho odberu elektriny, odberateľovi elektriny sa za obdobie mimo sezóny uplatní platba za rezervovanú kapacitu, a to uplatnením mesačnej rezervovanej kapacity s rezervovanou kapacitou 50 % z maximálnej rezervovanej kapacity alebo nameranej hodnoty maximálneho výkonu za predchádzajúce obdobie uplatňovania tarify sezónneho odberu, ak je táto hodnota vyššia ako 50 % z maximálnej rezervovanej kapacity v odbernom mieste a platba za prácu v sadzbe, na ktorú má užívateľ sústavy právo. Zistený rozdiel v platbe v dôsledku nesplnenia podmienok pridelenia tarify sezónneho odberu sa uhrádza odberateľom elektriny prevádzkovateľovi distribučnej sústavy. |
| (4) Rezervovaná kapacita v odbernom mieste sa dohodne takto: |
| a) mesačná na jeden kalendárny mesiac, |
| b) trojmesačná na tri po sebe nasledujúce kalendárne mesiace, |
| c) dvanásťmesačná na dvanásť po sebe nasledujúcich kalendárnych mesiacov. |
| (5) Ak odberateľ elektriny zvyšuje hodnotu rezervovanej kapacity v odbernom mieste bez zmeny typu rezervovanej kapacity, na dodržanie minimálneho času použitia daného typu rezervovanej kapacity podľa tohto odseku sa neprihliada. Zmena rezervovanej kapacity v odbernom mieste sa vykoná vždy k prvému dňu v mesiaci podľa platných pravidiel na zmenu rezervovanej kapacity príslušného prevádzkovateľa distribučnej sústavy. O zmenu rezervovanej kapacity v odbernom mieste môže odberateľ elektriny, ktorého odberné miesto je pripojené na napäťovej úrovni veľmi vysokého napätia alebo vysokého napätia, a ktorý má uzavretú zmluvu o prístupe do distribučnej sústavy a distribúcii elektriny, požiadať prevádzkovateľa distribučnej sústavy pri zmene z |
| a) dvanásťmesačnej rezervovanej kapacity v odbernom mieste na trojmesačnú rezervovanú kapacitu alebo mesačnú rezervovanú kapacitu po uplynutí troch mesiacov odo dňa uplatnenia dvanásťmesačnej kapacity, |
| b) trojmesačnej rezervovanej kapacity v odbernom mieste na mesačnú rezervovanú kapacitu alebo dvanásťmesačnú rezervovanú kapacitu po uplynutí troch mesiacov odo dňa uplatnenia trojmesačnej kapacity; zmena na dvanásťmesačnú rezervovanú kapacitu je možná jedenkrát počas kalendárneho roka, |
| c) mesačnej rezervovanej kapacity v odbernom mieste na trojmesačnú rezervovanú kapacitu alebo dvanásťmesačnú rezervovanú kapacitu po uplynutí jedného mesiaca odo dňa uplatnenia mesačnej rezervovanej kapacity; zmena na dvanásťmesačnú rezervovanú kapacitu je možná jedenkrát počas kalendárneho roka. |
| (6) Ak má odberateľ elektriny uzavretú zmluvu o združenej dodávke elektriny, môže požiadať o zmenu rezervovanej kapacity v odbernom mieste podľa odseku 5 prostredníctvom svojho dodávateľa elektriny. Pri zmene rezervovanej kapacity odberateľa elektriny v odbernom mieste sa postupuje podľa rámcovej distribučnej zmluvy uzavretej medzi dodávateľom elektriny a prevádzkovateľom distribučnej sústavy. |
| (7) Hodnota a trvanie rezervovanej kapacity v odbernom mieste platí ďalej na príslušné nasledujúce obdobie, ak odberateľ elektriny nepožiada o ich zmenu. Mesačná rezervovaná kapacita platí ďalší mesiac, trojmesačná rezervovaná kapacita platí ďalšie tri mesiace, dvanásťmesačná platí ďalších 12 mesiacov. O zmenu rezervovanej kapacity v odbernom mieste na nasledujúce obdobie môže odberateľ elektriny požiadať dodávateľa elektriny alebo prevádzkovateľa distribučnej sústavy podľa zmluvy alebo najneskôr posledný pracovný deň posledného mesiaca obdobia, na ktoré je rezervovaná kapacita dohodnutá. Rezervovaná kapacita sa účtuje mesačne. |
| (8) Rezervovaná kapacita v odbernom mieste na napäťovej úrovni nízkeho napätia je maximálna rezervovaná kapacita určená amperickou hodnotou hlavného ističa pred elektromerom alebo prepočítaná kilowattová hodnota maximálnej rezervovanej kapacity na hodnotu elektrického prúdu v ampéroch dohodnutá v zmluve o pripojení do distribučnej sústavy alebo určená v pripojovacích podmienkach; pre odberné miesta odberateľov elektriny mimo domácnosti vybavené určeným meradlom s meraním štvrťhodinového činného výkonu s mesačným odpočtom je minimálnou rezervovanou kapacitou 50 % z hodnoty maximálnej rezervovanej kapacity. |
| (9) Odberateľ elektriny v odbernom mieste na napäťovej úrovni nízkeho napätia môže požiadať o zníženie rezervovanej kapacity po uplynutí 12 mesiacov od poslednej zmeny rezervovanej kapacity. Pri žiadosti odberateľa elektriny o zníženie alebo zvýšenie rezervovanej kapacity do maximálnej rezervovanej kapacity pre odberné miesta vybavené určeným meradlom s meraním štvrťhodinového činného výkonu s mesačným odpočtom sa predloženie revíznej správy nevyžaduje. Podmienkou na zníženie hodnoty rezervovanej kapacity pre odberné miesto nevybavené určeným meradlom s meraním štvrťhodinového činného výkonu je predloženie revíznej správy o výmene ističa. |
| (10) Pri zvýšení rezervovanej kapacity v odbernom mieste na napäťovej úrovni nízkeho napätia sa odberateľom elektriny podáva žiadosť o pripojenie zariadenia do distribučnej sústavy. |
| (11) Užívateľom regionálnej distribučnej sústavy sa uhrádza platba za prístup do distribučnej sústavy v odbernom mieste a odovzdávacom mieste súčasne v jednom mieste pripojenia do regionálnej distribučnej sústavy prevádzkovateľovi regionálnej distribučnej sústavy za rezervovanú kapacitu, ak je |
| a) dohodnutá rezervovaná kapacita v odbernom mieste vyššia ako rezervovaná kapacita v odovzdávacom mieste, užívateľom sa uhrádza platba za dohodnutú rezervovanú kapacitu v odbernom mieste podľa cenového rozhodnutia úradu za prístup do distribučnej sústavy a distribúciu elektriny na rok t pre príslušného prevádzkovateľa regionálnej distribučnej sústavy na mesačnej báze a platbu za distribuovanú elektrinu v odbernom mieste na mesačnej báze, |
| b) dohodnutá rezervovaná kapacita v odbernom mieste menšia ako rezervovaná kapacita v odovzdávacom mieste, užívateľom sa uhrádza platba za dohodnutú rezervovanú kapacitu v odovzdávacom mieste určená podľa odseku 14 písm. a) alebo odseku 14 písm. b) prvého bodu, vo výške tarify za dvanásťmesačnú rezervovanú kapacitu podľa cenového rozhodnutia úradu za prístup do distribučnej sústavy a distribúciu elektriny na rok t pre príslušného prevádzkovateľa regionálnej distribučnej sústavy a platba za distribuovanú elektrinu v odbernom mieste na mesačnej báze. |
| (12) Ak užívateľ regionálnej distribučnej sústavy v odbernom mieste a odovzdávacom mieste súčasne v jednom mieste pripojenia do regionálnej distribučnej sústavy prevádzkuje zariadenie na výrobu elektriny z vodnej energie s celkovým inštalovaným výkonom do 1 MW, prevádzkuje prečerpávaciu vodnú elektráreň, alebo prevádzkuje certifikované zariadenie výlučne na poskytovanie podporných služieb prevádzkovateľovi prenosovej sústavy alebo výlučne na dodávku alebo odber regulačnej elektriny, neuhrádza prevádzkovateľovi regionálnej distribučnej sústavy platbu za prístup do distribučnej sústavy podľa odseku 11, ak predloží prevádzkovateľovi regionálnej distribučnej sústavy potvrdenie o poskytnutí podporných služieb za predchádzajúci mesiac vydané prevádzkovateľom prenosovej sústavy, najneskôr do piateho pracovného dňa nasledujúceho mesiaca, a to do maximálnej výšky výkonu elektroenergetického zariadenia určeného na poskytovanie podporných služieb. Potvrdenie prevádzkovateľa prenosovej sústavy o poskytnutí podporných služieb obsahuje obdobie poskytovania podporných služieb a identifikačné číslo EIC odberného miesta alebo odovzdávacieho miesta zazmluvneného u prevádzkovateľa distribučnej sústavy, u ktorého je žiadané neuhrádzanie platby za prístup do distribučnej sústavy, a to podľa toho, cez ktoré identifikačné číslo EIC boli poskytované podporné služby a zazmluvnený výkon určený na poskytovanie podporných služieb. Ak užívateľ regionálnej distribučnej sústavy nepredloží prevádzkovateľovi regionálnej distribučnej sústavy potvrdenie o poskytnutí podporných služieb v lehote podľa prvej vety, vyfakturuje sa užívateľovi regionálnej distribučnej sústavy dohodnutá rezervovaná kapacita za príslušný mesiac. |
| (13) Maximálna rezervovaná kapacita v odovzdávacom mieste je ustanovená v osobitnom predpise.35) |
| (14) Rezervovaná kapacita v odovzdávacom mieste v distribučnej sústave sa užívateľmi sústavy neobjednáva a je 20 % z |
| a) maximálnej rezervovanej kapacity dohodnutej v zmluve o pripojení elektroenergetického zariadenia do regionálnej distribučnej sústavy alebo |
| b) hodnoty celkového inštalovaného výkonu elektroenergetického zariadenia, ak |
| 1. elektroenergetické zariadenie nemá uzatvorenú zmluvu o pripojení elektroenergetického zariadenia do regionálnej distribučnej sústavy alebo |
| 2. elektroenergetické zariadenie pripojené do miestnej distribučnej sústavy pripojenej do regionálnej distribučnej sústavy priamo alebo prostredníctvom jednej alebo viacerých miestnych distribučných sústav. |
| (15) Užívateľom regionálnej distribučnej sústavy v odovzdávacom mieste sa uhrádza platba za prístup do distribučnej sústavy prevádzkovateľovi regionálnej distribučnej sústavy za rezervovanú kapacitu v odovzdávacom mieste, určenej podľa odseku 14 písm. a) alebo odseku 14 písm. b) prvého bodu, vo výške tarify za dvanásťmesačnú rezervovanú kapacitu podľa cenového rozhodnutia úradu za prístup do distribučnej sústavy a distribúciu elektriny na rok t pre príslušného prevádzkovateľa regionálnej distribučnej sústavy. |
| (16) Ak je odberné miesto a odovzdávacie miesto užívateľa sústavy súčasne v jednom mieste pripojenia pripojené do miestnej distribučnej sústavy, prevádzkovateľom miestnej distribučnej sústavy, do ktorého miestnej distribučnej sústavy je odovzdávacie miesto užívateľa sústavy alebo odberné a odovzdávacie miesto užívateľa sústavy súčasne v jednom mieste pripojenia pripojené, sa platba za prístup do distribučnej sústavy za rezervovanú kapacitu v odovzdávacom mieste alebo odbernom mieste užívateľa sústavy uhrádza prevádzkovateľovi regionálnej distribučnej sústavy, do ktorého regionálnej distribučnej sústavy je jeho miestna distribučná sústava pripojená alebo je odovzdávacie miesto užívateľa sústav pripojené do miestnej distribučnej sústavy, ktorá je pripojená do regionálnej distribučnej sústavy prostredníctvom jednej alebo viacerých miestnych distribučných sústav podľa odseku 11. |
| (17) Ak užívateľ sústavy v odovzdávacom mieste alebo v odbernom mieste a odovzdávacom mieste užívateľa sústavy súčasne v jednom mieste pripojenia pripojeného do miestnej distribučnej sústavy, ktorý prevádzkuje zariadenie na výrobu elektriny z vodnej energie s celkovým inštalovaným výkonom do 1 MW, alebo dodáva elektrinu do sústavy pri prevádzke dopravných prostriedkov elektrickej trakcie, alebo prevádzkuje prečerpávaciu vodnú elektráreň, alebo prevádzkuje certifikované zariadenie výlučne na poskytovanie podporných služieb prevádzkovateľovi prenosovej sústavy alebo výlučne na dodávku alebo odber regulačnej elektriny, a predloží prevádzkovateľovi regionálnej distribučnej sústavy potvrdenie od prevádzkovateľa prenosovej sústavy o poskytnutí podporných služieb za predchádzajúci mesiac, najneskôr do piateho pracovného dňa nasledujúceho mesiaca, neuhrádza prevádzkovateľovi regionálnej distribučnej sústavy, do ktorého regionálnej distribučnej sústavy je jeho miestna distribučná sústava pripojená alebo je pripojená do regionálnej distribučnej sústavy prostredníctvom jednej alebo viacerých miestnych distribučných sústav, platbu za prístup do distribučnej sústavy za rezervovanú kapacitu v odovzdávacom mieste alebo v odbernom a odovzdávacom mieste užívateľa sústavy v jednom mieste pripojenia určenú podľa odseku 16. Ak potvrdenie od prevádzkovateľa prenosovej sústavy o poskytnutí podporných služieb za predchádzajúci mesiac prevádzkovateľovi regionálnej distribučnej sústavy, do ktorej je miestna distribučná sústava pripojená, užívateľ regionálnej distribučnej sústavy nepredloží v uvedenej lehote, prevádzkovateľom regionálnej distribučnej sústavy sa vyfakturuje dohodnutá rezervovanú kapacitu za príslušný mesiac prevádzkovateľovi miestnej distribučnej sústavy. |
| (18) Ak sa zariadenie na výrobu elektriny alebo zariadenie na uskladňovanie elektriny pripája do miestnej distribučnej sústavy, ktorá je pripojená do regionálnej distribučnej sústavy priamo alebo prostredníctvom jednej alebo viacerých miestnych distribučných sústav, alebo sa mení maximálna rezervovaná kapacita existujúceho zariadenia na výrobu elektriny alebo zariadenie na uskladňovanie elektriny pripojeného do miestnej distribučnej sústavy, ktorá je pripojená do regionálnej distribučnej sústavy priamo alebo prostredníctvom jednej alebo viacerých miestnych distribučných sústav, v lehote do 30 dní odo dňa doručenia žiadosti o pripojenie prevádzkovateľovi miestnej distribučnej sústavy sa o tom informuje prevádzkovateľ regionálnej distribučnej sústavy príslušným prevádzkovateľom miestnej distribučnej sústavy, pričom prevádzkovateľ miestnej distribučnej sústavy a prevádzkovateľ regionálnej distribučnej sústavy, do ktorej je miestna distribučná sústava prevádzkovateľa miestnej distribučnej sústavy pripojená, môžu dohodnúť v zmluve o pripojení do regionálnej distribučnej sústavy medzi prevádzkovateľom miestnej distribučnej sústavy a prevádzkovateľom regionálnej distribučnej sústavy maximálnu rezervovanú kapacitu v súlade s osobitným predpisom,36) ktorá je prevádzkovateľom regionálnej distribučnej sústavy písomne odsúhlasená. |
| (19) Pri pripojení miestnej distribučnej sústavy alebo iného užívateľa sústavy do regionálnej distribučnej sústavy v existujúcom odovzdávacom mieste alebo v odovzdávacom mieste sa tarifa za prístup do regionálnej distribučnej sústavy uhrádza za rezervovanú kapacitu takto: |
| a) prevádzkovateľovi regionálnej distribučnej sústavy sa uhrádza platba za rezervovanú kapacitu zariadenia na výrobu elektriny alebo zariadenia na uskladňovanie elektriny v odovzdávacom mieste alebo tarifa za rezervovanú kapacitu odbernom mieste podľa toho, ktorá rezervovaná kapacita je vyššia, v súlade s odsekom 11, |
| b) prevádzkovateľom miestnej distribučnej sústavy sa prevádzkovateľovi regionálnej distribučnej sústavy uhrádza platba za rezervovanú kapacitu podľa odseku 11 v odovzdávacom mieste zariadenia na výrobu elektriny alebo zariadenia na uskladňovanie elektriny pripojeného do miestnej distribučnej sústavy, ak je zariadenie na výrobu elektriny alebo zariadenie na uskladňovanie elektriny prevádzkované inou osobou, ako je prevádzkovateľ miestnej distribučnej sústavy, ktorá má úradom vydané platné povolenie alebo splnené povinnosti vyplývajúce z osobitných predpisov, alebo platba za rezervovanú kapacitu odbernom mieste miestnej distribučnej sústavy podľa toho, ktorá rezervovaná kapacita je vyššia, |
| c) prevádzkovateľom miestnej distribučnej sústavy sa prevádzkovateľovi regionálnej distribučnej sústavy uhrádza platba za rezervovanú kapacitu podľa odseku 11 v odovzdávacom mieste zariadenia na výrobu elektriny alebo zariadenia na uskladňovanie elektriny, ktoré prevádzkuje ako výrobca elektriny alebo prevádzkovateľ zariadenia na uskladňovanie elektriny, ktorý má úradom vydané platné povolenie alebo splnené povinnosti vyplývajúce z osobitných predpisov, alebo platba za rezervovanú kapacitu odbernom mieste miestnej distribučnej sústavy podľa toho, ktorá rezervovaná kapacita je vyššia. |
| (20) Užívateľovi regionálnej distribučnej sústavy, ktorý je prevádzkovateľom distribučnej sústavy na vymedzenom území, ktorý má na jednej z napäťových úrovní veľmi vysokého napätia alebo vysokého napätia jedného prevádzkovateľa distribučnej sústavy pripojených viac odberných miest s priebehovým meraním typu A alebo priebehovým meraním typu B, ich odber elektriny je prepojený vlastnou elektrickou sústavou a ktorými sú napájané dopravné prostriedky elektrickej trakcie, sa určí prevádzkovateľom regionálnej distribučnej sústavy na základe žiadosti užívateľa distribučnej sústavy s uvedením EIC kódov odberných miest, rezervovaná kapacita na vyhodnotenie a určenie ceny za rezervovanú kapacitu pre každú napäťovú úroveň osobitne zo súčtov výkonov nameraných v odberných miestach v čase, keď je tento súčet v príslušnom mesiaci najvyšší. Prekročenie maximálnej rezervovanej kapacity v odbernom mieste podľa tohto odseku o viac ako 10 % sa nefakturuje, ak o to vlastník odberného miesta požiada a súčasne preukáže v lehote do dvoch pracovných dní od posledného dňa kalendárneho mesiaca, v ktorom k prekročeniu došlo, že dôvodom prekročenia je existencia prekážky podľa § 374 Obchodného zákonníka. |
| (21) Rezervovaná kapacita sa za odberné miesta podľa odseku 20 neobjednáva u prevádzkovateľa regionálnej distribučnej sústavy. Prekročenie rezervovanej kapacity sa za odberné miesta podľa odseku 20 nevyhodnocuje a nefakturuje. Prekročenie maximálnej rezervovanej kapacity sa za odberné miesta podľa odseku 20 vyhodnocuje a fakturuje samostatne za každé odberné miesto osobitne. Nedodržanie predpísaných hodnôt účinníka a dodávky jalovej elektriny do distribučnej sústavy sa za odberné miesta podľa odseku 20 vyhodnocuje a fakturuje samostatne za každé odberné miesto osobitne. |
| § 24 |
| (1) Odberné miesto podľa § 23 ods. 20 sa za každú napäťovú úroveň osobitne zaradí len do jednej bilančnej skupiny. |
| (2) Prevádzkovateľom regionálnej distribučnej sústavy sa za odberné miesto, ktoré spĺňa podmienky podľa § 23 ods. 20, fakturuje mesačne pre každú napäťovú úroveň osobitne tarifa ročnej rezervovanej kapacity za maximálnu hodnotu súčtu stredných hodnôt štvrťhodinových činných výkonov za odberné miesto, ktoré spĺňa podmienky podľa § 23 ods. 20, za príslušný kalendárny mesiac. |
| (3) Ak maximálna hodnota súčtu stredných hodnôt štvrťhodinových činných výkonov za odberné miesta, ktoré spĺňajú podmienky podľa § 23 ods. 20, pre každú napäťovú úroveň osobitne nedosiahne 50 % zo súčtu maximálnej rezervovanej kapacity pre každú napäťovú úroveň osobitne, prevádzkovateľom regionálnej distribučnej sústavy sa fakturuje pre každú napäťovú úroveň osobitne tarifa ročnej rezervovanej kapacity vo výške 50 % zo súčtu maximálnej rezervovanej kapacity. |
| (4) Ak užívateľ regionálnej distribučnej sústavy, ktorý je prevádzkovateľom distribučnej sústavy na vymedzenom území, zahrnie do odberných miest podľa § 23 ods. 20 aj odberné miesta, ktoré nie sú prepojené vlastnou elektrickou sústavou alebo ktorými nie sú napájané len dopravné prostriedky elektrickej trakcie, za tieto odberné miesta sa platí užívateľom regionálnej distribučnej sústavy, ktorý je prevádzkovateľom distribučnej sústavy na vymedzenom území, rezervovaná kapacita vo výške 100 % z hodnoty maximálnej rezervovanej kapacity, kým si neobjedná rezervovanú kapacitu podľa technických podmienok a obchodných podmienok prevádzkovateľa regionálnej distribučnej sústavy. |
| (5) Pri vykonávaní cenovej regulácie v elektroenergetike možno uplatniť straty elektriny, ktoré vznikajú transformáciou z napäťovej úrovne |
| a) veľmi vysokého napätia na úroveň vysokého napätia najviac 2 % z množstva elektriny vystupujúceho na strane vysokého napätia, |
| b) vysokého napätia na úroveň nízkeho napätia najviac 4 % z množstva elektriny vystupujúceho na strane nízkeho napätia. |
| (6) Do nákladov na výkon regulovanej činnosti, možno zahrnúť len primerané náklady, ktorých výška je ustanovená osobitným predpisom.19) |
| (7) Ceny za prístup do distribučnej sústavy a distribúciu elektriny a ceny za prístup do prenosovej sústavy a prenos elektriny sa určujú pri základnom zabezpečení pripojenia užívateľa sústavy štandardným pripojením. |
| (8) Za štandardné pripojenie odberateľa elektriny sa považuje pripojenie jedným napájacím vedením podľa technických podmienok prevádzkovateľa distribučnej sústavy. Pri pripojení odberateľa elektriny s osobitnými nárokmi na spôsob zabezpečenia distribúcie elektriny, napríklad cez ďalšie napájacie vedenie, sa cena za prístup do distribučnej sústavy určuje vo výške 15 % z tarify za rezervovanú kapacitu, ktorá je dohodnutá pre ďalšie napájacie vedenie, podľa cenového rozhodnutia na rok t. Odberateľ elektriny si určuje, ktoré napájacie vedenie je štandardné a ktoré je ďalšie napájacie vedenie, a to na obdobie kalendárneho roka. |
| (9) Pri distribúcii elektriny cez ďalšie napájacie vedenie na základe požiadavky odberateľa elektriny v príslušnom mesiaci sa cena za prístup do distribučnej sústavy určuje vo výške 15 % z tarify za rezervovanú kapacitu pre napäťovú úroveň, do ktorej je ďalšie napájacie vedenie pripojené, a cena za distribúciu elektriny sa určuje vo výške 100 % z tarify za distribúciu elektriny pre napäťovú úroveň, do ktorej je ďalšie napájacie vedenie pripojené; cena za prístup do distribučnej sústavy a distribúciu elektriny za štandardné pripojenie tým nie je dotknutá. |
| (10) Ak sa odber elektriny vykonáva cez štandardné napájacie vedenie, nie je možné súčasne vykonávať odber elektriny cez ďalšie napájacie vedenie. |
| (11) Ak má odberateľ elektriny určenú rovnakú hodnotu rezervovanej kapacity a maximálnej rezervovanej kapacity na napäťovej úrovni nízkeho napätia v odbernom mieste, za prekročenie rezervovanej kapacity odberateľom elektriny sa uplatní len prekročenie maximálnej rezervovanej kapacity. Ak odberateľ elektriny okrem odberateľa elektriny v domácnosti má na napäťovej úrovni nízkeho napätia v odbernom mieste nižšiu rezervovanú kapacitu ako je amperická hodnota hlavného ističa pred elektromerom, pri prekročení rezervovanej kapacity sa uplatnia tarify za prekročenie rezervovanej kapacity. Výrobcovi elektriny pripojeného na napäťovej úrovni nízkeho napätia sa pri prekročení maximálnej rezervovanej kapacity na dodávku elektriny do distribučnej sústavy účtujú tarify za prekročenie maximálnej rezervovanej kapacity. |
| (12) Odberateľovi elektriny, ktorý neoprávnene využíva sadzbu za distribúciu elektriny, sa určí nová sadzba za distribúciu elektriny na základe histórie odberu elektriny v odbernom mieste a takto určená nová sadzba za distribúciu elektriny sa oznámi príslušnému dodávateľovi elektriny. |
| (13) Ak prevádzkovateľ distribučnej sústavy nameria dodávku elektriny alebo odber jalovej elektriny a nedodržanie predpísanej hodnoty účinníka, uplatnia sa tarify za dodávku alebo odber jalovej elektriny a tarify za nedodržanie predpísanej hodnoty účinníka; to neplatí pre zraniteľného odberateľa elektriny na napäťovej úrovni nízkeho napätia. Nedodržanie účinníka cos fí za odber elektriny z distribučnej sústavy na odbernom mieste výrobcu elektriny pripojeného do distribučnej sústavy, ak výrobca elektriny odoberie na odbernom mieste za mesiac množstvo elektriny nižšie ako 5 % z hodnoty rezervovanej kapacity pre odber elektriny vynásobenej 720 hodinami, sa nevyhodnocuje. |
| (14) Na napäťovej úrovni vysokého napätia sa cena za prístup do distribučnej sústavy a distribúciu elektriny pre odberateľov elektriny s odberným miestom, na ktorom je pripojená výlučne nabíjacia stanica elektrických vozidiel uplatňuje tarifa za rezervovanú kapacitu a tarifa za distribúciu elektriny podľa cenového rozhodnutia na rok t, určená na základe § 22 ods. 9 písm. c), ak miera využitia rezervovanej kapacity odberného miesta vypočítaná podľa odseku 15 je vyššia ako 0,3. |
| (15) Miera využitia rezervovanej kapacity odberného miesta, na ktorom je pripojená výlučne nabíjacia stanica elektrických vozidiel MVRK za predchádzajúci kalendárny rok sa vypočíta podľa vzorca |
| , |
| kde |
| a) Q je celkové odobraté množstvo elektriny v odbernom mieste v kWh, na ktorom je pripojená výlučne nabíjacia stanica elektrických vozidiel za predchádzajúci kalendárny rok, |
| b) RK je dvanásťmesačná rezervovaná kapacita odberného miesta v kW, na ktorom je pripojená výlučne nabíjacia stanica elektrických vozidiel, určená ako priemer zmluvne dohodnutej rezervovanej kapacity za predchádzajúci kalendárny rok. |
| (16) Pri uvedení nabíjacej stanice elektrických vozidiel pripojenej na napäťovej úrovni vysokého napätia do prevádzky sa postupuje podľa odseku 14. Prvé vyhodnotenie miery využitia rezervovanej kapacity odberného miesta, na ktorom je pripojená výlučne nabíjacia stanica elektrických vozidiel na napäťovej úrovni vysokého napätia sa vykoná po ukončení prvého uceleného kalendárneho roka prevádzky a MVRK sa vypočíta podľa vzorca
|
| , |
| kde |
| a) MVRK je miera využitia rezervovanej kapacity odberného miesta, na ktorom je pripojená výlučne nabíjacia stanica elektrických vozidiel za predchádzajúci kalendárny rok, |
| b) Q je celkové odobraté množstvo elektriny v odbernom mieste, na ktorom je pripojená výlučne nabíjacia stanica elektrických vozidiel za predchádzajúci kalendárny rok v kWh, |
| c) RK je dvanásťmesačná rezervovaná kapacita odberného miesta v kW, na ktorom je pripojená výlučne nabíjacia stanica elektrických vozidiel určená ako priemer zmluvne dohodnutej rezervovanej kapacity za predchádzajúci kalendárny rok, |
| d) d je počet dní od začiatku prevádzky nabíjacej stanice elektrických vozidiel do konca kalendárneho roka od uvedenia do prevádzky. |
| (17) Rozdiel v cene za prístup do distribučnej sústavy a distribúciu elektriny zistený na základe miery využitia rezervovanej kapacity odberného miesta, na ktorom je výlučne pripojená nabíjacia stanica elektrických vozidiel MVRK vyhodnotenej za predchádzajúci kalendárny rok sa vyúčtuje odberateľovi elektriny podľa odseku 14. |
| (18) Pri odbere elektriny i-tým prevádzkovateľom regionálnej distribučnej sústavy zo susednej regionálnej distribučnej sústavy sa zaplatí i-tým prevádzkovateľom regionálnej distribučnej sústavy priemerný náklad na prenos elektriny vypočítaný podľa § 25 ods. 5 susedného prevádzkovateľa regionálnej distribučnej sústavy, od ktorého elektrinu odoberal, za každú odobratú jednotku množstva elektriny v príslušnom kalendárnom mesiaci. |
| (19) Pri preprave elektriny z príslušnej časti vymedzeného územia na napäťovej úrovni veľmi vysokého napätia a vysokého napätia na časť územia Európskej únie alebo na časť územia tretích štátov a ktoré nespája prenosovú sústavu s prenosovou sústavou členského štátu alebo s prenosovou sústavou tretích štátov v súlade s osobitným predpisom37) a v súlade s úradom schváleným prepravným poriadkom, sa prevádzkovateľom regionálnej distribučnej sústavy účtuje príslušnému susednému prevádzkovateľovi sústavy na území Európskej únie alebo na území tretích štátov ceny za prístup do distribučnej sústavy vo výške tarify za jednomesačnú rezervovanú kapacitu vynásobenú najvyšším nameraným maximom za daný kalendárny mesiac, tarifu za distribúciu elektriny a tarifu za straty pri distribúcii elektriny určené alebo schválené v príslušných rozhodnutiach úradu podľa príslušnej napäťovej úrovne. |
| § 25 |
| (1) Maximálna cena za prístup do distribučnej sústavy a distribúciu elektriny na príslušnej napäťovej úrovni CDHN,t zohľadňuje vlastnú distribúciu elektriny a prenos elektriny vrátane strát pri prenose elektriny v eurách na jednotku množstva elektriny distribuovanej koncovým odberateľom elektriny v roku a vypočíta sa podľa vzorca
|
| CDHN,t = CDEHN,t + CPDHN,t, |
| kde |
| a) CDEHN,t je schválená alebo určená zložka maximálnej ceny za prístup do distribučnej sústavy a distribúciu elektriny na príslušnej napäťovej úrovni na rok t v eurách na jednotku množstva elektriny zohľadňujúca náklady a primeraný zisk vlastnej distribúcie elektriny podľa odseku 2, |
| b) CPDHN,t je priemerná zložka ceny za prístup do prenosovej sústavy a prenos elektriny vrátane strát pri prenose elektriny v eurách na jednotku množstva elektriny na príslušnej napäťovej úrovni podľa odseku 4. |
| (2) Schválená alebo určená zložka maximálnej ceny za prístup do distribučnej sústavy a distribúciu elektriny na príslušnej napäťovej úrovni CDEHN,t na rok t v eurách na jednotku množstva elektriny zohľadňujúca náklady a primeraný zisk vlastnej distribúcie elektriny sa vypočíta podľa vzorca
|
| , |
| kde |
| a) VystEHN,t je plánované množstvo distribuovanej elektriny v jednotkách množstva elektriny na rok t vystupujúce z príslušnej napäťovej úrovne vypočítané podľa vzorca |
| VystEHN,t = VystEOHN,t + VystETRHN,t, |
| kde |
| 1. VystEOHN,t je plánované množstvo elektriny v jednotkách množstva elektriny na rok t distribuované na príslušnej napäťovej úrovni koncovým odberateľom elektriny a prevádzkovateľom miestnej distribučnej sústavy vypočítané ako ročný priemer zo súčtu skutočného príslušného množstva elektriny za roky t-3 a t-2, očakávaného príslušného množstva za rok t-1 a plánovaného príslušného množstva za roky t a t+1, |
| 2. VystETRHN,t je plánované množstvo elektriny v jednotkách množstva elektriny na rok t vystupujúce z príslušnej napäťovej úrovne do transformácie na nižšiu napäťovú úroveň vypočítané ako ročný priemer zo súčtu skutočného príslušného množstva elektriny za roky t-3 a t-2, očakávaného príslušného množstva za rok t-1 a plánovaného príslušného množstva za roky t a t+1, |
| b) VVDHN+1,t je alikvotná časť povolených nákladov a zisku za distribúciu elektriny na rok t v eurách priradených z vyššej napäťovej úrovne a vypočíta sa podľa vzorca |
| VVDHN+1,t = CDEHN+1,t × VystETRHN+1,t, |
| kde |
| 1. CDEHN+1,t je zložka maximálnej ceny za prístup do distribučnej sústavy a distribúciu elektriny na vyššej napäťovej úrovni na rok t v eurách na jednotku množstva elektriny; pri napäťovej úrovni veľmi vysokého napätia sa CDEHN+1,t na vstupe do napäťovej úrovne veľmi vysokého napätia rovná 0, |
| 2. VystETRHN+1,t je plánované množstvo elektriny v jednotkách množstva elektriny na rok t vystupujúce z vyššej napäťovej úrovne HN+1 do transformácie na napäťovú úroveň HN vypočítané ako ročný priemer zo súčtu skutočného príslušného množstva elektriny za roky t-3 a t-2, očakávaného príslušného množstva za rok t-1 a plánovaného príslušného množstva za roky t a t+1, |
| c) VVDHN,t sú schválené alebo určené náklady a zisk za prístup do distribučnej sústavy a distribúciu elektriny na rok t v eurách na príslušnej napäťovej úrovni okrem alikvotnej časti povolených nákladov a zisku za distribúciu elektriny priradených z vyššej napäťovej úrovne, vypočítané podľa odseku 3. |
| (3) Schválené alebo určené náklady a zisk za prístup do distribučnej sústavy a distribúciu elektriny na rok t v eurách na príslušnej napäťovej úrovni okrem alikvotnej časti povolených nákladov a zisku za distribúciu elektriny priradených z vyššej napäťovej úrovne VVDHN,t sa vypočítajú podľa vzorca
|
| 
|
| kde |
| a) PNHN,t sú schválené alebo určené prevádzkové náklady pre rok t v eurách na príslušnej napäťovej úrovni súvisiace s regulovanou činnosťou a vypočítajú sa podľa vzorca |
| 
|
| kde |
| 1. POPEX sú schválené alebo určené priemerné ročné prevádzkové náklady v eurách, vypočítané ako súčet skutočných osobných nákladov prevádzkovateľa regionálnej distribučnej sústavy v roku 2023 súvisiacich s regulovanou činnosťou a priemeru skutočných prevádzkových nákladov prevádzkovateľa regionálnej distribučnej sústavy za roky 2021, 2022 a 2023 na príslušnej napäťovej úrovni súvisiace s regulovanou činnosťou okrem odpisov, |
| 2. JPIn je aritmetický priemer indexov jadrovej inflácie v percentách zverejnených štatistickým úradom za obdobie od júla roku n-2 do júna roku n-1, uvedených na webovom sídle Štatistického úradu Slovenskej republiky – http://datacube.statistics.sk v priečinku „Makroekonomické štatistiky“ v sekcii „Spotrebiteľské ceny a ceny produkčných štatistík“ v časti „Indexy spotrebiteľských cien (inflácia)“ v časti „Jadrová a čistá inflácia“ v priečinku „Jadrová a čistá inflácia – oproti rovnakému obdobiu minulého roku v percentách – mesačne [sp0008ms]“, |
| 3. X je faktor efektivity, ktorého hodnota v každom roku regulačného obdobia je 3,0 %, pričom ak je hodnota rozdielu JPIn a X nižšia ako 0, na výpočet maximálnej ceny za prístup do distribučnej sústavy a distribúciu elektriny na rok t sa hodnota daného rozdielu rovná 0 %, |
| b) OHN,t je schválená alebo určená hodnota odpisov prevádzkovateľa regionálnej distribučnej sústavy na rok t v eurách, ktorá |
| 1. pre rok t = 2025 zodpovedá výške účtovných odpisov prevádzkovateľa regionálnej distribučnej sústavy v roku 2023 z majetku uvažovaného v RABHN,2023, podľa § 25 písmena e) prvého bodu podbodu 1a., najmenej však na úrovni účtovných odpisov prevádzkovateľa regionálnej distribučnej sústavy v roku 2021, |
| 2. pre rok t = 2026 zodpovedá výške regulačných odpisov prevádzkovateľa regionálnej distribučnej sústavy z majetku uvažovaného v RABHN,2024, podľa písmena e) druhého bodu podbodu 2a., určená na základe prílohy č. 1, |
| 3. pre rok t = 2027 a nasledujúce roky sa vypočíta podľa vzorca
|
| 
|
| kde |
| 3a. OHN,2024 je schválená alebo určená hodnota odpisov prevádzkovateľa regionálnej distribučnej sústavy v eurách, ktorá zodpovedá výške regulačných odpisov prevádzkovateľa regionálnej distribučnej sústavy v roku 2024 z majetku uvažovaného v RABHN,2024, podľa písmena e) tretieho bodu podbodu 3a., určená na základe prílohy č. 1, |
| 3b. SOHN,n je schválená alebo určená hodnota odpisov prevádzkovateľa regionálnej distribučnej sústavy v eurách, ktorá zodpovedá výške regulačných odpisov prevádzkovateľa regionálnej distribučnej sústavy v roku n-1 z majetku zaradeného do užívania na regulovanú činnosť v roku n-2 na príslušnej napäťovej úrovni, určená na základe prílohy č. 1, |
| 3c. VOHN,n je schválená alebo určená hodnota odpisov prevádzkovateľa regionálnej distribučnej sústavy v eurách, zodpovedajúca výške regulačných odpisov prevádzkovateľa regionálnej distribučnej sústavy v roku n-2 z majetku vyradeného z užívania na regulovanú činnosť v roku n-2 na príslušnej napäťovej úrovni, určená na základe prílohy č. 1, |
| c) POHN,t je schválená alebo určená plánovaná hodnota odpisov prevádzkovateľa regionálnej distribučnej sústavy v eurách, ktorá zodpovedá plánovaným regulačným odpisom prevádzkovateľa regionálnej distribučnej sústavy na príslušnej napäťovej úrovni v roku t z majetku s plánovaným zaradením do užívania na regulovanú činnosť v roku t-1, určená na základe prílohy č. 1, |
| d) KDZ je koeficient miery využitia disponibilných zdrojov do investícií súvisiacich s regulovanou činnosťou, ktorý sa určuje v intervale od 0,80 do 1,00 a vypočíta sa podľa vzorca |
| 
|
| kde |
| ak je výsledok podielu |
| vyšší alebo sa rovná 0,7, tak KDZ = 1,00, |
| menší ako 0,7 a zároveň vyšší alebo sa rovná 0,6, tak KDZ = 0,97, |
| menší ako 0,6 a zároveň vyšší alebo sa rovná 0,5, tak KDZ = 0,94, |
| menší ako 0,5 a zároveň vyšší alebo sa rovná 0,4, tak KDZ = 0,91, |
| menší ako 0,4 a zároveň vyšší alebo sa rovná 0,3, tak KDZ = 0,88, |
| menší ako 0,3 a zároveň vyšší alebo sa rovná 0,2, tak KDZ = 0,85, |
| menší ako 0,2 a zároveň vyšší alebo sa rovná 0,1, tak KDZ = 0,82, |
| menší ako 0,1, tak KDZ = 0,80, |
| kde |
| 1. INVt-2 je skutočná hodnota investičných výdavkov na regulovanú činnosť prevádzkovateľa regionálnej distribučnej sústavy v roku t-2 v eurách, |
| 2. PDSziskt-2 je regulovaný zisk prevádzkovateľa regionálnej distribučnej sústavy po zdanení v roku t-2 v eurách, ktorý sa vypočíta podľa vzorca |
| PDSziskt–2 = (RABST,t–2 × WACCt–2) × (1 – SOOPROt–2) × (1 – daň z príjmovt–2), |
| kde |
| 2a. RABST,t-2 je schválená alebo určená hodnota regulačnej bázy aktív v eurách na rok t-2, |
| 2b. WACCt-2 je miera výnosnosti regulačnej bázy aktív na 6. regulačné obdobie určená na rok t-2 podľa § 5, |
| 2c. SOOPROt-2 je 12-násobok hodnoty mesačnej sadzby osobitného odvodu z podnikania v regulovaných odvetviach v roku t-2, ustanovenej podľa osobitného predpisu,24) |
| 2d. daň z príjmovt-2 je hodnota sadzby dane z príjmov právnických osôb v roku t-2, |
| 3. PDSodpisyt-2 je hodnota regulovaných odpisov prevádzkovateľa regionálnej distribučnej sústavy v roku t-2 v eurách, ktorá sa vypočíta podľa vzorca |
| PDSodpisyt–2 = Ot–2 + POt–2 + FINVPt–2 – DVt–2, |
| kde |
| 3a. Ot-2 je schválená alebo určená hodnota odpisov regulovaného subjektu za regulovanú činnosť v eurách na rok t-2, |
| 3b. POt-2 je schválená alebo určená plánovaná hodnota odpisov prevádzkovateľa regionálnej distribučnej sústavy v eurách v roku t-2 z majetku s plánovaným zaradením do užívania na regulovanú činnosť v roku t-3, |
| 3c. FINVPt-2 je faktor investícií v eurách na rok t-2, |
| 3d. DVt-2 sú skutočné dodatočné výnosy v roku t-4 v eurách, ktoré sú zložené z celkových skutočných výnosov, |
| 4. INVAEG,t-2 je skutočná hodnota investičných výdavkov na regulovanú činnosť prevádzkovateľa regionálnej distribučnej sústavy v roku t-2 v eurách, ktoré boli financované zo zdrojov Európskej únie alebo iných grantov a štátnych podpôr, |
| e) RABHN,ST,t je schválená alebo určená hodnota regulačnej bázy aktív prevádzkovateľa regionálnej distribučnej sústavy na príslušnej napäťovej úrovni v eurách a rovná sa hodnote majetku využívaného nevyhnutne na výkon regulovaných činností na rok t a vypočíta sa |
| 1. pre rok t = 2025 podľa vzorca |
| RABHN,ST,t = RABHN,2023 – MHN,2023, |
| kde |
| 1a. RABHN,2023 je schválená alebo určená hodnota regulačnej bázy aktív prevádzkovateľa regionálnej distribučnej sústavy v eurách, ktorá zodpovedá zostatkovej účtovnej hodnote majetku prevádzkovateľa regionálnej distribučnej sústavy k 31. decembru 2023 na príslušnej napäťovej úrovni využívaného na regulovanú činnosť, vrátane pozemkov v pôvodných obstarávacích hodnotách bez vplyvu precenenia, |
| 1b. MHN,2023 je hodnota tej časti regulačnej bázy aktív na príslušnej napäťovej úrovni RABHN,2023 v eurách, ktorá bola financovaná zo zdrojov Európskej únie alebo iných grantov a štátnych podpôr, |
| 2. pre rok t = 2026 podľa vzorca, |
| RABHN,ST,t = RABHN,2024 – MHN,2024, |
| kde |
| 2a. RABHN,2024 je schválená alebo určená hodnota regulačnej bázy aktív prevádzkovateľa regionálnej distribučnej sústavy v eurách, ktorá zodpovedá hodnote majetku prevádzkovateľa regionálnej distribučnej sústavy k 31. decembru 2024 na príslušnej napäťovej úrovni využívaného na regulovanú činnosť, určenej na základe znaleckého posudku vypracovaného znalcom zapísaným v zozname znalcov v odbore Ekonomika a riadenie podnikov v súlade s osobitným predpisom,25) vrátane pozemkov v pôvodných obstarávacích hodnotách bez vplyvu precenenia, |
| 2b. MHN,2024 je hodnota tej časti regulačnej bázy aktív na príslušnej napäťovej úrovni RABHN,2024 v eurách, ktorá bola financovaná zo zdrojov Európskej únie alebo iných grantov a štátnych podpôr, |
| 3. pre rok t = 2027 a nasledujúce roky podľa vzorca |
| 
|
| kde |
| 3a. RABHN,2024 je schválená alebo určená hodnota regulačnej bázy aktív prevádzkovateľa regionálnej distribučnej sústavy v eurách, ktorá zodpovedá hodnote majetku prevádzkovateľa regionálnej distribučnej sústavy k 31. decembru 2024 na príslušnej napäťovej úrovni využívaného na regulovanú činnosť, určenej na základe znaleckého posudku vypracovaného znalcom zapísaným v zozname znalcov v odbore Ekonomika a riadenie podnikov v súlade s osobitným predpisom,25) vrátane pozemkov v pôvodných obstarávacích hodnotách bez vplyvu precenenia, |
| 3b. MHN,2024 je hodnota tej časti regulačnej bázy aktív na príslušnej napäťovej úrovni RABHN,2024 v eurách, ktorá bola financovaná zo zdrojov Európskej únie alebo iných grantov a štátnych podpôr, nevyhnutne využívaná na regulovanú činnosť, |
| 3c. RABHN,n je schválená alebo určená hodnota regulačnej bázy aktív prevádzkovateľa regionálnej distribučnej sústavy v eurách, ktorá zodpovedá hodnote majetku prevádzkovateľa regionálnej distribučnej sústavy na príslušnej napäťovej úrovni využívaného na regulovanú činnosť zaradeného do užívania v roku n-2, vrátane pozemkov v pôvodných obstarávacích hodnotách bez vplyvu precenenia, |
| 3d. MHN,n je hodnota tej časti regulačnej bázy aktív na príslušnej napäťovej úrovni RABHN,n v eurách, ktorá bola financovaná zo zdrojov Európskej únie alebo iných grantov a štátnych podpôr, nevyhnutne využívaná na regulovanú činnosť, |
| 3e. SOHN,n je schválená alebo určená hodnota odpisov prevádzkovateľa regionálnej distribučnej sústavy v eurách, ktorá zodpovedá výške regulačných odpisov prevádzkovateľa regionálnej distribučnej sústavy v roku n-1 z majetku na príslušnej napäťovej úrovni zaradeného do užívania na regulovanú činnosť v roku n-2, určená na základe prílohy č. 1, |
| f) WACC je miera výnosnosti regulačnej bázy aktív na regulačné obdobie určená podľa § 5, |
| g) FINVPHN,t je faktor investícií na napäťovej úrovni v eurách na rok t a vypočíta sa podľa vzorca |
| FINVPHN,t = SOHN,t–1 – POHN,t–1, |
| kde |
| 1. SOHN,t-1 je schválená alebo určená hodnota odpisov prevádzkovateľa regionálnej distribučnej sústavy na príslušnej napäťovej úrovni v eurách, ktorá zodpovedá výške regulačných odpisov prevádzkovateľa regionálnej distribučnej sústavy v roku t-2 z majetku zaradeného na regulovanú činnosť v roku t-3 na príslušnej napäťovej úrovni, určená na základe prílohy č. 1, |
| 2. POHN,t-1 je schválená alebo určená plánovaná hodnota odpisov prevádzkovateľa regionálnej distribučnej sústavy v eurách na príslušnej napäťovej úrovni, ktorá zodpovedá výške plánovaných regulačných odpisov prevádzkovateľa regionálnej distribučnej sústavy v roku t-2 z majetku s plánovaným zaradením do užívania na regulovanú činnosť v roku t-3, určená na základe prílohy č. 1, |
| h) DVHN,t sú skutočné dodatočné výnosy na príslušnej napäťovej úrovni v roku t-2 v eurách, ktoré sú zložené z celkových skutočných výnosov |
| 1. z uplatnenia ceny za pripojenie do distribučnej sústavy sa zohľadnia vo výške 100 %; ak žiadateľ predčasne ukončí zmluvu o pripojení do distribučnej sústavy a prevádzkovateľ regionálnej distribučnej sústavy nevynaloží na rozvoj distribučnej sústavy žiadne náklady, cena za pripojenie do distribučnej sústavy sa žiadateľovi vráti vo výške 90 %, pričom maximálna výška časti ceny za pripojenie do distribučnej sústavy, ktorá sa nevráti žiadateľovi o pripojenie, je 30 000 eur, |
| 2. zo sankcií za prekročenie rezervovanej kapacity sa zohľadnia vo výške 100 %, |
| 3. z platieb za rezervovanú kapacitu a distribúciu jalovej kapacitnej elektriny za nedodržanie účinníka na príslušnej napäťovej úrovni účtované užívateľom distribučnej sústavy na základe cenového rozhodnutia úradu sa zohľadnia vo výške 100 %, |
| 4. z výnosov cenníka služieb za distribúciu elektriny, podľa prílohy č. 9, sa zohľadnia vo výške 50 % pre roky t = 2026 a nasledujúce roky, |
| 5. 100 % z rozdielu výnosov neuplatnenia zníženia maximálnej rezervovanej kapacity v odberných miestach podľa § 31 ods. 5, ktoré sa zohľadní pre rok
t = 2027 a nasledujúce roky, |
| 6. 50 % výnosov z uplatnenia cien prístupu do distribučnej sústavy a distribúcie elektriny, v súlade s platným rozhodnutím úradu, z prepravy elektriny príslušnému susednému prevádzkovateľovi sústavy na území Európskej únie alebo na území tretích štátov, v súlade s podmienkami prepravy schválených úradom. |
| (4) Zložka maximálnej ceny za prístup do distribučnej sústavy a distribúciu elektriny v eurách na jednotku množstva elektriny CPDHN,t súvisiaca s nákladmi za prístup do prenosovej sústavy a prenos elektriny vrátane strát pri prenose elektriny na príslušnej napäťovej úrovni sa rovná priemernej zložke ceny za prístup do prenosovej sústavy a prenos elektriny vrátane nákladov na straty elektriny pri prenose elektriny v eurách na jednotku množstva elektriny na príslušnej napäťovej úrovni CPEHN,t, ktorá sa vypočíta podľa vzorca
|
| , |
| kde |
| a) VVPHN,t sú vstupujúce náklady za prístup do prenosovej sústavy a prenos elektriny vrátane nákladov na straty pri prenose elektriny na príslušnej napäťovej úrovni v eurách v roku t vypočítané podľa vzorca |
| VVPHN,t = CPEHN+1,t × VystETRHN+1,t, |
| kde |
| 1. CPEHN+1,t je cena za prístup do prenosovej sústavy a prenos elektriny vrátane strát pri prenose elektriny v eurách na jednotku množstva elektriny na vyššej napäťovej úrovni distribúcie elektriny v roku t, z ktorej sa transformuje elektrina do príslušnej napäťovej úrovne, |
| 2. VystETRHN+1,t je plánované množstvo elektriny v jednotkách množstva elektriny vstupujúce do príslušnej napäťovej úrovne cez transformáciu z vyššej napäťovej úrovne v roku t, vypočítané ako ročný priemer zo súčtu skutočného príslušného množstva elektriny za roky t-3 a t-2, očakávaného príslušného množstva za rok t-1 a plánovaného príslušného množstva za rok t, |
| b) VystEHN,t je celkové plánované množstvo elektriny v jednotkách množstva elektriny vystupujúce z príslušnej napäťovej úrovne v roku t vypočítané podľa vzorca |
| VystEHN,t = VystEOHN,t + VystETRHN,t, |
| kde |
| 1. VystEOHN,t je plánované množstvo elektriny v jednotkách množstva elektriny distribuované na príslušnej napäťovej úrovni ku koncovým odberateľom elektriny v roku t, |
| 2. VystETRHN,t je plánované množstvo elektriny v jednotkách množstva elektriny vystupujúce z príslušnej napäťovej úrovne do transformácie na nižšiu napäťovú úroveň v roku t, vypočítané ako ročný priemer zo súčtu skutočného príslušného množstva elektriny za roky t-3 a t-2, očakávaného príslušného množstva za rok t-1 a plánovaného príslušného množstva za rok t. |
| (5) Priemerná cena za prenos elektriny i-tého prevádzkovateľa regionálnej distribučnej sústavy na rok t v eurách na jednotku množstva CPit sa uplatňuje na jednotku množstva elektriny odobratej z distribučnej sústavy i-tého prevádzkovateľa regionálnej distribučnej sústavy iným prevádzkovateľom regionálnej distribučnej sústavy za mesiac na všetkých napäťových úrovniach a vypočíta sa podľa vzorca
|
| , |
| kde |
| a) RKPt je rezervovaná kapacita v MW na rok t uplatňovaná pre príslušného prevádzkovateľa regionálnej distribučnej sústavy prevádzkovateľom prenosovej sústavy, |
| b) CRKt je cena za rezervovanú kapacitu v roku t v eurách na MW na rok t uplatňovaná pre príslušného prevádzkovateľa regionálnej distribučnej sústavy prevádzkovateľom prenosovej sústavy, |
| c) VystETRVVN+1,t je plánované množstvo elektriny v jednotkách množstva elektriny na rok t vstupujúce do napäťovej úrovne veľmi vysokého napätia regulovaného subjektu z prenosovej sústavy, |
| d) PEt je cena za prenesenú elektrinu v eurách na jednotku množstva elektriny na rok t uplatňovaná pre príslušného prevádzkovateľa regionálnej distribučnej sústavy prevádzkovateľom prenosovej sústavy, |
| e) PSstratyt je tarifa za straty elektriny pri prenose elektriny v eurách na jednotku množstva elektriny na rok t uplatňovaná pre príslušného prevádzkovateľa regionálnej distribučnej sústavy prevádzkovateľom prenosovej sústavy. |
| (6) Cena za prístup do prenosovej sústavy a prenos elektriny v eurách na jednotku množstva elektriny CPEVVN+1,t na vstupe do napäťovej úrovne veľmi vysokého napätia distribučnej sústavy je jednozložková cena zahŕňajúca náklady regulovaného subjektu na rezervovaný výkon a prenesenú elektrinu v roku t, určené na základe schváleného návrhu ceny za prístup do prenosovej sústavy a prenos elektriny na rok t, vypočítaná podľa vzorca
|
| , |
| kde |
| a) RKPt je rezervovaná kapacita v MW na rok t uplatňovaná pre príslušného prevádzkovateľa regionálnej distribučnej sústavy prevádzkovateľom prenosovej sústavy, |
| b) CRKt je cena za rezervovanú kapacitu v roku t v eurách na MW na rok t uplatňovaná pre príslušného prevádzkovateľa regionálnej distribučnej sústavy prevádzkovateľom prenosovej sústavy, |
| c) VystETRVVN+1,t je plánované množstvo elektriny v jednotkách množstva elektriny na rok t vstupujúce do napäťovej úrovne veľmi vysokého napätia regulovaného subjektu z prenosovej sústavy, |
| d) PEt je cena za prenesenú elektrinu v eurách na jednotku množstva elektriny na rok t uplatňovaná pre príslušného prevádzkovateľa regionálnej distribučnej sústavy prevádzkovateľom prenosovej sústavy, |
| e) OPNPt sú ostatné plánované náklady prenosu súvisiace s odberom elektriny zo susednej regionálnej distribučnej sústavy v eurách na rok t, |
| f) PSstratyt je tarifa za straty elektriny pri prenose elektriny v eurách na jednotku množstva elektriny na rok t uplatňovaná pre príslušného prevádzkovateľa regionálnej distribučnej sústavy prevádzkovateľom prenosovej sústavy, |
| g) KPt je faktor vyrovnania ceny za prístup do prenosovej sústavy a prenos elektriny v eurách pre rok t, ktorý sa vypočíta podľa vzorca |
| KPt = KPnak,t – KPvyn,t, |
| kde |
| 1. KPnak,t je korekcia nákladov za prístup do prenosovej sústavy a prenos elektriny v eurách, ktorá sa vypočíta podľa vzorca |
| KPnak,t = (SVystETRVVN+1 – VystETRVVN+1,t–2) × (PEt–2 + PSstratyt–2) + OSNPt–2, |
| kde |
| 1a. SVystETRVVN+1 je skutočné množstvo elektriny v jednotkách množstva elektriny vstupujúce do príslušnej napäťovej úrovne cez transformáciu z vyššej napäťovej úrovne v roku t-2, |
| 1b. VystETRVVN+1,t-2 je plánované množstvo elektriny v jednotkách množstva elektriny vstupujúce do príslušnej napäťovej úrovne cez transformáciu z vyššej napäťovej úrovne v roku t-2, |
| 1c. PEt-2 je cena za prenesenú elektrinu v eurách na jednotku množstva elektriny v roku t-2 uplatňovaná pre príslušného prevádzkovateľa regionálnej distribučnej sústavy prevádzkovateľom prenosovej sústavy, |
| 1d. PSstratyt-2 je tarifa za straty elektriny pri prenose elektriny v eurách na jednotku množstva elektriny v roku t-2 uplatňovaná pre príslušného prevádzkovateľa regionálnej distribučnej sústavy prevádzkovateľom prenosovej sústavy, |
| 1e. OSNPt-2 sú ostatné skutočné náklady na prenos elektriny za rok t-2, ktoré predstavujú platbu za odber elektriny z inej regionálnej distribučnej sústavy v roku t-2, ktoré sa vypočítajú podľa vzorca |
| 
|
| kde |
| 1ea. CPi,t-2 je priemerná cena za prenos i-tého prevádzkovateľa regionálnej distribučnej sústavy na rok t-2 v eurách na jednotku množstva elektriny, |
| 1eb. SVstEPDSi,t-2 je skutočné množstvo elektriny v jednotkách množstva elektriny na rok t-2 vstupujúce do distribučnej sústavy regulovaného subjektu zo susednej regionálnej distribučnej sústavy i-tého prevádzkovateľa regionálnej distribučnej sústavy, |
| 1ec. OPNPt sú ostatné plánované náklady prenosu súvisiace s odberom elektriny zo susednej regionálnej distribučnej sústavy v eurách na rok t, |
| 2. KPvyn,t je korekcia výnosov z účtovania ceny CPDHN,t-2, ktorá sa vypočíta podľa vzorca |
| 
|
| kde |
| 2a. SVystEOHN,t-2 je skutočné množstvo elektriny v jednotkách množstva elektriny distribuované na príslušnej napäťovej úrovni ku koncovým odberateľom elektriny v roku t-2, |
| 2b. VystEOHN,t-2 je plánované množstvo elektriny v jednotkách množstva elektriny distribuované na príslušnej napäťovej úrovni koncovým odberateľom elektriny v roku t-2, |
| 2c. CPDHN,t-2 je priemerná zložka ceny za prístup do prenosovej sústavy a prenos elektriny bez strát pri prenose elektriny v eurách na jednotku množstva elektriny na príslušnej napäťovej úrovni v roku t-2, vypočítaná ako aritmetický priemer ceny za prístup do prenosovej sústavy a prenos elektriny bez strát pri prenose v roku t-2. |
| § 26 |
| (1) Tarifa za straty elektriny pri distribúcii elektriny CSDHN,t pre rok t sa uplatňuje za nameraný odber elektriny z distribučnej sústavy určeným meradlom prevádzkovateľa distribučnej sústavy v eurách na jednotku množstva elektriny a vypočíta sa postupným výpočtom na jednotlivých napäťových úrovniach začínajúcim od napäťovej úrovne veľmi vysokého napätia podľa vzorca
|
| , |
| kde |
| a) VVSDHN,t sú náklady za straty elektriny pri distribúcii elektriny pre rok t v eurách priradené príslušnej napäťovej úrovni vypočítané podľa odseku 2, |
| b) VystEHN,t je celkové plánované množstvo elektriny v jednotkách množstva elektriny vystupujúce z príslušnej napäťovej úrovne v roku t vypočítané podľa vzorca |
| VystEHN,t = VystEOHN,t + VystETRHN,t, |
| kde |
| 1. VystEOHN,t je plánované množstvo elektriny v jednotkách množstva elektriny distribuované na príslušnej napäťovej úrovni prevádzkovateľom distribučnej sústavy a koncovým odberateľom elektriny v roku t, |
| 2. VystETRHN,t je plánované množstvo elektriny v jednotkách množstva elektriny vystupujúce z príslušnej napäťovej úrovne do transformácie na nižšiu napäťovú úroveň v roku t. |
| (2) Náklady za straty elektriny pri distribúcii elektriny priradené príslušnej napäťovej úrovni VVSDHN,t pre rok t v eurách pozostávajúce z alikvotnej časti nákladov za straty elektriny pri distribúcii elektriny priradených z vyššej napäťovej úrovne a nákladov za straty elektriny pri distribúcii elektriny vlastnej napäťovej úrovne a vypočítajú sa podľa vzorca
|
| VVSDHN, t = CSDHN+1,t × VystETRHN+1,t + CSHDHN,t × VystEHN,t |
| kde |
| a) VystETRHN+1,t je plánované množstvo elektriny v jednotkách množstva elektriny vstupujúce do príslušnej napäťovej úrovne cez transformáciu z vyššej napäťovej úrovne v roku t, |
| b) CSDHN+1,t pre rok t je tarifa za straty elektriny pri distribúcii elektriny v eurách na jednotku množstva elektriny na vyššej napäťovej úrovni, z ktorej sa transformuje elektrina do príslušnej napäťovej úrovne; na napäťovej úrovni veľmi vysokého napätia sa tarifa za straty na vyššej napäťovej úrovni v eurách na jednotku množstva elektriny CSDVVN+1,t rovná 0, |
| c) CSHDHN,t je cena za straty elektriny pri distribúcii elektriny v eurách na jednotku množstva elektriny príslušnej napäťovej úrovne v roku t určená podľa odseku 3. |
| (3) Cena za straty elektriny pri distribúcii elektriny na príslušnej napäťovej úrovni CSHDHN,t v eurách na jednotku množstva elektriny v roku t sa vypočíta podľa vzorca
|
| , |
| kde |
| a) PMSEHN,t je povolené množstvo strát elektriny pri distribúcií elektriny v jednotkách množstva elektriny na príslušnej napäťovej úrovni v roku t určené podľa odseku 4, |
| b) PCSESt je určená cena elektriny na krytie strát elektriny pri distribúcii elektriny v eurách na jednotku množstva elektriny na rok t vypočítaná podľa vzorca |
| , |
| kde |
| 1. CEPXE,t je aritmetický priemer denných cien oficiálneho kurzového lístka, zverejneného burzou PXE (POWER EXCHANGE CENTRAL EUROPE) na jej webovom sídle, produktu EEX-PXE Slovakian Power Futures Baseload Cal-t v eurách na jednotku množstva elektriny, pre rok t = 2025 za obdobie od 1. júla roku t-2 do 30. júna roku t-1 a pre roky t = 2026 a nasledujúce roky za obdobie od 1. januára roku t-1 do 30. júna roku t-1, |
| 2. kt je koeficient na rok t v percentách, ktorého hodnota je najviac 6 %, |
| 3. Ot sú určené plánované náklady prevádzkovateľa regionálnej distribučnej sústavy na odchýlku súvisiace s diagramom strát elektriny v eurách na jednotku množstva elektriny v roku t, podľa metodiky výpočtu nákladov na odchýlku, ktorá je uvedená v prílohe č. 7, |
| c) FDSHN,t je faktor strát pri distribúcii elektriny na jednotku množstva elektriny na príslušnej napäťovej úrovni na rok t v eurách, ktorý sa prvýkrát uplatní v roku t = 2026 a vypočíta podľa vzorca |
| 
|
| kde |
| 1. CSHDHN,t-2 je cena za straty elektriny pri distribúcii elektriny v eurách na jednotku množstva elektriny príslušnej napäťovej úrovne v roku t-2, |
| 2. VystEHN,t-2 je celkové plánované množstvo elektriny v jednotkách množstva elektriny vystupujúce z príslušnej napäťovej úrovne v roku t-2, |
| 3. VystESHN,t-2 je celkové skutočné množstvo elektriny v jednotkách množstva elektriny vystupujúce z príslušnej napäťovej úrovne v roku t-2, |
| 4. PCSESt-2 je určená cena elektriny na krytie strát elektriny pri distribúcii elektriny v eurách na jednotku množstva elektriny na rok t-2, |
| 5. PMSEHN,t-2 je povolené množstvo strát elektriny pri distribúcií elektriny v jednotkách množstva elektriny na príslušnej napäťovej úrovni v roku t-2, |
| 6. PMSESHN,t-2 je skutočné množstvo strát elektriny v jednotkách množstva elektriny na príslušnej napäťovej úrovni v roku t-2, |
| (4) Povolené množstvo strát elektriny pri distribúcií elektriny PMSEHN,t v jednotkách množstva elektriny na príslušnej napäťovej úrovni v roku t sa vypočíta podľa vzorca |
| 
|
| kde |
| a) PlMSEHN,t je celkové plánované množstvo strát elektriny pri distribúcii elektriny v jednotkách množstva elektriny na príslušnej napäťovej úrovni v roku t, vypočítané ako ročný aritmetický priemer súčtu skutočného množstva strát elektriny pri distribúcii elektriny na príslušnej napäťovej úrovni za roky t-3 a t-2 a očakávaného množstva strát elektriny pri distribúcii elektriny na príslušnej napäťovej úrovni za rok t-1, |
| b) XSHN,t je faktor efektivity strát elektriny na príslušnej napäťovej úrovni v percentách; na roky t = 2023 až t = 2027 sa určí podľa odseku 5. |
| (5) Hodnota faktora efektívnosti strát XSHN,t na príslušnej napäťovej úrovni v percentách sa pre regionálne distribučné sústavy určuje takto: |
| | Pre napäťovú úroveň: | XSHN,t | | veľmi vysokého napätia | 0,01 % | | vysokého napätia | 1,0 % | | nízkeho napätia | 2,0 % |
|
| § 27 |
| Cenová regulácia prístupu do distribučnej sústavy a distribúcie elektriny prevádzkovateľom miestnej distribučnej sústavy, postup a podmienky uplatňovania cien a niektoré podmienky vykonávania regulovaných činností |
| (1) Cenová regulácia podľa odsekov 2 až 20 a § 28 sa vzťahuje na prevádzkovateľa miestnej distribučnej sústavy a vykonáva sa určením spôsobu výpočtu maximálnej ceny a tarify za prístup do distribučnej sústavy a distribúciu elektriny. |
| (2) Súčasťou návrhu ceny sú |
| a) návrh cien alebo sadzieb za prístup do distribučnej sústavy a distribúciu elektriny prevádzkovateľa miestnej distribučnej sústavy vrátane ich štruktúry na rok t, ktoré sa budú uplatňovať pre účastníkov trhu s elektrinou vrátane podmienok ich pridelenia, |
| b) údaje nevyhnutné na preverenie cien za rok t-2, najmä skutočný objem distribúcie elektriny, počet odberných miest v členení podľa jednotlivých sadzieb, |
| c) plán investícií a plán odpisov za regulovanú činnosť na rok t až t+2, |
| d) výpočty a údaje podľa odsekov 3 až 20 a § 28 týkajúce sa prístupu do distribučnej sústavy a distribúcie elektriny prevádzkovateľa miestnej distribučnej sústavy a uplatňovania tarify za systémové služby a tarify za prevádzkovanie sústavy, |
| e) podklady podľa prílohy č. 10, |
| f) ďalšie podklady nevyhnutné na správne posúdenie návrhu ceny, |
| g) zoznam prevádzok, pre ktoré má návrh ceny platiť, v súlade s platným povolením na podnikanie v energetike. |
| (3) Podklady podľa odseku 2 sa predkladajú v listinnej podobe a podklady podľa odseku 2 písm. a), b) a d) sa predkladajú aj v elektronickej podobe do elektronickej schránky. Vyplnené tabuľky podľa prílohy č. 10 sa predkladajú v elektronickej podobe vo formáte, ktorý zachováva úplnú funkčnosť tabuľkového editora. |
| (4) Ustanovenia o návrhu ceny sa primerane vzťahujú aj na návrh na zmenu cenového rozhodnutia podľa § 17 ods. 1 a 2 zákona o regulácii. |
| (5) V roku t môže regulovaný subjekt použiť tarify za distribúciu elektriny prevádzkovateľa distribučnej sústavy, do ktorej je pripojený, vrátane podmienok pridelenia jednotlivých taríf (ďalej len „prevzaté tarify“). Ak regulovaný subjekt nepoužije v roku t-1 prevzaté tarify za distribúciu elektriny, môže použiť prevzaté tarify v roku t len vtedy, ak preukáže, že za roky t-2 a t-1 mu nevznikne prebytok výnosov za distribúciu elektriny alebo, že prebytok výnosov vysporiadal užívateľom pripojeným do jeho distribučnej sústavy. |
| (6) Ak regulovaný subjekt nepoužije prevzaté tarify od príslušného prevádzkovateľa regionálnej distribučnej sústavy, maximálna cena za prístup do distribučnej sústavy a distribúciu elektriny a tarifa za straty elektriny pri distribúcii elektriny na rok t sa určí podľa § 28. |
| (7) Návrh ceny za prístup do distribučnej sústavy a distribúciu elektriny podľa odseku 5 obsahuje identifikačné údaje regulovaného subjektu, identifikačné údaje prevádzkovateľa distribučnej sústavy, ktorého tarify preberá, prevzaté tarify, ktoré regulovaný subjekt uplatňuje jednotlivým skupinám odberateľov elektriny, vrátane podmienok priznania jednotlivých taríf a údaje podľa prílohy č. 10 tabuľky č. 8. |
| (8) Za regulovaný subjekt, ktorý predloží vlastný návrh ceny, sa najneskôr do 30. apríla roku t oznamuje |
| a) množstvo elektriny distribuovanej odberateľom elektriny v domácnosti, odberateľom elektriny mimo domácnosti, ako aj prevádzkovateľom miestnej distribučnej sústavy, pripojených do príslušnej miestnej distribučnej sústavy v jednotkách množstva elektriny v roku t-1, |
| b) množstvo elektriny dodanej odberateľom elektriny v domácnosti na vlastnej časti vymedzeného územia z vlastnej výroby elektriny v jednotkách množstva elektriny v roku t-1, |
| c) množstvo elektriny vyrobenej vo vlastnom zariadení na výrobu elektriny a dodanej priamo odberateľom elektriny bez použitia prenosovej sústavy alebo distribučnej sústavy iného prevádzkovateľa distribučnej sústavy v jednotkách množstva elektriny v roku t-1, |
| d) vlastná spotreba elektriny vyrobenej vo vlastnom zariadení na výrobu elektriny, zníženej o objem vlastnej spotreby elektriny pri výrobe elektriny v jednotkách množstva elektriny v roku t-1, |
| e) skutočné náklady za distribúciu elektriny v eurách v roku t-1. |
| (9) Na reguláciu ceny za prístup do distribučnej sústavy a distribúciu elektriny napäťová úroveň veľmi vysokého napätia zahŕňa sústavu veľmi vysokého napätia, napäťová úroveň vysokého napätia zahŕňa sústavu vysokého napätia vrátane transformácie veľmi vysokého napätia na vysoké napätie a napäťová úroveň nízkeho napätia zahŕňa sústavu nízkeho napätia vrátane transformácie vysokého napätia na nízke napätie. |
| (10) Podiel výnosov z platieb za rezerváciu kapacity a celkových výnosov za prístup do distribučnej sústavy a distribúciu elektriny okrem výnosov za straty elektriny pri distribúcii elektriny sa určuje maximálne vo výške 0,7. Medziročná zmena podielu výnosov z platieb za rezervovanú kapacitu a celkových výnosov za prístup do distribučnej sústavy a distribúciu elektriny okrem výnosov za straty elektriny pri distribúcii elektriny na rok t sa určuje maximálne vo výške 3 % z povolenej hodnoty podielu výnosov z platieb za rezerváciu kapacity a celkových výnosov za prístup do distribučnej sústavy a distribúciu elektriny okrem výnosov za straty elektriny pri distribúcii elektriny v roku t-1. |
| (11) Užívateľom miestnej distribučnej sústavy sa uhrádza platba za prístup do distribučnej sústavy v odbernom mieste a odovzdávacom mieste súčasne v jednom mieste pripojenia do miestnej distribučnej sústavy prevádzkovateľovi miestnej distribučnej sústavy za rezervovanú kapacitu, pričom ak je |
| a) dohodnutá rezervovaná kapacita v odbernom mieste vyššia ako rezervovaná kapacita v odovzdávacom mieste, užívateľom sa uhrádza platba za dohodnutú rezervovanú kapacitu v odbernom mieste podľa cenového rozhodnutia úradu za prístup do distribučnej sústavy a distribúciu elektriny na rok t pre príslušného prevádzkovateľa miestnej distribučnej sústavy na mesačnej báze a platba za distribuovanú elektrinu v odbernom mieste na mesačnej báze, |
| b) dohodnutá rezervovaná kapacita v odbernom mieste menšia ako rezervovaná kapacita v odovzdávacom mieste, užívateľom sa uhrádza platba za rezervovanú kapacitu v odovzdávacom mieste určená podľa odseku 14 písm. a) alebo odseku 14 písm. b) prvého bodu, vo výške tarify za dvanásťmesačnú rezervovanú kapacitu podľa cenového rozhodnutia úradu za prístup do distribučnej sústavy a distribúciu elektriny na rok t pre príslušného prevádzkovateľa regionálnej distribučnej sústavy, do ktorej je miestna distribučná sústava pripojená a platba za distribuovanú elektrinu v odbernom mieste na mesačnej báze. |
| (12) Ak užívateľ miestnej distribučnej sústavy v odbernom mieste a odovzdávacom mieste súčasne v jednom mieste pripojenia do miestnej distribučnej sústavy odoberá a dodáva elektrinu do sústavy pri prevádzke dopravných prostriedkov elektrickej trakcie, alebo prevádzkuje zariadenie na výrobu elektriny z vodnej energie s celkovým inštalovaným výkonom do 1 MW, alebo prevádzkuje prečerpávaciu vodnú elektráreň, alebo prevádzkuje certifikované zariadenia výlučne na poskytovanie podporných služieb prevádzkovateľovi prenosovej sústavy alebo výlučne na dodávku alebo odber regulačnej elektriny a preukáže poskytovanie podporných služieb, neuhrádza prevádzkovateľovi miestnej distribučnej sústavy platbu za prístup do distribučnej sústavy podľa odseku 15, ak predloží prevádzkovateľovi miestnej distribučnej sústavy potvrdenie od prevádzkovateľa prenosovej sústavy o poskytnutí podporných služieb za predchádzajúci mesiac, najneskôr do piateho dňa nasledujúceho mesiaca. Ak toto potvrdenie prevádzkovateľovi miestnej distribučnej sústavy užívateľ regionálnej distribučnej sústavy v uvedenej lehote nepredloží, prevádzkovateľom miestnej distribučnej sústavy sa vyfakturuje dohodnutá rezervovaná kapacita za príslušný mesiac. |
| (13) Maximálna rezervovaná kapacita v odovzdávacom mieste je ustanovená v osobitnom predpise.35) |
| (14) Rezervovaná kapacita v odovzdávacom mieste v miestnej distribučnej sústave sa užívateľmi sústavy neobjednáva a je 20 % z |
| a) maximálnej rezervovanej kapacity dohodnutej v zmluve o pripojení elektroenergetického zariadenia do distribučnej sústavy alebo |
| b) hodnoty celkového inštalovaného výkonu elektroenergetického zariadenia, ak elektroenergetické zariadenie nemá uzatvorenú zmluvu o pripojení elektroenergetického zariadenia do regionálnej distribučnej sústavy. |
| (15) Užívateľom sústavy sa uhrádza platba za prístup do distribučnej sústavy za odovzdávacie miesto v distribučnej sústave prevádzkovateľovi miestnej distribučnej sústavy za rezervovanú kapacitu v odovzdávacom mieste, určená podľa odseku 14 písm. a) alebo písm. b), vo výške tarify za dvanásťmesačnú rezervovanú kapacitu podľa účinného cenového rozhodnutia úradu za prístup do distribučnej sústavy a distribúciu elektriny na rok t pre príslušného prevádzkovateľa distribučnej sústavy. Výrobca elektriny si neobjednáva rezervovanú kapacitu. |
| (16) Ak je miestna distribučná sústava pripojená do prenosovej sústavy, platba za prístup do prenosovej sústavy sa uhrádza prevádzkovateľovi miestnej distribučnej sústavy výrobcom elektriny pripojeným do miestnej distribučnej sústavy vo výške podľa § 15 ods. 8 z hodnoty maximálnej rezervovanej kapacity dohodnutej v zmluve o pripojení zariadenia na výrobu elektriny do distribučnej sústavy alebo z hodnoty výšky inštalovaného činného výkonu zariadenia na výrobu elektriny; ak pre zariadenie na výrobu elektriny nie je uzatvorená zmluva o pripojení zariadenia na výrobu elektriny do distribučnej sústavy, platba za prístup do prenosovej sústavy sa uhrádza vo výške tarify za rezervovanú kapacitu podľa účinného cenového rozhodnutia úradu za prístup do prenosovej sústavy a prenos elektriny na rok t pre prevádzkovateľa prenosovej sústavy, do ktorej je miestna distribučná sústava pripojená. Výrobca elektriny si neobjednáva rezervovanú kapacitu. |
| (17) Rezervovaná kapacita v odbernom mieste na napäťovej úrovni nízkeho napätia je maximálna rezervovaná kapacita určená amperickou hodnotou hlavného ističa pred elektromerom alebo prepočítaná kilowattová hodnota maximálnej rezervovanej kapacity na hodnotu elektrického prúdu v ampéroch dohodnutá v zmluve o pripojení do distribučnej sústavy alebo určená v pripojovacích podmienkach; pre odberné miesta vybavené určeným meradlom s meraním štvrťhodinového činného výkonu s mesačným odpočtom môže byť rezervovaná kapacita zmluvne dohodnutá a môže byť nižšia, ako je hodnota kapacity zodpovedajúca amperickej hodnote hlavného ističa. |
| (18) Ceny za prístup do miestnej distribučnej sústavy a distribúciu elektriny a ceny za prístup do prenosovej sústavy a prenos elektriny sa určujú pri základnom zabezpečení pripojenia odberateľa elektriny štandardným pripojením. |
| (19) Za štandardné pripojenie užívateľa sústavy sa považuje pripojenie jedným napájacím vedením podľa technických podmienok prevádzkovateľa miestnej distribučnej sústavy. Pri pripojení odberateľa elektriny s osobitnými nárokmi na spôsob zabezpečenia distribúcie elektriny, napríklad cez ďalšie napájacie vedenie, sa cena za prístup do miestnej distribučnej sústavy určuje vo výške 15 % z tarify za rezervovanú kapacitu, ktorá je dohodnutá pre ďalšie napájacie vedenie, podľa cenového rozhodnutia na rok t. Odberateľ elektriny sústavy si určuje, ktoré napájacie vedenie je štandardné a ktoré je ďalšie napájacie vedenie, a to na obdobie kalendárneho roka. |
| (20) Pri distribúcii elektriny cez ďalšie napájacie vedenie na základe požiadavky odberateľa elektriny v príslušnom mesiaci sa cena za prístup do miestnej distribučnej sústavy určuje vo výške 15 % z tarify za rezervovanú kapacitu pre napäťovú úroveň, do ktorej je ďalšie napájacie vedenie pripojené, a cena za distribúciu elektriny sa určuje vo výške 100 % z tarify za distribúciu elektriny pre napäťovú úroveň, do ktorej je ďalšie napájacie vedenie pripojené a cena za prístup do miestnej distribučnej sústavy a distribúciu elektriny za štandardné pripojenie tým nie je dotknutá. Za nadštandardnú distribúciu elektriny sa nepovažuje pripojenie užívateľa sústavy k miestnej distribučnej sústave zaslučkovaním. |
| § 28 |
| (1) Maximálna cena za prístup do miestnej distribučnej sústavy a distribúciu elektriny At v eurách na jednotku množstva elektriny na rok t okrem strát elektriny pri distribúcii elektriny sa pre regulovaný subjekt, ktorý predkladá vlastný návrh ceny, vypočíta podľa vzorca |
| 
|
| kde |
| a) EONVt sú schválené alebo určené plánované ekonomicky oprávnené náklady na distribúciu elektriny v roku t v eurách okrem nákladov na obstaranie elektriny na krytie strát elektriny pri distribúcii elektriny a plánovaných nákladov na distribúciu elektriny od prevádzkovateľa sústavy, do ktorého sústavy je regulovaný subjekt pripojený, |
| b) EONEt sú schválené alebo určené plánované ekonomicky oprávnené náklady na distribúciu elektriny v roku t v eurách, ktoré zahŕňajú náklady na distribúciu elektriny vrátane strát elektriny pri distribúcii elektriny od prevádzkovateľa sústavy, do ktorého sústavy je regulovaný subjekt pripojený, |
| c) PVDt-2 je celkový skutočný objem výnosov v roku t-2 v eurách nesúvisiacich s vykonávaním regulovanej činnosti využívaním prevádzkových aktív nevyhnutne využívaných na distribúciu elektriny, ktoré sa zohľadnia pri návrhu ceny za prístup do distribučnej sústavy a distribúciu elektriny v roku t, |
| d) QDt je plánované množstvo elektriny v jednotkách množstva elektriny v roku t, odobratej z distribučnej sústavy regulovaného subjektu koncovými odberateľmi elektriny, |
| e) QSt je plánované množstvo elektriny spotrebované regulovaným subjektom okrem vlastnej spotreby pri distribúcii elektriny a vlastnej spotreby elektriny pri výrobe elektriny vo vlastnom zariadení na výrobu elektriny v jednotkách množstva elektriny v roku t, |
| f) QSDSt je plánované množstvo elektriny spotrebované regulovaným subjektom, ktoré zahŕňa vlastnú spotrebu pri distribúcii elektriny regulovaného subjektu v jednotkách množstva elektriny v roku t, |
| g) PZt je plánovaný maximálny primeraný zisk na rok t v eurách vo výške najviac 3,00 eura na jednotku množstva distribuovanej elektriny vypočítaný podľa vzorca |
| , |
| kde |
| 1. RABHN,ST,t je schválená alebo určená hodnota regulačnej bázy aktív na príslušnej napäťovej úrovni v eurách a sa rovná hodnote majetku regulačnej bázy aktív nevyhnutne súvisiacej s regulovanou činnosťou na rok t a vypočíta sa |
| 1a. pre rok t = 2025 podľa vzorca |
| RABHN,ST,t = RABHN,2023 – MHN,2023, |
| kde |
| 1aa. RABHN,2023 je schválená alebo určená hodnota regulačnej bázy aktív regulovaného subjektu v eurách, ktorá zodpovedá zostatkovej účtovnej hodnote majetku regulovaného subjektu k 31. decembru 2023 na príslušnej napäťovej úrovni využívaného na regulovanú činnosť, vrátane pozemkov v pôvodných obstarávacích hodnotách, |
| 1ab. MHN,2023 je hodnota tej časti regulačnej bázy aktív na príslušnej napäťovej úrovni RABHN,2023 v eurách, ktorá bola financovaná zo zdrojov Európskej únie, alebo iných grantov a štátnych podpôr, |
| 1b. pre rok t = 2026 podľa vzorca, |
| RABHN,ST,t = RABHN,2024 – MHN,2024, |
| kde |
| 1ba. RABHN,2024 je schválená alebo určená hodnota regulačnej bázy aktív regulovaného subjektu v eurách, ktorá zodpovedá hodnote majetku regulovaného subjektu k 31. decembru 2024 na príslušnej napäťovej úrovni využívaného na regulovanú činnosť, určenej na základe znaleckého posudku vypracovaného znalcom zapísaným v zozname znalcov v odbore Ekonomika a riadenie podnikov v súlade s osobitným predpisom,25) vrátane pozemkov v pôvodných obstarávacích hodnotách, |
| 1bb. MHN,2024 je hodnota tej časti regulačnej bázy aktív na príslušnej napäťovej úrovni RABHN,2024 v eurách, ktorá bola financovaná zo zdrojov Európskej únie, alebo iných grantov a štátnych podpôr, |
| 1c. pre rok t = 2027 a nasledujúce roky podľa vzorca |
| 
|
| kde |
| 1ca. RABHN,2024 je schválená alebo určená hodnota regulačnej bázy aktív regulovaného subjektu v eurách, ktorá zodpovedá hodnote majetku regulovaného subjektu k 31. decembru 2024 na príslušnej napäťovej úrovni využívaného na regulovanú činnosť, určenej na základe znaleckého posudku vypracovaného znalcom zapísaným v zozname znalcov v odbore Ekonomika a riadenie podnikov v súlade s osobitným predpisom,25) vrátane pozemkov v pôvodných obstarávacích hodnotách bez vplyvu precenenia, |
| 1cb. MHN,2024 je hodnota tej časti regulačnej bázy aktív na príslušnej napäťovej úrovni RABHN,2024 v eurách, ktorá bola financovaná zo zdrojov Európskej únie, alebo iných grantov a štátnych podpôr, nevyhnutne využívaná na regulovanú činnosť, |
| 1cc. RABHN,n je schválená alebo určená hodnota regulačnej bázy aktív regulovaného subjektu, ktorá zodpovedá hodnote majetku, na príslušnej napäťovej úrovni v eurách, zaradená do užívania na regulovanú činnosť v roku n-2, vrátane pozemkov v pôvodných obstarávacích hodnotách bez vplyvu precenenia, |
| 1cd. MHN,n je hodnota tej časti regulačnej bázy aktív na príslušnej napäťovej úrovni RABHN,n v eurách, ktorá bola financovaná zo zdrojov Európskej únie, alebo iných grantov a štátnych podpôr, nevyhnutne využívaná na regulovanú činnosť, |
| 1ce. SOHN,n je schválená alebo určená hodnota odpisov regulovaného subjektu v eurách, ktorá zodpovedá výške regulačných odpisov regulovaného subjektu v roku n-1 z majetku na príslušnej napäťovej úrovni zaradeného do užívania na regulovanú činnosť v roku n-2, určená na základe prílohy č. 1, |
| 2. WACC je miera výnosnosti regulačnej bázy aktív na regulačné obdobie určená podľa § 5, |
| 3. KDZ je koeficient miery využitia disponibilných zdrojov do investícií súvisiacich s regulovanou činnosťou, ktorý sa určuje v intervale od 0,80 do 1,00 a vypočíta sa podľa vzorca |
| 
|
| kde |
| ak je výsledok podielu |
| vyšší alebo sa rovná 0,7, tak KDZ = 1,00, |
| menší ako 0,7 a zároveň vyšší alebo sa rovná 0,6, tak KDZ = 0,97, |
| menší ako 0,6 a zároveň vyšší alebo sa rovná 0,5, tak KDZ = 0,94, |
| menší ako 0,5 a zároveň vyšší alebo sa rovná 0,4, tak KDZ = 0,91, |
| menší ako 0,4 a zároveň vyšší alebo sa rovná 0,3, tak KDZ = 0,88, |
| menší ako 0,3 a zároveň vyšší alebo sa rovná 0,2, tak KDZ = 0,85, |
| menší ako 0,2 a zároveň vyšší alebo sa rovná 0,1, tak KDZ = 0,82, |
| menší ako 0,1, tak KDZ = 0,80, |
| kde |
| 3a. INVt-2 je skutočná hodnota investičných výdavkov na regulovanú činnosť regulovaného subjektu v roku t-2 v eurách, |
| 3b. PRSziskt-2 je regulovaný zisk regulovaného subjektu po zdanení v roku t-2 v eurách, ktorý sa vypočíta podľa vzorca |
| PRSziskt–2 = (RABST,t–2 × WACCt–2) × (1 – SOOPROt–2) × (1 – daň z príjmovt–2), |
| kde |
| 3ba. RABST,t-2 je schválená alebo určená hodnota regulačnej bázy aktív v eurách na rok t-2, |
| 3bb. WACCt-2 je miera výnosnosti regulačnej bázy aktív na 6. regulačné obdobie určená na rok t-2 podľa § 5, |
| 3bc. SOOPROt-2 je 12-násobok hodnoty mesačnej sadzby osobitného odvodu z podnikania v regulovaných odvetviach v roku t-2, ustanovenej podľa osobitného predpisu,24) |
| 3bd. daň z príjmovt-2 je hodnota sadzby dane z príjmov právnických osôb v roku t-2, |
| 3c. PRSodpisyt-2 je hodnota regulovaných odpisov regulovaného subjektu v roku t-2 v eurách, ktorá sa vypočíta podľa vzorca |
| PRSodpisyt–2 = Ot–2 + POt–2 + FINVPt–2, |
| kde |
| 3ca. Ot-2 je schválená alebo určená hodnota odpisov regulovaného subjektu za regulovanú činnosť v eurách na rok t-2, |
| 3cb. POt-2 je schválená alebo určená plánovaná hodnota odpisov regulovaného subjektu v eurách v roku t-2 z majetku s plánovaným zaradením do užívania na regulovanú činnosť v roku t-3, |
| 3cc. FINVPt-2 je faktor investícií v eurách na rok t-2, |
| 3d. INVAEG,t-2 je skutočná hodnota investičných výdavkov na regulovanú činnosť regulovaného subjektu v roku t-2 v eurách, ktoré boli financované zo zdrojov Európskej únie alebo iných grantov a štátnych podpôr, |
| 4. QDt je plánované množstvo elektriny v jednotkách množstva elektriny v roku t, odobratej z distribučnej sústavy regulovaného subjektu koncovými odberateľmi elektriny, |
| 5. QSt je plánované množstvo elektriny spotrebované regulovaným subjektom okrem vlastnej spotreby pri distribúcii elektriny a vlastnej spotreby elektriny pri výrobe elektriny vo vlastnom zariadení na výrobu elektriny v jednotkách množstva elektriny v roku t, |
| 6. QSDSt je plánované množstvo elektriny spotrebované regulovaným subjektom, ktoré zahŕňa vlastnú spotrebu pri distribúcii elektriny regulovaného subjektu v jednotkách množstva elektriny v roku t, |
| h) KAt je faktor vyrovnania maximálnej ceny za prístup do miestnej distribučnej sústavy a distribúciu elektriny v eurách na jednotku množstva elektriny na rok t zohľadňujúci skutočnosť za rok t-2 a vypočíta sa podľa vzorca |
| 
|
| kde |
| 1. STRDt-2 sú skutočné výnosy za distribúciu elektriny v roku t-2 v eurách okrem nákladov na obstaranie elektriny na krytie strát elektriny pri distribúcii elektriny, |
| 2. TRDt-2 sú schválené výnosy za distribúciu elektriny v roku t-2 v eurách okrem nákladov na obstaranie elektriny na krytie strát elektriny pri distribúcii elektriny, |
| 3. SEONVt-2 sú skutočné ekonomicky oprávnené náklady v eurách na distribúciu elektriny v roku t-2 okrem nákladov na obstaranie elektriny na krytie strát elektriny pri distribúcii elektriny a ekonomicky oprávnených nákladov na distribúciu elektriny od prevádzkovateľa sústavy, do ktorého sústavy je regulovaný subjekt pripojený, |
| 4. EONVt-2 sú schválené ekonomicky oprávnené náklady na distribúciu elektriny v roku t-2 v eurách okrem nákladov na obstaranie elektriny na krytie strát elektriny pri distribúcii elektriny a ekonomicky oprávnených nákladov na distribúciu elektriny od prevádzkovateľa sústavy, do ktorého sústavy je regulovaný subjekt pripojený, |
| 5. SEONEt-2 sú skutočné ekonomicky oprávnené náklady na distribúciu elektriny v roku t-2 v eurách, ktoré zahŕňajú náklady na distribúciu elektriny a straty elektriny pri distribúcii od prevádzkovateľa sústavy, do ktorého sústavy je regulovaný subjekt pripojený, |
| 6. EONEt-2 sú schválené ekonomicky oprávnené náklady na distribúciu elektriny v roku t-2 v eurách, ktoré zahŕňajú náklady na distribúciu elektriny a straty elektriny pri distribúcii od prevádzkovateľa sústavy, do ktorého sústavy je regulovaný subjekt pripojený, |
| 7. QDt je plánované množstvo elektriny v jednotkách množstva elektriny v roku t, odobratej z distribučnej sústavy regulovaného subjektu koncovými odberateľmi elektriny, |
| 8. QSt je plánované množstvo elektriny spotrebované regulovaným subjektom okrem vlastnej spotreby pri distribúcii elektriny a vlastnej spotreby elektriny pri výrobe elektriny vo vlastnom zariadení na výrobu elektriny v jednotkách množstva elektriny v roku t, |
| 9. QSDSt je plánované množstvo elektriny spotrebované regulovaným subjektom, ktoré zahŕňa vlastnú spotrebu pri distribúcii elektriny regulovaného subjektu v jednotkách množstva elektriny v roku t. |
| (2) Maximálna cena At určená podľa odseku 1 sa rozpočíta do taríf jednotlivých sadzieb za prístup do distribučnej sústavy a distribúciu elektriny tak, že vážený priemer taríf týchto sadzieb neprekročí maximálnu cenu At. Sadzba za prístup do distribučnej sústavy a distribúciu elektriny sa skladá z tarify za rezervovanú kapacitu a z tarify za distribuovanú elektrinu. V návrhu taríf týchto sadzieb sa zohľadní napäťová úroveň sadzby. |
| (3) Tarifa za straty elektriny pri distribúcii elektriny CSDHN,t v eurách na jednotku množstva elektriny sa v roku t vypočíta postupným výpočtom na jednotlivých napäťových úrovniach začínajúcim od napäťovej úrovne, do ktorej je distribučná sústava regulovaného subjektu pripojená, podľa vzorca
|
| , |
| kde |
| a) VVSDHN,t sú náklady za straty elektriny pri distribúcii elektriny v eurách priradené príslušnej napäťovej úrovni vypočítané podľa odseku 3, |
| b) VystEHN,t je celkové plánované množstvo elektriny v jednotkách množstva elektriny vystupujúce z príslušnej napäťovej úrovne v roku t vypočítané podľa vzorca |
| , |
| kde |
| 1. VystEOHN,t je plánované množstvo elektriny v jednotkách množstva elektriny na rok t distribuované na príslušnej napäťovej úrovni koncovým odberateľom elektriny, pre vlastnú spotrebu elektriny prevádzkovateľa sústavy regulovaného subjektu a ostatnú spotrebu elektriny prevádzkovateľa sústavy regulovaného subjektu, |
| 2. VystETRHN,t je plánované množstvo elektriny v jednotkách množstva elektriny na rok t vystupujúce z príslušnej napäťovej úrovne do transformácie na nižšiu napäťovú úroveň. |
| (4) Náklady za straty elektriny pri distribúcii elektriny priradené príslušnej napäťovej úrovni VVSDHN,t v roku t v eurách zložené z alikvotnej časti nákladov za straty elektriny pri distribúcii elektriny priradených z vyššej napäťovej úrovne a nákladov za straty elektriny pri distribúcii vlastnej napäťovej úrovne sa vypočítajú podľa vzorca
|
| VVSDHN,t = CSDHN+1,t × VystETRHN+1,t + CSHDHN,t × VystEHN,t, |
| kde |
| a) CSDHN+1,t je tarifa za straty elektriny pri distribúcii elektriny v eurách na jednotku množstva elektriny na vyššej napäťovej úrovni, z ktorej sa transformuje elektrina do príslušnej napäťovej úrovne; na distribučnej napäťovej úrovni, do ktorej je miestna distribučná sústava pripojená, sa tarifa za straty elektriny na vyššej napäťovej úrovni v eurách na jednotku množstva elektriny v roku t CSDHN+1,t rovná 0, |
| b) VystETRHN+1,t je plánované množstvo elektriny v jednotkách množstva elektriny na rok t vystupujúce z príslušnej napäťovej úrovne do transformácie na nižšiu napäťovú úroveň, |
| c) CSHDHN,t je cena za straty elektriny pri distribúcii elektriny v eurách na jednotku množstva elektriny príslušnej napäťovej úrovne v roku t podľa odseku 4. |
| (5) Cena za straty elektriny pri distribúcii elektriny na príslušnej napäťovej úrovni CSHDHN,t v eurách na jednotku množstva elektriny v roku t sa vypočíta podľa vzorca
|
| , |
| kde |
| a) PCSESt je určená cena elektriny na pokrytie strát elektriny pri distribúcii elektriny v eurách na jednotku množstva elektriny na rok t vypočítaná podľa vzorca |
| , |
| kde |
| 1. CEPXE,t je aritmetický priemer denných cien oficiálneho kurzového lístka zverejneného burzou PXE (POWER EXCHANGE CENTRAL EUROPE) na jej webovom sídle, produktu EEX-PXE Slovakian Power Futures Cal-t v eurách na jednotku množstva elektriny, pre roky t = 2025 za obdobie od 1. júla roku t-2 do 30. júna roku t-1 a pre rok t = 2026 a nasledujúce roky za obdobie od 1. januára roku t-1 do 30. júna roku t-1, |
| 2. kt je koeficient na rok t v percentách určený cenovým rozhodnutím v rozsahu najviac 6 % v závislosti od plánovaného diagramu strát elektriny pri distribúcii elektriny na rok t, |
| 3. Ot sú určené plánované náklady regulovaného subjektu na odchýlku súvisiace s diagramom strát elektriny v eurách na jednotku množstva elektriny na rok t, určené ako aritmetický priemer určených plánovaných nákladov na odchýlku súvisiace s diagramom strát elektriny na rok t prevádzkovateľov regionálnych distribučných sústav, v eurách na jednotku množstva elektriny, |
| b) PMSEHN,t je povolené množstvo strát elektriny v jednotkách množstva elektriny na príslušnej napäťovej úrovni v roku t a vypočíta sa podľa vzorca |
| , |
| kde |
| 1. VstEHN,t je celkové plánované množstvo elektriny v jednotkách množstva elektriny vstupujúce do príslušnej napäťovej úrovne v roku t z nadradenej distribučnej sústavy, cez transformáciu z vyššej napäťovej úrovne, zo všetkých zdrojov elektriny pripojených na danú napäťovú úroveň, z prítokov elektriny z iných miestnych distribučných sústav, |
| 2. PPSCHN je hodnota percenta strát pri distribúcii elektriny na príslušnej napäťovej úrovni v závislosti od napäťovej úrovne pripojenia miestnej distribučnej sústavy, pričom, |
| 2a. ak je sústava pripojená na úrovni veľmi vysokého napätia, je najviac |
| 2aa. 0,1 % na napäťovej úrovni veľmi vysokého napätia, |
| 2ab. 2,2 % na napäťovej úrovni vysokého napätia, |
| 2ac. 5 % na napäťovej úrovni nízkeho napätia, |
| 2b. ak je sústava pripojená na napäťovej úrovni vysokého napätia, je najviac |
| 2ba. 2 % na napäťovej úrovni vysokého napätia, |
| 2bb. 5 % na napäťovej úrovni nízkeho napätia, |
| 2c. ak je sústava pripojená na napäťovej úrovni nízkeho napätia, je najviac 1 % na napäťovej úrovni nízkeho napätia. |
| c) FDSHN,t je faktor strát pri distribúcii elektriny na jednotku množstva elektriny na príslušnej napäťovej úrovni na rok t v eurách, ktorý sa prvýkrát uplatní v roku t = 2026 a vypočíta podľa vzorca |
| 
|
| kde |
| 1. CSHDHN,t-2 je cena za straty elektriny pri distribúcii elektriny v eurách na jednotku množstva elektriny príslušnej napäťovej úrovne v roku t-2, |
| 2. VystEHN,t-2 je celkové plánované množstvo elektriny v jednotkách množstva elektriny vystupujúce z príslušnej napäťovej úrovne v roku t-2, |
| 3. VystESHN,t-2 je celkové skutočné množstvo elektriny v jednotkách množstva elektriny vystupujúce z príslušnej napäťovej úrovne v roku t-2, |
| 4. PCSESt-2 je určená cena elektriny na krytie strát elektriny pri distribúcii elektriny v eurách na jednotku množstva elektriny na rok t-2, |
| 5. PMSEHN,t-2 je povolené množstvo strát elektriny pri distribúcií elektriny v jednotkách množstva elektriny na príslušnej napäťovej úrovni v roku t-2, |
| d) VystEHN,t je celkové plánované množstvo elektriny v jednotkách množstva elektriny vystupujúce z príslušnej napäťovej úrovne v roku t. |
| (6) Hodnota percenta strát elektriny pri distribúcii elektriny na príslušnej napäťovej úrovni PPSCHN sa pre miestnu distribučnú sústavu, ktorá je z pohľadu množstva strát elektriny pri distribúcii elektriny na príslušnej napäťovej úrovni alebo z pohľadu množstva distribuovanej elektriny na príslušnej napäťovej úrovni porovnateľná s regionálnou distribučnou sústavou, určí individuálne. |
| (7) Ak regulovaný subjekt nemá schválenú alebo určenú maximálnu cenu za prístup do miestnej distribučnej sústavy a distribúciu elektriny At v eurách na jednotku množstva elektriny na rok t podľa odseku 1, faktor vyrovnania maximálnej ceny za prístup do miestnej distribučnej sústavy a distribúciu elektriny KAt v eurách na jednotku množstva elektriny na rok t zohľadňujúci skutočnosť za rok t-2 sa rovná nule. |
| § 29 |
| Cenová regulácia pripojenia do sústavy a niektoré podmienky vykonávania regulovaných činností |
| (1) Cenová regulácia podľa odsekov 2 až 4 a § 30 až 35 sa vzťahuje na pripojenie odberného miesta a odovzdávacieho miesta do sústavy. |
| (2) Súčasťou návrhu ceny sú |
| a) návrh cien za pripojenie pri pripojení do distribučnej sústavy vrátane ich štruktúry na rok t, ktoré sa budú uplatňovať pre účastníkov trhu s elektrinou, vrátane podmienok ich pridelenia, |
| b) plán investícií a plán odpisov za regulovanú činnosť na rok t až t+2, |
| c) výpočty a údaje podľa § 30 až 35, ktoré sa týkajú pripojenia odberných a odovzdávacích miest účastníkov trhu s elektrinou do sústavy, |
| d) údaje nevyhnutné na určenie ceny za pripojenie podľa prílohy č. 11, |
| e) ďalšie podklady nevyhnutné na správne posúdenie návrhu ceny. |
| (3) Podklady podľa odseku 2 sa predkladajú v listinnej podobe a podklady podľa odseku 2 písm. a) a c) sa predkladajú aj v elektronickej podobe do elektronickej schránky. Vyplnené tabuľky podľa prílohy č. 11 sa predkladajú v elektronickej podobe vo formáte, ktorý zachováva úplnú funkčnosť tabuľkového editora. |
| (4) Ustanovenia o návrhu ceny sa primerane vzťahujú aj na návrh na zmenu cenového rozhodnutia podľa § 17 ods. 1 a 2 zákona o regulácii. |
| § 30 |
| Cenová regulácia pripojenia do prenosovej sústavy |
| (1) Elektroenergetické zariadenie prevádzkovateľa distribučnej sústavy je možné pripojiť do prenosovej sústavy po splnení technických podmienok a obchodných podmienok prevádzkovateľa prenosovej sústavy tak, aby bola zachovaná bezpečnosť, spoľahlivosť a stabilita prevádzky prenosovej sústavy. Deliace miesto medzi technologickými zariadeniami prenosovej sústavy a elektroenergetickými zariadeniami distribučnej sústavy sa určuje prevádzkovateľom prenosovej sústavy. |
| (2) Náklady vyvolané u prevádzkovateľa prenosovej sústavy pripojením elektroenergetického zariadenia prevádzkovateľa distribučnej sústavy alebo zvýšením technického dimenzovania pripojenia prevádzkovateľa distribučnej sústavy pripojeného do prenosovej sústavy alebo úpravou zariadení prenosovej sústavy na základe žiadosti prevádzkovateľa distribučnej sústavy o pripojenie do prenosovej sústavy sa rozdelia medzi príslušných prevádzkovateľov sústav takto: |
| a) podiel prevádzkovateľa prenosovej sústavy je 50 % nákladov, |
| b) podiel prevádzkovateľa distribučnej sústavy je 50 % nákladov. |
| (3) Náklady vyvolané u prevádzkovateľa prenosovej sústavy pripojením elektroenergetického zariadenia prevádzkovateľa distribučnej sústavy, na základe žiadosti prevádzkovateľa distribučnej sústavy, ktoré nie je prevádzkované v základnom zapojení sústavy, sú považované za náklady na pripojenie prevádzkovateľa distribučnej sústavy s osobitnými nárokmi na spôsob zabezpečenia prenosu elektriny a sú v plnej sume hradené prevádzkovateľom distribučnej sústavy. |
| (4) Náklady podľa odsekov 2 a 3 zahŕňajú |
| a) náklady súvisiace s obstaraním elektroenergetických zariadení prevádzkovateľa prenosovej sústavy potrebných pre pripojenie žiadateľa vrátane jeho dopravy na určené miesto, |
| b) náklady súvisiace s obstaraním automatických hasiacich zariadení, |
| c) náklady súvisiace s obstaraním riadiaceho informačného systému, elektrických ochrán, telekomunikačných, prenosových, meracích a regulačných zariadení, monitorovacích a informačných systémov technológie a zariadení vlastnej spotreby, |
| d) náklady na montáž, |
| e) iné náklady súvisiace s prípravou, projektovaním a výstavbou elektroenergetických zariadení prevádzkovateľa prenosovej sústavy a vyvolanými úpravami elektroenergetických zariadení prenosovej sústavy vrátane súvisiacich stavebných objektov. |
| (5) Výška nákladov vyvolaných u prevádzkovateľa prenosovej sústavy sa určuje na základe nákladov podľa odseku 4, a to od miesta pripojenia elektroenergetických zariadení prevádzkovateľa distribučnej sústavy k technologickým zariadeniam prenosovej sústavy až do miesta požadovaného dispozičného príkonu v prenosovej sústave. Elektroenergetické zariadenie patriace k prenosovej sústave sa vybuduje prevádzkovateľom prenosovej sústavy podľa technických podmienok. Elektroenergetické zariadenia patriace k distribučnej sústave sa vybudujú prevádzkovateľom distribučnej sústavy podľa technických podmienok. |
| (6) Elektroenergetické zariadenie alebo odberné elektrické zariadenie výrobcu elektriny, prevádzkovateľa zariadenie na uskladňovanie elektriny alebo koncového odberateľa elektriny (ďalej len „žiadateľ“) je možné pripojiť do prenosovej sústavy po splnení technických podmienok a obchodných podmienok prevádzkovateľa prenosovej sústavy tak, aby bola zachovaná bezpečnosť, spoľahlivosť a stabilita prevádzky prenosovej sústavy. Deliace miesto medzi technologickými zariadeniami prenosovej sústavy a odbernými elektrickými zariadeniami alebo elektroenergetickými zariadeniami žiadateľa sa určuje prevádzkovateľom prenosovej sústavy. |
| (7) Preukázané skutočné náklady vyvolané u prevádzkovateľa prenosovej sústavy žiadosťou žiadateľa o pripojenie, zabezpečenie požadovaného príkonu nových elektroenergetických zariadení alebo úpravy existujúcich elektroenergetických zariadení prevádzkovateľa prenosovej sústavy sa uhrádzajú žiadateľom. |
| (8) Výška nákladov vyvolaných u prevádzkovateľa prenosovej sústavy sa určuje na základe nákladov podľa odseku 4 od miesta pripojenia elektroenergetických zariadení alebo odberných elektrických zariadení žiadateľa k technologickým zariadeniam prenosovej sústavy až do miesta požadovaného dispozičného príkonu v prenosovej sústave. |
| (9) Elektroenergetické zariadenie patriace do prenosovej sústavy sa vybuduje prevádzkovateľom prenosovej sústavy podľa technických podmienok prevádzkovateľa prenosovej sústavy. |
| (10) Na cenovú reguláciu pripojenia do prenosovej sústavy sa za nové pripojenie odberného miesta alebo odovzdávacieho miesta do prenosovej sústavy nepovažuje odpojenie odberného miesta alebo odovzdávacieho miesta od prenosovej sústavy a jeho opätovné pripojenie do prenosovej sústavy počas platnosti zmluvy o pripojení z dôvodu modernizácie alebo úpravy elektroenergetických zariadení používaných na prenos elektriny do tohto odberného miesta alebo odovzdávacieho miesta. Výpočet ceny za opätovné pripojenie odberného miesta alebo odovzdávacieho miesta do prenosovej sústavy sa použije primerane a môže zohľadňovať len zvýšenie technického dimenzovania pripojenia odberného miesta alebo odovzdávacieho miesta. |
| (11) Na účely cenovej regulácie pripojenia do prenosovej sústavy sa odpojenie odberného miesta alebo odovzdávacieho miesta od prenosovej sústavy po skončení platnosti zmluvy o pripojení a jeho opätovné pripojenie do prenosovej sústavy považuje za nové pripojenie odberného miesta alebo odovzdávacieho miesta do prenosovej sústavy. |
| (12) Pri uzatváraní zmluvy o pripojení do prenosovej sústavy pri zmene existujúceho užívateľa prenosovej sústavy bez zvýšenia technického dimenzovania pripojenia sa cena za pripojenie alebo náklady za pripojenie neúčtujú. Pri uzatváraní zmluvy o pripojení do prenosovej sústavy pri zmene existujúceho užívateľa prenosovej sústavy so zvýšením technického dimenzovania pripojenia sa cena za pripojenie alebo náklady za pripojenie uhrádzajú len za rozdiel medzi pôvodnou a požadovanou hodnotou technického dimenzovania pripojenia. |
| § 31 |
| Cenová regulácia pripojenia do distribučnej sústavy |
| (1) Elektroenergetické zariadenie alebo odberné elektrické zariadenie žiadateľa alebo prevádzkovateľa pripojovanej distribučnej sústavy k distribučnej sústave je možné pripojiť do distribučnej sústavy po splnení technických podmienok a obchodných podmienok prevádzkovateľa distribučnej sústavy tak, že je zachovaná bezpečnosť, spoľahlivosť a stabilita prevádzky distribučnej sústavy. Deliace miesto medzi technologickými zariadeniami distribučnej sústavy a elektroenergetickými zariadeniami alebo odbernými elektrickými zariadeniami žiadateľa sa určí prevádzkovateľom distribučnej sústavy. |
| (2) Náklady prevádzkovateľa distribučnej sústavy na zabezpečenie maximálnej rezervovanej kapacity budovaním nových elektroenergetických zariadení alebo úpravou existujúcich elektroenergetických zariadení prevádzkovateľa distribučnej sústavy, vyvolané pripojením zariadení žiadateľa, sa zahrnú do výpočtu ceny za pripojenie uhrádzanej žiadateľom pre pripojenie na napäťovej úrovni |
| a) od 52 kV vrátane do 110 kV vrátane podľa § 33 ods. 1, |
| b) od 1 kV vrátane do 52 kV podľa § 34 ods. 1, |
| c) do 1 kV podľa § 35 ods. 1. |
| (3) Náklady prevádzkovateľa distribučnej sústavy na zabezpečenie požadovanej maximálnej rezervovanej kapacity na pripojenie elektroenergetického zariadenia alebo odberného elektrického zariadenia žiadateľa prostredníctvom odberného miesta alebo odovzdávacieho miesta do distribučnej sústavy zahŕňajú |
| a) náklady súvisiace s obstaraním elektroenergetických zariadení prevádzkovateľa distribučnej sústavy potrebných pre pripojenie žiadateľa vrátane ich dopravy na určené miesto, |
| b) náklady súvisiace s obstaraním automatických hasiacich zariadení, |
| c) náklady súvisiace s obstaraním riadiaceho informačného systému, inteligentného meracieho systému, elektrických ochrán, telekomunikačných, distribučných, meracích a regulačných zariadení, monitorovacích a informačných systémov technológie a zariadení vlastnej spotreby, |
| d) náklady na montáž, |
| e) iné náklady súvisiace s prípravou, projektovaním, výstavbou a pripojením elektroenergetických zariadení prevádzkovateľa distribučnej sústavy vrátane súvisiacich stavebných objektov a náklady od prevádzkovateľa sústavy, do ktorej je regulovaný subjekt pripojený. |
| (4) Ak žiadateľ požaduje zvýšenie existujúcej maximálnej rezervovanej kapacity v odbernom alebo odovzdávacom mieste, cena za pripojenie za zvýšenie maximálnej rezervovanej kapacity odberného alebo odovzdávacieho miesta sa vypočíta z rozdielu požadovanej a existujúcej maximálnej rezervovanej kapacity v odbernom alebo odovzdávacom mieste. |
| (5) Ak sa pridelená maximálna rezervovaná kapacita po uplynutí 12 mesiacov od zmluvne dohodnutého termínu nevyužíva aspoň na 50 %, zníži sa na 50 % pôvodne dohodnutej maximálnej rezervovanej kapacity, ak sa žiadateľ s prevádzkovateľom distribučnej sústavy nedohodne inak. Ak sa znížená maximálna rezervovaná kapacita nevyužíva odberateľom elektriny ani ďalších 12 mesiacov po jej znížení prevádzkovateľom distribučnej sústavy, jednostranne sa zníži na skutočne využívanú hodnotu za posledných 12 mesiacov, ak prevádzkovateľ distribučnej sústavy o zmene informuje odberateľa elektriny najneskôr 15 dní vopred, pričom za skutočne využívanú hodnotu sa považuje aj nulová hodnota odberu elektriny. Na základe žiadosti odberateľa elektriny, ktorému bola znížená maximálna rezervovaná kapacita, o opätovné pridelenie pôvodnej maximálnej rezervovanej kapacity sa táto kapacita opätovne odberateľovi elektriny, ktorému bola znížená maximálna rezervovaná kapacita, bezodplatne pridelí. Podmienkou na bezodplatné opätovné pridelenie maximálnej rezervovanej kapacity je predloženie žiadosti o opätovné pridelenie pôvodnej maximálnej rezervovanej kapacity odberateľom elektriny do 12 mesiacov od zníženia maximálnej rezervovanej kapacity podľa prvej vety, ak prevádzkovateľ distribučnej sústavy disponuje dostatočnou kapacitou. Ak prevádzkovateľ distribučnej sústavy nedisponuje dostatočnou kapacitou na zvýšenie maximálnej rezervovanej kapacity, odberateľ elektriny uhrádza cenu za pripojenie. Ak žiadateľ o pripojenie nezačne odoberať elektrinu z distribučnej sústavy počas 12 mesiacov, odkedy má možnosť pripojiť sa do distribučnej sústavy, zníži sa maximálna rezervovaná kapacita na úroveň 0 kW. Odberateľ elektriny môže požiadať prevádzkovateľa distribučnej sústavy o zníženie maximálnej rezervovanej kapacity. Tejto žiadosti sa vyhovie, ak sú splnené technické podmienky vydané prevádzkovateľom distribučnej sústavy odberateľovi elektriny, ktoré súvisia výhradne s úpravou fakturačného merania; táto zmena sa nespoplatňuje. Ak odberateľ elektriny požiadal prevádzkovateľa distribučnej sústavy o zníženie maximálnej rezervovanej kapacity, pri žiadosti o jej opätovné zvýšenie sa uplatní cena za pripojenie za zvýšenie maximálnej rezervovanej kapacity, ak sa nepostupuje podľa nasledujúcej vety. Odberateľ elektriny pripojený do regionálnej distribučnej sústavy na napäťovej úrovni vysokého napätia alebo veľmi vysokého napätia, ktorý požiada prevádzkovateľa regionálnej distribučnej sústavy o zníženie maximálnej rezervovanej kapacity v odbernom mieste po 30. júni 2024, môže najneskôr do 31. decembra 2025 jedenkrát požiadať prevádzkovateľa regionálnej distribučnej sústavy o bezplatné zvýšenie maximálnej rezervovanej kapacity, maximálne však do výšky pôvodnej maximálnej rezervovanej kapacity. Skutočnosť, že prevádzkovateľ distribučnej sústavy nedisponuje dostatočnou kapacitou na zvýšenie maximálnej rezervovanej kapacity, sa preukazuje úradu výpisom zmluvne dohodnutého výkonu v zmluvách o pripojení do distribučnej sústavy a skutočnou spotrebou elektriny za kalendárny rok t-1 v príslušnom bode pripojenia do distribučnej sústavy. |
| (6) Úhrada ceny za pripojenie sa od žiadateľa nevyžaduje pri |
| a) zmene dodávateľa elektriny bez zvýšenia existujúcej maximálnej rezervovanej kapacity, |
| b) zmene existujúceho užívateľa distribučnej sústavy bez zvýšenia existujúcej maximálnej rezervovanej kapacity, |
| c) opätovnom pridelení pôvodnej maximálnej rezervovanej kapacity odbernému elektrickému zariadeniu so zohľadnením podmienok podľa odsekov 5, |
| d) prevode zariadenia žiadateľa alebo jeho časti na iný subjekt, ak toto zariadenie je súčasťou sústavy pôvodného vlastníka zariadenia. |
| (7) Ak žiadateľ požiada o zníženie hodnoty maximálnej rezervovanej kapacity, pri požiadaní o jej zvýšenie sa uplatní cena za pripojenie za navýšenie maximálnej rezervovanej kapacity. |
| (8) Cena za pripojenie pre krátkodobé odbery elektriny sa určuje prevádzkovateľom distribučnej sústavy vo výške skutočne vyvolaných nákladov prevádzkovateľa distribučnej sústavy pre pripojenie odberateľa elektriny. |
| (9) Elektroenergetické zariadenie patriace do distribučnej sústavy sa vybuduje prevádzkovateľom distribučnej sústavy alebo iným subjektom po dohode s prevádzkovateľom distribučnej sústavy v súlade s technickými podmienkami prevádzkovateľa distribučnej sústavy. |
| (10) Cena za pripojenie sa neuplatní, ak je užívateľ sústavy už pripojený do distribučnej sústavy a táto distribučná sústava je prevzatá iným prevádzkovateľom distribučnej sústavy alebo ak užívateľ sústavy žiada o pripojenie elektroenergetického zariadenia alebo odberného elektrického zariadenia bez zvýšenia hodnoty maximálnej rezervovanej kapacity v existujúcom odbernom alebo odovzdávacom mieste pripojenom do distribučnej sústavy. |
| (11) Nadštandardné pripojenie sa poskytuje z napäťovej úrovne vysokého napätia a veľmi vysokého napätia. Cena za nadštandardné pripojenia sa určí podľa spôsobu výpočtu pre štandardné pripojenie. Nadštandardné pripojenie užívateľa sústavy znamená, že elektroenergetické zariadenie alebo odberné elektrické zariadenie žiadateľa je už pripojené do distribučnej sústavy a žiadateľ má zabezpečenú požadovanú maximálnu rezervovanú kapacitu a žiada o pripojenie s osobitnými nárokmi na spôsob zabezpečenia distribúcie elektriny napríklad cez ďalšie napájacie vedenia. |
| (12) Na účely cenovej regulácie pripojenia do distribučnej sústavy sa odpojenie odberného miesta alebo odovzdávacieho miesta od distribučnej sústavy po skončení platnosti zmluvy o pripojení a jeho opätovné pripojenie do distribučnej sústavy považuje za nové pripojenie odberného miesta alebo odovzdávacieho miesta do distribučnej sústavy s povinnosťou úhrady ceny za pripojenie do distribučnej sústavy. Na účely cenovej regulácie pripojenia do distribučnej sústavy sa za nové pripojenie odberného miesta alebo odovzdávacieho miesta do distribučnej sústavy nepovažuje odpojenie existujúceho odberného miesta alebo odovzdávacieho miesta od distribučnej sústavy a jeho opätovné pripojenie do distribučnej sústavy z dôvodu modernizácie alebo úpravy elektroenergetických zariadení používaných na distribúciu elektriny do tohto odberného alebo odovzdávacieho miesta. Výpočet ceny za opätovné pripojenie odberného miesta alebo odovzdávacieho miesta do distribučnej sústavy sa použije primerane a môže zohľadňovať len zvýšenie maximálnej rezervovanej kapacity odberného miesta alebo odovzdávacieho miesta. |
| (13) Pri pripojení zariadenia na uskladňovanie elektriny v novom odbernom mieste a odovzdávacom mieste sa cena za pripojenie uplatní len za vyššiu z hodnôt maximálnej rezervovanej kapacity pre odber elektriny z distribučnej sústavy a pre dodávku elektriny do distribučnej sústavy. Pri pripojení zariadenia na uskladňovanie elektriny v existujúcom odbernom mieste alebo odovzdávacom mieste sa cena za pripojenie uplatní, len ak požadovaná maximálna rezervovaná kapacita odberu elektriny z distribučnej sústavy alebo dodávku elektriny do distribučnej sústavy je vyššia ako existujúca maximálna rezervovaná kapacita na odber elektriny z distribučnej sústavy alebo dodávku elektriny do distribučnej sústavy. Cena za pripojenie sa vypočíta z rozdielu požadovanej a existujúcej maximálnej rezervovanej kapacity v odbernom alebo odovzdávacom mieste. |
| § 32 |
| (1) Maximálna cena za pripojenie zariadenia na výrobu elektriny alebo zariadenia na uskladňovanie elektriny žiadateľa o pripojenie do distribučnej sústavy, ktorý uzatvorí zmluvu o pripojení do distribučnej sústavy s prevádzkovateľom distribučnej sústavy po nadobudnutí účinnosti tejto vyhlášky, najneskôr však do 31. decembra 2025 vrátane, a preukáže pripojenie zariadenia na výrobu elektriny alebo zariadenia na uskladňovanie elektriny úspešnou funkčnou skúškou najneskôr do dvoch rokov od uzatvorenia zmluvy o pripojení do distribučnej sústavy, a je určená na hodnotu |
| a) 30 % maximálnej ceny za pripojenie na napäťovej úrovni od 52 kV vrátane do 110 kV vrátane vypočítanej podľa § 33, |
| b) 30 % maximálnej ceny za pripojenie na napäťovej úrovni od 1 kV vrátane do 52 kV vypočítanej podľa § 34, |
| c) 30 % maximálnej ceny za pripojenie na napäťovej úrovni do 1 kV, vypočítanej podľa § 35. |
| (2) Žiadateľom o pripojenie zariadenia na výrobu elektriny alebo zariadenia na uskladňovanie elektriny do distribučnej sústavy spĺňajúcim podmienku uzatvorenia zmluvy o pripojení s prevádzkovateľom distribučnej sústavy najneskôr do 31. decembra 2025 sa uhradí cena za pripojenie do distribučnej sústavy určená podľa § 33 až 35. Po splnení podmienky preukázania pripojenia zariadenia na výrobu elektriny alebo zariadenia na uskladňovanie elektriny do distribučnej sústavy úspešnou funkčnou skúškou najneskôr do dvoch rokov od uzatvorenia zmluvy o pripojení do distribučnej sústavy, sa prevádzkovateľom distribučnej sústavy vráti časť uhradenej ceny za pripojenie žiadateľovi o pripojenie zariadenia na výrobu elektriny alebo zariadenia na uskladňovanie elektriny najneskôr do 30 dní od vykonania úspešnej funkčnej skúšky tak, aby konečná cena za pripojenie žiadateľa o pripojenie zariadenia na výrobu elektriny alebo zariadenia na uskladňovanie elektriny do distribučnej sústavy bola v súlade s odsekom 1 písm. a) až c). |
| (3) Maximálna cena za pripojenie zariadenia na výrobu elektriny alebo zariadenia na uskladňovanie elektriny žiadateľa o pripojenie do distribučnej sústavy, ktorý uzatvorí zmluvu o pripojení s prevádzkovateľom distribučnej sústavy po 31. decembri 2025, alebo ktorý požiada o pripojenie do distribučnej sústavy po 31. decembri 2025, sa určuje podľa § 33 až 35. |
| § 33 |
| (1) Maximálna cena za pripojenie CpVVN pri pripojení do distribučnej sústavy na napäťovej úrovni od 52 kV vrátane do 110 kV vrátane alebo pri zvýšení maximálnej rezervovanej kapacity v distribučnej sústave na napäťovej úrovni od 52 kV vrátane do 110 kV vrátane zahŕňa náklady na výstavbu požadovaného elektroenergetického zariadenia prevádzkovateľa distribučnej sústavy a všetky nevyhnutné úpravy elektroenergetických zariadení v distribučnej sústave na napäťovej úrovni od 52 kV vrátane do 110 kV vrátane a v prenosovej sústave na zabezpečenie požadovanej maximálnej rezervovanej kapacity v eurách, a vypočíta sa podľa vzorca
|
| , |
| kde |
| a) NVVN sú celkové náklady prevádzkovateľa distribučnej sústavy súvisiace s výstavbou elektroenergetických zariadení na zabezpečenie požadovanej maximálnej rezervovanej kapacity žiadateľov a súvisiace úpravy v distribučnej sústave a prenosovej sústave za predchádzajúcich päť kalendárnych rokov v eurách, |
| b) PMRK je maximálna rezervovaná kapacita žiadateľa o pripojenie v kW, |
| c) PD je disponibilná kapacita na pripojenie v kW vytvorená výstavbou a nevyhnutnými úpravami elektroenergetických zariadení v distribučnej sústave prevádzkovateľa distribučnej sústavy a podiele na výstavbe a nevyhnutných úpravách elektroenergetických zariadení v prenosovej sústave na základe žiadostí žiadateľov o pripojenie do distribučnej sústavy za predchádzajúcich päť kalendárnych rokov, |
| d) ko je koeficient spoluúčasti žiadateľa o pripojenie do distribučnej sústavy, ktorý je v hodnote 0,5. |
| (2) Pri požiadavke na zvýšenie maximálnej rezervovanej kapacity existujúceho užívateľa sústavy sa cena za pripojenie vypočíta podľa odseku 1 a uplatní sa na rozdiel požadovanej a existujúcej maximálnej rezervovanej kapacity podľa § 31 ods. 4 alebo ods. 13 druhej a tretej vety. |
| (3) Ak sa za predchádzajúcich päť kalendárnych rokov neuskutočnili pripojenia nových užívateľov sústavy, použije sa na určenie maximálnej ceny za pripojenie výpočet podľa odseku 1, kde |
| a) PMRK je maximálna rezervovaná kapacita žiadateľa o pripojenie v kW, |
| b) NVVN sú celkové náklady prevádzkovateľa distribučnej sústavy na navýšenie maximálnej rezervovanej kapacity pripojenia existujúcich užívateľov sústavy a súvisiace úpravy v distribučnej sústave a prenosovej sústave v eurách. |
| (4) Ak sa elektroenergetické zariadenie alebo odberné elektrické zariadenie žiadateľa pripája do miestnej distribučnej sústavy alebo pri zvýšení maximálnej rezervovanej kapacity existujúceho užívateľa sústavy v miestnej distribučnej sústave, maximálna cena za pripojenie zahŕňa náklady na pripojenie požadovaného elektroenergetického zariadenia alebo odberného elektrického zariadenia u prevádzkovateľa miestnej distribučnej sústavy, maximálnu cenu za pripojenie určenú podľa odseku 1 a vyvolané náklady na pripojenie v prenosovej sústave. Maximálna cena za pripojenie do miestnej distribučnej sústavy, do ktorej je elektroenergetické zariadenie užívateľa sústavy pripojené, sa uhrádza užívateľom sústavy alebo žiadateľom prevádzkovateľovi miestnej distribučnej sústavy. |
| (5) Ak žiadateľ o pripojenie zariadenia na výrobu elektriny alebo zariadenia na uskladňovanie elektriny, do distribučnej sústavy na napäťovej úrovni od 52 kV vrátane do 110 kV vrátane, ktorého zariadenie na výrobu elektriny alebo zariadenia na uskladňovanie elektriny sa pripája do sústavy cez existujúce odberné miesto, cena za pripojenie tohto zariadenia na výrobu elektriny alebo zariadenia na uskladňovanie elektriny sa vypočíta podľa odseku 1 a hodnota maximálnej rezervovanej kapacity žiadateľa o pripojenie PMRK, na ktorú sa uplatňuje maximálna cena za pripojenie sa rovná rozdielu medzi požadovanou maximálnou rezervovanou kapacitou zariadenia na výrobu elektriny alebo zariadenia na uskladňovanie elektriny a hodnotou súčasnej maximálnej rezervovanej kapacity existujúceho odberného miesta. Ak požadovaná hodnota maximálnej rezervovanej kapacity zariadenia na výrobu elektriny alebo zariadenia na uskladňovanie elektriny je menšia alebo rovná hodnote doterajšej maximálnej rezervovanej kapacity existujúceho odberného miesta, hodnota maximálnej rezervovanej kapacity PMRK, na ktorú sa uplatňuje cena za pripojenie, je 0. |
| (6) Ak sa zariadenie na výrobu elektriny alebo zariadenie na uskladňovanie elektriny, ktoré dodáva elektrinu do miestnej distribučnej sústavy, pripája do miestnej distribučnej sústavy, ktorá je pripojená do regionálnej distribučnej sústavy priamo alebo prostredníctvom jednej alebo viacerých miestnych distribučných sústav, alebo sa mení maximálna rezervovaná kapacita existujúceho zariadenia na výrobu elektriny pripojeného do miestnej distribučnej sústavy alebo maximálna rezervovaná kapacita existujúceho zariadenia na uskladňovanie elektriny pre dodávku elektriny do miestnej distribučnej sústavy, ktorá je pripojená do regionálnej distribučnej sústavy priamo alebo prostredníctvom jednej alebo viacerých miestnych distribučných sústav, prevádzkovateľ miestnej distribučnej sústavy a prevádzkovateľ regionálnej distribučnej sústavy, do ktorej je miestna distribučná sústava prevádzkovateľa miestnej distribučnej sústavy pripojená, môžu dohodnúť v zmluve o pripojení do regionálnej distribučnej sústavy medzi prevádzkovateľom miestnej distribučnej sústavy a prevádzkovateľom regionálnej distribučnej sústavy maximálnu rezervovanú kapacitu určenú podľa osobitného predpisu.36) |
| (7) Maximálna cena za pripojenie pre prevádzkovateľa regionálnej distribučnej sústavy, do ktorej je miestna distribučná sústava pripojená, sa uhrádza prevádzkovateľom miestnej distribučnej sústavy, do ktorej sa elektroenergetické zariadenie žiadateľa pripája. Maximálna cena za pripojenie sa vypočíta podľa odseku 1. |
| (8) Maximálna cena za pripojenie do distribučnej sústavy CpVVN určená podľa odseku 1 v eurách na kilowatt na obdobie od 1. marca roku t do posledného dňa mesiaca február roku t+1 sa oznamuje úradu najneskôr do konca februára roku t. Výpočet maximálnej ceny za pripojenie do distribučnej sústavy CpVVN v eurách na kilowatt na obdobie od 1. marca roku t do posledného dňa mesiaca február roku t+1 sa prevádzkovateľom distribučnej sústavy predkladá úradu do konca februára roku t. |
| (9) Pri uzatváraní zmluvy o pripojení do distribučnej sústavy na napäťovej úrovni od 52 kV vrátane do 110 kV vrátane pri zmene existujúceho užívateľa distribučnej sústavy bez zvýšenia maximálnej rezervovanej kapacity sa cena za pripojenie neúčtuje. Pri uzatváraní zmluvy o pripojení do distribučnej sústavy na napäťovej úrovni od 52 kV vrátane do 110 kV vrátane pri zmene existujúceho užívateľa distribučnej sústavy so zvýšením maximálnej rezervovanej kapacity sa cena za pripojenie uhrádza len za rozdiel medzi pôvodnou a požadovanou hodnotou maximálnej rezervovanej kapacity. |
| § 34 |
| (1) Maximálna cena za pripojenie CpVN pri pripojení elektroenergetického zariadenia alebo odberného elektrického zariadenia žiadateľa do distribučnej sústavy na napäťovej úrovni od 1 kV vrátane do 52 kV alebo pri zvýšení maximálnej rezervovanej kapacity v distribučnej sústave na napäťovej úrovni od 1 kV vrátane do 52 kV zahŕňa náklady na výstavbu požadovaného elektroenergetického zariadenia prevádzkovateľa distribučnej sústavy a všetky nevyhnutné úpravy elektroenergetických zariadení v distribučnej sústave na zabezpečenie požadovanej maximálnej rezervovanej kapacity v eurách, a vypočíta sa podľa vzorca
|
| , |
| kde |
| a) NVN sú celkové náklady prevádzkovateľa distribučnej sústavy súvisiace s pripojením žiadateľov do distribučnej sústavy na napäťovej úrovni od 1 kV vrátane do 52 kV v roku t-1 v eurách, ak neboli realizované pripojenia v miestnej distribučnej sústave v roku t-1, na výpočet sa použijú skutočné hodnoty celkových nákladov prevádzkovateľa distribučnej sústavy súvisiace s pripojením žiadateľov do distribučnej sústavy na napäťovej úrovni od 1 kV vrátane do 52 kV v roku t, |
| b) PD je celkový disponibilný výkon v kW vytvorený nevyhnutnými úpravami elektroenergetických zariadení v sústave prevádzkovateľa distribučnej sústavy, na základe žiadostí žiadateľov o pripojenie na napäťovej úrovni od 1 kV vrátane do 52 kV do distribučnej sústavy v roku t-1, ak neboli realizované pripojenia v miestnej distribučnej sústave v roku t-1, na výpočet sa použijú skutočné hodnoty celkového disponibilného výkonu v kilowattoch v roku t, |
| c) PMRK je maximálna rezervovaná kapacita žiadateľa o pripojenie v kW, |
| d) ko je koeficient spoluúčasti žiadateľa o pripojenie, ktorý je v hodnote 0,5. |
| (2) Maximálna cena za pripojenie CpVN určená podľa odseku 1 v eurách na kW na obdobie od 1. marca roku t do posledného dňa mesiaca február roku t+1 sa oznamuje úradu najneskôr do konca februára roku t. Výpočet maximálnej ceny za pripojenie CpVN v eurách na kW na obdobie od 1. marca roku t do posledného dňa mesiaca február roku t+1 sa prevádzkovateľom distribučnej sústavy predkladá úradu do konca februára roku t. Vo výpočte maximálnej ceny za pripojenie CpVN sa môžu znížiť vstupné parametre na zachovanie stability cien v prospech jednotlivých užívateľov sústavy. |
| (3) V roku t sa môže pri pripojení do miestnej distribučnej sústavy použiť maximálna cena CpVN za pripojenie odberateľa elektriny a prevádzkovateľa zariadenia na uskladňovanie elektriny pri pripojení do distribučnej sústavy na napäťovej úrovni od 1 kV vrátane do 52 kV prevádzkovateľa regionálnej distribučnej sústavy, do ktorej je miestna distribučná sústava pripojená. Cena za pripojenie na rok t sa zvyšuje v porovnaní s cenou za pripojenie na rok t-1 o index JPIt za obdobie od júla roku t-2 do júna roku t-1. |
| (4) Ak žiadateľ o pripojenie zariadenia na výrobu elektriny alebo zariadenia na uskladňovanie elektriny, do distribučnej sústavy na napäťovej úrovni od 1 kV vrátane do 52 kV, ktorého zariadenie na výrobu elektriny alebo zariadenia na uskladňovanie elektriny sa pripája do sústavy cez existujúce odberné miesto, cena za pripojenie tohto zariadenia na výrobu elektriny alebo zariadenia na uskladňovanie elektriny sa vypočíta podľa odseku 1 a hodnota maximálnej rezervovanej kapacity žiadateľa o pripojenie PMRK, na ktorú sa uplatňuje maximálna cena za pripojenie sa rovná rozdielu medzi požadovanou maximálnou rezervovanou kapacitou zariadenia na výrobu elektriny alebo zariadenia na uskladňovanie elektriny a hodnotou súčasnej maximálnej rezervovanej kapacity existujúceho odberného miesta. Ak požadovaná hodnota maximálnej rezervovanej kapacity zariadenia na výrobu elektriny alebo zariadenia na uskladňovanie elektriny je menšia alebo rovná hodnote doterajšej maximálnej rezervovanej kapacity existujúceho odberného miesta, hodnota maximálnej rezervovanej kapacity PMRK, na ktorú sa uplatňuje cena za pripojenie, je 0 MW. |
| (5) Ak sa zariadenie na výrobu elektriny výrobcu elektriny alebo zariadenie na uskladňovanie elektriny, ktoré dodáva elektrinu do miestnej distribučnej sústavy, pripája do miestnej distribučnej sústavy, ktorá je pripojená do regionálnej distribučnej sústavy priamo alebo prostredníctvom jednej alebo viacerých miestnych distribučných sústav, alebo sa mení maximálna rezervovaná kapacita existujúceho zariadenia na výrobu elektriny výrobcu elektriny pripojeného do miestnej distribučnej sústavy alebo maximálna rezervovaná kapacita existujúceho zariadenia na uskladňovanie elektriny pre dodávku elektriny do miestnej distribučnej sústavy, ktorá je pripojená do regionálnej distribučnej sústavy priamo alebo prostredníctvom jednej alebo viacerých miestnych distribučných sústav, prevádzkovateľ miestnej distribučnej sústavy a prevádzkovateľ regionálnej distribučnej sústavy, do ktorej je miestna distribučná sústava prevádzkovateľa miestnej distribučnej sústavy pripojená, môžu dohodnúť v zmluve o pripojení do regionálnej distribučnej sústavy medzi prevádzkovateľom miestnej distribučnej sústavy a prevádzkovateľom regionálnej distribučnej sústavy maximálnu rezervovanú kapacitu určenú podľa osobitného predpisu.36) Maximálna cena za pripojenie sa určuje podľa odseku 1. |
| (6) Pri uzatváraní zmluvy o pripojení do distribučnej sústavy na napäťovej úrovni od 1 kV vrátane do 52 kV pri zmene existujúceho užívateľa distribučnej sústavy bez zvýšenia maximálnej rezervovanej kapacity sa cena za pripojenie neúčtuje. Pri uzatváraní zmluvy o pripojení do distribučnej sústavy na napäťovej úrovni od 1 kV vrátane do 52 kV pri zmene existujúceho užívateľa distribučnej sústavy so zvýšením maximálnej rezervovanej kapacity sa cena za pripojenie uhrádza len za rozdiel medzi pôvodnou a požadovanou hodnotou maximálnej rezervovanej kapacity. |
| § 35 |
| (1) Maximálna cena za pripojenie odberného elektrického zariadenia odberateľa elektriny alebo odberného elektrického zariadenia a elektroenergetického zariadenia prevádzkovateľa zariadenia na uskladňovanie elektriny pri pripojení do distribučnej sústavy na napäťovej úrovni do 1 kV alebo pri zvýšení maximálnej rezervovanej kapacity v distribučnej sústave na napäťovej úrovni do 1 kV zohľadňuje hodnotu príkonu odberného elektrického zariadenia alebo elektroenergetického zariadenia, výšku investičných nákladov na výstavbu požadovaného elektroenergetického zariadenia prevádzkovateľa distribučnej sústavy a všetky nevyhnutné úpravy elektroenergetických zariadení v miestnej distribučnej sústave alebo v regionálnej distribučnej sústave a je určená pre amperickú hodnotu hlavného istiaceho prvku pred elektromerom cenovým rozhodnutím. Cena za pripojenie na rok t sa zvyšuje v porovnaní s cenou za pripojenie na rok t-1 o index JPIt za obdobie od júla roku t-2 do júna roku t-1. V roku t sa môžu pri pripojení do miestnej distribučnej sústavy použiť ceny za pripojenie odberateľa elektriny a prevádzkovateľa zariadenia na uskladňovanie elektriny pri pripojení do distribučnej sústavy na napäťovej úrovni do 1 kV prevádzkovateľa regionálnej distribučnej sústavy, do ktorej je miestna distribučná sústava pripojená. Ak prevádzkovateľ miestnej distribučnej sústavy nepoužije ceny podľa predchádzajúcej vety, maximálna cena za pripojenie CpNN odberateľa elektriny alebo prevádzkovateľa zariadenia na uskladňovanie elektriny pri pripojení do distribučnej sústavy na napäťovej úrovni do 1 kV alebo pri zvýšení maximálnej rezervovanej kapacity v distribučnej sústave na napäťovej úrovni do 1 kV na rok t sa určí alebo schváli na základe vlastného návrhu ceny prevádzkovateľa miestnej distribučnej sústavy. Maximálna cena za pripojenie CpNN odberateľa elektriny alebo prevádzkovateľa zariadenia na uskladňovanie elektriny pri pripojení do distribučnej sústavy prevádzkovateľa miestnej distribučnej sústavy do 1 kV alebo pri zvýšení maximálnej rezervovanej kapacity v distribučnej sústave prevádzkovateľa miestnej distribučnej sústavy na napäťovej úrovni do 1 kV sa vypočíta podľa vzorca |
| , |
| kde |
| a) NNN sú celkové reálne vynaložené investičné náklady prevádzkovateľa distribučnej sústavy súvisiace s pripojením žiadateľov na napäťovej úrovni do 1 kV ku dňu predloženia návrhu ceny v eurách, |
| b) PD je celkový disponibilný výkon v kW vytvorený nevyhnutnými úpravami elektroenergetických zariadení v sústave prevádzkovateľa distribučnej sústavy na základe žiadostí žiadateľov o pripojenie na napäťovej úrovni do 1 kV do distribučnej sústavy, |
| c) PMRK je maximálna rezervovaná kapacita žiadateľa o pripojenie v kW, |
| d) ko je koeficient spoluúčasti žiadateľa o pripojenie, ktorý je v hodnota 0,5. |
| (2) Vo výpočte maximálnej ceny za pripojenie CpNN sa môžu znížiť vstupné parametre na zachovanie stability cien v prospech jednotlivých užívateľov sústavy. |
| (3) Cena za pripojenie zariadenia na výrobu elektriny alebo zariadenia na uskladňovanie elektriny bez existujúceho odberného miesta sa vypočíta podľa odseku 1. |
| (4) Ak žiadateľ o pripojenie zariadenia na výrobu elektriny alebo zariadenia na uskladňovanie elektriny, do distribučnej sústavy na napäťovej úrovni do 1 kV, ktorého zariadenie na výrobu elektriny alebo zariadenie na uskladňovanie elektriny sa pripája do sústavy cez existujúce odberné miesto, cena za pripojenie tohto zariadenia na výrobu elektriny alebo zariadenia na uskladňovanie elektriny sa vypočíta podľa odseku 1 a hodnota maximálnej rezervovanej kapacity žiadateľa o pripojenie PMRK, na ktorú sa uplatňuje maximálna cena za pripojenie sa rovná rozdielu medzi požadovanou maximálnou rezervovanou kapacitou zariadenia na výrobu elektriny alebo zariadenia na uskladňovanie elektriny a hodnotou doterajšej maximálnej rezervovanej kapacity existujúceho odberného miesta. Ak požadovaná hodnota maximálnej rezervovanej kapacity zariadenia na výrobu elektriny alebo zariadenia na uskladňovanie elektriny je menšia alebo rovná hodnote súčasnej maximálnej rezervovanej kapacity existujúceho odberného miesta, hodnota maximálnej rezervovanej kapacity PMRK, na ktorú sa uplatňuje cena za pripojenie, je nula. |
| (5) Ak sa zariadenie na výrobu elektriny výrobcu elektriny alebo zariadenie na uskladňovanie elektriny, ktoré dodáva elektrinu do miestnej distribučnej sústavy, pripája do miestnej distribučnej sústavy, ktorá je pripojená do regionálnej distribučnej sústavy priamo alebo prostredníctvom jednej alebo viacerých miestnych distribučných sústav, alebo sa mení maximálna rezervovaná kapacita existujúceho zariadenia na výrobu elektriny výrobcu elektriny pripojeného do miestnej distribučnej sústavy alebo maximálna rezervovaná kapacita existujúceho zariadenia na uskladňovanie elektriny pre dodávku elektriny do miestnej distribučnej sústavy, ktorá je pripojená do regionálnej distribučnej sústavy priamo alebo prostredníctvom jednej alebo viacerých miestnych distribučných sústav, prevádzkovateľ miestnej distribučnej sústavy a prevádzkovateľ regionálnej distribučnej sústavy, do ktorej je miestna distribučná sústava prevádzkovateľa miestnej distribučnej sústavy pripojená, môžu dohodnúť v zmluve o pripojení do regionálnej distribučnej sústavy medzi prevádzkovateľom miestnej distribučnej sústavy a prevádzkovateľom regionálnej distribučnej sústavy maximálnu rezervovanú kapacitu určenú podľa osobitného predpisu.36) Maximálna cena za pripojenie sa určuje vo výške určenej podľa cenového rozhodnutia pre prevádzkovateľa regionálnej distribučnej sústavy na rok t podľa odseku 1. Ak požadovaná hodnota maximálnej rezervovanej kapacity zariadenia na výrobu elektriny alebo zariadenia na uskladňovanie elektriny je menšia alebo rovná hodnote súčasnej maximálnej rezervovanej kapacity existujúceho odberného miesta, hodnota maximálnej rezervovanej kapacity PMRK, na ktorú sa uplatňuje cena za pripojenie, je nula. |
| (6) Pri uzatváraní zmluvy o pripojení do distribučnej sústavy na napäťovej úrovni do 1 kV pri zmene existujúceho užívateľa distribučnej sústavy bez navýšenia maximálnej rezervovanej kapacity sa cena za pripojenie neúčtuje, ak nový užívateľ distribučnej sústavy doručí prevádzkovateľovi distribučnej sústavy úplnú žiadosť o pripojenie, vrátane EIC kódu predchádzajúceho odberného miesta, do 24 mesiacov od zániku zmluvy o pripojení do distribučnej sústavy uzatvorenej s predchádzajúcim užívateľom distribučnej sústavy, ak zmluva o pripojení zanikla z podnetu predchádzajúceho užívateľa distribučnej sústavy. |
| (7) Pri uzatváraní zmluvy o pripojení do distribučnej sústavy na napäťovej úrovni do 1 kV pri zmene existujúceho užívateľa distribučnej sústavy so zvýšením maximálnej rezervovanej kapacity sa cena za pripojenie uhrádza len za tú časť maximálnej rezervovanej kapacity, ktorá je rozdielom medzi pôvodnou a požadovanou maximálnou rezervovanou kapacitou, ak nový užívateľ distribučnej sústavy doručí prevádzkovateľovi distribučnej sústavy úplnú žiadosť o pripojenie, vrátane EIC kódu predchádzajúceho odberného miesta, do 24 mesiacov od zániku zmluvy o pripojení do distribučnej sústavy uzatvorenej s predchádzajúcim užívateľom, z podnetu užívateľa distribučnej sústavy. |
| (8) Ak nový užívateľ distribučnej sústavy, s ktorým prevádzkovateľ distribučnej sústavy uzatvára zmluvu o pripojení podľa odsekov 6 a 7, doručí prevádzkovateľovi distribučnej sústavy úplnú žiadosť o pripojenie, vrátane EIC kódu predchádzajúceho odberného miesta, po uplynutí 24 mesiacov od zániku zmluvy o pripojení do distribučnej sústavy uzatvorenej s predchádzajúcim užívateľom distribučnej sústavy, alebo ak zmluva o pripojení do distribučnej sústavy uzatvorená s predchádzajúcim užívateľom distribučnej sústavy zanikne z podnetu prevádzkovateľa distribučnej sústavy z dôvodu neoprávneného odberu elektriny zo sústavy, neoprávnenej dodávky elektriny do sústavy, porušenia technických podmienok pripojenia do distribučnej sústavy alebo z dôvodov ustanovených v osobitnom predpise, cena za pripojenie sa uhrádza za celú maximálnu rezervovanú kapacitu požadovanú novým užívateľom distribučnej sústavy. |
| § 36 |
| (1) Ak správca bytového domu alebo spoločenstvo vlastníkov bytov a nebytových priestorov priamo prevádzkovateľovi distribučnej sústavy alebo prostredníctvom dodávateľa elektriny vyhlási, že užívanie spoločných častí a spoločných zariadení bytového domu je spojené výlučne s užívaním bytov, nebytových priestorov alebo spoločných častí a spoločných zariadení len zraniteľnými odberateľmi elektriny v domácnosti, distribúcia elektriny a dodávka elektriny do odberných miest spoločných častí a spoločných zariadení bytového domu sa považuje za distribúciu elektriny pre domácnosti a dodávku elektriny pre zraniteľných odberateľov elektriny v domácnosti; rovnako sa postupuje aj v bytovom dome, v ktorom sa nachádzajú telekomunikačné zariadenia poskytovateľov elektronických komunikačných služieb poskytujúcich služby výlučne pre užívateľov bytového domu alebo technologické zariadenia na výrobu tepla. |
| (2) Ak je časť nebytového priestoru alebo časť spoločných častí a spoločných zariadení bytového domu využívaná na podnikanie, pre ostatné časti spoločných častí a spoločných zariadení bytového domu sa priznáva sadzba pre domácnosti, ak časť nebytového priestoru alebo časť spoločných častí a spoločných zariadení bytového domu využívaná na podnikanie tvorí odberné miesto priamo pripojené do distribučnej sústavy, ktoré je vybavené určeným meradlom a s uzavretou samostatnou zmluvou o dodávke elektriny alebo združenej dodávke elektriny. |
| § 37 |
| Cenová regulácia dodávky elektriny zraniteľným odberateľom elektriny v domácnosti a postup a podmienky uplatňovania cien |
| (1) Cenová regulácia podľa odsekov 2 až 5 a § 38 sa vzťahuje na dodávateľa elektriny, ktorý dodáva elektrinu zraniteľným odberateľom elektriny v domácnosti v roku t. |
| (2) Súčasťou návrhu ceny sú |
| a) ceny a sadzby za dodávku elektriny vrátane ich štruktúry na rok t, ktoré sa budú uplatňovať pre zraniteľných odberateľov elektriny v domácnosti vrátane podmienok ich pridelenia a podmienok uplatnenia cien a sadzieb, |
| b) údaje nevyhnutné na preverenie cien na rok t, t-1 a za rok t-2, najmä predpokladaný a skutočný objem dodávky elektriny, počet odberných miest v členení podľa jednotlivých sadzieb, |
| c) plán investícií a plán odpisov za regulovanú činnosť v rokoch t, t+1 a t+2, |
| d) výpočty a údaje vzťahujúce sa k výpočtu maximálnej ceny za dodávku elektriny pre zraniteľných odberateľov elektriny v domácnosti podľa § 38, |
| e) podklady podľa prílohy č. 12, |
| f) ďalšie podklady nevyhnutné na správne posúdenie návrhu ceny. |
| (3) Návrh ceny sa predkladá v listinnej podobe alebo v elektronickej podobe elektronickým podaním do elektronickej schránky, pričom podklady podľa odseku 2 písm. a), b), d) a e) sa predkladajú vo formáte, ktorý zachováva úplnú funkčnosť tabuľkového editora. |
| (4) Za dodávku elektriny zraniteľným odberateľom elektriny v domácnosti sa pre jednotlivé odberné miesta uplatní najviac deväť sadzieb, a to |
| a) DD1 je jednopásmová sadzba s nižšou spotrebou elektriny, |
| b) DD2 je jednopásmová sadzba s vyššou spotrebou elektriny, |
| c) DD3 je dvojpásmová sadzba, pričom nízke pásmo sa poskytuje minimálne osem hodín denne s fixne určeným časom prevádzky v nízkom pásme v nepretržitom trvaní aspoň tri hodiny a blokovanie elektrických spotrebičov sa nevyžaduje, |
| d) DD4 je dvojpásmová sadzba, pričom nízke pásmo sa poskytuje minimálne osem hodín denne s blokovaním akumulačných elektrických spotrebičov v čase vysokého pásma; sadzba DD4 sa môže použiť aj pre odberné miesto s nabíjacou stanicou elektrických vozidiel, |
| e) DD5 je dvojpásmová sadzba pre priamovýhrevné elektrické vykurovanie, pričom nízke pásmo sa poskytuje minimálne 20 hodín denne s blokovaním priamovýhrevných elektrických spotrebičov v čase vysokého pásma; sadzba DD5 sa môže použiť aj pre odberné miesto s nabíjacou stanicou elektrických vozidiel, |
| f) DD6 je dvojpásmová sadzba pre tepelné čerpadlo, pričom nízke pásmo sa poskytuje minimálne 22 hodín denne s blokovaním elektrických spotrebičov na vykurovanie v čase vysokého pásma; sadzba DD6 sa môže použiť aj pre odberné miesto s nabíjacou stanicou elektrických vozidiel, |
| g) DD7 je dvojpásmová sadzba, pričom nízke pásmo sa poskytuje celoročne od piatka 15:00 hodiny do pondelka 6:00 hodiny a blokovanie elektrických spotrebičov sa nevyžaduje, |
| h) DD8 je dvojpásmová sadzba, pričom nízke pásmo sa poskytuje minimálne osem hodín denne s blokovaním akumulačných spotrebičov elektriny v čase vysokého pásma s určeným minimálnym inštalovaným výkonom akumulačných spotrebičov, |
| i) DD9 je dynamická sadzba pre odberné miesto s nainštalovaným inteligentným meracím systémom na základe údajov denného trhu v hodinových intervaloch zverejnených spoločnosťou OKTE, a.s. na svojom webovom sídle. |
| (5) Ceny za dodávku elektriny pre zraniteľných odberateľov elektriny v domácnosti v jednotlivých zložkách sadzieb sú maximálnymi cenami. Dynamická sadzba je zložená z mesačnej platby za jedno odberné miesto NDOt podľa § 38 ods. 7 a z ceny elektriny. Ceny elektriny pri dynamickej sadzbe pre odberné miesto s nainštalovaným inteligentným meracím systémom sa dodávateľom elektriny uplatňujú tak, aby vážený priemer cien za elektrinu v jednotlivých pásmach na jednotku množstva elektriny neprekročil vo vyúčtovaní za dodávku elektriny maximálnu cenu za dodávku elektriny vypočítanú ako súčet maximálnej ceny elektriny podľa § 38 ods. 1 a najvyššej miery primeraného zisku podľa § 38 ods. 6. |
| § 38 |
| (1) Maximálna cena za elektrinu CEt na účely dodávky elektriny pre zraniteľných odberateľov elektriny v domácnosti na jednotku množstva elektriny na rok t sa vypočíta podľa vzorca
|
| , |
| kde |
| a) CKt je referenčná cena elektriny na rok t, pričom |
| 1. na rok t = 2025 sa určuje vo výške 61 eur/MWh, |
| 2. na rok t = 2026 a nasledujúce roky sa vypočíta podľa vzorca |
| CKt = CK2025 × kckt, |
| kde |
| 2a. CK2025 je referenčná cena elektriny určená pre rok 2025 vo výške 61 eur/MWh, |
| 2b. kckt je koeficient zmeny ceny elektriny určený úradom, ktorý sa zverejní na webovom sídle úradu do 31. júla roku t-1, ak absolútna hodnota percentuálnej zmeny ceny elektriny CPXE za obdobie od 1. januára do 30. júna v rokoch t-2 a t-1 vypočítaných ako aritmetický priemer denných cien zverejnených burzou PXE (POWER EXCHANGE CENTRAL EUROPE) na jej webovom sídle, v časti EEX – PXE Slovakian Power Futures, produktu Baseload, Year, Settlement Price Cal-t v eurách na jednotku množstva elektriny, presiahne rozdiel 20 %; hodnota kckt sa uplatní na rok t ak je absolútna hodnota percentuálnej zmeny ceny elektriny CPXE za obdobie od 1. januára do 30. júna v rokoch t-2 a t-1 vypočítaných ako aritmetický priemer denných cien zverejnených burzou PXE (POWER EXCHANGE CENTRAL EUROPE) na jej webovom sídle, v časti EEX – PXE Slovakian Power Futures, produktu Baseload, Year, Settlement Price Cal-t v eurách na jednotku množstva elektriny od poslednej uplatnenej korekcie koeficientu kckt kumulatívne väčšia ako 20 %; ak absolútna hodnota percentuálnej zmeny ceny elektriny CPXE nepresiahne 20 % alebo kumulatívne 20 % pre rok t, kckt sa rovná hodnote koeficientu kckt naposledy zverejnenej úradom na webovom sídle úradu, alebo 1, ak dovtedy koeficient nebol zverejnený, |
| b) kt je koeficient na rok t v percentách zohľadňujúci diagram dodávky elektriny pre zraniteľných odberateľov elektriny v domácnosti v rozsahu najviac 8 %, |
| c) Ot sú určené náklady na odchýlku súvisiace s dodávkou elektriny zraniteľným odberateľom elektriny v domácnostiach v eurách na jednotku množstva elektriny v roku t vo výške 80 % z priemeru nákladov na odchýlku prevádzkovateľov regionálnych distribučných sústav vypočítanej podľa prílohy č. 7, najviac však 5,21 eura/MWh. |
| (2) Jednopásmové sadzby podľa § 37 ods. 4 sú zložené z |
| a) mesačnej platby za jedno odberné miesto NDOt podľa odseku 7, |
| b) ceny za elektrinu CEDi v eurách na jednotku množstva elektriny, ktorá sa vypočíta podľa vzorca |
| CEDi = KJPDi × CEt + PZt, |
| kde |
| 1. KJPDi je koeficient ceny jednopásmového odberu elektriny určený podľa odseku 4, |
| 2. CEt je cena elektriny určená podľa odseku 1, |
| 3. PZt je primeraný zisk v roku t v eurách na jednotku množstva elektriny určený podľa odseku 6, ktorý je možné zahrnúť do ceny, |
| 4. i je číselný znak jednopásmovej sadzby. |
| (3) Dvojpásmové sadzby podľa § 37 ods. 4 sú zložené z |
| a) mesačnej platby za jedno odberné miesto NDOt podľa odseku 7, |
| b) ceny za elektrinu CEVTDi v eurách na jednotku množstva elektriny odobranej vo vysokom pásme, ktorá sa vypočíta podľa vzorca |
| CEVTDi = KVTDi × CEt + PZt, |
| kde |
| 1. KVTDi je koeficient ceny odberu elektriny vo vysokom pásme určený podľa odseku 4, |
| 2. CEt je cena elektriny určená podľa odseku 1, |
| 3. PZt je primeraný zisk v roku t v eurách na jednotku množstva elektriny určený podľa odseku 6, ktorý je možné zahrnúť do ceny, |
| 4. i je číselný znak dvojpásmovej sadzby, |
| c) ceny za elektrinu CENTDi v eurách na jednotku množstva elektriny odobranej v nízkom pásme, ktorá sa vypočíta podľa vzorca |
| CENTDi = KNTDi × CEt + PZt, |
| kde |
| 1. KNTDi je koeficient ceny odberu elektriny v nízkom pásme určený podľa odseku 4, |
| 2. CEt je cena elektriny určená podľa odseku 1, |
| 3. PZt je primeraný zisk v roku t v eurách na jednotku množstva elektriny určený podľa odseku 6, ktorý je možné zahrnúť do ceny, |
| 4. i je číselný znak dvojpásmovej sadzby. |
| (4) Koeficienty ceny jednopásmového odberu elektriny KJPDi, koeficienty ceny odberu elektriny vo vysokom pásme KVTDi a koeficienty ceny odberu elektriny v nízkom pásme KNTDi sa uvedú v návrhu ceny regulovaného subjektu tak, aby vážený priemer cien elektriny bez primeraného zisku PZt všetkých sadzieb bol najviac vo výške rovnajúcej sa CEt podľa odseku 1, pričom pre koeficienty KVTDi a KNTDi platí, že hodnota koeficientu KVTDi je vyššia o viac ako 20 % v porovnaní s hodnotou koeficientu KNTDi. |
| (5) K sadzbám za dodávku elektriny pre zraniteľných odberateľov elektriny v domácnosti sa dodávateľom elektriny pripočíta cena za distribúciu elektriny vrátane prenosu elektriny a strát elektriny pri prenose a cena za straty elektriny pri distribúcii elektriny podľa cenového rozhodnutia, ktorým boli schválené alebo určené ceny za prístup do distribučnej sústavy a distribúciu elektriny pre prevádzkovateľa distribučnej sústavy, do ktorej je odberné miesto zraniteľného odberateľa elektriny v domácnosti pripojené, tarifa za systémové služby a tarifa za prevádzkovanie systému. |
| (6) Na určenie primeraného zisku pri dodávke elektriny pre zraniteľných odberateľov elektriny v domácnosti, ktorý je možné zahrnúť do ceny za dodávku elektriny pre zraniteľných odberateľov elektriny v domácnosti, sa použije nižšia z hodnôt 3 eurá/MWh alebo 8 % z ceny elektriny CEt určenej podľa odseku 1. |
| (7) Náklady na dodávku elektriny na jedno odberné miesto za mesiac NDOt, ktoré možno zahrnúť do sadzieb za dodávku elektriny pre zraniteľných odberateľov elektriny v domácnosti sa vypočítajú podľa vzorca |
| 
|
| kde |
| a) NDOt-1 sú náklady na dodávku elektriny na jedno odberné miesto za mesiac, ktoré možno zahrnúť do sadzieb za dodávku elektriny pre zraniteľných odberateľov elektriny v domácnosti v roku t-1, najviac vo výške 1,50 eura na jedno odberné miesto a mesiac, |
| b) JPIn je aritmetický priemer zverejnených hodnôt ukazovateľa „Jadrová inflácia“ za obdobie od 1.januára roka t-1 do 30. júna roka t-1 uvedených na webovom sídle Štatistického úradu Slovenskej republiky – http://datacube.statistics.sk v priečinku „Makroekonomické štatistiky“ v sekcii „Spotrebiteľské ceny a ceny produkčných štatistík“ v časti „Indexy spotrebiteľských cien (inflácia)“ v časti „Jadrová a čistá inflácia“ v priečinku „Jadrová a čistá inflácia – oproti rovnakému obdobiu minulého roku v percentách – mesačne [sp0008ms]“, |
| c) X je faktor efektivity, ktorého hodnota v každom roku regulačného obdobia je 3,0 %, pričom ak je hodnota rozdielu JPIn a X nižšia ako 0, na účely výpočtu maximálnej ceny za dodávku elektriny zraniteľným odberateľom v domácnosti na rok t sa hodnota rozdielu JPIn a X rovná 0. |
| § 39 |
| Cenová regulácia dodávky elektriny zraniteľným odberateľom okrem zraniteľných odberateľov elektriny v domácnosti a postup a podmienky uplatňovania cien |
| (1) Cenová regulácia podľa odsekov 2 až 5 a § 40 sa vzťahuje na dodávateľa elektriny, ktorý dodáva elektrinu zraniteľným odberateľom elektriny okrem zraniteľných odberateľov elektriny v domácnosti v roku t. |
| (2) Súčasťou návrhu ceny sú |
| a) ceny a sadzby za dodávku elektriny vrátane ich štruktúry na rok t, ktoré sa budú uplatňovať pre zraniteľných odberateľov elektriny okrem zraniteľných odberateľov elektriny v domácnosti vrátane podmienok ich pridelenia a podmienok uplatnenia cien a sadzieb, |
| b) údaje nevyhnutné na preverenie cien na rok t, t-1 a za rok t-2, najmä predpokladaný a skutočný objem dodávky elektriny zraniteľným odberateľom elektriny okrem zraniteľných odberateľov elektriny v domácnosti, počet odberných miest v členení podľa jednotlivých sadzieb, |
| c) plán investícií a plán odpisov za regulovanú činnosť v rokoch t, t+1 a t+2, |
| d) výpočty a údaje podľa § 40 týkajúce sa dodávky elektriny zraniteľným odberateľom elektriny okrem zraniteľných odberateľov elektriny v domácnosti, |
| e) podklady podľa prílohy č. 13, |
| f) ďalšie podklady nevyhnutné na správne posúdenie návrhu ceny. |
| (3) Návrh ceny sa predkladá v listinnej podobe alebo v elektronickej podobe elektronickým podaním do elektronickej schránky, pričom podklady podľa odseku 2 písm. a), b), d) a e) sa predkladajú vo formáte, ktorý zachováva úplnú funkčnosť tabuľkového editora. |
| (4) V návrhu ceny pre zraniteľných odberateľov elektriny okrem zraniteľných odberateľov elektriny v domácnosti sa uvedú osobitne skupiny zraniteľných odberateľov elektriny okrem zraniteľných odberateľov elektriny v domácnosti v členení podľa § 2 písm. k) tretieho, piateho a ôsmeho bodu zákona o regulácii. |
| (5) Za dodávku elektriny zraniteľným odberateľom okrem zraniteľných odberateľov elektriny v domácnosti sa pre jednotlivé odberné miesta uplatní najviac dvanásť sadzieb, a to |
| a) DMP1 je jednopásmová sadzba s nižšou spotrebou elektriny, |
| b) DMP2 je jednopásmová sadzba so strednou spotrebou elektriny, |
| c) DMP3 je jednopásmová sadzba s vyššou spotrebou elektriny, |
| d) DMP4 je dvojpásmová sadzba s nižšou spotrebou elektriny; nízke pásmo sa poskytuje minimálne osem hodín denne, sadzba DMP4 sa použije aj pre odberné miesto s nabíjacou stanicou elektrických vozidiel, |
| e) DMP5 je dvojpásmová sadzba so strednou spotrebou elektriny; nízke pásmo sa poskytuje minimálne osem hodín denne, sadzba DMP5 sa použije aj pre odberné miesto s nabíjacou stanicou elektrických vozidiel, |
| f) DMP6 je dvojpásmová sadzba s vyššou spotrebou elektriny; nízke pásmo sa poskytuje minimálne osem hodín denne, sadzba DMP6 sa použije aj pre odberné miesto s nabíjacou stanicou elektrických vozidiel, |
| g) DMP7 je dvojpásmová sadzba, pričom nízke pásmo sa poskytuje minimálne 20 hodín denne s blokovaním priamo výhrevných elektrických spotrebičov v čase vysokého pásma; sadzba DMP7 sa použije aj pre odberné miesto s nabíjacou stanicou elektrických vozidiel, |
| h) DMP8 je dvojpásmová sadzba pre tepelné čerpadlo, pričom nízke pásmo sa poskytuje minimálne 20 hodín denne s blokovaním výhrevných elektrických spotrebičov v čase vysokého pásma; sadzba DMP8 sa použije aj pre odberné miesto s nabíjacou stanicou elektrických vozidiel, |
| i) DMP9 je sadzba pre nemerané odbery elektriny, |
| j) DMP10 je sadzba pre verejné osvetlenie, |
| k) DMP11 je sadzba pre dočasné odbery elektriny, |
| l) DMP12 je viacpásmová sadzba pre odberné miesto s nainštalovaným inteligentným meracím systémom. |
| (6) Ceny za dodávku elektriny pre zraniteľných odberateľov elektriny okrem zraniteľných odberateľov elektriny v domácnosti v jednotlivých zložkách sadzieb sú maximálnymi cenami. Dynamická sadzba je zložená z mesačnej platby za jedno odberné miesto NDMDt podľa § 40 ods. 8 a z ceny elektriny. Ceny elektriny pri dynamickej sadzbe pre odberné miesto s nainštalovaným inteligentným meracím systémom sa dodávateľom elektriny uplatňujú tak, aby vážený priemer cien za elektrinu v jednotlivých pásmach na jednotku množstva elektriny neprekročil vo vyúčtovaní za dodávku elektriny maximálnu cenu za dodávku elektriny vypočítanú ako súčet maximálnej ceny elektriny podľa § 40 ods. 1 a najvyššej miery primeraného zisku podľa § 40 ods. 5. |
| (7) Pri dodávke elektriny zraniteľným odberateľom elektriny okrem zraniteľných odberateľov elektriny v domácnosti sa dodávateľom elektriny pre jednotlivé odberné miesta uplatní vhodná sadzba, ktorá zodpovedá charakteru odberu daného odberného miesta, zohľadňujúca účel odberu elektriny zraniteľnými odberateľmi elektriny okrem zraniteľných odberateľov elektriny v domácnosti a je v súlade s distribučnými sadzbami uplatňovanými prevádzkovateľom distribučnej sústavy, do ktorej je dané odberné miesto pripojené. |
| § 40 |
| (1) Maximálna cena za elektrinu CEMDt na účely dodávky elektriny zraniteľným odberateľom elektriny okrem zraniteľných odberateľov elektriny v domácnosti na jednotku množstva elektriny na rok t sa vypočíta podľa vzorca |
| , |
| kde |
| a) CEPXE,t je aritmetický priemer denných cien zverejnených burzou PXE (POWER EXCHANGE CENTRAL EUROPE) na jej webovom sídle, v časti EEX – PXE Slovakian Power Futures, produktu Baseload, Year Settlement Price Cal-t v eurách na jednotku množstva elektriny a |
| 1. na rok 2025 sa vypočíta podľa vzorca, |
| CEPXE,t = 0,5 × CEPXE,t–2 + 0,5 × CEPXEt–1, |
| kde |
| 1a. CEPXE,t-2 je aritmetický priemer denných cien zverejnených burzou PXE (POWER EXCHANGE CENTRAL EUROPE) na jej webovom sídle, v časti EEX – PXE Slovakian Power Futures, produktu Baseload, Year, Settlement Price Cal-t v eurách na jednotku množstva elektriny za obdobie od 1. októbra roku t-2 do 31. marca roku t-1 okrem posledných dvoch dní roku t-2, v ktorých sa obchoduje na burze, |
| 1b. CEPXE,t-1 je aritmetický priemer denných cien zverejnených burzou PXE (POWER EXCHANGE CENTRAL EUROPE) na jej webovom sídle, v časti EEX – PXE Slovakian Power Futures, produktu Baseload, Year, Settlement Price Cal-t v eurách na jednotku množstva elektriny za obdobie od 1. apríla roku t-1 do 30. júna roku t-1, |
| 2. na rok 2026 a nasledujúce roky za obdobie od 1. januára roku t-1 do 30. júna roku t-1, |
| b) kt je koeficient na rok t v percentách zohľadňujúci diagram dodávky elektriny pre zraniteľných odberateľov elektriny okrem zraniteľných odberateľov elektriny v domácnosti v rozsahu najviac 8 %, |
| c) Ot sú určené náklady regulovaného subjektu na odchýlku súvisiace s dodávkou elektriny zraniteľným odberateľom elektriny okrem zraniteľných odberateľov elektriny v domácnosti v eurách na jednotku množstva elektriny v roku t vo výške 80 % z priemeru nákladov na odchýlku prevádzkovateľov regionálnych distribučných sústav vypočítanej podľa prílohy č. 7, najviac však 5,21 eura/MWh. |
| (2) Jednopásmové sadzby podľa § 39 ods. 5 sú zložené z |
| a) mesačnej platby za jedno odberné miesto NDMDt podľa odseku 8, |
| b) ceny za elektrinu CEMDi v eurách na jednotku množstva elektriny, ktorá sa vypočíta podľa vzorca |
| , |
| kde |
| 1. KJPMDi je koeficient ceny jednopásmového odberu elektriny určený podľa odseku 4, |
| 2. CEMDt je cena elektriny určená podľa odseku 1, |
| 3. PZt je primeraný zisk v roku t v eurách na jednotku množstva elektriny dodanej zraniteľnému odberateľovi elektriny okrem zraniteľného odberateľa elektriny v domácnosti určený podľa odseku 5, |
| 4. i je číselný znak jednopásmovej sadzby. |
| (3) Dvojpásmové sadzby podľa § 39 ods. 5 sú zložené z |
| a) mesačnej platby za jedno odberné miesto NDMDt podľa odseku 8, |
| b) ceny za elektrinu CEVTMDi v eurách na jednotku množstva elektriny odobranej vo vysokom pásme, ktorá sa vypočíta podľa vzorca |
| , |
| kde |
| 1. KVTMDi je koeficient ceny odberu elektriny vo vysokom pásme určený podľa odseku 4, |
| 2. CEMDt je cena elektriny určená podľa odseku 1, |
| 3. PZt je primeraný zisk v roku t v eurách na jednotku množstva elektriny dodanej zraniteľnému odberateľovi elektriny okrem zraniteľného odberateľa elektriny v domácnosti určený podľa odseku 5, |
| 4. i je číselný znak dvojpásmovej sadzby, |
| c) ceny za elektrinu CENTMDi v eurách na jednotku množstva elektriny odobranej v nízkom pásme, ktorá sa vypočíta podľa vzorca |
| , |
| kde |
| 1. KNTMDi je koeficient ceny odberu elektriny v nízkom pásme určený podľa odseku 4, |
| 2. CEMDt je cena elektriny určená podľa odseku 1, |
| 3. PZt je primeraný zisk v roku t v eurách na jednotku množstva elektriny dodanej zraniteľnému odberateľovi elektriny okrem zraniteľného odberateľa elektriny v domácnosti určený podľa odseku 5, |
| 4. i je číselný znak dvojpásmovej sadzby. |
| (4) Koeficienty ceny jednopásmového odberu elektriny KJPMDi, koeficienty ceny odberu elektriny vo vysokom pásme KVTMDi a koeficienty ceny odberu elektriny v nízkom pásme KNTMDi sa určia v návrhu ceny regulovaného subjektu tak, aby vážený priemer cien elektriny bez primeraného zisku PZt všetkých sadzieb bol najviac vo výške rovnajúcej sa CEMDt podľa odseku 1, pričom pre koeficienty KVTMDi a KNTMDi platí, že hodnota koeficientu KVTMDi je vyššia o viac ako 20 % v porovnaní s hodnotou koeficientu KNTMDi. |
| (5) Na určenie najvyššej miery primeraného zisku pri dodávke elektriny pre zraniteľných odberateľov elektriny okrem zraniteľných odberateľov elektriny v domácnosti, ktorý je možné zahrnúť do ceny za dodávku elektriny pre zraniteľných odberateľov elektriny okrem zraniteľných odberateľov elektriny v domácnosti, sa použije nižšia z hodnôt 8 eur/MWh alebo 16 % z ceny elektriny CEMDt určenej podľa odseku 1. |
| (6) K sadzbám za dodávku elektriny zraniteľným odberateľom elektriny okrem zraniteľných odberateľov elektriny v domácnosti sa dodávateľom elektriny pripočíta cena za distribúciu elektriny vrátane prenosu elektriny a strát elektriny pri prenose a cena za straty elektriny pri distribúcii elektriny podľa cenového rozhodnutia, ktorým boli schválené alebo určené ceny za prístup do distribučnej sústavy a distribúciu elektriny pre prevádzkovateľa distribučnej sústavy, do ktorej je odberné miesto zraniteľného odberateľa elektriny okrem zraniteľného odberateľa elektriny v domácnosti pripojené, tarifa za systémové služby a tarifa za prevádzkovanie systému. |
| (7) Ak sa preukáže neočakávaný výrazný nárast zraniteľných odberateľov elektriny okrem zraniteľných odberateľov elektriny v domácnosti, ktorým dodáva elektrinu dodávateľ elektriny, v poslednom štvrťroku roku t-1, v cenovom konaní o dodávke elektriny na rok t sa primeraným spôsobom zohľadní rozdiel nákladov na nákup elektriny prislúchajúcich k cene CEPXE,t podľa odseku 1 a preukázanými nákladmi vynaloženými dodávateľom elektriny na nákup elektriny na zabezpečenie dodávky elektriny pre nových zraniteľných odberateľov elektriny okrem zraniteľných odberateľov elektriny v domácnosti. |
| (8) Náklady na dodávku elektriny na jedno odberné miesto za mesiac NDMDt, ktoré možno zahrnúť do sadzieb za dodávku elektriny pre zraniteľných odberateľov elektriny okrem zraniteľných odberateľov elektriny v domácnosti sa vypočítajú podľa vzorca |
| 
|
| kde |
| a) NDMDt-1 sú náklady na dodávku elektriny na jedno odberné miesto za mesiac, ktoré možno zahrnúť do sadzieb za dodávku elektriny pre zraniteľných odberateľov elektriny okrem zraniteľných odberateľov elektriny v domácnosti v roku t-1, pričom určená výška NDMDt-1 na rok 2024 je najviac 1,50 eura na jedno odberné miesto a mesiac, |
| b) JPIn je aritmetický priemer zverejnených hodnôt ukazovateľa „Jadrová inflácia“ za obdobie od 1. januára roka t-1 do 30. júna roka t-1 uvedených na webovom sídle Štatistického úradu Slovenskej republiky – http://datacube.statistics.sk v priečinku „Makroekonomické štatistiky“ v sekcii „Spotrebiteľské ceny a ceny produkčných štatistík“ v časti „Indexy spotrebiteľských cien (inflácia)“ v časti „Jadrová a čistá inflácia“ v priečinku „Jadrová a čistá inflácia – oproti rovnakému obdobiu minulého roku v percentách – mesačne [sp0008ms]“, |
| c) X je faktor efektivity, ktorého hodnota v každom roku regulačného obdobia je 3,0 %, pričom ak je hodnota rozdielu JPIn a X nižšia ako 0, na účely výpočtu maximálnej ceny za dodávku elektriny zraniteľným odberateľom v domácnosti na rok t sa hodnota rozdielu JPIn a X rovná 0. |
| § 41 |
| Cenová regulácia dodávky elektriny dodávateľom poslednej inštancie a postup a podmienky uplatňovania cien |
| (1) Cenová regulácia dodávky elektriny dodávateľom poslednej inštancie sa vzťahuje na dodávku elektriny uskutočnenú dodávateľom poslednej inštancie podľa osobitného predpisu38) do odberných miest koncových odberateľov elektriny. |
| (2) Súčasťou návrhu ceny sú |
| a) návrh sadzieb za dodávku elektriny dodávateľom poslednej inštancie vrátane ich štruktúry, ktoré sa budú uplatňovať pre odberateľov elektriny vrátane podmienok ich pridelenia a podmienok uplatnenia cien, |
| b) výpočty a údaje podľa § 42 týkajúce sa dodávky elektriny dodávateľom poslednej inštancie, |
| c) ďalšie podklady nevyhnutné na správne posúdenie návrhu ceny. |
| (3) Návrh ceny sa predkladá v listinnej podobe alebo v elektronickej podobe elektronickým podaním do elektronickej schránky, pričom podklady podľa odseku 2 písm. a) a b) sa predkladajú vo formáte, ktorý zachováva úplnú funkčnosť tabuľkového editora. |
| § 42 |
| (1) Maximálna cena za dodávku elektriny dodávateľom poslednej inštancie v eurách na jednotku množstva elektriny CEDPIm,t sa vypočíta podľa vzorca
|
| , |
| kde |
| a) CEPXEm,t je aritmetický priemer denných cien oficiálneho kurzového lístka zverejneného burzou PXE (POWER EXCHANGE CENTRAL EUROPE) na jej webovom sídle, v časti EEX – PXE Slovakian Power Futures, produktu Baseload, Month, Settlement Price Cal-t v eurách na jednotku množstva elektriny na tri po sebe nasledujúce mesiace, pričom prvým mesiacom je mesiac, v ktorom sa začne dodávka elektriny dodávateľom poslednej inštancie, v eurách na jednotku množstva elektriny za obdobie kalendárneho mesiaca predchádzajúceho prvému dňu dodávky elektriny dodávateľom poslednej inštancie, |
| b) k1t je koeficient na rok t v percentách zohľadňujúci diagram dodávky elektriny dodávateľom poslednej inštancie pre odberateľov elektriny podľa osobitného predpisu39) v rozsahu najviac 10 %, |
| c) k2t je koeficient na rok t v percentách zohľadňujúci obmedzenia rizika súvisiaceho s dodávkou poslednej inštancie, ktorého výška je v rozsahu najviac 10 %. |
| (2) V cenovom rozhodnutí pre dodávateľa poslednej inštancie sa určí cena za dodávku elektriny dodávateľom poslednej inštancie alebo spôsob jej výpočtu a podmienky uplatnenia ceny na rok t. Ceny za dodávku elektriny dodávateľom poslednej inštancie v jednotlivých zložkách sadzieb sú maximálnymi cenami. Sadzby za dodávku elektriny dodávateľom poslednej inštancie sa dodávateľom poslednej inštancie ustanovia podľa cenového rozhodnutia pre zraniteľných odberateľov elektriny v domácnosti a odberateľov elektriny okrem zraniteľných odberateľov elektriny v domácnosti. |
| (3) Sadzba za dodávku elektriny dodávateľom poslednej inštancie je zložená z |
| a) mesačnej platby za jedno odberné miesto NDPIt podľa odseku 6, |
| b) maximálnej ceny za elektrinu CEDPIt v eurách na jednotku množstva elektriny, ktorá sa vypočíta podľa vzorca |
| , |
| kde |
| 1. CEDPIm,t je cena elektriny určená podľa odseku 1, |
| 2. Ot sú určené náklady na odchýlku súvisiace s dodávkou elektriny dodávateľom poslednej inštancie v eurách na jednotku množstva elektriny v roku t vo výške najviac 5,21 eur, |
| 3. PZt je primeraný zisk v roku t v eurách na jednotku množstva elektriny, ktorý je možné zahrnúť do ceny za dodávku elektriny dodávateľom poslednej inštancie, maximálne 10 % z ceny elektriny určenej spôsobom podľa odseku 1, najviac však 5 eur/MWh. |
| (4) K sadzbám podľa odseku 3 sa dodávateľom elektriny poslednej inštancie pripočíta cena za distribúciu elektriny vrátane prenosu elektriny a strát elektriny pri prenose elektriny, straty elektriny pri distribúcii elektriny, tarifa za systémové služby a tarifa za prevádzkovanie systému podľa cenového rozhodnutia, ktorým boli schválené alebo určené ceny za prístup do distribučnej sústavy a distribúciu elektriny pre prevádzkovateľa distribučnej sústavy, do ktorej je príslušné odberné miesto pripojené. |
| (5) Ak je pre zraniteľného odberateľa elektriny v domácnosti uplatňovaná cena elektriny za dodávku elektriny pri dodávke poslednej inštancie vyššia od maximálnej ceny elektriny pri najdrahšej sadzbe regulovanej ceny za štandardnú dodávku elektriny pre zraniteľných odberateľov elektriny v domácnosti podľa cenníka dodávateľa elektriny, ktorý poskytuje dodávku poslednej inštancie najviac o 30 %, dodávateľ poslednej inštancie túto cenu za dodávku poslednej inštancie uplatní pre zraniteľného odberateľa elektriny v domácnosti v celom rozsahu. |
| (6) Náklady na dodávku elektriny dodávateľom poslednej inštancie na jedno odberné miesto za mesiac NDPIt, ktoré možno zahrnúť do sadzieb za dodávku elektriny dodávateľom poslednej inštancie sa vypočítajú podľa vzorca |
| 
|
| kde |
| a) NDPIt-1 sú náklady na dodávku elektriny na jedno odberné miesto za mesiac, ktoré možno zahrnúť do sadzieb za dodávku elektriny dodávateľom poslednej inštancie v roku t-1, pričom určená výška NDPIt-1 na rok 2024 je najviac 1,50 eura na jedno odberné miesto a mesiac, |
| b) JPIn je aritmetický priemer zverejnených hodnôt ukazovateľa „Jadrová inflácia“ za obdobie od 1. januára roka t-1 do 30. júna roka t-1 uvedených na webovom sídle Štatistického úradu Slovenskej republiky – http://datacube.statistics.sk v priečinku „Makroekonomické štatistiky“ v sekcii „Spotrebiteľské ceny a ceny produkčných štatistík“ v časti „Indexy spotrebiteľských cien (inflácia)“ v časti „Jadrová a čistá inflácia“ v priečinku „Jadrová a čistá inflácia – oproti rovnakému obdobiu minulého roku v percentách – mesačne [sp0008ms]“, |
| c) X je faktor efektivity, ktorého hodnota v každom roku regulačného obdobia je 3,0 %, pričom ak je hodnota rozdielu JPIn a X nižšia ako 0, na účely výpočtu maximálnej ceny za dodávku elektriny zraniteľným odberateľom v domácnosti na rok t sa hodnota rozdielu JPIn a X rovná 0. |
| § 43 |
| Cenová regulácia výroby elektriny z obnoviteľných zdrojov energie a výroby elektriny vysoko účinnou kombinovanou výrobou a podmienky uplatňovania cien a niektoré podmienky vykonávania regulovaných činností |
| (1) Cenová regulácia podľa odsekov 2 až 20 a podľa § 44 až 47 sa vzťahuje na výrobcu elektriny, ktorý vyrába elektrinu z obnoviteľných zdrojov energie a vysoko účinnou kombinovanou výrobou (ďalej len „výrobca elektriny“). |
| (2) Súčasťou návrhu ceny výrobcu elektriny sú |
| a) návrh ceny výrobcu elektriny, |
| b) výpočty a údaje podľa § 44 až 47 týkajúce sa výroby elektriny vyrobenej z obnoviteľných zdrojov energie a vysoko účinnou kombinovanou výrobou, |
| c) ďalšie podklady nevyhnutné na správne posúdenie návrhu ceny. |
| (3) Podklady podľa odseku 2 sa predkladajú v listinnej podobe a na vyžiadanie aj v elektronickej podobe elektronickým podaním do elektronickej schránky. |
| (4) Ustanovenia o návrhu ceny sa primerane vzťahujú aj na návrh na zmenu cenového rozhodnutia. |
| (5) Pri spoločnom spaľovaní biomasy, bioplynu, skládkového plynu, plynu z čističiek odpadových vôd alebo biometánu s inými druhmi paliva sa množstvo elektriny vyrobenej z obnoviteľných zdrojov energie určuje percentuálnym podielom množstva tepla z biomasy, skládkového plynu, plynu z čističiek odpadových vôd, bioplynu alebo biometánu v celkovom množstve tepla použitého na výrobu tepla a elektriny vypočítaného na základe predložených dokladov podľa osobitného predpisu.40) |
| (6) Pri spaľovaní priemyselných odpadov a komunálnych odpadov je množstvo elektriny vyrobenej z obnoviteľných zdrojov energie určené percentuálnym podielom množstva tepla z biologicky rozložiteľných látok odpadu a celkového množstva tepla vyrobeného z týchto odpadov použitého na výrobu tepla a elektriny. |
| (7) Ak je pri výrobe elektriny vysoko účinnou kombinovanou výrobou palivom výlučne obnoviteľný zdroj energie, na všetku elektrinu vyrobenú v tejto technológii sa použije len jeden zo spôsobov určenia ceny elektriny podľa § 6 ods. 1 písm. a) zákona o podpore a podľa § 47. |
| (8) S návrhom ceny pre nové zariadenie výrobcu elektriny sa okrem podkladov podľa odseku 2 predkladá aj |
| a) osvedčenie na výstavbu energetického zariadenia,41) ak bolo pri výstavbe zariadenia potrebné, |
| b) právoplatné kolaudačné rozhodnutie alebo písomné oznámenie stavebného úradu, že proti uskutočneniu drobnej stavby alebo stavebných úprav nemá námietky, ak je zariadenie výrobcu elektriny drobnou stavbou alebo ide o stavebné úpravy, |
| c) doklad o vykonaní funkčnej skúšky podľa § 5 ods. 7 zákona o podpore, |
| d) jednopólová elektrická schéma zariadenia výrobcu elektriny a vyvedenia elektrického výkonu vrátane umiestnenia určených meradiel a účelu merania podľa osobitného predpisu,42) |
| e) kópia zmluvy o pripojení zariadenia výrobcu elektriny k priamemu vedeniu, do distribučnej sústavy alebo do prenosovej sústavy; ak je zariadenie výrobcu elektriny pripojené do miestnej distribučnej sústavy, ktorá je pripojená do regionálnej distribučnej sústavy priamo alebo prostredníctvom jednej alebo viacerých miestnych distribučných sústav, predkladá sa s návrhom ceny aj potvrdenie vydané prevádzkovateľom regionálnej distribučnej sústavy o zmluvne dohodnutom pripojení miestnej distribučnej sústavy do regionálnej distribučnej sústavy podľa § 40 ods. 1 zákona o regulácii. |
| (9) Súčasťou návrhu ceny výrobcu elektriny sú údaje o každom zariadení výrobcu elektriny, a to |
| a) údaje za predchádzajúci kalendárny rok, predpoklad na nasledujúce kalendárne roky a údaje podľa prílohy č. 14 o |
| 1. celkovom množstve elektriny vyrobenej v zariadení výrobcu elektriny, |
| 2. množstve technologickej vlastnej spotreby elektriny podľa § 2 ods. 3 písm. a) zákona o podpore, |
| 3. množstve elektriny, na ktoré sa vzťahuje doplatok podľa § 4 ods. 1 písm. c) zákona o podpore, |
| 4. množstve vyrobenej elektriny dodanej výkupcovi elektriny na základe zmluvy o povinnom výkupe elektriny podľa § 4 ods. 1 písm. b) zákona o podpore, |
| b) údaje o |
| 1. spôsobe merania vyrobenej elektriny na svorkách každého generátora elektriny a meraní vlastnej spotreby elektriny pri výrobe elektriny, |
| 2. plánovanom množstve biometánu použitého v roku t na výrobu elektriny, ktoré výrobca elektriny preukazuje zmluvami o dodávke biometánu uzatvorenými s výrobcami biometánu a potvrdeniami o pôvode biometánu príslušných výrobcov biometánu, ak je elektrina vyrábaná kombinovanou výrobou spaľovaním alebo spoluspaľovaním biometánu, |
| 3. podpore poskytnutej z prostriedkov štátneho rozpočtu vyjadrené v percentách z celkových obstarávacích nákladov na výstavbu zariadenia na výrobu elektriny, |
| 4. hodnote celkových obstarávacích nákladov na výstavbu zariadenia na výrobu elektriny, ako aj údaje o týchto nákladoch v členení na celkovú technologickú časť stavby a stavebnú časť stavby zariadenia na výrobu elektriny, |
| 5. druhu zdroja výroby elektriny alebo tepla, |
| 6. spôsobe využitia tepla. |
| (10) S návrhom ceny pre zariadenie výrobcu elektriny z dôvodu rekonštrukcie alebo modernizácie technologickej časti zariadenia výrobcu elektriny sa okrem podkladov podľa odseku 2 predkladajú aj tieto doklady preukazujúce uskutočnenie rekonštrukcie alebo modernizácie technologickej časti zariadenia výrobcu elektriny a náklady na rekonštrukciu alebo modernizáciu technologickej časti zariadenia výrobcu elektriny |
| a) popis rekonštrukcie alebo modernizácie technologickej časti zariadenia výrobcu elektriny, |
| b) faktúry za realizáciu rekonštrukcie alebo modernizácie technologickej časti zariadenia výrobcu elektriny, |
| c) celkové náklady v eurách na rekonštrukciu alebo modernizáciu technologickej časti zariadenia výrobcu elektriny, |
| d) znalecký posudok preukazujúci splnenie podmienok rekonštrukcie alebo modernizácie technologickej časti zariadenia výrobcu elektriny podľa § 3c ods. 1 zákona o podpore, v ktorom je uvedené aj zhodnotenie primeranosti nákladov vynaložených na rekonštrukciu alebo modernizáciu technologickej časti zariadenia výrobcu elektriny a dátum, kedy bola rekonštrukcia alebo modernizácia technologickej časti zariadenia výrobcu elektriny ukončená, ak sa kolaudácia stavby nevyžaduje, |
| e) kópia zmluvy o pripojení zariadenia výrobcu elektriny k priamemu vedeniu, do distribučnej sústavy alebo do prenosovej sústavy; ak je zariadenie výrobcu elektriny pripojené do miestnej distribučnej sústavy, ktorá je pripojená do regionálnej distribučnej sústavy priamo alebo prostredníctvom jednej alebo viacerých miestnych distribučných sústav, s návrhom ceny predkladanej výrobcom elektriny sa predkladá aj potvrdenie vydané prevádzkovateľom regionálnej distribučnej sústavy o zmluvne dohodnutom pripojení miestnej distribučnej sústavy do regionálnej distribučnej sústavy podľa § 40 ods. 1 zákona o regulácii, |
| f) doklady preukazujúce poskytnutie podpory z prostriedkov štátneho rozpočtu na rekonštrukciu alebo modernizáciu technologickej časti zariadenia na výrobu elektriny alebo vyhlásenie o tom, že podpora z prostriedkov štátneho rozpočtu nebola poskytnutá. |
| (11) Cena elektriny pre zariadenie výrobcu elektriny z dôvodu rekonštrukcie alebo modernizácie technologickej časti zariadenia na výrobu elektriny podľa termínu rekonštrukcie alebo modernizácie technologickej časti zariadenia na výrobu elektriny sa určí na rok t podľa § 10 a znižuje sa podľa § 6 ods. 8 zákona o podpore. |
| (12) Ak pri výstavbe, rekonštrukcii alebo modernizácii technologickej časti zariadenia výrobcu elektriny bola poskytnutá podpora z podporných programov financovaných z prostriedkov štátneho rozpočtu podľa § 6 ods. 11 zákona o podpore, pri výpočte ceny elektriny sa investičné náklady znižujú o výšku poskytnutej podpory z podporných programov financovaných z prostriedkov štátneho rozpočtu. |
| (13) Cena elektriny sa určí pre obvyklú mieru návratnosti investície najmenej 12 rokov a príslušnú technológiu obnoviteľného zdroja energie a vysoko účinnej kombinovanej výroby, pričom pri jej určení sa zohľadňuje |
| a) priemerný inštalovaný výkon technológie výroby elektriny podľa druhu zariadenia výrobcu elektriny, |
| b) množstvo vyrobenej elektriny vyplývajúce z priemerného inštalovaného výkonu podľa druhu zariadenia výrobcu elektriny, |
| c) investičné náklady so započítaním vlastného kapitálu a cudzieho kapitálu, |
| d) predpokladané úroky z 50 % investičného úveru so splatnosťou úveru do 10 rokov, |
| e) primeraný zisk, |
| f) rovnomerné odpisy, |
| g) osobné náklady, prevádzkové náklady a režijné náklady, |
| h) výška podpory poskytnutej z podporných programov financovaných z prostriedkov štátneho rozpočtu. |
| (14) Referenčné hodnoty investičných nákladov na obstaranie novej porovnateľnej technologickej časti zariadenia výrobcu elektriny na rok t v členení podľa jednotlivých technológií výroby elektriny podľa § 2 ods. 1 písm. a) a ods. 2 písm. a) zákona o podpore sa zverejňujú na webovom sídle úradu najneskôr do 31. októbra roka t-1. |
| (15) Pre doterajších výrobcov elektriny sa cena elektriny vyrobenej z obnoviteľných zdrojov energie na účely určenia alebo schválenia ceny elektriny pre stanovenie doplatku na rok t určí na obdobie celej dĺžky podpory doplatkom podľa § 3 ods. 1 písm. c) zákona o podpore na základe cenového rozhodnutia pre rok t-1 a potvrdenia o pôvode elektriny z obnoviteľných zdrojov energie podľa § 7 zákona o podpore okrem výrobcov elektriny s nárokom na korekciu podľa § 44 ods. 1 písm. b), ktorým sa určí cena len na obdobie roku t. Pre nových výrobcov elektriny z obnoviteľných zdrojov energie uvedených do prevádzky v roku t, ktorí predložia návrh ceny na rok t v priebehu roka t a vyrábajú elektrinu spôsobom podľa § 7 ods. 3 písm. b) zákona o podpore, sa cena elektriny podľa prvej vety uplatní na základe cenového rozhodnutia na rok t. Ak doterajší výrobca elektriny nemá na rok t-1 vydané cenové rozhodnutie, cena elektriny podľa § 6 ods. 1 písm. a) zákona o podpore na rok t sa určí vo výške, na ktorú by mal výrobca elektriny v roku t-1 právo. |
| (16) Pre doterajších výrobcov elektriny sa cena elektriny vyrobenej vysoko účinnou kombinovanou výrobou na účely určenia alebo schválenia ceny elektriny pre stanovenie doplatku na rok t určí na obdobie celej dĺžky podpory doplatkom podľa § 3 ods. 1 písm. c) zákona o podpore na základe cenového rozhodnutia pre rok t-1 a potvrdenia o pôvode elektriny vyrobenej vysoko účinnou kombinovanou výrobou za rok t-2 okrem výrobcov elektriny s nárokom na korekciu podľa § 44 ods. 1 písm. b), ktorým sa určí cena len na obdobie roku t. Pre nových výrobcov elektriny vyrobenej vysoko účinnou kombinovanou výrobou v zariadeniach uvedených do prevádzky v roku t, ktorí predložia návrh ceny na rok t v priebehu roka t, sa cena elektriny podľa prvej vety uplatní na základe cenového rozhodnutia na rok t. Ak doterajší výrobca elektriny nemá na rok t-1 vydané cenové rozhodnutie, cena elektriny podľa § 6 ods. 1 písm. a) zákona o podpore na rok t sa určí vo výške, na ktorú by mal výrobca elektriny v roku t-1 právo. |
| (17) Ak sa v zariadení výrobcu elektriny spoločne spaľuje biomasa alebo biokvapalina s fosílnymi palivami, cena elektriny vyrobenej z obnoviteľných zdrojov sa uplatní na množstvo elektriny určené podľa odseku 5 a zároveň vyrobené kombinovanou výrobou. Ak sa pre toto zariadenie výrobcu elektriny uplatňuje aj cena elektriny vyrobenej vysoko účinnou kombinovanou výrobou, uplatní sa najviac na množstvo elektriny vypočítané ako rozdiel celkového množstva elektriny vyrobenej kombinovanou výrobou a množstva elektriny, na ktoré sa uplatnila cena elektriny podľa prvej vety. |
| (18) Ak sa zmení výrobca elektriny, ktorý prevádzkuje zariadenie výrobcu elektriny, s návrhom ceny sa predkladá aj kópia zmluvy o pripojení zariadenia výrobcu elektriny k priamemu vedeniu, do distribučnej sústavy alebo do prenosovej sústavy. |
| (19) Odo dňa skončenia podpory doplatkom podľa § 3 ods. 1 písm. c) zákona o podpore pre zariadenie výrobcu elektriny sa neuplatňuje spôsob výpočtu ceny vykupovanej elektriny, postup a podmienky uplatňovania cien podľa § 48. |
| (20) Ak výrobca elektriny predkladá návrh ceny prvýkrát, podmienkou vydania cenového rozhodnutia je právoplatné povolenie na podnikanie v energetike43) alebo potvrdenie o splnení oznamovacej povinnosti.44) |
| § 44 |
| Určenie korekcie zohľadňujúcej vývoj ceny primárneho paliva |
| (1) Cena elektriny podľa § 6 ods. 1 písm. a) zákona o podpore na rok t v eurách na jednotku množstva elektriny za elektrinu vyrobenú i-tou technológiou j-tého zariadenia výrobcu elektriny sa pre výrobcu elektriny vypočíta podľa vzorca |
| , |
| 
|
| kde |
| a) je určená alebo schválená cena elektriny podľa § 6 ods. 1 písm. a) zákona o podpore na rok Z vyrobenej i-tou technológiou j-tého zariadenia výrobcu elektriny na základe roku uvedenia zariadenia výrobcu elektriny do prevádzky alebo poslednej uplatnenej rekonštrukcie alebo modernizácie technologickej časti zariadenia na výrobu elektriny v eurách na jednotku množstva elektriny, |
| b) Pznit je korekcia v eurách na jednotku množstva elektriny na rok t uplatňovaná podľa odseku 4 a na základe výpočtu podľa odseku 3, |
| c) rok Z je rok uvedenia zariadenia výrobcu elektriny do prevádzky alebo rok poslednej uplatnenej rekonštrukcie alebo modernizácie technologickej časti zariadenia na výrobu elektriny. |
| (2) Cena elektriny podľa § 6 ods. 1 písm. d) zákona o podpore na rok t v eurách na jednotku množstva elektriny za elektrinu vyrobenú i-tou technológiou j-tého zariadenia výrobcu elektriny sa pre výrobcu elektriny vypočíta podľa vzorca |
| , |
| 
|
| kde |
| a) je cena elektriny pre stanovenie príplatku na rok Z vyrobenej i-tou technológiou j-tého zariadenia výrobcu elektriny na základe roku uvedenia zariadenia výrobcu elektriny do prevádzky alebo poslednej uplatnenej rekonštrukcie alebo modernizácie technologickej časti zariadenia na výrobu elektriny v eurách na jednotku množstva elektriny, |
| b) Pznit je korekcia v eurách na jednotku množstva elektriny na rok t uplatňovaná v hodnote podľa odseku 4 a na základe výpočtu podľa odseku 3, |
| c) rok Z je rok uvedenia zariadenia výrobcu elektriny do prevádzky alebo rok poslednej uplatnenej rekonštrukcie alebo modernizácie technologickej časti zariadenia na výrobu elektriny. |
| (3) Korekcia Pznit v eurách na jednotku množstva elektriny na rok t pre i-té technológie výroby elektriny s primárnymi palivami podľa odseku 5 zohľadňujúca výrazné zvýšenie alebo zníženie ceny vstupných surovín, ktoré sa použili na výrobu elektriny i-tou technológiou na výrobu elektriny z obnoviteľných zdrojov energie alebo výrazné zvýšenie alebo zníženie ceny vstupných surovín, ktoré sa použili na výrobu elektriny z neobnoviteľných zdrojov energie i-tou technológiou na výrobu elektriny vysoko účinnou kombinovanou výrobou sa vypočíta podľa vzorca |
| a) pre rok t = 2025 |
| 
|
| kde |
| 1. je určená nákupná cena primárneho paliva pre i-tú technológiu výroby elektriny v eurách na jednotku množstva v roku t; pri výpočte sa primerane zohľadní využiteľnosť primárneho paliva použiteľného pri výrobe elektriny v i-tej technológii, |
| 2. je množstvo primárneho paliva v jednotkách množstva zodpovedajúceho 1 MWh i-tej technológie výroby elektriny v roku t-1, ktoré sa vypočíta podľa vzorca |
| 
|
| kde |
| je určená výhrevnosť primárneho paliva pre i-tú technológiu výroby elektriny v megawatthodinách na jednotku množstva v roku t-1, |
| 3. je určená nákupná cena primárneho paliva pre i-tu technológiu výroby elektriny v eurách na jednotku množstva v roku t-n-1; pri výpočte sa primerane zohľadní využiteľnosť primárneho paliva použiteľného pri výrobe elektriny v i-tej technológii, |
| 4. je množstvo primárneho paliva v jednotkách množstva zodpovedajúceho 1 MWh i-tej technológie výroby elektriny v roku t-n-1, ktoré sa vypočíta podľa vzorca |
| , |
| kde |
| je určená výhrevnosť primárneho paliva pre i-tú technológiu výroby elektriny v megawatthodinách na jednotku množstva v roku t-n-1, |
| 5. je určená nákupná cena primárneho paliva pre i-tú technológiu výroby elektriny v eurách na jednotku množstva v roku t = 2023; pri výpočte sa primerane zohľadní využiteľnosť primárneho paliva použiteľného pri výrobe elektriny v i-tej technológii, |
| 6. je množstvo primárneho paliva v jednotkách množstva zodpovedajúceho 1 MWh i-tej technológie výroby elektriny v roku t = 2023, ktoré sa vypočíta podľa vzorca |
| , |
| kde |
| je určená výhrevnosť primárneho paliva pre i-tú technológiu výroby elektriny v megawatthodinách na jednotku množstva v roku 2023, |
| 7. je určená nákupná cena primárneho paliva pre i-tú technológiu výroby elektriny v eurách na jednotku množstva v roku t = 2022; pri výpočte sa primerane zohľadní využiteľnosť primárneho paliva použiteľného pri výrobe elektriny v i-tej technológii, |
| 8. je množstvo primárneho paliva v jednotkách množstva zodpovedajúceho 1 MWh i-tej technológie výroby elektriny v roku t = 2022, ktoré sa vypočíta podľa vzorca |
| , |
| kde |
| je určená výhrevnosť primárneho paliva pre i-tú technológiu výroby elektriny v megawatthodinách na jednotku množstva v roku 2022, |
| 9. n je počet rokov medzi rokom t a rokom, na ktorý bola naposledy uplatnená korekcia Pznit, |
| 10. je koeficient, ktorý zohľadňuje rozloženie hodnoty nákladov na primárne palivo i-tej technológie od poslednej uplatnenej korekcie, ktorý sa uplatní počas obdobia rokov 2024 až 2026, |
| b) pre rok t = 2026 |
| 
|
| kde |
| je určená nákupná cena primárneho paliva pre i-tú technológiu výroby elektriny v eurách na jednotku množstva v roku t-n; pri výpočte sa primerane zohľadní využiteľnosť primárneho paliva použiteľného pri výrobe elektriny v i-tej technológii, |
| c) pre rok 2027 a nasledujúce roky |
| Pznit = NCPPit × QPPi1MWh,t–1 – NCPPit–n × QPPi1MWh,t–n–1, |
| (4) Korekcia Pznit vypočítaná podľa odseku 3 sa uplatní na rok t, ak je hodnota zmeny väčšia ako 10 % zo súčinu nákupnej ceny NCPPit-n a množstva primárneho paliva QPPi1MWh, t-n-1 určených podľa odseku 3. |
| (5) Hodnota korekcie Pznit v eurách na jednotku množstva elektriny vypočítaná podľa odseku 3 písm. b) a c) pre i-té technológie výroby elektriny sa zverejňuje každoročne na webovom sídle úradu najneskôr do 31. júla roku t-1. |
| (6) Ak má výrobca elektriny na rok t-1 určenú alebo schválenú cenu elektriny CEPSDi,jz a zároveň si uplatňuje na rok t cenu elektriny podľa § 6 ods. 1 písm. a) zákona o podpore na základe rekonštrukcie alebo modernizácie technologickej časti zariadenia na výrobu elektriny, táto cena elektriny sa na rok t určí podľa § 6 ods. 11 zákona o podpore. |
| (7) Výrobcovi elektriny, ktorému uplynie doba podpory doplatkom podľa § 3 ods. 1 písm. c) zákona o podpore pred rokom 2026, sa korekcia Pznit vypočíta v cenovom konaní primerane podľa § 44 ods. 3 tak, aby zohľadňovala zostávajúcu dobu trvania podpory a jej vplyv na určenie korekcie Pznit. |
| § 45 |
| Výpočet predĺženej podpory so zníženou cenou elektriny |
| (1) Cena elektriny pre stanovenie hodnoty podpory v eurách na jednotku množstva elektriny za elektrinu vyrobenú z obnoviteľných zdrojov energie pri predĺžení podpory doplatkom podľa § 3d zákona o podpore sa vypočíta podľa vzorca
|
| , |
| kde |
| a) VCNR je výkupná cena elektriny pre zariadenie výrobcu elektriny s predĺženou podporou podľa § 3d zákona o podpore v eurách na jednotku množstva elektriny, |
| b) DPONR je plánovaný objem podpory pre zariadenie výrobcu elektriny v eurách počas prvého roka trvania predĺženej podpory podľa § 3d zákona o podpore; DPONR sa vypočíta podľa odseku 2, |
| c) QESR je množstvo vyrobenej elektriny s nárokom na podporu doplatkom a prevzatím zodpovednosti za odchýlku v jednotkách množstva elektriny za rok, ktoré sa vypočíta ako aritmetický priemer za posledných päť ucelených rokov prevádzky zariadenia na výrobu elektriny pred rokom vstupu do predĺženej podpory podľa § 3d zákona o podpore. |
| (2) Plánovaný objem podpory doplatkom podľa § 3 ods. 1 písm. c) zákona o podpore pre zariadenie výrobcu elektriny v eurách počas prvého roku trvania predĺženej podpory doplatkom podľa § 3d zákona o podpore DPONR sa vypočíta podľa vzorca |
| 
|
| kde |
| a) NPVNR je čistá súčasná hodnota podpory doplatkom podľa § 3 ods. 1 písm. c) zákona o podpore v eurách za elektrinu vyrobenú z obnoviteľných zdrojov energie s predĺžením podpory podľa § 3d zákona o podpore; NPVNR sa vypočíta podľa odseku 3, |
| b) WACC je miera výnosnosti regulačnej bázy aktív vyjadrená v percentách, a vypočíta sa podľa § 5, |
| c) d je koeficient ročnej degradácie technológie zariadenia na výrobu elektriny; pre zariadenie na výrobu elektriny zo slnečnej energie je maximálna hodnota koeficientu 0,5 % a pre zariadenia na výrobu elektriny z vodnej energie, biomasy, bioplynu, skládkového plynu alebo plynu z čističiek odpadových vôd je hodnota koeficientu 0 %, |
| d) z je zostávajúca doba predĺženej podpory podľa § 3d zákona o podpore, zaokrúhlená na šesť desatinných miest, pričom |
| , |
| kde |
| 1. n je zostávajúca doba trvania súčasného režimu podpory doplatkom podľa § 3 ods. 1 písm. c) zákona o podpore pre zariadenie výrobcu elektriny z obnoviteľných zdrojov energie, vyjadrená v rokoch zaokrúhlená na tri desatinné miesta, ktorá začína prvým dňom kalendárneho roka nasledujúceho po kalendárnom roku, v ktorom sa rozhoduje o znížení ceny elektriny a končí dňom dátumu uplatnenia nároku na podporu u zúčtovateľa podpory navýšenej o 15 rokov, najneskôr však do 31. decembra 2033, |
| 2. p je doba predĺženia podpory podľa § 3d zákona o podpore rovnajúca sa piatim rokom, ak je podporu možné predĺžiť najneskôr do 31. decembra 2033. |
| (3) Čistá súčasná hodnota podpory doplatkom podľa § 3 ods. 1 písm. c) zákona o podpore v eurách za elektrinu vyrobenú z obnoviteľných zdrojov energie s predĺžením podpory podľa § 3d zákona o podpore NPVNR sa vypočíta podľa vzorca
|
| , |
| kde |
| a) NPVSR je čistá súčasná hodnota podpory doplatkom podľa § 3 ods. 1 písm. c) zákona o podpore v eurách za elektrinu vyrobenú z obnoviteľných zdrojov energie v súčasnom režime podpory, ktorá sa vypočíta podľa odseku 4, |
| b) k je koeficient zohľadňujúci rok vstupu zariadenia výrobcu elektriny do predĺženej podpory podľa § 3d zákona o podpore, ktorý sa na roky 2021 a 2022 ustanovuje vo výške 1,02 a na rok 2023 a nasledujúce roky sa ustanovuje vo výške 1,00, |
| c) NAKL je suma ekonomicky oprávnených nákladov na opravu alebo úpravu technologickej časti zariadenia výrobcu elektriny na účel predĺženia jeho prevádzkyschopnosti v eurách vynaložených najneskôr v prvých piatich rokoch po roku vstupu do predĺženej podpory podľa § 3d zákona o podpore, ktorá sa vypočíta podľa vzorca |
| , |
| kde |
| 1. sú ekonomicky oprávnené náklady na nevyhnutnú opravu alebo úpravu technologickej časti zariadenia výrobcu elektriny v eurách na účel predĺženia jeho prevádzkyschopnosti počas zostávajúcej a predĺženej doby podpory vynaložené v i-tom roku nasledujúcom po roku vstupu do predĺženej podpory podľa § 3d zákona o podpore, pričom |
| , |
| kde |
| 1a. S je hodnota investičných nákladov na obstaranie novej porovnateľnej technologickej časti zariadenia výrobcu elektriny najviac vo výške 15 %, |
| 1b. INV je hodnota investičných nákladov novej porovnateľnej technológie časti zariadenia výrobcu elektriny v eurách zverejnená pre nasledujúci rok na webovom sídle úradu a aktualizovaná najneskôr do 20. augusta kalendárneho roka. |
| (4) Čistá súčasná hodnota podpory doplatkom podľa § 3 ods. 1 písm. c) zákona o podpore v eurách za elektrinu vyrobenú z obnoviteľných zdrojov energie v zostávajúcej časti súčasného režimu podpory doplatkom podľa § 3 ods. 1 písm. c) zákona o podpore a v dobe predĺženia podpory podľa § 3d zákona o podpore NPVSR sa vypočíta podľa vzorca |
| 
|
| kde |
| a) VC je cena elektriny vyrobenej z obnoviteľných zdrojov energie, ktorá je určená alebo schválená úradom v súčasnom režime podpory doplatkom podľa § 3 ods. 1 písm. c) zákona o podpore v eurách na jednotku množstva elektriny, |
| b) Q je množstvo vyrobenej elektriny s nárokom na podporu výkupom elektriny podľa § 3 ods. 1 písm. b) zákona o podpore a prevzatím zodpovednosti za odchýlku podľa § 3 ods. 1 písm. d) zákona o podpore v režime prenesenej zodpovednosti za odchýlku v jednotkách množstva elektriny za rok, ktoré sa vypočíta ako aritmetický priemer za posledných päť ucelených rokov prevádzky zariadenia výrobcu elektriny pred rokom vstupu do predĺženej podpory podľa § 3d zákona o podpore, |
| c) TC je trhová cena elektriny v eurách na jednotku množstva elektriny vypočítaná ako aritmetický priemer cien ročných forwardov elektriny F PXE SK BL na najbližšie tri ucelené kalendárne roky predĺženej podpory podľa § 3d zákona o podpore, zobchodovaných na burze PXE (POWER EXCHANGE CENTRAL EUROPE) za obdobie posledných 12 kalendárnych mesiacov pred začatím konania o cenovej regulácii, ktorá sa každoročne zverejňuje pre nasledujúci kalendárny rok na webovom sídle úradu do 20. augusta kalendárneho roka, |
| d) k je počet zostávajúcich rokov trvania súčasného režimu podpory doplatkom podľa § 3 ods. 1 písm. c) zákona o podpore pre zariadenie výrobcu elektriny z obnoviteľných zdrojov energie, ktorý začína kalendárnym rokom nasledujúcim po kalendárnom roku, v ktorom sa rozhoduje o znížení ceny elektriny, zaokrúhlený na celé čísla nadol, |
| e) WACC je miera výnosnosti regulačnej bázy vyjadrená v percentách, a vypočíta sa podľa § 5, |
| f) Zcdkp1 je pomerná časť kalendárného roka, v ktorom končí súčasný režim podpory doplatkom podľa § 3 ods. 1 písm. c) zákona o podpore, začínajúca prvým dňom tohto kalendárneho roka a končiaca dňom skončenia súčasnej doby podpory, v pomere oproti celému kalendárnému roku, v ktorom končí súčasný režim podpory, |
| g) Zcdkp2 je pomerná časť kalendárného roka, v ktorom končí súčasný režim podpory doplatkom podľa § 3 ods. 1 písm. c) zákona o podpore, začínajúca dňom nasledujúcom po dni skončenia súčasnej doby podpory a končiaca 31. decembra tohto roka, v pomere oproti celému kalendárnému roku, v ktorom končí súčasný režim podpory, ktorá sa vypočíta podľa vzorca
Zcdkp2 = 1 – Zcdkp1. |
| (5) Ak pri preverení skutočne vynaložených nákladov na nevyhnutnú opravu alebo úpravu technologickej časti zariadenia výrobcu elektriny v eurách na účel predĺženia jeho prevádzkyschopnosti počas zostávajúcej podpory doplatkom podľa § 3 ods. 1 písm. c) zákona o podpore a predĺženej doby podpory podľa § 3d zákona o podpore, ktoré mali byť vynaložené najneskôr v prvých piatich rokoch po roku vstupu do predĺženej podpory podľa § 3d zákona o podpore, nedôjde k ich investovaniu vo výške podľa cenového rozhodnutia, na základe kontrolných zistení sa určí výška nákladov, ktoré sa vracajú zúčtovateľovi podpory; oprávnenosť nákladov podľa § 4 ods. 3 a ich výška na nevyhnutnú opravu alebo úpravu technologickej časti zariadenia výrobcu elektriny v eurách na účel predĺženia jeho prevádzkyschopnosti počas zostávajúcej podpory doplatkom sa preukazuje znaleckým posudkom vypracovaným znalcom v odbore Elektrotechnika a Energetika zapísaným v zozname znalcov v súlade s osobitným predpisom.25) |
| (6) Pri určení ceny elektriny podľa § 6 ods. 1 písm. a) zákona o podpore pri predĺžení podpory doplatkom so zníženou cenou elektriny podľa § 3d zákona o podpore na kalendárny rok nasledujúci po kalendárnom roku, v ktorom sa rozhoduje o znížení ceny elektriny, sa zohľadnia hodnoty podľa odsekov 3 a 4 zverejnené na webovom sídle úradu v roku t-1. |
| (7) Pri určení ceny elektriny podľa § 6 ods. 1 písm. a) zákona o podpore pre výrobcu elektriny, ktorému sa skončí podpora výkupom elektriny výkupcom elektriny za cenu vykupovanej elektriny § 3 ods. 1 písm. b) zákona o podpore a podpora prevzatím zodpovednosti za odchýlku výkupcom elektriny § 3 ods. 1 písm. d) zákona o podpore pred uplynutím predĺženej podpory doplatkom so zníženou cenou elektriny podľa § 3d zákona o podpore sa odseky 1 až 6 použijú primerane. |
| (8) Cena elektriny podľa § 6 ods. 1 písm. a) zákona o podpore pri predĺžení podpory doplatkom podľa § 3d zákona o podpore určená alebo schválená úradom pre zariadenie výrobcu elektriny podľa odsekov 1 až 6 je nižšia ako pôvodná cena elektriny. |
| (9) Ak výrobca elektriny z obnoviteľných zdrojov energie žiada o predĺženie podpory doplatkom podľa § 3d zákona o podpore, súčasťou návrhu ceny alebo návrhu na zmenu cenového rozhodnutia sú aj |
| a) údaje podľa prílohy č. 15, |
| b) výpočet ceny elektriny podľa výpočtového nástroja na určenie zníženia ceny elektriny na účel predĺženia podpory so zníženou cenou elektriny zverejneného na webovom sídle úradu, |
| c) znalecký posudok preukazujúci oprávnenosť a výšku vynaložených nákladov v súlade s § 4 ods. 3, vypracovaný znalcom v odbore Elektrotechnika a Energetika zapísaným v zozname znalcov v súlade s osobitným predpisom.25) |
| § 46 |
| Výpočet rozsahu podpory doplatkom a príplatkom |
| (1) Doplatok Di v eurách na jednotku množstva elektriny za základný časový úsek podľa § 9 ods. 2 zákona o podpore pre i-té zariadenie výrobcu elektriny s nárokom na podporu doplatkom podľa § 3 ods. 1 písm. c) zákona o podpore sa vypočíta podľa vzorca
|
| , |
| kde |
| a) CEi je cena elektriny podľa § 6 ods. 1 písm. a) zákona o podpore, |
| b) VPCVEdi je vážený priemer cien vykupovanej elektriny pre i-té zariadenie výrobcu elektriny s nárokom na podporu doplatkom podľa § 3 ods. 1 písm. c) zákona o podpore za základný časový úsek v eurách na jednotku množstva elektriny vypočítaný podľa vzorca |
| , |
| kde |
| 1. QVdi,j je množstvo elektriny vyrobené i-tým zariadením výrobcu elektriny s nárokom na podporu doplatkom podľa § 3 ods. 1 písm. c) zákona o podpore v j-tej hodine základného časového úseku v jednotkách množstva elektriny, |
| 2. CVEj,t je cena vykupovanej elektriny v j-tej hodine základného časového úseku v eurách na jednotku množstva elektriny podľa § 48 ods. 2, |
| 3. n je počet hodín základného časového úseku. |
| (2) Doplatok za elektrinu vyrobenú v i-tom zariadení výrobcu elektriny s nárokom na podporu doplatkom podľa § 3 ods. 1 písm. c) zákona o podpore za základný časový úsek PDi v eurách uhrádzaný výrobcovi elektriny organizátorom krátkodobého trhu s elektrinou sa vypočíta podľa vzorca
|
| , |
| kde |
| a) QDi je množstvo elektriny, na ktoré je možné uplatniť doplatok v i-tom zariadení výrobcu elektriny s nárokom na podporu doplatkom podľa § 3 ods. 1 písm. c) zákona o podporeza základný časový úsek určené podľa § 4 ods. 1 písm. c) zákona o podpore v jednotkách množstva elektriny, |
| b) Di je doplatok pre i-té zariadenie výrobcu elektriny s nárokom na podporu doplatkom podľa § 3 ods. 1 písm. c) zákona o podpore vypočítaný podľa odseku 1 v eurách na jednotku množstva elektriny. |
| (3) Príplatok Pi v eurách na jednotku množstva elektriny za základný časový úsek podľa § 9 ods. 3 zákona o podpore pre i-té zariadenie výrobcu elektriny s nárokom na podporu príplatkom podľa § 3 ods. 1 písm. e) zákona o podpore sa vypočíta podľa vzorca
|
| , |
| kde |
| a) PCEi je ponúknutá cena elektriny podľa § 6 ods. 1 písm. d) zákona o podpore, |
| b) VPCVEpi je vážený priemer cien vykupovanej elektriny pre i-té zariadenie výrobcu elektriny s nárokom na podporu príplatkom podľa § 3 ods. 1 písm. e) zákona o podpore za základný časový úsek v eurách na jednotku množstva elektriny vypočítaný podľa vzorca |
| , |
| kde |
| 1. QVpi,j je množstvo elektriny vyrobenej i-tým zariadením výrobcu elektriny s nárokom na podporu príplatkom podľa § 3 ods. 1 písm. e) zákona o podpore v j-tej hodine základného časového úseku v jednotkách množstva elektriny, |
| 2. CVEj,t je cena vykupovanej elektriny v j-tej hodine základného časového úseku v eurách na jednotku množstva elektriny podľa § 48 ods. 2, |
| 3. n je počet hodín základného časového úseku. |
| (4) Príplatok za elektrinu vyrobenú v i-tom zariadení výrobcu elektriny s nárokom na podporu príplatkom podľa § 3 ods. 1 písm. e) zákona o podpore za základný časový úsek PPi v eurách uhrádzaný výrobcovi elektriny organizátorom krátkodobého trhu s elektrinou sa vypočíta podľa vzorca
|
| , |
| kde |
| a) QPi je množstvo elektriny určené podľa § 4 ods. 1 písm. c) zákona o podpore v jednotkách množstva elektriny, na ktoré je možné uplatniť príplatok v i-tom zariadení výrobcu elektriny s nárokom na podporu príplatkom podľa § 3 ods. 1 písm. e) zákona o podpore za základný časový úsek, |
| b) Pi je príplatok pre i-té zariadenie výrobcu elektriny s nárokom na podporu príplatkom podľa § 3 ods. 1 písm. e) zákona o podpore vypočítaný podľa odseku 3 v eurách na jednotku množstva elektriny. |
| § 47 |
| (1) Cena elektriny vyrobenej z obnoviteľných zdrojov energie v zariadení výrobcu elektriny uvedenom do prevádzky v období od 1. januára 2020 do 30. septembra 2023 sa určuje priamym určením ceny elektriny v eurách na jednotku množstva elektriny takto: |
| 
|
| (2) Cena elektriny vyrobenej vysoko účinnou kombinovanou výrobou v zariadení výrobcu elektriny s celkovým inštalovaným výkonom do 1 MW vrátane uvedenom do prevádzky v období od 1. januára 2020 do 30. septembra 2023 alebo v zariadení výrobcu elektriny, ktoré prešlo rekonštrukciou alebo modernizáciou technologickej časti zariadenia výrobcu elektriny podľa § 3c zákona o podpore, sa určuje priamym určením ceny elektriny v eurách na jednotku množstva elektriny takto: |
| 
|
| (3) Cena elektriny vyrobenej z obnoviteľných zdrojov energie v zariadení výrobcu elektriny uvedenom do prevádzky v období od 1. októbra 2023 do 30. júna 2024 sa určuje priamym určením ceny elektriny v eurách na jednotku množstva elektriny takto: |
| 
|
| (4) Cena elektriny vyrobenej vysoko účinnou kombinovanou výrobou v zariadení výrobcu elektriny s celkovým inštalovaným výkonom do 1 MW vrátane uvedenom do prevádzky v období od 1. októbra 2023 do 30. júna 2024 alebo v zariadení výrobcu elektriny, ktoré prešlo rekonštrukciou alebo modernizáciou technologickej časti zariadenia výrobcu elektriny podľa § 3c zákona o podpore, sa určuje priamym určením ceny elektriny v eurách na jednotku množstva elektriny takto: |
| 
|
| 
|
| (5) Cena elektriny vyrobenej z obnoviteľných zdrojov energie v zariadení výrobcu elektriny uvedenom do prevádzky v období od 1. júla 2024 sa určuje priamym určením ceny elektriny v eurách na jednotku množstva elektriny takto: |
| 
|
| (6) Cena elektriny vyrobenej vysoko účinnou kombinovanou výrobou v zariadení výrobcu elektriny s celkovým inštalovaným výkonom do 1 MW vrátane uvedenom do prevádzky v období od 1. júla 2024 alebo v zariadení výrobcu elektriny, ktoré prešlo rekonštrukciou alebo modernizáciou technologickej časti zariadenia výrobcu elektriny podľa § 3c zákona o podpore, sa určuje priamym určením ceny elektriny v eurách na jednotku množstva elektriny takto: |
| 
|
| 
|
| (7) Cena elektriny vyrobenej vysoko účinnou kombinovanou výrobou spaľovaním biometánu v zariadení výrobcu elektriny s celkovým inštalovaným výkonom do 125 MW vrátane je vo výške 128,78 eura na MWh, pričom sa nezohľadňuje čas uvedenia zariadenia výrobcu elektriny do prevádzky. |
| (8) Cena elektriny podľa odseku 1 písm. c) až e), odseku 3 písm. c) a d) a odseku 5 písm. c) až e) sa uplatní len pre jedného výrobcu elektriny a pre jedno zariadenie výrobcu elektriny, ktoré obsahuje všetky technologické časti zariadenia výrobcu elektriny, ktorými sa vykonáva celý proces premeny energie obsiahnutej v biomase na elektrinu; to neplatí pre výrobu elektriny zo spaľovania biometánu podľa odseku 7, ak je biometán distribuovaný distribučnou sieťou a množstvo biometánu na výrobu elektriny zodpovedá zmluvnému množstvu biometánu dohodnutému podľa § 10 ods. 2 písm. b) zákona o podpore. |
| (9) Pri technológii podľa odseku 2 písm. c) štvrtého bodu a piateho bodu, technológii podľa odseku 2 písm. d) siedmeho bodu, technológii podľa odseku 2 písm. e), technológii podľa odseku 4 písm. c) štvrtého bodu a piateho bodu, odseku 6 písm. c) štvrtého bodu a piateho bodu, technológii podľa odseku 6 písm. d) štvrtého bodu a technológii podľa odseku 6 písm. e) sa spolu so žiadosťou výrobcu elektriny o vydanie potvrdenia o pôvode elektriny vyrobenej vysoko účinnou kombinovanou výrobou predkladá aj potvrdenie o pôvode paliva, v ktorom sa uvedie názov výrobcu paliva, chemické zloženie paliva a jeho výhrevnosť, ktoré je preskúšané v akreditovanom laboratóriu podľa osobitného predpisu.45) |
| (10) Cena elektriny podľa odseku 2 písm. f), odseku 4 písm. f) a odseku 6 písm. f) sa uplatní, ak je elektrina vyrábaná výhradne v tomto zariadení výrobcu elektriny a zároveň zariadenie výrobcu elektriny obsahuje všetky technologické časti zariadenia výrobcu elektriny, ktorými sa vykonáva celý proces premeny energie obsiahnutej v primárnom palive na elektrinu. |
| (11) Cena elektriny vyrobenej v zariadení výrobcu elektriny v spaľovacom motore s palivom zemný plyn, ktoré nie je pripojené do sústavy a je trvalo oddelené od sústavy a bolo uvedené do prevádzky do 31. júla 2019, je vo výške 127,41 eura/MWh. |
| § 48 |
| Spôsob výpočtu ceny vykupovanej elektriny, postup a podmienky uplatňovania cien |
| (1) Cenová regulácia podľa odsekov 2 až 7 a § 49 sa vzťahuje na výkup elektriny a činnosť výkupcu elektriny. |
| (2) Cena vykupovanej elektriny v j-tej hodine roku t v eurách na jednotku množstva elektriny CVEj,t sa vypočíta podľa vzorca
|
| CVEj,t = ZCVEj,t – k, |
| kde |
| a) ZCVEj,t je základ pre výpočet ceny vykupovanej elektriny v j-tej hodine roku t v eurách na jednotku množstva elektriny vypočítaný podľa odseku 3, |
| b) k je koeficient podľa odsekov 4 a 5 v eurách na jednotku množstva elektriny. |
| (3) Základ pre výpočet ceny vykupovanej elektriny podľa § 6 ods. 1 písm. b) zákona o podpore v j-tej hodine roku t v eurách na jednotku množstva elektriny sa vypočíta podľa vzorca
|
| , |
| kde |
| a) CDTj,t je cena elektriny slovenskej obchodnej oblasti na dennom trhu organizovanom organizátorom krátkodobého trhu s elektrinou v j-tej hodine roku t v eurách na jednotku množstva elektriny, |
| b) k je koeficient podľa odsekov 4 a 5 v eurách na jednotku množstva elektriny a rovná sa výške úhrady za činnosť výkupcu elektriny, určenej podľa § 49 ods. 2 alebo ods. 3. |
| (4) Po uplynutí základného časového úseku podľa § 9 ods. 1 zákona o podpore sa pre i-té zariadenie výrobcu elektriny, ktorý využil právo na podporu výkupom elektriny podľa § 3 ods. 1 písm. b) zákona o podpore a prevzatím zodpovednosti za odchýlku podľa § 3 ods. 1 písm. d) zákona o podpore, vypočíta vážený priemer cien vykupovanej elektriny VPCVEvi v eurách na jednotku množstva elektriny za základný časový úsek podľa vzorca
|
| , |
| kde |
| a) QEi,j je množstvo elektriny s nárokom na podporu výkupom elektriny podľa § 3 ods. 1 písm. b) zákona o podpore a prevzatím zodpovednosti za odchýlku podľa § 3 ods. 1 písm. d) zákona o podpore vyrobenej v i-tom zariadení výrobcu elektriny a vykúpenej výkupcom elektriny v režime prenesenej zodpovednosti za odchýlku v j-tej hodine základného časového úseku v jednotkách množstva elektriny, |
| b) CVEj,tje cena vykupovanej elektriny v j-tej hodine základného časového úseku v eurách na jednotku množstva elektriny vypočítaná podľa odseku 2, |
| c) n je počet hodín základného časového úseku. |
| (5) Ak je vážený priemer cien vykupovanej elektriny VPCVEvi nižší alebo sa rovná cene elektriny podľa § 6 ods. 1 písm. a) zákona o podpore, výška platby za vykúpenú elektrinu vyrobenú v i-tom zariadení výrobcu elektriny, ktorý využil právo na podporu výkupom elektriny podľa § 3 ods. 1 písm. b) zákona o podpore a prevzatím zodpovednosti za odchýlku podľa § 3 ods. 1 písm. d) zákona o podpore, za základný časový úsek PVEi v eurách sa vypočíta podľa vzorca |
| , |
| kde |
| a) QEi,j je množstvo elektriny s nárokom na podporu výkupom elektriny podľa § 3 ods. 1 písm. b) zákona o podpore a prevzatím zodpovednosti za odchýlku podľa § 3 ods. 1 písm. d) zákona o podpore vyrobenej v i-tom zariadení výrobcu elektriny a vykúpenej výkupcom elektriny v režime prenesenej zodpovednosti za odchýlku v j-tej hodine základného časového úseku v jednotkách množstva elektriny, |
| b) CVEj,t je cena vykupovanej elektriny v j-tej hodine základného časového úseku v eurách na jednotku množstva elektriny vypočítaná podľa odseku 2, |
| c) n je počet hodín základného časového úseku. |
| (6) Ak je vážený priemer cien vykupovanej elektriny VPCVEvi vyšší ako cena elektriny podľa § 6 ods. 1 písm. a) zákona o podpore, výška platby za vykúpenú elektrinu vyrobenú v i-tom zariadení výrobcu elektriny, ktorý využil právo na podporu výkupom elektriny podľa § 3 ods. 1 písm. b) zákona o podpore a prevzatím zodpovednosti za odchýlku podľa § 3 ods. 1 písm. d) zákona o podpore, za základný časový úsek PVEi v eurách sa vypočíta podľa vzorca |
| 
|
| kde |
| a) QEij je množstvo elektriny s nárokom na podporu výkupom elektriny podľa § 3 ods. 1 písm. b) zákona o podpore a prevzatím zodpovednosti za odchýlku podľa § 3 ods. 1 písm. d) zákona o podpore, vyrobenej v i-tom zariadení výrobcu elektriny a vykúpenej výkupcom elektriny v režime prenesenej zodpovednosti za odchýlku v j-tej hodine základného časového úseku v jednotkách množstva elektriny, |
| b) CEi je cena elektriny podľa § 6 ods. 1 písm. a) zákona o podpore, |
| c) n je počet hodín základného časového úseku. |
| (7) Ak výrobca elektriny využil pre i-té zariadenie výrobcu elektriny právo na podporu výkupom elektriny podľa § 3 ods. 1 písm. b) zákona o podpore, a zároveň si neuplatňuje právo na podporu prevzatím zodpovednosti za odchýlku podľa § 3 ods. 1 písm. d) zákona o podpore, výška platby za vykúpenú elektrinu vyrobenú v i-tom zariadení výrobcu elektriny, ktorý využil právo na podporu výkupom elektriny podľa § 3 ods. 1 písm. b) zákona o podpore, za základný časový úsek PVEi v eurách sa vypočíta podľa vzorca |
| , |
| kde |
| a) QEij je množstvo elektriny s nárokom na podporu výkupom elektriny podľa § 3 ods. 1 písm. b) zákona o podpore, vyrobenej v i-tom zariadení výrobcu elektriny a vykúpenej výkupcom elektriny v j-tej hodine základného časového úseku v jednotkách množstva elektriny, |
| b) CVEj,tje cena vykupovanej elektriny v j-tej hodine základného časového úseku v eurách na jednotku množstva elektriny vypočítaná podľa odseku 2, |
| c) n je počet hodín základného časového úseku. |
| § 49 |
| Cenová regulácia výkonu činnosti výkupcu elektriny |
| (1) Odmena k-tého výkupcu elektriny v eurách za základný časový úsek podľa § 9 ods. 2 zákona o podpore QVEk sa vypočíta podľa vzorca
|
| QVEk = (QEvk × UCVEk) – NVEk, |
| kde |
| a) QEvk je množstvo elektriny s nárokom na podporu výkupom elektriny podľa § 3 ods. 1 písm. b) zákona o podpore a prevzatím zodpovednosti za odchýlku podľa § 3 ods. 1 písm. d) zákona o podpore vykúpenej k-tym výkupcom elektriny v režime prenesenej zodpovednosti za odchýlku v základnom časovom úseku v jednotkách množstva elektriny, |
| b) UCVEk je úhrada za činnosť k-tého výkupcu elektriny za základný časový úsek v eurách na jednotku množstva elektriny vo výške koeficientu určeného podľa odsekov 2 a 3, |
| c) NVEk sú nadvýnosy k-tého výkupcu elektriny z vykúpenej elektriny v základnom časovom úseku podľa § 9 ods. 2 zákona o podpore v eurách, ktorých výška sa vypočíta podľa vzorca |
| 
|
| kde |
| 1. QEvi,j,k je množstvo elektriny s nárokom na podporu výkupom elektriny podľa § 3 ods. 1 písm. b) zákona o podpore a prevzatím zodpovednosti za odchýlku podľa § 3 ods. 1 písm. d) zákona o podpore vyrobenej v i-tom zariadení výrobcu elektriny a vykúpenej k-tým výkupcom elektriny v režime prenesenej zodpovednosti za odchýlku v j-tej hodine základného časového úseku v jednotkách množstva elektriny, |
| 2. CDTj je cena elektriny slovenskej obchodnej oblasti na dennom trhu organizovanom organizátorom krátkodobého trhu s elektrinou v j-tej hodine základného časového úseku v eurách na jednotku množstva elektriny, |
| 3. PVEi,k je platba za vykúpenú elektrinu vyrobenú v i-tom zariadení výrobcu elektriny, ktorý využil právo na podporu výkupom elektriny podľa § 3 ods. 1 písm. b) zákona o podpore a prevzatím zodpovednosti za odchýlku podľa § 3 ods. 1 písm. d) zákona o podpore k-tým výkupcom elektriny za základný časový úsek v eurách vypočítaná podľa § 48 ods. 7, |
| 4. m je počet zariadení výrobcu elektriny, pre ktoré výrobca elektriny využil právo na podporu výkupom elektriny podľa § 3 ods. 1 písm. b) zákona o podpore a prevzatím zodpovednosti za odchýlku podľa § 3 ods. 1 písm. d) zákona o podpore, z ktorých vykupuje elektrinu k-tý výkupca elektriny, ktoré sú zahrnuté do vyhodnotenia podľa tohto odseku za príslušný základný časový úsek, |
| 5. n je počet hodín základného časového úseku. |
| (2) Ak bol výkupca elektriny vybratý ministerstvom hospodárstva formou aukcie, UCVEk v odseku 1 sa pre rok t rovná výške úhrady za činnosť výkupcu elektriny požadovanej výkupcom elektriny v aukcii vyhlásenej ministerstvom hospodárstva podľa § 19 ods. 1 písm. n) zákona o podpore. |
| (3) Ak bol výkupca elektriny určený ministerstvom hospodárstva46) alebo ak činnosť výkupcu elektriny vykonáva dodávateľ poslednej inštancie,47) UCVEk v odseku 1 v eurách na jednotku množstva elektriny sa pre rok t vypočíta podľa vzorca
|
| , |
| kde |
| a) Ot sú určené náklady regulovaného subjektu na odchýlku súvisiace s výkupom elektriny od výrobcov elektriny s nárokom na podporu výkupom elektriny podľa § 3 ods. 1 písm. b) zákona o podpore a prevzatím zodpovednosti za odchýlku podľa § 3 ods. 1 písm. d) zákona o podpore v eurách na jednotku množstva elektriny vykúpenej v režime prenesenej zodpovednosti za odchýlku v roku t. Pre rok 2025 a pre nasledujúce roky sa náklady regulovaného subjektu na odchýlku vypočítajú podľa prílohy č. 7, |
| b) Vt sú schválené alebo určené prevádzkové náklady regulovaného subjektu na obsluhu výrobcov elektriny s nárokom na podporu výkupom elektriny podľa § 3 ods. 1 písm. b) zákona o podpore a prevzatím zodpovednosti za odchýlku podľa § 3 ods. 1 písm. d) zákona o podpore v eurách na jednotku množstva elektriny vykúpenej v režime prenesenej zodpovednosti za odchýlku v roku t a vypočítajú sa podľa vzorca |
| , |
| kde |
| 1. POPEX sú schválené alebo určené priemerné ročné prevádzkové náklady regulovaného subjektu súvisiace s výkupom elektriny od výrobcov elektriny s nárokom na podporu výkupom elektriny podľa § 3 ods. 1 písm. b) zákona o podpore a prevzatím zodpovednosti za odchýlku podľa § 3 ods. 1 písm. d) zákona o podpore v eurách vypočítané ako priemer skutočných prevádzkových nákladov za obdobie rokov 2021, 2022 a 2023, vrátane osobných nákladov podľa § 4 ods. 1 písm. b), určených ako skutočné osobné náklady za rok 2023 súvisiace s regulovanou činnosťou, a bez odpisov podľa § 4 ods. 1 písm. d); ak regulovaný subjekt vykonáva činnosť menej ako tri roky, použijú sa aritmetické priemery údajov za dva roky, za ktoré sú údaje k dispozícii, ak regulovaný subjekt vykonáva činnosť menej ako dva kalendárne roky, použijú sa údaje za jeden kalendárny rok alebo ak regulovaný subjekt nevykonával regulovanú činnost, použijú sa priemerné ročné prevádzkové náklady, |
| 2. JPIn je aritmetický priemer indexov jadrovej inflácie v percentách zverejnených štatistickým úradom za obdobie od júla roku n-2 do júna roku n-1, |
| 3. X je faktor efektivity, ktorého hodnota v každom roku regulačného obdobia je 3,0 %, pričom ak je hodnota rozdielu JPIn a X nižšia ako 0 %, na výpočet úhrady za činnosť výkupcu elektriny na rok t sa hodnota rozdielu JPIn a X rovná 0 %, |
| c) PZt je primeraný zisk v eurách na jednotku množstva elektriny vykúpenej v režime prenesenej zodpovednosti za odchýlku v roku t, ktorý je možné zahrnúť do úhrady za činnosť výkupcu elektriny, ktorý sa vypočíta podľa vzorca |
| PZt = Vt × WACCt, |
| kde |
| WACCt je miera výnosnosti regulačnej bázy aktív na 6. regulačné obdobie určená podľa § 5, |
| d) KUCVEt je korekcia úhrady za činnosť k-tého výkupcu elektriny za obdobie t-2 v eurách na jednotku množstva elektriny v režime prenesenej zodpovednosti za odchýlku v roku t, ktorá sa vypočíta podľa vzorca |
| , |
| kde |
| 1. Qeplt je schválené alebo určené množstvo elektriny s nárokom na podporu výkupom elektriny podľa § 3 ods. 1 písm. b) zákona o podpore a prevzatím zodpovednosti za odchýlku podľa § 3 ods. 1 písm. d) zákona o podpore vykúpenej k-tým výkupcom elektriny v režime prenesenej zodpovednosti za odchýlku v roku t v jednotkách množstva elektriny vykúpenej v režime prenesenej zodpovednosti za odchýlku v roku t, |
| 2. Qeplt-2 je plánované množstvo elektriny s nárokom na podporu výkupom elektriny podľa § 3 ods. 1 písm. b) zákona o podpore a prevzatím zodpovednosti za odchýlku podľa § 3 ods. 1 písm. d) zákona o podpore vykúpenej k-tým výkupcom elektriny v režime prenesenej zodpovednosti za odchýlku v roku t-2 v jednotkách množstva elektriny vykúpenej v režime prenesenej zodpovednosti za odchýlku v roku t-2, |
| 3. Qeskt-2 je skutočné množstvo elektriny s nárokom na podporu výkupom elektriny podľa § 3 ods. 1 písm. b) zákona o podpore a prevzatím zodpovednosti za odchýlku podľa § 3 ods. 1 písm. d) zákona o podpore vykúpenej k-tým výkupcom elektriny v režime prenesenej zodpovednosti za odchýlku v roku t-2 v jednotkách množstva elektriny vykúpenej v režime prenesenej zodpovednosti za odchýlku v roku t-2, |
| 4. KOt-2 je korekcia nákladov regulovaného subjektu na odchýlku súvisiaca s výkupom elektriny od výrobcov elektriny s nárokom na podporu výkupom elektriny podľa § 3 ods. 1 písm. b) zákona o podpore a prevzatím zodpovednosti za odchýlku podľa § 3 ods. 1 písm. d) zákona o podpore v eurách na jednotku množstva elektriny vykúpenej v režime prenesenej zodpovednosti za odchýlku v roku t-2, |
| KOt–2 = SkOt–2 – Ot–2, |
| kde |
| 4a. SkOt-2 sú skutočné náklady regulovaného subjektu v roku t-2 na odchýlku súvisiace s výkupom elektriny od výrobcov elektriny s nárokom na podporu výkupom elektriny podľa § 3 ods. 1 písm. b) zákona o podpore a prevzatím zodpovednosti za odchýlku podľa § 3 ods. 1 písm. d) zákona o podpore v eurách na jednotku množstva elektriny vykúpenej v režime prenesenej zodpovednosti za odchýlku v roku t-2, |
| 4b. Ot-2 sú určené náklady regulovaného subjektu na odchýlku v roku t-2 súvisiace s výkupom elektriny od výrobcov elektriny s nárokom na podporu výkupom elektriny podľa § 3 ods. 1 písm. b) zákona o podpore a prevzatím zodpovednosti za odchýlku podľa § 3 ods. 1 písm. d) zákona o podpore v eurách na jednotku množstva elektriny vykúpenej v režime prenesenej zodpovednosti za odchýlku v roku t-2, |
| 5. Vt-2 sú schválené alebo určené prevádzkové náklady regulovaného subjektu v roku t-2 na obsluhu výrobcov elektriny s nárokom na podporu výkupom elektriny podľa § 3 ods. 1 písm. b) zákona o podpore a prevzatím zodpovednosti za odchýlku podľa § 3 ods. 1 písm. d) zákona o podpore v eurách na jednotku množstva elektriny vykúpenej v režime prenesenej zodpovednosti za odchýlku v roku t, |
| 6. PZt-2 je schválený alebo určený primeraný zisk regulovaného subjektu v roku t-2 na obsluhu výrobcov elektriny s nárokom na podporu výkupom elektriny podľa § 3 ods. 1 písm. b) zákona o podpore a prevzatím zodpovednosti za odchýlku podľa § 3 ods. 1 písm. d) zákona o podpore v eurách na jednotku množstva elektriny vykúpenej v režime prenesenej zodpovednosti za odchýlku v roku t, |
| 7. KUCVEt-2 je korekcia korekcie úhrady za činnosť k-tého výkupcu elektriny za obdobie roku t-2 v eurách na jednotku množstva elektriny v režime prenesenej zodpovednosti za odchýlku v roku t, ktorú je možné zahrnúť do úhrady za činnosť výkupcu elektriny v roku t = 2027 a pre nasledujúce roky. |
| § 49a |
| Podrobnosti k výpočtu čistých nákladov povinnosti vo všeobecnom hospodárskom záujme |
| (1) Úprava podrobností k výpočtu čistých nákladov povinnosti vo všeobecnom hospodárskom záujme sa vzťahuje na regulovaný subjekt pri poskytovaní povinnosti vo všeobecnom hospodárskom záujme podľa § 24d ods. 1 zákona o energetike. |
| (2) Žiadosť o potvrdenie o výške čistých nákladov povinnosti vo všeobecnom hospodárskom záujme, alebo, ak sa poskytuje náhrada podľa § 24c ods. 1 zákona o energetike žiadosť o potvrdenie o predpokladanej výške čistých nákladov povinnosti vo všeobecnom hospodárskom záujme (ďalej len „potvrdenie o výške nákladov“) sa predkladá úradu podľa vzoru uvedeného v prílohe č. 16. Súčasťou žiadosti o vydanie potvrdenia o výške nákladov sú aj ďalšie údaje a podklady nevyhnutné na posúdenie žiadosti o vydanie potvrdenia o výške nákladov. |
| (3) Pri výpočte čistých nákladov povinnosti uloženej vo všeobecnom hospodárskom záujme úrad prihliada aj na nákladovú efektívnosť poskytovania povinnosti vo všeobecnom hospodárskom záujme a primeraný zisk vo výške podľa tejto vyhlášky v závislosti od vykonávanej regulovanej činnosti. Čisté náklady povinnosti uloženej vo všeobecnom hospodárskom záujme CNP sa vypočítajú podľa vzorca |
| CNP = CNBVHZ – CNVHZ , |
| kde |
| a) CNBVHZ sú čisté náklady poskytovateľa povinnosti vo všeobecnom hospodárskom záujme, ak by povinnosť uloženú vo všeobecnom hospodárskom záujme neposkytoval, |
| b) CNVHZ sú čisté náklady poskytovateľa povinnosti vo všeobecnom hospodárskom záujme pri plnení povinnosti uloženej vo všeobecnom hospodárskom záujme. |
| Prechodné a záverečné ustanovenia |
| § 50 |
| (1) Podľa tejto vyhlášky sa prvýkrát postupuje pri vykonávaní cenovej regulácie na rok 2025. |
| (2) Na posúdenie návrhu ceny alebo návrhu na zmenu cenového rozhodnutia na rok 2024 sa použijú: |
| a) vyhláška Úradu pre reguláciu sieťových odvetví č. 107/2023 Z. z., ktorou sa ustanovuje cenová regulácia dodávky elektriny, |
| b) vyhláška Úradu pre reguláciu sieťových odvetví č. 246/2023 Z. z., ktorou sa ustanovuje cenová regulácia vybraných regulovaných činností v elektroenergetike a niektoré podmienky vykonávania vybraných regulovaných činností v elektroenergetike, |
| c) vyhláška Úradu pre reguláciu sieťových odvetví č. 370/2023 Z. z., ktorou sa ustanovuje cenová regulácia v oblasti podpory výroby elektriny a niektoré súvisiace podmienky vykonávania regulovaných činností.
|
| § 51 |
| Zrušujú sa: |
| 1. vyhláška Úradu pre reguláciu sieťových odvetví č. 107/2023 Z. z., ktorou sa ustanovuje cenová regulácia dodávky elektriny, |
| 2. vyhláška Úradu pre reguláciu sieťových odvetví č. 246/2023 Z. z., ktorou sa ustanovuje cenová regulácia vybraných regulovaných činností v elektroenergetike a niektoré podmienky vykonávania vybraných regulovaných činností v elektroenergetike, |
| 3. vyhláška Úradu pre reguláciu sieťových odvetví č. 370/2023 Z. z., ktorou sa ustanovuje cenová regulácia v oblasti podpory výroby elektriny a niektoré súvisiace podmienky vykonávania regulovaných činností. |
|
|
| § 52 |
| Táto vyhláška nadobúda účinnosť 1. júla 2024 okrem § 51, ktorý nadobúda účinnosť 1. januára 2025. |
|
|
| Jozef Holjenčík v. r. |
|
|
| |
| Príloha č. 1
k vyhláške č. 154/2024 Z. z. |
| Technické doby životnosti majetku na účely výpočtu regulačných odpisov |
| | P. č. | Názov | Životnosť v rokoch | | 1 | Aktívna protikorózna ochrana vrátane SKAO | 30 | | 2 | Akumulátory (batérie) | 8 | | 3 | Analyzátor sietí | 8 | | 4 | Anténne stožiare | 30 | | 5 | Armatúry | 10 | | 6 | Betónové základy | 80 | | 7 | Bleskozvody a uzemnenia | 30 | | 8 | Budovy malých staníc – betónové (len samostatné objekty, najmä regulačné stanice ZP, trafostanice, výmenníkové stanice, dotláčacie stanice) | 50 | | 9 | Budovy administratívne | 50 | | 10 | Budovy malých staníc – kioskové (len samostatné objekty, najmä regulačné stanice ZP, trafostanice, výmenníkové stanice, dotláčacie stanice) | 50 | | 11 | Budovy malých staníc – murované (len samostatné objekty, najmä regulačné stanice ZP, trafostanice, výmenníkové stanice, dotláčacie stanice) | 50 | | 12 | Budovy malých staníc – plechové (len samostatné objekty, najmä regulačné stanice ZP, trafostanice, výmenníkové stanice, dotláčacie stanice) | 30 | | 13 | Budovy malých staníc – vstavané (len samostatné objekty, najmä regulačné stanice ZP, trafostanice, výmenníkové stanice, dotláčacie stanice) | 60 | | 14 | Bunky a objekty z plastu a sklolaminátu a podobne (len samostatné objekty, najmä regulačné stanice ZP, trafostanice, výmenníkové stanice, dotláčacie stanice, telemetrické skrinky) | 30 | | 15 | Čerpacie a prečerpávacie stanice – stavebná časť | 60 | | 16 | Čerpacie a prečerpávacie stanice – technologická časť | 10 | | 17 | Čerpadlá (najmä čerpadlá kvapalín oleja, vody, kondenzátu, vysávače, vývevy) | 12 | | 18 | Čistiace komory (najmä v rozvodoch plynu, tepla, vody a podobne – nie stavebné časti) | 10 | | 19 | Čistiarne odpadových vôd (ČOV) – stavebná časť | 50 | | 20 | Čistiarne odpadových vôd (ČOV) – technologická časť | 25 | | 21 | Čistička ultrazvuková | 10 | | 22 | Defektoskop | 10 | | 23 | Dopravníky a dopravné zariadenia (najmä pásové, závitovkové, korčekové) | 17 | | 24 | Dotláčacie stanice | 15 | | 25 | Ekonomizéry, rekuperátory, ohrievače | 17 | | 26 | Elektrické motory (najmä synchrónne, asynchrónne, krokové, derivačné, iné ako generátory) | 25 | | 27 | Elektrické prípojky NN (najmä káblové zemné, káblové vzdušné, vzdušné) | 25 | | 28 | Elektrické prípojky VN (najmä káblové zemné, káblové vzdušné, vzdušné) | 25 | | 29 | Elektrické prípojky VVN | 25 | | 30 | Elektrocentrály prenosné (najmä zážihové, vznetové) | 12 | | 31 | Elektroinštalácia v objektoch (najmä v regulačných staniciach, rozvodniach, výmenníkových staniciach, zariadeniach na úpravu vody) | 25 | | 32 | Elektromery | 12 | | 33 | Elektromery – inteligentné meracie systémy | 12 | | 34 | Elektronické prístroje kancelárske (najmä faxy, písacie stroje, tlačiarne, kopírovacie stroje, fotoaparáty, skenery, chladničky, TV prijímače, videokonferenčné zariadenia, prevodníky, čítačky) | 7 | | 35 | Elektronické zariadenia s individuálnymi funkciami (najmä kalibrátory, termokamery, analyzátory spalín, tlaku a iných neelektrických veličín) | 10 | | 36 | Energomosty | 40 | | 37 | Etalónový plynomer | 12 | | 38 | Filtre (najmä pieskové, zariadenia s aktívnym uhlím, s vymeniteľnými kartušami, samočistiace) | 15 | | 39 | Fotovoltické panely | 20 | | 40 | Frekvenčné meniče samostatné | 20 | | 41 | Garáže betónové | 50 | | 42 | Garáže inej konštrukcie | 25 | | 43 | Generátory, alternátory | 25 | | 44 | GPS jednotky | 6 | | 45 | Hasiace prístroje | 12 | | 46 | Havarijné jamy | 60 | | 47 | Horáky na kvapalné palivo, plynové palivo, práškové palivo | 15 | | 48 | Hydraulické zdviháky | 20 | | 49 | Chladiace veže | 40 | | 50 | Chladiace veže – betónové | 60 | | 51 | Chladiace, vetracie a klimatizačné zariadenia | 12 | | 52 | Chladiče kondenzátu (dochladzovače kondenzátu) | 12 | | 53 | Káblové bubny | 8 | | 54 | Káblové kanály | 50 | | 55 | Kanalizácia | 60 | | 56 | Kanalizačné šachty, odľahčovacie komory, dažďové nádrže | 60 | | 57 | Kogeneračné jednotky | 25 | | 58 | Koľajisko a ostatné dráhy | 30 | | 59 | Kolektory pre rozvod tepla | 50 | | 60 | Komínové zostavy nerezové | 30 | | 61 | Komínové zostavy plastové | 20 | | 62 | Komíny betónové | 50 | | 63 | Komíny nerezové | 30 | | 64 | Komíny plastové | 30 | | 65 | Kompresory bez pohonnej jednotky | 12 | | 66 | Komunikácie nespevnené | 20 | | 67 | Komunikácie spevnené – cesty | 50 | | 68 | Komunikačná technika ( mobilné telefóny, vysielačky) | 5 | | 69 | Kondenzačné nádrže | 12 | | 70 | Kondenzátory pary | 12 | | 71 | Kontajnery na odpad | 10 | | 72 | Kosačka na trávu | 8 | | 73 | Kotly na biomasu | 20 | | 74 | Kotly na pevné palivo, kvapalné palivo, plynné palivo, elektrokotly | 20 | | 75 | Kotolne – celé zostavy, najmä na plynné palivo, pevné palivo a iné, okrem tých, ktoré sa využívajú na podnikanie v tepelnej energetike | 25 | | 76 | Lesné kolesové traktory | 10 | | 77 | Malé lode a člny | 10 | | 78 | Malotraktory | 10 | | 79 | Melioračné zariadenia | 60 | | 80 | Meracie a diagnostické prístroje so špeciálnymi funkciami | 17 | | 81 | Meracie transformátory napätia | 30 | | 82 | Meracie transformátory prúdu | 30 | | 83 | Meteorologická stanica | 7 | | 84 | Mlyny | 12 | | 85 | Monitorovacie, riadiace systémy technologických procesov vrátane softvéru a hardvéru všeobecne | 15 | | 86 | Montážne plošiny mechanické | 17 | | 87 | Montážne plošiny v motorovom vozidle | 17 | | 88 | Mosty | 50 | | 89 | Motory s iným ako elektrickým pohonom (najmä zážihové, vznetové, plynové) | 17 | | 90 | Nabíjačky prenosné | 10 | | 91 | Nabíjačky stacionárne | 17 | | 92 | Nábytok | 15 | | 93 | Nábytok dielenský | 12 | | 94 | Nádrže na tokoch | 60 | | 95 | Nádrže na tokoch – environmentálna stavba | 40 | | 96 | Nakladacia rampa | 40 | | 97 | Nákladné automobily | 12 | | 98 | Navŕtavacie súpravy (najmä pre pripojenie plynových prípojok, vodovodných prípojok) | 20 | | 99 | Obrábacie stroje stacionárne, všeobecne (najmä sústruhy, frézy, vŕtačky, brúsky) | 20 | | 100 | Oceľové konštrukcie | 30 | | 101 | Oceľové montované sklady | 30 | | 102 | Oceľové prístrešky | 30 | | 103 | Odlučovače oleja | 30 | | 104 | Odlučovače popolčeka | 30 | | 105 | Odorizačná stanica | 10 | | 106 | Odovzdávacie stanice tepla | 25 | | 107 | Odškvarovací systém (bez dopravníka) | 10 | | 108 | Ochranné hrádze (inundačné) | 80 | | 109 | Ochrany – elektronické | 15 | | 110 | Ochrany – neelektronické | 15 | | 111 | Olejové nádrže | 30 | | 112 | Oplotenia | 30 | | 113 | Oporné múry | 60 | | 114 | Optické vedenia | 30 | | 115 | Osobné automobily (dispečerské, poruchová služba) | 12 | | 116 | Paletové vozíky | 17 | | 117 | Plynomery | 20 | | 118 | Plynovody oceľové | 30 | | 119 | Plynovody polyetylénové | 50 | | 120 | Počítačové zostavy, notebooky, tablety, monitory, tlačiarne | 5 | | 121 | Potrubia na rozvod tepla – oceľové | 20 | | 122 | Potrubia na rozvod tepla – predizolované | 25 | | 123 | Prepínacie hodiny | 15 | | 124 | Priehrady a hate | 100 | | 125 | Priemyselné váhy | 17 | | 126 | Prípojky plynu oceľové | 30 | | 127 | Prípojky plynu polyetylénové | 50 | | 128 | Prístavy, vodné cesty a plavebné objekty | 80 | | 129 | Prívesy | 12 | | 130 | Rádioreléové zariadenia (najmä vysielačky, prijímacie zariadenia a iné komunikačné nástroje) | 8 | | 131 | Redukčné stanice pary | 15 | | 132 | Regulátory tlaku plynu | 25 | | 133 | Rozvádzače skriňové NN | 25 | | 134 | Rozvádzače skriňové VN | 25 | | 135 | Rozvádzače zapuzdrené NN | 25 | | 136 | Rozvádzače zapuzdrené VN | 25 | | 137 | Rozvádzače zapuzdrené VVN | 25 | | 138 | Rozvod plynu areálový | 20 | | 139 | Rozvodná istiaca skriňa | 25 | | 140 | Rozvodne ZVN 220/110 kV | 40 | | 141 | Rozvodne VVN 110/22 kV | 30 | | 142 | Rozvody NN | 25 | | 143 | Rozvody VN | 25 | | 144 | Rozvody VVN a ZVN | 35 | | 145 | Ručné elektrické náradie | 10 | | 146 | Ručné mechanické náradie | 8 | | 147 | Servery | 8 | | 148 | Skladové kontajnery | 20 | | 149 | Sklady betónové | 50 | | 150 | Snežné skútre | 12 | | 151 | Softvér jednoúčelový (na vykonanie konkrétneho typu úlohy) | 5 | | 152 | Softvér nepodliehajúci vonkajším vplyvom (dĺžka životnosti je rovnaká ako doba podpory od dodávateľa) | 8 | | 153 | Softvér viazaný so zariadením | 8 | | 154 | Solárne kolektory | 20 | | 155 | Spalinovody | 30 | | 156 | Stanovištia transformátorov | 30 | | 157 | Studne | 80 | | 158 | Súprava balónovacia s havarijným vakom | 12 | | 159 | Sušičky a triedičky uhoľného prachu | 20 | | 160 | Svetelné zdroje (najmä svetelné reklamy, svetelné znaky, značky, svetelné oznamovacie tabule, svietidlá pre osvetlenie hál, rozvodní, regulačných staníc) | 8 | | 161 | Systém ústredného kúrenia | 25 | | 162 | Systémy SCADA, HDO a MaR | 10 | | 163 | Systémy synchronizácie reálneho času | 20 | | 164 | Špeciálne podvozky | 15 | | 165 | Špeciálne prívesy | 15 | | 166 | Štúdie a modely | 10 | | 167 | Technická dokumentácia | 10 | | 168 | Technológia regulačných staníc | 15 | | 169 | Telemetrické zariadenia | 17 | | 170 | Tepelné čerpadlá | 25 | | 171 | Terapeutické nástroje a prístroje, dýchacie prístroje | 7 | | 172 | Tlakové nádoby | 20 | | 173 | Tlmivka | 30 | | 174 | Trafostanice VN/NN betónové bez technológie a objektu bez transformátora | 50 | | 175 | Trafostanice VN/NN kioskové bez technológie a objektu bez transformátora | 50 | | 176 | Trafostanice VN/NN murované bez technológie a objektu bez transformátora | 50 | | 177 | Trafostanice VN/NN stĺpové bez technológie a objektu bez transformátora | 50 | | 178 | Trafostanice VN/NN stožiarové bez technológie a objektu bez transformátora | 50 | | 179 | Trafostanice VN/NN vstavané bez transformátora a stavebnej časti | 50 | | 180 | Trafostanice zapúzdrené a objektu bez transformátora | 50 | | 181 | Traktorové prívesy | 15 | | 182 | Traktory vrátane prídavných zariadení | 10 | | 183 | Transformátor ZVN/VVN | 30 | | 184 | Transformátory (VN, VVN ) | 25 | | 185 | Trasové uzávery | 50 | | 186 | Trezory | 50 | | 187 | Tunely a podzemné dráhy | 80 | | 188 | Turbíny (najmä parné, plynové) | 25 | | 189 | Úpravne vody – stavebná časť | 50 | | 190 | Úpravne vody – technologická časť (deionizácia, demineralizácia, dekarbonizácia vody) | 14 | | 191 | Úsekové odpojovače | 25 | | 192 | Vaňa z nehrdzavejúcej ocele | 60 | | 193 | Vedenia NN káblové podzemné | 25 | | 194 | Vedenia NN káblové vzdušné | 25 | | 195 | Vedenia NN vzdušné | 25 | | 196 | Vedenia VN káblové podzemné | 25 | | 197 | Vedenia VN káblové vzdušné | 25 | | 198 | Vedenia VN vzdušné | 25 | | 199 | Vedenia VVN káblové podzemné | 25 | | 200 | Vedenia VVN vzdušné | 25 | | 201 | Vedenia ZVN vzdušné | 35 | | 202 | Vodné toky regulované | 60 | | 203 | Vodojemy podzemného typu | 70 | | 204 | Vodojemy vežového typu | 50 | | 205 | Vodomerné šachty (plastové, z kovu, murované a podobne) | 50 | | 206 | Vodomerné uzávery | 50 | | 207 | Vodomery, prietokomery | 12 | | 208 | Vodovodné potrubia (PE, PPR, PVC, zo sieťovaného polyetylénu, polymérne, kovovo-plastové, kovové) | 50 | | 209 | Vonkajšie osvetlenie (najmä na stĺpoch, vonkajších konštrukciách) | 17 | | 210 | Vozidlá s elektrickým pohonom (najmä elektromobily, elektrické vozíky, elektrické regálové zakladače) | 14 | | 211 | Vozidlá so špeciálnou nadstavbou | 15 | | 212 | Vozíky štartovacie | 10 | | 213 | Vozíky vŕtacie | 10 | | 214 | Vyhnívacie nádrže | 60 | | 215 | Vyklápač plastových nádob | 17 | | 216 | Výpočtová technika | 5 | | 217 | Výsledky meraní | 10 | | 218 | Vysokozdvižné vozíky | 15 | | 219 | Výťahy | 14 | | 220 | Vzduchové a dymové ventilátory | 15 | | 221 | Vzduchovody | 25 | | 222 | Zabezpečovacie, poplachové a signalizačné zariadenia a systémy | 10 | | 223 | Záložné zdroje | 8 | | 224 | Zariadenia na úpravu vody (najmä filtračné, zmäkčovacie stanice, úprava kondenzátu, úprava demineralizovanej vody) | 14 | | 225 | Zásobníky na sypké hmoty (škvara, vápno a iné) | 20 | | 226 | Závesné montážne rebríky | 12 | | 227 | Zdvíhacie zariadenia reťazové, kladkostroje a podobne | 17 | | 228 | Zdviháky – ručné | 17 | | 229 | Zváracie agregáty | 11 | | 230 | Žeriavy mostové | 17 | | 231 | Žeriavy na vozidlách | 17 | | 232 | Žeriavy portálové | 17 | | 233 | Žumpy | 60 |
|
| Vysvetlivky k tabuľke: |
| ZP – zemný plyn, |
| SKAO – sklolaminátový kiosk aktívnej protikoróznej ochrany, |
| ČOV – čistiareň odpadových vôd, |
| NN – nízke napätie, |
| VN – vysoké napätie, |
| VVN – veľmi vysoké napätie, |
| ZVN – zvlášť vysoké napätie, |
| GPS – globálny lokalizačný systém, |
| SCADA – informačný a merací systém, |
| HDO – hromadné diaľkové ovládanie, |
| MaR – meranie a regulácia, |
| PE – polyetylén, |
| PPR – tripropylpolyetylén, |
| PVC – polyvinylchlorid. |
| |
| Príloha č. 2 k vyhláške č. 154/2024 Z. z. |
| Podrobnosti výpočtu miery výnosnosti regulačnej bázy aktív na nasledujúce roky 6. regulačného obdobia |
| (1) Pri výpočte miery výnosnosti regulačnej bázy aktív ako aj jednotlivých parametrov miery výnosnosti regulačnej bázy aktív sa v nasledujúcich rokoch 6. regulačného obdobia postupuje podľa § 5 ods. 4 a 6, pričom podrobný popis, spôsob určenia a zdroje jednotlivých parametrov výpočtu miery výnosnosti regulačnej bázy aktív je v odsekoch 2 až 6. |
| (2) Bezriziková miera výnosu (Rf) sa určí ako aritmetický priemer denných výnosov do splatnosti za desaťročné vládne dlhopisy, ktoré sú zverejnené na webovej stránke Národnej banky Slovenska. Pri výpočte sa zohľadní referenčné obdobie desiatich kalendárnych rokov predchádzajúcich 31. decembru roka t-2 vrátane. Výsledná hodnota sa matematicky zaokrúhli na dve desatinné miesta. |
| (3) Náklady cudzieho kapitálu (Kd) sa určia ako aritmetický priemer úrokových mier zo stavu úverov poskytnutých nefinančným spoločnostiam s dohodnutou dobou splatnosti nad 5 rokov, ktoré sú zverejnené na webovej stránke Národnej banky Slovenska. Pri výpočte sa zohľadní referenčné obdobie desiatich kalendárnych rokov predchádzajúcich 31. decembru roka t-2 vrátane. Výsledná hodnota sa matematicky zaokrúhli na dve desatinné miesta. |
| (4) Koeficient nezadlžená beta (β unlevered) sa získa z výskumov profesora Aswath Damodaran zverejnených na webovej stránke Damodaran Online v časti Data > Current data > Levered and Unlevered Betas by Industry, kde sa zvolí databáza pre región Európa. Pre určenie koeficientu β unlevered sa použijú referenčné skupiny (Industry Name) Power, Oil/Gas Distribution, Utility (Water) a Utillity (General), ktoré reprezentujú verejne obchodovateľné spoločnosti z energetického sektora. Hodnota β unlevered sa vypočíta ako aritmetický priemer hodnôt referenčných skupín Power a Utillity (General), ktoré sú najaktuálnejšie hodnoty zverejnené k 30. júnu v roku t-1, pričom sa použije Marginal Tax Rate. Výsledná hodnota sa matematicky zaokrúhli na dve desatinné miesta. |
| (5) Trhová riziková prirážka (MRP) sa získa z výskumov profesora Aswath Damodaran zverejnených na webovej stránke Damodaran Online, v časti Data > Current data > Risk Premium for Other Markets, kde sa vyberie v záložke ERPs by country hodnota Total Equity Risk Premium zverejnená pre Slovensko, alebo sa vypočíta ako súčet rizikovej prémie Equity Risk Premium US a Country Risk Premium SK. Pre určenie trhovej rizikovej prirážky sa použije najaktuálnejšia hodnota zverejnená k 30. júnu v roku t-1. |
| (6) Podiel vlastného kapitálu a cudzieho kapitálu k celkovému kapitálu je pre celé regulačné obdobie určený vo výške 60 % cudzieho kapitálu a 40 % vlastného kapitálu. |
| |
| Príloha č. 3 k vyhláške č. 154/2024 Z. z. |
| Zoznam oprávnených priemyselných odvetví pre posúdenie nároku na určenie individuálnej sadzby tarify za prevádzkovanie systému pre koncových odberateľov elektriny |
| | Kód NACE | Opis | | 2013 | Výroba ostatných základných anorganických chemikálií | | 2015 | Výroba priemyselných hnojív a dusíkatých zlúčenín | | 2016 | Výroba plastov v primárnej forme | | 2410 | Výroba surového železa a ocele a ferozliatin | | 2420 | Výroba rúr, rúrok, dutých profilov a súvisiaceho príslušenstva z ocele | | 2442 | Výroba hliníka |
|
| |
| Príloha č. 4 k vyhláške č. 154/2024 Z. z. |
| Údaje nevyhnutné na výpočet hodnoty elektroenergetickej náročnosti podniku |
| 1. Údaje týkajúce sa hrubej pridanej hodnoty podniku |
| | Riadok (r) | | Rok t-4 | Rok t-3 | Rok t-2 | Aritmetický priemer hrubej pridanej hodnoty podniku (HPH) | | | eur | eur | eur | eur | | 1 | Tržby za vlastné výkony a tovar | | | | X | | 2 | Aktivácia hmotného investičného majetku a nehmotného investičného majetku v eurách | | | | X | | 3 | Ostatné prevádzkové výnosy | | | | X | | 4 | Výnosy z odpísaných pohľadávok, výnosy z predaja pohľadávok, výnosy z postúpených pohľadávok, výnosy z faktoringu a ďalšie výnosy súvisiace s postúpením pohľadávok v eurách | | | | X | | 5 | zmena stavu zásob | | | | X | | 6 | Náklady na nákup tovaru, materiálu, energie a služieb vrátane nákladov na personálny lízing a operatívny lízing | | | | X | | 7 | Náklady na personálny lízing | | | | | | 8 | Náklady na operatívny lízing | | | | X | | 9 | Clá a dane súvisiace s výrobou a iné dane z výrobkov, ktoré súvisia s tržbami, ale nie sú odpočítateľné | | | | X | | 10 | Hrubá pridaná hodnota podniku | | | | |
|
| 2. Údaje týkajúce sa koncovej spotreby elektriny koncového odberateľa elektriny |
| | | Rok t-4 | Rok t-3 | Rok t-2 | Aritmetický priemer | | | MWh | MWh | MWh | MWh | | 1 | Koncová spotreba elektriny v rámci NACE kódov uvedených v prílohe č. 3 | | | | | | 2 | Koncová spotreba elektriny celkom* | | | | | | 3 | Podiel koncovej spotreby elektriny podniku v rámci NACE celkom na výške koncovej spotrebe podniku v %** | | | | |
|
| Vysvetlivky k tabuľke:
* Vrátane koncovej spotreby elektriny v rámci NACE kódov neuvedených v prílohe č. 3.
** Vypočíta sa ako podiel riadkov 1 a 2 násobený číslom 100. |
| 3. Údaje týkajúce sa elektroenergetickej náročnosti podniku |
| | 1 | Hrubá pridaná hodnota podniku* | eur | | | 2 | Aritmetický priemer maloobchodných cien elektrickej energie pre odberateľov elektriny mimo domácnosti v kategórii spotreby od 500 MWh do 1 999 MWh vrátane daní a poplatkov, v roku t-2 v eur/MWh, bez dane z pridanej hodnoty zverejnených Eurostatom pre Slovenskú republiku | eur/MWh | | | 3 | Koncová spotreba elektriny koncového odberateľa elektriny** | MWh | | | 4 | Elektroenergetická náročnosť podniku*** | % | |
|
| Vysvetlivky k tabuľke: |
| * aritmetický priemer hodnôt za roky t-4 až t-2; hodnota sa rovná hodnote uvedenej v riadku 10 poslednom stĺpci v tabuľke č. 1 |
| ** aritmetický priemer hodnôt za roky t-4 až t-2; hodnota sa rovná hodnote uvedenej v riadku 2 poslednom stĺpci v tabuľke č. 2 |
| *** vypočíta sa ako podiel, kde v čitateľovi je súčin riadkov 2 a 3 a v menovateli je riadok 1, výsledok sa násobí číslom 100 |
| Vysvetlivky k uvádzaniu údajov v tabuľkám č. 1 až 3: |
| Pri koncovom odberateľovi elektriny, u ktorého sú k dispozícii údaje nevyhnutné na výpočty za obdobie dlhšie ako jeden kalendárny rok, ale kratšie ako tri kalendárne roky, sa postupuje takto: |
| a) Ak sú k dispozícii údaje aspoň za dva kalendárne roky, uvedú sa údaje za dva kalendárne roky, za ktoré sú údaje k dispozícii; aritmetické priemery sa vypočítajú na základe údajov za dva kalendárne roky, za ktoré sú údaje k dispozícii, |
| b) ak sú k dispozícii údaje aspoň za jeden kalendárny rok, uvedú sa údaje za jeden kalendárny rok, za ktorý sú údaje k dispozícii; rovnaké údaje sa použijú aj namiesto aritmetických priemerov. |
| |
| Príloha č. 5 k vyhláške č. 154/2024 Z. z. |
| Podklady k návrhu ceny organizátora krátkodobého trhu s elektrinou |
| | Číslo | Názov výkazu | Za obdobie | Termín predloženia | | 1 | Výkaz investičných výdavkov | plán na regulačné obdobie | do 31. marca roka t-1 | | skutočnosť t-2 | do 31. októbra roka t-1 | | 2 | Výkaz výdavkov | plán na regulačné obdobie | do 31. marca roka t-1 | | skutočnosť t-2 | do 31. októbra roka t-1 | | 3 | Výkaz vybraných nákladov/výnosov | skutočnosť t-2 | do 31. mája roka t-1 | | očakávaná skutočnosť t-1 | do 31. októbra roka t-1 | | predpoklad t | do 31. októbra roka t-1 |
|
| 1. Výkaz investičných výdavkov organizátora krátkodobého trhu s elektrinou (ďalej aj „VIV-EI“) zahŕňa prehľad skutočných výdavkov na investície za predchádzajúce dva roky „t-3 a t-2“, predpokladané výdavky na investície v roku predloženia výkazu „t-1“ a plán investícií na päť rokov dopredu, to znamená za roky t až t+4. |
| | VIV-E | rok t-3 | rok t-2 | rok t-1 | rok t | rok t+1 | rok t+2 | rok t+3 | rok t+4 | | tisíc eur | tisíc eur | tisíc eur | tisíc eur | tisíc eur | tisíc eur | tisíc eur | tisíc eur | | 1 | Zúčtovanie, vyhodnotenie a vysporiadanie odchýlok | | | | | | | | | | 2 | Organizovanie a vyhodnotenie krátkodobého trhu s elektrinou | | | | | | | | | | 3 | Správa a zber nameraných údajov | | | | | | | | | | 4 | Centrálna fakturácia | | | | | | | | | | 5 | Investície do regulovaných činností celkom | | | | | | | | |
|
| 2. Výkaz výdavkov organizátora krátkodobého trhu s elektrinou (ďalej aj „VV-E“) zahŕňa prehľad skutočných výdavkov na odpisy za predchádzajúce dva roky „t-3 a t-2“, predpokladané výdavky na investície v roku predloženia výkazu „t-1“ a plán odpisov na päť rokov dopredu, to znamená za roky t až t+4. |
| | VV-E | rok t-3 | rok t-2 | rok t-1 | rok t | rok t+1 | rok t+2 | rok t+3 | rok t+4 | | tisíc eur | tisíc eur | tisíc eur | tisíc eur | tisíc eur | tisíc eur | tisíc eur | tisíc eur | | 1 | Zúčtovanie, vyhodnotenie a vysporiadanie odchýlok | | | | | | | | | | 2 | Organizovanie a vyhodnotenie krátkodobého trhu s elektrinou | | | | | | | | | | 3 | Správa a zber nameraných údajov | | | | | | | | | | 4 | Centrálna fakturácia | | | | | | | | | | 5 | Odpisy do regulovaných činností celkom | | | | | | | | |
|
| 3. Výkaz vybraných nákladov a výnosov organizátora krátkodobého trhu s elektrinou |
| | Vybrané náklady/výnosy organizátora krátkodobého trhu s elektrinou | tisíc eur | | 1 | náklady za zúčtovanie, vyhodnotenie a vysporiadanie odchýlok | | | 2 | náklady za organizovanie a vyhodnotenie krátkodobého trhu s elektrinou | | | 3 | náklady za správu a zber nameraných údajov | | | 4 | náklady za centrálnu fakturáciu | | | 5 | náklady za organizovanie trhu hradené v tarife za prevádzkovanie systému | | | 6 | výnosy za zúčtovanie, vyhodnotenie a vysporiadanie odchýlok | | | 7 | výnosy za organizovanie a vyhodnotenie krátkodobého trhu s elektrinou | | | 8 | výnosy za správu a zber nameraných údajov | | | 9 | výnosy za centrálnu fakturáciu | |
|
| |
| Príloha č. 6 k vyhláške č. 154/2024 Z. z. |
| Podklady k návrhu ceny za prístup do prenosovej sústavy a prenos elektriny predkladané
prevádzkovateľom prenosovej sústavy |
| | Číslo | Názov výkazu | Za obdobie | Termín predloženia | | 1 | Výkaz investičných výdavkov | plán na regulačné obdobie | do 31. marca roka t-1 | | skutočnosť t-2 | do 31. augusta roka t-1 | | 2 | Výkaz bilancie fyzických tokov elektriny | skutočnosť t-2 | do 31. júla roka t-1 | | očakávaná skutočnosť t-1 | do 31. augusta roka t-1 | | 3 | Výkaz cenových štatistík | predpoklad t | do 31. augusta roka t-1 | | skutočnosť t-2 | do 30. júna roka t-1 | | očakávaná skutočnosť t-1 | do 31. augusta roka t-1 | | predpoklad t | do 31. augusta roka t-1 | | 4 | Výkaz vybraných nákladov a výnosov | skutočnosť t-2 | do 31. mája roka t-1 | | očakávaná skutočnosť t-1 | do 31. augusta roka t-1 | | predpoklad t | do 31. augusta roka t-1 | | 5 | Výkaz podporných služieb | mesačné hodnoty | do 20. dňa nasledujúceho mesiaca | | skutočnosť t-2 | do 31. mája roka t-1 | | 6 | Výkaz regulačnej elektriny | mesačné hodnoty | do 20. dňa nasledujúceho mesiaca | | skutočnosť t-2 | do 31. mája roka t-1 | | 7 | Výnosy za rezervovanú kapacitu od výrobcov elektriny | skutočnosť za regulačný rok t-2 | do 31. augusta roka t-1 | | plán na regulačný rok t | | 8 | Čistý výnos z aukcii prenosovej kapacity na cezhraničných profiloch prenosovej sústavy | skutočnosť za regulačný rok t-2, predpoklad t-1 a plán na regulačný rok t | do 30. júna roka t-1 |
|
| 1. Výkaz investičných výdavkov prevádzkovateľa prenosovej sústavy (ďalej aj „VIV-E-PS“) zahŕňa prehľad skutočných výdavkov na investície za predchádzajúce dva roky „t-3 a t-2“, predpokladané výdavky na investície v roku predloženia výkazu „t-1“ a plán investícií na päť rokov dopredu, to znamená za roky t až t+4. |
| | VIV-E-PS | rok t-3 | rok t-2 | rok t-1 | rok t | rok t+1 | rok t+2 | rok t+3 | rok t+4 | | tis. eur | tis. eur | tis. eur | tis. eur | tis. eur | tis. eur | tis. eur | tis. eur | | 1 | Prenos elektriny | | | | | | | | | | 2 | z toho vedenia | | | | | | | | | | 3 | z toho transformátorové stanice | | | | | | | | | | 4 | z toho dispečing | | | | | | | | | | 5 | z toho ostatné | | | | | | | | | | 6 | Investície do regulovaných činností celkom | | | | | | | | |
|
| V riadku 5 „z toho ostatné“ sa uvádzajú údaje o investícii, ktorá súvisí s prenosom elektriny a nie je uvedená v riadkoch 2, 3, 4. |
| 2. Výkaz bilancie fyzických tokov elektriny |
| V tabuľkách „Objem elektriny na vstupe“ a „Objem elektriny na výstupe“ sa udávajú namerané hodnoty. Ak na niektorých vstupoch alebo výstupoch neboli hodnoty namerané, udávajú sa hodnoty určené výpočtom. |
| 2.1 Objem elektriny na vstupe |
| | Elektrina na vstupe | MWh | | A | b | | 1 | Výrobca elektriny/prenosová sústava | | | 2 | Prevádzkovateľ zariadenia na uskladňovanie elektriny/prenosová sústava | | | 3 | Regionálna distribučná sústava /prenosová sústava | | | 4 | Miestna distribučná sústava/ prenosová sústava | | | 5 | Zahraničie/ prenosová sústava | | | 6 | Celkom | |
|
| V tabuľke sa vykazujú v MWh za rok tieto hodnoty: |
| 1. ročný objem dodanej elektriny do prenosovej sústavy na rozhraní výrobcu elektriny a prenosovej sústavy; hodnoty sa vyplnia pre tých výrobcov elektriny, ktorí sú do prenosovej sústavy pripojení priamo a nie prostredníctvom distribučnej sústavy (riadok 1), |
| 2. ročný objem dodanej elektriny do prenosovej sústavy na rozhraní prevádzkovateľa zariadenia na uskladňovanie elektriny a prenosovej sústavy; hodnoty sa vyplnia pre tých prevádzkovateľov zariadení na uskladňovanie elektriny, ktorí sú do prenosovej sústavy pripojení priamo a nie prostredníctvom distribučnej sústavy (riadok 2) |
| 3. ročný objem dodanej elektriny do prenosovej sústavy na rozhraní s regionálnou distribučnou sústavou (riadok 3), |
| 4. ročný objem dodanej elektriny do prenosovej sústavy na rozhraní s miestnou distribučnou sústavou (riadok 4), |
| 5. ročný objem dodanej elektriny do prenosovej sústavy na rozhraní prenosovej sústavy a zahraničnej prenosovej alebo zahraničnej distribučnej sústavy (riadok 5), |
| 6. ročný objem celkovej dodanej elektriny do prenosovej sústavy; súčet riadkov 1 až 5 (riadok 6). |
| 2.2 Objem elektriny na výstupe |
| | Elektrina na výstupe | MWh | | a | b | | 1 | Prenosová sústava/regionálna distribučná sústava | | | 2 | Prenosová sústava/miestna distribučná sústava | | | 3 | Prenosová sústava/výrobca elektriny | | | 4 | Prenosová sústava/prevádzkovateľ zariadenia na uskladňovanie elektriny | | | 5 | Prenosová sústava/odberateľ elektriny | | | 6 | Prenosová sústava/zahraničie | | | 7 | Celkom | |
|
| V tabuľke sa vykazujú v MWh za rok tieto hodnoty: |
| 1. ročný objem odobratej elektriny z prenosovej sústavy na rozhraní prenosovej sústavy a regionálnej distribučnej sústavy (riadok 1), |
| 2. ročný objem odobratej elektriny z prenosovej sústavy na rozhraní prenosovej sústavy a miestnej distribučnej sústavy (riadok 2), |
| 3. ročný objem odobratej elektriny z prenosovej sústavy na rozhraní prenosovej sústavy a výrobcu elektriny; hodnoty sa vyplnia pre tých výrobcov elektriny, ktorí sú do prenosovej sústavy pripojení priamo a nie prostredníctvom distribučnej sústavy (riadok 3) |
| 4. ročný objem odobratej elektriny z prenosovej sústavy na rozhraní prenosovej sústavy a prevádzkovateľa zariadenia na uskladňovanie elektriny; hodnoty sa vyplnia pre tých prevádzkovateľov zariadenia na uskladňovanie elektriny, ktorí sú do prenosovej sústavy pripojení priamo a nie prostredníctvom distribučnej sústavy (riadok 4), |
| 5. ročný objem odobratej elektriny z prenosovej sústavy na rozhraní prenosovej sústavy a odberateľa elektriny; sú to odberatelia, ktorí sú do prenosovej sústavy regulovaného subjektu pripojení priamo, a nie prostredníctvom distribučnej sústavy (riadok 5), |
| 6. ročný objem odobratej elektriny z prenosovej sústavy na rozhraní prenosovej sústavy a zahraničnej prenosovej alebo zahraničnej distribučnej sústavy (riadok 6), |
| 7. ročný objem celkovej odobratej elektriny z prenosovej sústavy, súčet riadkov 1 až 6 (riadok 7). |
| 2.3 Vlastná spotreba elektriny a straty |
| | Vlastná spotreba a straty | MWh | | A | b | | 1 | Vlastná spotreba | | | 2 | Straty | |
|
| 3. Výkaz cenových štatistík prevádzkovateľa prenosovej sústavy |
| | Uplatňované údaje | Technická jednotka – popis | Technická jednotka – množstvo | tisíc eur | | a | b | c | d | | 1 | Počet odovzdávacích miest | | | | | 2 | Položka 1 | | | | | 3 | Položka 2 | | | | | 4 | Položka 3 | | | | | 5 | Položka 4 | | | | | 6 | Položka 5 | | | | | 7 | Položka 6 | | | | | 8 | Položka 7 | | | | | 9 | Položka 8 | | | | | 10 | Položka 9 | | | | | 11 | Položka 10 | | | | | 12 | Celkom | x | x | |
|
| V riadku 1 sa vo výkaze uvádza počet odovzdávacích miest alebo odberných miest. |
| V ďalších riadkoch sa v stĺpci a uvádzajú položky, na základe ktorých je určovaná cena za prenos elektriny (napríklad stála platba, prenesená elektrina, rezervovaná kapacita a podobne), |
| v stĺpci b sa uvádzajú technické jednotky súvisiace s položkami uvedenými v stĺpci a (napríklad MWh, MW a pod.), |
| v stĺpci c sa uvádza množstvo takto spoplatnených položiek (počet prenesených MWh, počet rezervovaných MW) a |
| v stĺpci d sa uvádzajú výnosy z jednotlivých položiek. Vo výkaze sa rovnako uvádzajú systémové služby. Vo výkaze sa uvádzajú aj prirážky za nedodržanie zmluvných hodnôt. Ak je viac prenosových sadzieb, výkaz sa vypĺňa pre jednotlivé sadzby osobitne. |
| 4. Výkaz vybraných nákladov a výnosov prevádzkovateľa prenosovej sústavy |
| | Vybrané náklady/výnosy prevádzkovateľa prenosovej sústavy | tisíc eur | | 1 | Náklady na nákup elektriny na krytie strát | | | 2 | Náklady na nákup elektriny pre vlastnú spotrebu | | | Nakúpené podporné služby | tisíc EUR | | 1 | FCR | | | 2 | aFRR+ | | | 3 | aFRR- | | | 4 | mFRR+ | | | 5 | mFRR- | | | 6 | TRV3+ | | | 7 | TRV3- | | | 8 | Sekundárna regulácia napätia | | | 9 | Štart z tmy | | | 10 | Iné | | | 11 | Celkom | |
|
| V tabuľke sa vyplnia náklady na nákup elektriny na krytie strát a pre vlastnú spotrebu, ako aj náklady na nákup jednotlivých druhov podporných služieb, v súlade s „Prevádzkovým poriadkom prevádzkovateľa prenosovej sústavy“ a s „Technickými podmienkami prístupu a pripojenia a pravidiel prevádzkovania prenosovej sústavy“. |
| 5. Výkaz podporných služieb (ďalej aj „VPpS“) |
| | VPpS | FCR | aFRR+ | aFRR- | mFRR+ | mFRR- | TRV3min+ | TRV3min- | | Dátum a čas | Objem | Priemerná cena | Objem | Priemerná cena | Objem | Priemerná cena | Objem | Priemerná cena | Objem | Priemerná cena | Objem | Priemerná cena | Objem | Priemerná cena | | MW | euro/MW | MW | euro/MW | MW | euro/MW | MW | euro/MW | MW | euro/MW | MW | euro/MW | MW | euro/MW | | dd.mm.hh | | | | | | | | | | | | | | | | dd.mm.hh | | | | | | | | | | | | | | |
|
| Vysvetlivky k tabuľke: |
| dd.mm.hh je deň, mesiac, hodina |
| Vo výkaze podporných služieb sa uvádzajú nakúpené objemy (MW) a priemerné ceny (euro/MW) pre jednotlivé typy podporných služieb v jednotlivých hodinách mesiaca. Priemerná cena sa vypočíta ako priemerná cena nakúpených podporných služieb pre danú hodinu. |
| 6. Výkaz regulačnej elektriny (ďalej aj „VEreg“) |
| | VEreg | Kladná regulačná elektrina | Záporná regulačná elektrina | | Dátum a čas | Objem | Cena | Objem | Cena | | MWh | euro/MWh | MWh | euro/MWh | | dd.mm.hh | | | | | | dd.mm.hh | | | | |
|
| Vysvetlivky k tabuľke: |
| dd.mm.hh je deň, mesiac, hodina |
| Vo výkaze regulačnej elektriny sa uvádzajú nakúpené objemy (MWh) a priemerné ceny (euro/MWh) kladnej regulačnej elektriny a zápornej regulačnej elektriny v jednotlivých hodinách mesiaca. Priemerná cena sa vypočíta ako priemerná cena nakúpenej regulačnej elektriny pre danú hodinu. |
| 7. Výkaz skutočných a plánovaných výnosov z rezervovanej kapacity (RK) výrobcov elektriny uplatňovanej pri výrobe elektriny |
| | Číslo | Výkaz výnosov z RK výrobcov elektriny | Inštalovaný výkon rok t-2 | Výnosy v roku t-2 | Inštalovaný výkon rok t | Výnosy v roku t | | MW | tisíc eur | MW | tisíc eur | | a | b | c | d | e | | 1 | Prenosová sústava | | | | |
|
| 8. Výkaz čistého výnosu z aukcií prenosovej kapacity na cezhraničných profiloch prenosovej sústavy (ďalej aj „VA“) |
| | Číslo | | t-2 | t-1 | t | t+1 | t+2 | | tisíc EUR | tisíc EUR | tisíc EUR | tisíc EUR | tisíc EUR | | 1 | VA | | | | | | | 2 | Prevádzkové náklady z VA | | | | | | | 3 | Použité do taríf z VA | | | | | | | 4 | VA pred odvodmi a daňami | | | | | | | 5 | Odvody z VA | | | | | | | 6 | Dane z VA | | | | | | | 7 | Čistý VA | | | | | | | | | | | | | | 8 | Odvod do Zákonného rezervného fondu z VA | | | | | | | 9 | Účet nepoužitého VA za predchádzajúce roky | | | | | | | 10 | Investície financované z VA | | | | | | | 11 | Čistý VA do Zákonného rezervného fondu | | | | | | | 12 | Zostatok finančných prostriedkov VA na konci roka | | | | | | | | | | | | | | 13 | Investície financované z VA (spolu) | | | | | | | 14 | Investičný projekt – názov | | | | | | | 15 | - z toho financované z VA | | | | | |
|
| Vysvetlivka k tabuľke: |
| Výkaz č. 8: Pri znížení časti Zákonného rezervného fondu vytvoreného nad rámec Obchodného zákonníka sa finančné zdroje VA, o ktoré bol Zákonný rezervný fond navýšený, vracajú späť na účet Zostatok finančných prostriedkov VA. |
| |
| Príloha č. 7 k vyhláške č. 154/2024 Z. z. |
| Spôsob výpočtu nákladov na odchýlku súvisiacich s diagramom strát elektriny a s výkupom elektriny od výrobcov elektriny s nárokom na podporu výkupom elektriny určených na základe skutočných cien odchýlky |
| (1) Náklady na odchýlku Ot vypočítané podľa odseku 2 sa zohľadnia pri výpočte ceny elektriny na krytie strát elektriny v sústave. |
| (2) Náklady na odchýlku súvisiace s diagramom strát elektriny určené na základe skutočných cien odchýlky v eurách na jednotku množstva elektriny na rok t Ot sa vypočítajú podľa vzorca |
| Ot = SNOt-2 × POt, |
| kde |
| a) SNOt-2 sú náklady na odchýlku súvisiace s diagramom strát elektriny určené na základe skutočných cien odchýlky v eurách na jednotku množstva odchýlky v roku t-2, ktoré sa vypočítajú podľa vzorca |
| SNOt-2 = ∑4i=1(SZCi,t-2 x PPi,t-2), |
| kde |
| 1. SZCi,t-2 je skutočná zúčtovacia cena odchýlky v eurách na jednotku množstva odchýlky v roku t-2 v i-tej situácii podľa odseku 3 určená podľa odseku 4, |
| 2. PPi,t-2 je plánovaná pravdepodobnosť i-tej situácie podľa odseku 3 v roku t-2 v percentách určená podľa odseku 5, |
| b) POt je plánovaná odchýlkovosť diagramu dodávky elektriny regulovaného subjektu v percentách v roku t-2, ktorej hodnota je rovná 20 %. |
| (3) Na výpočet podľa odseku 2 písm. a) sa zohľadňujú tieto situácie: |
| a) regulovaný subjekt spôsobí zápornú odchýlku pri kladnej odchýlke sústavy, |
| b) regulovaný subjekt spôsobí zápornú odchýlku pri zápornej odchýlke sústavy, |
| c) regulovaný subjekt spôsobí kladnú odchýlku pri kladnej odchýlke sústavy, |
| d) regulovaný subjekt spôsobí kladnú odchýlku pri zápornej odchýlke sústavy. |
| (4) Na výpočet podľa odseku 2 písm. a) sa použijú nasledujúce skutočné zúčtovacie ceny odchýlky v eurách na jednotku množstva odchýlky v roku t-2 v i-tej situácii podľa odseku 3 SZC1,t-2, a to |
| a) pre roky t = 2023 a t = 2024 |
| 1. SZC1,t-2 pre situáciu podľa odseku 3 písm. a) vo výške aritmetického priemeru zúčtovacích cien odchýlok pri kladnej odchýlke sústavy za obdobie od 1. novembra roku t-2 do 31. októbra roku t-1, |
| 2. SZC2,t-2 pre situáciu podľa odseku 3 písm. b) vo výške aritmetického priemeru zúčtovacích cien odchýlok pri zápornej odchýlke sústavy za obdobie od 1. novembra roku t-2 do 31. októbra roku t-1, |
| 3. SZC3,t-2 pre situáciu podľa odseku 3 písm. c) vo výške aritmetického priemeru zúčtovacích cien odchýlok pri kladnej odchýlke sústavy za obdobie od 1. novembra roku t-2 do 31. októbra roku t-1, |
| 4. SZC4,t-2 pre situáciu podľa odseku 3 písm. d) vo výške aritmetického priemeru zúčtovacích cien odchýlok pri zápornej odchýlke sústavy za obdobie od 1. novembra roku t-2 do 31. októbra roku t-1. |
| b) pre rok t = 2025 a nasledujúce roky, kde |
| 1. SZC1,t-2 pre situáciu podľa odseku 3 písm. a) vo výške aritmetického priemeru zúčtovacích cien odchýlok pri kladnej odchýlke sústavy za obdobie od 1. júla roku t-2 do 30. júna roku t-1, |
| 2. SZC2,t-2 pre situáciu podľa odseku 3 písm. b) vo výške aritmetického priemeru zúčtovacích cien odchýlok pri zápornej odchýlke sústavy za obdobie od 1. júla roku t-2 do 30. júna roku t-1, |
| 3. SZC3,t-2 pre situáciu podľa odseku 3 písm. c) vo výške opačnej hodnoty aritmetického priemeru zúčtovacích cien odchýlok pri kladnej odchýlke sústavy za obdobie od 1. júla roku t-2 do 30. júna roku t-1, |
| 4. SZC4,t-2 pre situáciu podľa odseku 3 písm. d) vo výške opačnej hodnoty aritmetického priemeru zúčtovacích cien odchýlok pri zápornej odchýlke sústavy za obdobie od 1. júla roku t-2 do 30. júna roku t-1. |
| (5) Na výpočet podľa odseku 2 písm. a) sa použijú tieto plánované pravdepodobnosti i-tej situácie v percentách v roku t-2 podľa odseku 2 PPi,t-2: |
| a) PP1,t-2 pre situáciu podľa odseku 3 písm. a) vo výške 20 %, |
| b) PP2,t-2 pre situáciu podľa odseku 3 písm. b) vo výške 30 %, |
| c) PP3,t-2 pre situáciu podľa odseku 3 písm. c) vo výške 30 %, |
| d) PP4,t-2 pre situáciu podľa odseku 3 písm. d) vo výške 20 %. |
| |
| Príloha č. 8 k vyhláške č. 154/2024 Z. z. |
| Podklady k návrhu ceny prevádzkovateľa regionálnej distribučnej sústavy |
| .png)
|
| |
| Príloha č. 9 k vyhláške č. 154/2024 Z. z. |
| Špecifikácia výnosov z cenníka služieb za distribúciu elektriny podľa § 25 ods. 3 písm. j)
piateho bodu na účely určenia DVHN,t roku t-2 |
| .png)
|
| |
| Príloha č. 10 k vyhláške č. 154/2024 Z. z. |
| Podklady k návrhu ceny za prístup do miestnej distribučnej sústavy a distribúciu elektriny
prevádzkovateľa miestnej distribučnej sústavy |
| .png)
|
| |
| Príloha č. 11 k vyhláške č. 154/2024 Z. z. |
| Údaje nevyhnutné na určenie ceny za pripojenie do distribučnej sústavy |
| .png)
|
| |
| Príloha č. 12 k vyhláške č. 154/2024 Z. z. |
| Podklady k návrhu ceny dodávateľa elektriny pre zraniteľných odberateľov
v domácnosti |
| .png)
|
| |
| Príloha č. 13 k vyhláške č. 154/2024 Z. z. |
| Podklady k návrhu ceny dodávateľa elektriny pre zraniteľných odberateľov okrem
zraniteľných odberateľov v domácnosti |
| .png)
|
| |
| Príloha č. 14 k vyhláške č. 154/2024 Z. z. |
| Podklady k návrhu ceny výrobcu elektriny |
| .png)
|
| |
| Príloha č. 15 k vyhláške č. 154/2024 Z. z. |
| Podklady k návrhu ceny výrobcu elektriny na účel predĺženia podpory doplatkom |
| .png)
|
| Príloha č. 16 k vyhláške č. 154/2024 Z. z. |
| Vzor |
| Žiadosť o potvrdenie o výške čistých nákladov povinnosti vo všeobecnom hospodárskom záujme alebo o potvrdenie o predpokladanej výške čistých nákladov povinnosti vo všeobecnom hospodárskom záujme |
| 1. Údaje o žiadateľovi o potvrdenie o výške čistých nákladov povinnosti vo všeobecnom hospodárskom záujme alebo o potvrdenie o predpokladanej výške čistých nákladov povinnosti vo všeobecnom hospodárskom záujme |
| Obchodné meno: |
| Sídlo: |
| Identifikačné číslo organizácie: |
| Kontaktné údaje (e – mail a kontaktné telefónne číslo zodpovednej osoby): |
| Identifikácia zariadenia na výrobu elektriny (pri uložení povinnosti vo všeobecnom hospodárskom záujme v rozsahu výroby elektriny na vymedzenom území): |
| 2. Charakteristika poskytovania povinnosti vo všeobecnom hospodárskom záujme žiadateľa o potvrdenie o výške čistých nákladov povinnosti vo všeobecnom hospodárskom záujme alebo o potvrdenie o predpokladanej výške čistých nákladov povinnosti vo všeobecnom hospodárskom záujme |
| Číslo rozhodnutia Ministerstva hospodárstva Slovenskej republiky o uložení povinnosti vo všeobecnom hospodárskom záujme: |
| Detailný popis poskytovania povinnosti vo všeobecnom hospodárskom záujme: |
| 3. Vyčíslenie čistých nákladov povinnosti vo všeobecnom hospodárskom záujme žiadateľa o vydanie potvrdenia o výške nákladov za predchádzajúci kalendárny rok alebo vyčíslenie predpokladanej výšky čistých nákladov povinnosti vo všeobecnom hospodárskom záujme |
| Podrobný popis jednotlivých nákladov a údaje potrebné na preukázanie vyčíslenia nákladov: |
| 3a. Údaje o dodávke elektriny poskytovateľa povinnosti vo všeobecnom hospodárskom záujme pri plnení povinnosti uloženej vo všeobecnom hospodárskom záujme |
| Tabuľka č. 1 |
| | Označenie tarifnej skupiny prevádzkovateľa distribučnej sústavy, do ktorej je odberateľ elektriny pripojený | Počet odberných miest zaradených do tarifnej skupiny | Množstvo v MWh | Výnosy z dodávky elektriny | Priemerná cena v eur/MWh | | 1 | | | | | | | 2 | | | | | | | 3 | | | | | | | 4 | | | | | | | 5 | | | | | | | 6 | | | | | | | 7 | | | | | | | 8 | | | | | | | 9 | | | | | | | 10... | | | | | | | SPOLU | | | | |
|
| Vysvetlivka k tabuľke: |
| Tabuľka sa vypracúva samostatne za jednotlivé mesiace kalendárneho roka. |
| 3b. Údaje o nákladoch na nákup elektriny poskytovateľa povinnosti vo všeobecnom hospodárskom záujme pre zabezpečenie dodávky elektriny zazmluvneným odberateľom pri plnení povinnosti uloženej vo všeobecnom hospodárskom záujme |
| Tabuľka č. 2 |
| | Nákup elektriny od (názov spoločnosti) | Január | Február | ........ | | | Množst-vo v MWh | Priemer-ná cena v eur/Mh | Množst-vo v MWh | Priemerná cena v eur/MWh | Množst-vo v MWh | Priemerná cena v eur/MWh | | 1 | | | | | | | | | 2 | | | | | | | | | 3 | | | | | | | | | 4 | | | | | | | | | 5 | | | | | | | | | 6 | | | | | | | | | 7 | Nákup spolu | | | | | | |
|
| 3c. Údaje o nákladoch na výrobu elektriny pri plnení povinnosti uloženej vo všeobecnom hospodárskom záujme |
| Tabuľka č. 3 |
| | Január | Február | ........ | | Vyrobené množstvo v MWh | Cena v eur/MWh | Vyrobené množstvo v MWh | Cena v eur/MWh | Vyrobené množstvo v MWh | Cena v eur/MWh | | | | | | |
|
| 3d. Údaje o nákladoch poskytovateľa povinnosti vo všeobecnom hospodárskom záujme pri plnení povinnosti uloženej vo všeobecnom hospodárskom záujme |
| Tabuľka č. 4 |
| | Náklady vztiahnuté k činnosti poskytovateľa povinnosti vo všeobecnom hospodárskom záujme pri plnení povinnosti uloženej vo všeobecnom hospodárskom záujme | Január | Február | Marec | ..... | | | v tisícoch eur | v tisícoch eur | v tisícoch eur | v tisícoch eur | | 1 | Spotreba materiálu (501) | | | | | | 2 | Spotreba energií (502) | | | | | | 3 | Spotreba ostatných neskladovateľných dodávok (503) | | | | | | 4 | Služby (51x) | | | | | | 5 | – z toho opravy a údržba (511) | | | | | | 6 | Osobné náklady (52x) | | | | | | 7 | Prevádzkové náklady (53x, 54x, 55x okrem odpisov) | | | | | | 8 | – z toho dane a poplatky(53x) | | | | | | 9 | ostatné prevádzkové náklady (54x) | | | | | | 10 | Odpisy DHM a DNM (551) | | | | | | 11 | Finančné náklady (56x) | | | | | | 12 | – z toho úroky z úverov (562) | | | | | | 13 | Mimoriadne náklady (58x) | | | | | | 14 | Ostatné prvotné náklady | | | | | | 15 | Celkové prvotné náklady (bez odpisov) | | | | | | 16 | Celkové prvotné náklady (vrátane odpisov) | | | | | | 17 | – z toho vlastné opravy | | | | | | 18 | vlastná doprava a mechanizácia | | | | | | 19 | režijné náklady | | | | | | 20 | Celkové druhotné náklady | | | | | | 21 | Náklady spolu vrátane odpisov | | | | |
|
| Vysvetlivky k tabuľke: |
| DHM – dlhodobý hmotný majetok |
| DNM – dlhodobý nehmotný majetok |
| 3e. Údaje o dodávke elektriny poskytovateľa povinnosti vo všeobecnom hospodárskom záujme, ak by povinnosť uloženú vo všeobecnom hospodárskom záujme neposkytoval |
| Tabuľka č. 5 |
| | Označenie tarifnej skupiny prevádzkovateľa distribučnej sústavy, do ktorej je odberateľ elektriny pripojený | Počet odberných miest zaradených do tarifnej skupiny | Množstvo v MWh | Výnosy z dodávky elektriny | Priemerná cena v eur/MWh | | 1 | | | | | | | 2 | | | | | | | 3 | | | | | | | 4 | | | | | | | 5 | | | | | | | 6 | | | | | | | 7 | | | | | | | 8 | | | | | | | 9 | | | | | | | 10... | | | | | | | SPOLU | | | | |
|
| Vysvetlivka k tabuľke: |
| Tabuľka sa vypracúva samostatne za jednotlivé mesiace kalendárneho roka. |
| 3f. Údaje o nákladoch na nákup elektriny poskytovateľa povinnosti vo všeobecnom hospodárskom záujme pre zabezpečenie dodávky elektriny zazmluvneným odberateľom, ak by povinnosť uloženú vo všeobecnom hospodárskom záujme neposkytoval |
| Tabuľka č. 6 |
| | Nákup elektriny od (názov spoločnosti) | Január | Február | ........ | | | Množst-vo v MWh | Priemer-ná cena v eur/MWh | Množst-vo v MWh | Priemerná cena v eur/MWh | Množst-vo v MWh | Priemer- ná cena v eur/MWh | | 1 | | | | | | | | | 2 | | | | | | | | | 3 | | | | | | | | | 4 | | | | | | | | | 5 | | | | | | | | | 6 | | | | | | | | | 7 | Nákup spolu | | | | | | |
|
| 3g. Údaje o nákladoch na výrobu elektriny poskytovateľa povinnosti vo všeobecnom hospodárskom záujme, ak by povinnosť uloženú vo všeobecnom hospodárskom záujme neposkytoval |
| Tabuľka č. 7 |
| | Január | Február | ........ | | Vyrobené množstvo v MWh | Cena v eur/MWh | Vyrobené množstvo v MWh | Cena v eur/MWh | Vyrobené množstvo v MWh | Cena v eur/MWh | | | | | | |
|
| 3h. Údaje o nákladoch poskytovateľa povinnosti vo všeobecnom hospodárskom záujme, ak by povinnosť uloženú vo všeobecnom hospodárskom záujme neposkytoval |
| Tabuľka č. 8 |
| | Náklady vztiahnuté k činnosti poskytovateľa povinnosti vo všeobecnom hospodárskom záujme pri plnení povinnosti uloženej vo všeobecnom hospodárskom záujme | Január | Február | Marec | ..... | | | v tisícoch eur | v tisícoch eur | v tisícoch eur | v tisícoch eur | | 1 | Spotreba materiálu (501) | | | | | | 2 | Spotreba energií (502) | | | | | | 3 | Spotreba ostatných neskladovateľných dodávok (503) | | | | | | 4 | Služby (51x) | | | | | | 5 | – z toho opravy a údržba (511) | | | | | | 6 | Osobné náklady (52x) | | | | | | 7 | Prevádzkové náklady (53x, 54x, 55x okrem odpisov) | | | | | | 8 | – z toho dane a poplatky(53x) | | | | | | 9 | ostatné prevádzkové náklady (54x) | | | | | | 10 | Odpisy DHM* a DNM** (551) | | | | | | 11 | Finančné náklady (56x) | | | | | | 12 | – z toho úroky z úverov (562) | | | | | | 13 | Mimoriadne náklady (58x) | | | | | | 14 | Ostatné prvotné náklady | | | | | | 15 | Celkové prvotné náklady (bez odpisov) | | | | | | 16 | Celkové prvotné náklady (vrátane odpisov) | | | | | | 17 | – z toho vlastné opravy | | | | | | 18 | vlastná doprava a mechanizácia | | | | | | 19 | režijné náklady | | | | | | 20 | Celkové druhotné náklady | | | | | | 21 | Náklady spolu vrátane odpisov | | | | |
|
| Vysvetlivky k tabuľke: |
| DHM – dlhodobý hmotný majetok |
| DNM – dlhodobý nehmotný majetok |
| 4. Vyčíslenie celkových nákladov žiadateľa o vydanie potvrdenia o výške nákladov za predchádzajúci kalendárny rok |
| Podrobný popis celkových nákladov a údaje potrebné na preukázanie vyčíslenia nákladov: |
| 4a. Údaje o dodávke elektriny poskytovateľa povinnosti vo všeobecnom hospodárskom záujme |
| Tabuľka č. 9 |
| | Označenie tarifnej skupiny prevádzkovateľa distribučnej sústavy, do ktorej je odberateľ elektriny pripojený | Počet odberných miest zaradených do tarifnej skupiny | Množstvo v MWh | Výnosy z dodávky elektriny | Priemerná cena v eur/MWh | | 1 | | | | | | | 2 | | | | | | | 3 | | | | | | | 4 | | | | | | | 5 | | | | | | | 6 | | | | | | | 7 | | | | | | | 8 | | | | | | | 9 | | | | | | | 10... | | | | | | | SPOLU | | | | |
|
| Vysvetlivka k tabuľke: |
| Tabuľka sa vypracúva samostatne za jednotlivé mesiace kalendárneho roka. |
| 4b. Údaje o celkových nákladoch na nákup elektriny poskytovateľa povinnosti vo všeobecnom hospodárskom záujme pre zabezpečenie dodávky elektriny zazmluvneným odberateľom |
| Tabuľka č. 10 |
| | Nákup elektriny od (názov spoločnosti) | Január | Február | ........ | | | Množst- vo v MWh | Priemer-ná cena v eur/MWh | Množst-vo v MWh | Priemer-ná cena v eur/MWh | Množst-vo v MWh | Priemer- ná cena v eur/MWh | | 1 | | | | | | | | | 2 | | | | | | | | | 3 | | | | | | | | | 4 | | | | | | | | | 5 | | | | | | | | | 6 | | | | | | | | | 7 | Nákup spolu | | | | | | |
|
| 4c. Údaje o celkových nákladoch na výrobu elektriny poskytovateľa povinnosti vo všeobecnom hospodárskom záujme |
| Tabuľka č. 11 |
| | Január | Február | ........ | | Vyrobené množstvo v MWh | Cena v eur/MWh | Vyrobené množstvo v MWh | Cena v eur/MWh | Vyrobené množstvo v MWh | Cena v eur/MWh | | | | | | |
|
| 4d. Údaje o celkových nákladoch poskytovateľa povinnosti vo všeobecnom hospodárskom záujme |
| Tabuľka č. 12 |
| | Celkové náklady poskytovateľa povinnosti vo všeobecnom hospodárskom záujme | Január | Február | Marec | ..... | | | v tisícoch eur | v tisícoch eur | v tisícoch eur | v tisícoch eur | | 1 | Spotreba materiálu (501) | | | | | | 2 | Spotreba energií (502) | | | | | | 3 | Spotreba ostatných neskladovateľných dodávok (503) | | | | | | 4 | Služby (51x) | | | | | | 5 | – z toho opravy a údržba (511) | | | | | | 6 | Osobné náklady (52x) | | | | | | 7 | Prevádzkové náklady (53x, 54x, 55x okrem odpisov) | | | | | | 8 | – z toho dane a poplatky(53x) | | | | | | 9 | ostatné prevádzkové náklady (54x) | | | | | | 10 | Odpisy DHM a DNM (551) | | | | | | 11 | Finančné náklady (56x) | | | | | | 12 | – z toho úroky z úverov (562) | | | | | | 13 | Mimoriadne náklady (58x) | | | | | | 14 | Ostatné prvotné náklady | | | | | | 15 | Celkové prvotné náklady (bez odpisov) | | | | | | 16 | Celkové prvotné náklady (vrátane odpisov) | | | | | | 17 | – z toho vlastné opravy | | | | | | 18 | vlastná doprava a mechanizácia | | | | | | 19 | režijné náklady | | | | | | 20 | Celkové druhotné náklady | | | | | | 21 | Náklady spolu vrátane odpisov | | | | |
|
| Vysvetlivky k tabuľke: |
| DHM – dlhodobý hmotný majetok |
| DNM – dlhodobý nehmotný majetok |
| 5. Ďalšie údaje a podklady |
| 5a. Počet uzavretých zmlúv o dodávke elektriny a zmlúv o združenej dodávke elektriny k prvému dňu a poslednému dňu poskytovania povinnosti vo všeobecnom hospodárskom záujme v členení podľa odberateľov elektriny, a to |
| a) odberatelia elektriny v domácnosti, |
| b) ostatní zraniteľní odberatelia elektriny mimo domácnosti, |
| c) odberatelia elektriny s cenou za dodávku elektriny nepodliehajúcou cenovej regulácii podľa § 11 ods. 5 a 6 zákona o regulácii. |
| 5b. Zoznam externých dodávateľov tovaru a služieb pre poskytovateľa povinnosti vo všeobecnom hospodárskom záujme vrátane predmetu uzavretých zmlúv o dodávke tovaru alebo poskytovaní služieb potrebných na zabezpečenie regulovanej činnosti a cien vyplývajúcich z týchto zmlúv: |
| 5c. Doplňujúce údaje k tabuľkám v treťom bode a štvrtom bode a popis prípadných dokladov preukazujúcich požadovanú výšku nákladov v treťom bode a štvrtom bode, ktoré tvoria prílohy k tejto žiadosti: |
| 5d. Kópia rozhodnutia Ministerstva hospodárstva Slovenskej republiky o uložení povinnosti vo všeobecnom hospodárskom záujme: |
| 6. Prílohy k žiadosti |
| 6a. Zoznam príloh a stručný opis ich obsahu: |
| 6b. Vysvetlenie k vypĺňaniu tabuliek: V tabuľkách sa uvádzajú skutočné údaje potrebné k vydaniu potvrdenia o výške čistých nákladov povinnosti vo všeobecnom hospodárskom záujme za predchádzajúci rok. Pri žiadosti o vydanie potvrdenia o predpokladanej výške čistých nákladov povinnosti vo všeobecnom hospodárskom záujme sa v tabuľkách uvádzajú skutočné údaje a predpokladané údaje za kalendárny rok v závislosti od dátumu podania žiadosti o vydanie potvrdenia o predpokladanej výške čistých nákladov povinnosti vo všeobecnom hospodárskom záujme. |
| Dátum: |
| Meno, priezvisko a podpis zodpovednej osoby: |
| Poznámky pod čiarou |
| 1) Napríklad nariadenie Komisie (EÚ) 2015/1222 z 24. júla 2015, ktorým sa stanovuje usmernenie pre prideľovanie kapacity a riadenie preťaženia (Ú. v. EÚ L 197, 25. 7. 2015) v platnom znení. |
| 2) § 2 písm. b) bod 21. zákona č. 251/2012 Z. z. o energetike a o zmene a doplnení niektorých zákonov v znení zákona č. 256/2022 Z. z. |
| 3) § 66 opatrenia Ministerstva financií Slovenskej republiky zo 16. decembra 2002 č. 23054/2002-92, ktorým sa ustanovujú podrobnosti o postupoch účtovania a rámcovej účtovej osnove pre podnikateľov účtujúcich v sústave podvojného účtovníctva (oznámenie č. 740/2002 Z. z.) v znení neskorších predpisov. |
| 4) Napríklad zákon č. 381/2001 Z. z. o povinnom zmluvnom poistení zodpovednosti za škodu spôsobenú prevádzkou motorového vozidla a o zmene a doplnení niektorých zákonov v znení neskorších predpisov, zákon č. 582/2004 Z. z. o miestnych daniach a miestnom poplatku za komunálne odpady a drobné stavebné odpady v znení neskorších predpisov, § 13 ods. 3 zákona č. 650/2004 Z. z. o doplnkovom dôchodkovom sporení a o zmene a doplnení niektorých zákonov v znení neskorších predpisov, zákon č. 309/2009 Z. z. o podpore obnoviteľných zdrojov energie a vysoko účinnej kombinovanej výroby a o zmene a doplnení niektorých zákonov v znení neskorších predpisov, zákon č. 251/2012 Z. z. v znení neskorších predpisov. |
| 5) Zákon č. 137/2010 Z. z. o ovzduší v znení neskorších predpisov. |
| 6) § 29 zákona č. 595/2003 Z. z. o dani z príjmov v znení neskorších predpisov. |
| 7) § 2 ods. 1, 5 a 8 zákona č. 483/2001 Z. z. o bankách a o zmene a doplnení niektorých zákonov v znení neskorších predpisov. |
| 8) § 37 ods. 4 zákona č. 251/2012 Z. z. v znení neskorších predpisov. |
| 9) § 23 zákona č. 595/2003 Z. z. v znení neskorších predpisov. |
| 10) Zákon č. 650/2004 Z. z. v znení neskorších predpisov. |
| 11) Zákon č. 283/2002 Z. z. o cestovných náhradách v znení neskorších predpisov. |
| 12) Zákon Národnej rady Slovenskej republiky č. 152/1994 Z. z. o sociálnom fonde a o zmene a doplnení zákona č. 286/1992 Zb. o daniach z príjmov v znení neskorších predpisov v znení neskorších predpisov. |
| 13) Nariadenie vlády Slovenskej republiky č. 395/2006 Z. z. o minimálnych požiadavkách na poskytovanie a používanie osobných ochranných pracovných prostriedkov v znení nariadenia vlády Slovenskej republiky č. 400/2021 Z. z. |
| 14) Napríklad zákon č. 577/2004 Z. z. o rozsahu zdravotnej starostlivosti uhrádzanej na základe verejného zdravotného poistenia a o úhradách za služby súvisiace s poskytovaním zdravotnej starostlivosti v znení neskorších predpisov, zákon č. 355/2007 Z. z. o ochrane, podpore a rozvoji verejného zdravia a o zmene a doplnení niektorých zákonov v znení neskorších predpisov. |
| 15) Zákon č. 124/2006 Z. z. o bezpečnosti a ochrane zdravia pri práci a o zmene a doplnení niektorých zákonov v znení neskorších predpisov. |
| 16) § 20 zákona č. 595/2003 Z. z. v znení neskorších predpisov. |
| 17) § 59 ods. 14 opatrenia č. 23054/2002-92 (oznámenie č. 740/2002 Z. z.) v znení opatrenia č. MF/26312/2009-74 (oznámenie č. 518/2009 Z. z.). |
| 18) § 19 ods. 2 písm. l) zákona č. 595/2003 Z. z. v znení neskorších predpisov. |
| 19) § 3 písm. a) šiesty bod zákona č. 251/2012 Z. z. |
| 20) Vyhláška Úradu pre reguláciu sieťových odvetví č. 236/2016 Z. z., ktorou sa ustanovujú štandardy kvality prenosu elektriny, distribúcie elektriny a dodávky elektriny. |
| 21) Vyhláška Štatistického úradu Slovenskej republiky č. 306/2007 Z. z., ktorou sa vydáva Štatistická klasifikácia ekonomických činností. |
| 22) § 3 písm. l) a § 11 zákona č. 305/2013 Z. z. o elektronickej podobe výkonu pôsobnosti orgánov verejnej moci a o zmene a doplnení niektorých zákonov (zákon o e-Governmente) v znení neskorších predpisov. |
| 23) § 19 ods. 2 zákona č. 595/2003 Z. z. v znení neskorších predpisov. |
| 24) § 6 a § 14 zákona č. 235/2012 Z. z. o osobitnom odvode z podnikania v regulovaných odvetviach a o zmene a doplnení niektorých zákonov v znení neskorších predpisov. |
| 25) Zákon č. 382/2004 Z. z. o znalcoch, tlmočníkoch a prekladateľoch a o zmene a doplnení niektorých zákonov v znení neskorších predpisov. |
| 26) Nariadenie Komisie (EÚ) 2017/1485 z 2. augusta 2017, ktorým sa stanovuje usmernenie pre prevádzkovanie elektrizačnej prenosovej sústavy (Ú. v. EÚ L 220, 25. 8. 2017) v platnom znení. |
| 27) Čl. 25 nariadenia (EÚ) 2015/1222 v platnom znení. |
| 28) Čl. 20 nariadenia (EÚ) 2017/1485 v platnom znení. |
| 29) Čl. 19 až 22 nariadenia Komisie (EÚ) 2017/2195 z 23. novembra 2017, ktorým sa stanovuje usmernenie o zabezpečovaní rovnováhy v elektrizačnej sústave (Ú. v. EÚ L 312, 28. 11. 2017) v platnom znení. |
| 30) Nariadenie Komisie (EÚ) 2017/2195 z 23. novembra 2017, ktorým sa stanovuje usmernenie o zabezpečovaní rovnováhy v elektrizačnej sústave (Ú. v. EÚ L 312, 28. 11. 2017) v platnom znení.
Nariadenie (EÚ) 2019/943 v platnom znení. |
| 31) Čl. 6 ods. 4 nariadenia (EÚ) 2019/943 v platnom znení. |
| 32) Napríklad nariadenie (EÚ) 2017/2195 v platnom znení, čl. 20 a 21 nariadenia (EÚ) 2019/943 v platnom znení. |
| 33) § 13 vyhlášky Úradu pre reguláciu sieťových odvetví č. 207/2023 Z. z., ktorou sa ustanovujú pravidlá pre fungovanie vnútorného trhu s elektrinou, obsahové náležitosti prevádzkového poriadku prevádzkovateľa sústavy, organizátora krátkodobého trhu s elektrinou a rozsah obchodných podmienok, ktoré sú súčasťou prevádzkového poriadku prevádzkovateľa sústavy. |
| 34) § 2 písm. t) prvého bodu vyhlášky č. 207/2023 Z. z. |
| 35) § 2 písm. u) vyhlášky č. 207/2023 Z. z. |
| 36) § 2 písm. u) a v) vyhlášky č. 207/2023 Z. z. |
| 37) § 31 ods. 9 zákona č. 251/2012 Z. z. v znení zákona č. 526/2022 Z. z. |
| 38) § 18 zákona č. 251/2012 Z. z. v znení neskorších predpisov. |
| 39) § 18 zákona č. 251/2012 Z. z. v znení neskorších predpisov. |
| 40) Vyhláška Úradu pre reguláciu sieťových odvetví č. 490/2009 Z. z., ktorou sa ustanovujú podrobnosti o podpore obnoviteľných zdrojov energie, vysoko účinnej kombinovanej výroby a biometánu v znení neskorších predpisov. |
| 41) § 12 ods. 2 zákona č. 251/2012 Z. z. v znení neskorších predpisov. |
| 42) Zákon č. 157/2018 Z. z. o metrológii a o zmene a doplnení niektorých zákonov v znení neskorších predpisov. |
| 43) § 6 ods. 2 písm. a) zákona č. 251/2012 Z. z. v znení zákona č. 256/2022 Z. z. |
| 44) § 6 ods. 6 zákona č. 251/2012 Z. z. v znení zákona č. 256/2022 Z. z. |
| 45) Zákon č. 53/2023 Z. z. o akreditácii orgánov posudzovania zhody. |
| 46) § 88 ods. 2 písm. y) zákona č. 251/2012 Z. z. |
| 47) § 18a zákona č. 251/2012 Z. z. |