| 68 |
| VYHLÁŠKA |
| Ministerstva životného prostredia Slovenskej republiky |
| z 8. februára 2023, |
| ktorou sa mení a dopĺňa vyhláška Ministerstva životného prostredia Slovenskej republiky č. 271/2011 Z. z., ktorou sa ustanovujú kritériá trvalej udržateľnosti a ciele na zníženie emisií skleníkových plynov z pohonných látok v znení neskorších predpisov |
| Ministerstvo životného prostredia Slovenskej republiky podľa § 19b ods. 1 písm. a) až l) a n) až s) zákona č. 309/2009 Z. z. o podpore obnoviteľných zdrojov energie a vysoko účinnej kombinovanej výroby a o zmene a doplnení niektorých zákonov v znení neskorších predpisov ustanovuje: |
|
|
| Čl. I |
| Vyhláška Ministerstva životného prostredia Slovenskej republiky č. 271/2011 Z. z., ktorou sa ustanovujú kritériá trvalej udržateľnosti a ciele na zníženie emisií skleníkových plynov z pohonných látok v znení vyhlášky č. 191/2017 Z. z. a vyhlášky č. 316/2020 Z. z. sa mení a dopĺňa takto: |
| 1. V § 1 písmeno a) znie: |
| „a) kritériá udržateľnosti a úspory emisií skleníkových plynov pre biopalivá, biokvapaliny, palivá z biomasy a iné pohonné látky, úspory emisií skleníkových plynov z paliva s obsahom recyklovaného uhlíka a paliva z obnoviteľných zdrojov nebiologického pôvodu a limitné hodnoty pre emisie skleníkových plynov z pestovania poľnohospodárskych surovín pri zachovaní kritérií trvalej udržateľnosti,“. |
| 2. V § 1 písmeno h) znie: |
| „h) systém hmotnostnej bilancie pre biopalivá, biokvapaliny a palivá z biomasy,“. |
| 3. V § 1 písm. i) sa slová „§ 14c ods. 12“ nahrádzajú slovami „§ 14ea“. |
| 4. V § 1 písmená k) až m) znejú: |
| „k) priebežné ciele týkajúce sa záväzku zníženia emisií skleníkových plynov počas životného cyklu na jednotku energie z pohonných látok a dodávanej energie využívanej v cestných vozidlách a možnosť spoločného plnenia tohto záväzku podľa § 14c ods. 4 a 7 zákona, |
| l) podrobnosti pri rozhodovaní v sporných prípadoch týkajúcich sa overovania správy podľa § 14c ods. 1 zákona, |
| m) podrobnosti vydávania potvrdenia o udržateľnosti,“. |
| 5. § 1 sa dopĺňa písmenami o) až s), ktoré znejú: |
| „o) podrobnosti o oprávnenosti opatrení na zníženie emisií skleníkových plynov v predvýrobnej fáze, maximálnych možných úsporách pre jednotlivé druhy pohonných látok, spôsobe overovania množstva zníženia emisií skleníkových plynov a náležitostiach hlásenia o započítaní zníženia emisií skleníkových plynov, |
| p) podrobnosti o činnosti Slovenského hydrometeorologického ústavu, |
| q) podrobnosti o správach predkladaných Slovenskou republikou Európskej komisii (ďalej len „Komisia“), |
| r) podrobnosti o použití formátu správy o úrovni tvorby emisií skleníkových plynov počas životného cyklu na jednotku energie z pohonnej látky a dodávanej energie a náležitosti správy o úrovni tvorby emisií skleníkových plynov počas životného cyklu na jednotku energie z pohonnej látky a dodávanej energie, |
| s) sadzobník poplatkov na pokrytie nákladov spojených s vedením elektronickej evidencie palív v doprave podľa § 14g zákona.“. |
| 6. § 2 až 6 vrátane nadpisov znejú: |
| „§ 2 |
| Vymedzenie pojmov |
| Na účely tejto vyhlášky sa rozumie |
| a) biokvapalinou kvapalné palivo na iné energetické účely ako na dopravu vrátane elektriny, tepla a chladu, vyrobené z biomasy, |
| b) inou pohonnou látkou každá pohonná látka okrem pohonnej látky podľa § 2 ods. 4 písm. a) piateho až ôsmeho bodu zákona, |
| c) emisiami skleníkových plynov počas životného cyklu čisté emisie oxidu uhličitého, metánu a oxidu dusného, ktoré možno priradiť k pohonnej látke a biokvapaline alebo dodanej energii, so zahrnutím všetkých relevantných etáp od ťažby alebo pestovania vrátane zmien v používaní pôdy, prepravy a distribúcie, spracovania a spaľovania bez ohľadu na to, kde sa tieto emisie vyskytnú, |
| d) emisiami skleníkových plynov na jednotku energie celková hmotnosť skleníkových plynov vyjadrená ako ekvivalent oxidu uhličitého, ktorá sa spája s pohonnou látkou a biokvapalinou alebo dodanou energiou, vydelená celkovým energetickým obsahom pohonnej látky a biokvapaliny alebo dodávanej energie, |
| e) skutočnou hodnotou úspora emisií skleníkových plynov v niektorých alebo vo všetkých krokoch výrobného postupu pre biopalivá, biokvapaliny alebo palivá z biomasy vypočítaná podľa metodiky uvedenej v prílohe č. 2 časti C, |
| f) typickou hodnotou odhad emisií skleníkových plynov a úspor emisií skleníkových plynov v konkrétnom reťazci výroby biopalív, biokvapalín alebo palív z biomasy, |
| g) určenou hodnotou hodnota odvodená od typickej hodnoty pomocou vopred ustanovených faktorov, ktorá sa za podmienok podľa tejto vyhlášky môže použiť namiesto skutočnej hodnoty, |
| h) mokraďou pôda pokrytá alebo nasiaknutá vodou trvalo alebo počas významnej časti roka, |
| i) súvislo zalesnenou oblasťou pôda s rozlohou viac ako jeden hektár so stromami vyššími ako päť metrov a s pokryvom koruny viac ako 30 % alebo so stromami schopnými dosiahnuť tieto prahové hodnoty v danej lokalite, |
| j) surovým prírodným bitúmenom akýkoľvek zdroj surovín pre rafinérie, ktorý |
| 1. dosahuje hustotu podľa medzinárodného štandardu (ďalej len „hustota API“) 10° alebo menej, ak sa nachádza vo formácii ložiska na mieste extrakcie, meranú podľa technickej normy1a) alebo iným obdobným spôsobom, |
| 2. má ročnú priemernú viskozitu pri teplote ložiska vyššiu, ako je viskozita vypočítaná pomocou rovnice: Viskozita = 518,98e – 0,038T, kde T je teplota v °C, |
| 3. spadá do definície pre dechtové piesky podľa kódu kombinovanej nomenklatúry 27141) a |
| 4. pri ktorom sa mobilizácia zdroja surovín dosahuje banskou ťažbou alebo ťažbou s použitím tepelnej energie, kde tepelná energia pochádza prevažne z iných zdrojov, ako je samotný zdroj surovín, |
| k) roponosnou bridlicou zdroj surovín pre rafinérie vo forme skalného útvaru obsahujúceho pevný kerogén, ktorý spadá do definície olejovej bridlice podľa kódu kombinovanej nomenklatúry 2714, a mobilizácia zdroja surovín sa dosahuje banskou ťažbou alebo ťažbou s použitím tepelnej energie, |
| l) základnou normou platnou pre pohonné látky referenčná hodnota platná pre pohonné látky na základe emisií skleníkových plynov počas životného cyklu na jednotku energie z pohonných látok iných ako biopalivo v roku 2010, |
| m) konvenčnou ropou surovina pre rafinérie s hustotou API viac ako 10°, ak sa nachádza vo formácii ložiska na mieste svojho pôvodu, nespadá do definície podľa kódu kombinovanej nomenklatúry 2714 a je meraná testovacou metódou podľa technickej normy1a) alebo iným obdobným spôsobom, |
| n) biopalivom, biokvapalinou a palivom z biomasy s nízkym rizikom nepriamej zmeny využívania pôdy biopalivo, biokvapalina a palivo z biomasy, ktorých suroviny sú vyrobené v rámci systémov, ktoré bránia vytesňovaciemu vplyvu biopalív, biokvapalín a palív z biomasy, ktoré pochádzajú z potravinárskych a krmovinárskych plodín, prostredníctvom lepších poľnohospodárskych postupov, ako aj pestovaním plodín na plochách, ktoré sa predtým nepoužívali na pestovanie plodín a ktoré sú vyrobené podľa kritérií udržateľnosti biopalív, biokvapalín a palív z biomasy podľa § 3, |
| o) biologickým odpadom biologický odpad podľa osobitného predpisu,1b) |
| p) zdrojovou oblasťou geograficky vymedzená oblasť, z ktorej pochádza lesná biomasová surovina, z ktorej sú k dispozícii spoľahlivé a nezávislé informácie a v ktorej sú dostatočne homogénne podmienky na to, že je možné hodnotiť riziká súvisiace s udržateľnosťou a aspekty zákonnosti lesnej biomasy, |
| q) obnovou lesa opätovné vytvorenie lesného porastu prírodnými prostriedkami alebo umelými prostriedkami po odstránení predchádzajúceho porastu výrubom alebo v dôsledku prirodzených príčin vrátane požiaru alebo búrky. |
| § 3 |
| Kritériá trvalej udržateľnosti pre biopalivá, biokvapaliny, palivá z biomasy, palivá z recyklovaného uhlíka a palivá z obnoviteľných zdrojov nebiologického pôvodu |
| (1) Kritériá trvalej udržateľnosti pre biopalivá, biokvapaliny a palivá z biomasy zahŕňajú kritériá udržateľnosti a požadované úspory emisií skleníkových plynov. Kritériami udržateľnosti sa rozumejú podmienky pestovania alebo výroby biomasy a produktov viažucich sa na životný cyklus biopaliva, biokvapaliny alebo paliva z biomasy. |
| (2) Úspora emisií skleníkových plynov vyplývajúca z používania biopalív, biokvapalín a palív z biomasy je najmenej |
| a) 50 % pre biopalivá a bioplyn spotrebované v doprave a biokvapaliny vyrobené v zariadeniach, v ktorých sa začala výroba pred 5. októbrom 2015, |
| b) 60 % pre biopalivá a bioplyn spotrebované v doprave a biokvapaliny vyrobené v zariadeniach, v ktorých sa začala výroba od 6. októbra 2015 do 31. decembra 2020, |
| c) 65 % pre biopalivá a bioplyn spotrebované v doprave a biokvapaliny vyrobené v zariadeniach, v ktorých sa začala výroba od 1. januára 2021, |
| d) 70 % pre výrobu elektriny, tepla a chladu z palív z biomasy používaných v zariadeniach, v ktorých začala fyzická výroba tepla, chladu a elektriny od 1. januára 2021 do 31. decembra 2025, a 80 % v zariadeniach, v ktorých začne fyzická výroba tepla, chladu a elektriny od 1. januára 2026. |
| (3) Úspora emisií skleníkových plynov vyplývajúca z používania kvapalných palív a plynných palív v doprave z obnoviteľných zdrojov nebiologického pôvodu je najmenej 70 %. |
| (4) Úspora emisií skleníkových plynov vyplývajúca z využívania biopalív, bioplynu spotrebovaného v odvetví dopravy, biokvapalín a palív z biomasy používaných v zariadeniach vyrábajúcich teplo, chlad a elektrinu sa vypočíta spôsobom podľa § 5. |
| (5) Biopalivá, biokvapaliny a palivá z biomasy vyrobené z poľnohospodárskej biomasy nemôžu byť vyrobené zo suroviny získanej z pôdy s vysokou hodnotou z hľadiska biodiverzity, ktorou sa rozumie pôda, ktorá je od januára 2008, bez ohľadu na to, či ešte stále je |
| a) pralesom a inou zalesnenou plochou, ktorou je les a iná zalesnená plocha s prirodzene sa vyskytujúcimi druhmi bez zjavných známok ľudskej činnosti a bez výrazného narušenia ekologických procesov, |
| b) lesom a inou zalesnenou plochou s vysokou biologickou rozmanitosťou, ktorá je bohatá na druhy a nie je znehodnotená alebo ktorú príslušný orgán identifikuje ako plochu s vysokou biologickou rozmanitosťou,1c) ak sa nepredložia dôkazy, že produkcia tejto suroviny nezasahuje do ochrany prírody, |
| c) oblasťou určenou zákonom alebo príslušným orgánom na ochranu prírody, oblasťou určenou na ochranu vzácnych alebo ohrozených ekosystémov alebo druhov uznaných medzinárodnými dohodami alebo zaradených na zoznam vypracovaný medzivládnou organizáciou alebo Medzinárodnou úniou pre ochranu prírody a ktorá je uznaná Komisiou, ak nie sú predložené dôkazy o tom, že výroba danej suroviny nie je v rozpore s ochranou prírody, |
| d) trávnym porastom s vysokou biologickou rozmanitosťou s rozlohou viac ako 1 ha, ktorý zostane trávnym porastom bez ľudského zásahu a ktorý zachováva prirodzené druhové zloženie a ekologické charakteristiky a procesy, alebo trávnym porastom, ktorý nezostane trávnym porastom bez ľudského zásahu a ktorý je bohatý na druhy a nie je znehodnotený, a je príslušným orgánom identifikovaný ako trávny porast s vysokou biologickou rozmanitosťou,1c) ak neexistujú dôkazy, že zber surovín je potrebný na zachovanie štatútu trávneho porastu s vysokou biologickou rozmanitosťou. |
| (6) Biopalivá, biokvapaliny a palivá z biomasy vyrobené z poľnohospodárskej biomasy sa nemôžu vyrábať zo surovín získaných z pôdy s vysokým obsahom uhlíka, ktorou sa rozumie pôda, ktorá v januári 2008 bola, ale už nie je |
| a) mokraďou, |
| b) súvislo zalesnenou oblasťou, |
| c) pôdou s rozlohou viac ako 1 ha so stromami vyššími ako 5 m a s pokryvom koruny medzi 10 % až 30 % alebo so stromami schopnými dosiahnuť tieto prahové hodnoty v danej lokalite, ak sa neposkytne spoľahlivý dôkaz, že zásoby uhlíka v oblasti pred konverziou a po nej sú také, že ak sa použije metodika uvedená v prílohe č. 2 časti C, podmienky uvedené v odsekoch 2 až 4 a § 11 sú splnené. |
| (7) Ustanovenia odseku 6 sa neuplatňujú, ak v čase získania suroviny je pôda v rovnakej podobe ako v januári 2008. |
| (8) Biopalivá, biokvapaliny a palivá z biomasy vyrobené z poľnohospodárskej biomasy sa nemôžu vyrábať zo surovín získaných z pôdy, ktorá bola v januári 2008 rašeliniskom, ak sa nepreukáže, že pestovanie a zber tejto suroviny nevyžaduje odvodňovanie predtým neodvodnenej pôdy. |
| (9) Biopalivá, biokvapaliny a palivá z biomasy vyrobené z lesnej biomasy spĺňajú kritériá udržateľnosti, ak |
| a) v krajine, v ktorej sa lesná biomasa zozbiera a ťaží, sa uplatňujú národné alebo regionálne právne predpisy uplatniteľné v oblasti zberu a ťažby, ako aj zavedené systémy monitorovania a presadzovania, ktorých cieľom je zabezpečiť, že |
| 1. operácie zberu a ťažby sú zákonné, |
| 2. sa les v oblastiach zberu a ťažby obnovuje, |
| 3. sa chránia územia určené medzinárodným právom alebo vnútroštátnym právom alebo príslušným orgánom na ochranu prírody vrátane mokradí a rašelinísk, |
| 4. sa zber a ťažba vykonáva s ohľadom na zachovanie kvality pôdy a biodiverzity s cieľom minimalizovať negatívne vplyvy, a |
| 5. sa zberom a ťažbou zachováva alebo zlepšuje dlhodobá produkčná kapacita lesa, |
| b) ak dôkaz uvedený v písmene a) nie je k dispozícii, biopalivá, biokvapaliny a palivá z biomasy vyrábané z lesnej biomasy sa zohľadnia podľa § 14h ods. 1 zákona, ak sú na úrovni lesnej zdrojovej oblasti zavedené systémy riadenia s cieľom zabezpečiť, že |
| 1. operácie zberu a ťažby sú zákonné, |
| 2. sa les v oblastiach zberu a ťažby obnovuje, |
| 3. sa chránia oblasti určené medzinárodným alebo vnútroštátnym právom alebo príslušným orgánom na ochranu prírody vrátane mokradí a rašelinísk, ak sa neposkytnú dôkazy, že zber a ťažba tejto suroviny nie je v rozpore s ochranou prírody, |
| 4. sa ťažba a zber uskutočňujú s ohľadom na zachovanie kvality pôdy a biodiverzity s cieľom minimalizovať negatívne dopady, a |
| 5. sa zberom a ťažbou zachováva alebo zlepšuje dlhodobá produkčná kapacita lesa. |
| (10) Biopalivá, biokvapaliny a palivá z biomasy vyrábané z lesnej biomasy spĺňajú kritériá udržateľnosti, ak |
| a) krajina alebo organizácia regionálnej hospodárskej integrácie, v ktorej má lesná biomasa pôvod, je zmluvnou stranou medzinárodnej zmluvy1d) a |
| 1. predloží národne definovaný príspevok podľa osobitného predpisu,1e) ktorý zahŕňa emisie a odstraňovanie z poľnohospodárstva, lesného hospodárstva a využívania pôdy, čím sa zabezpečuje, že sa zmeny zásob uhlíka spojené so zberom a ťažbou biomasy započítavajú do záväzku krajiny znížiť alebo obmedziť emisie skleníkových plynov, ako sa uvádza v národne definovanom príspevku, alebo |
| 2. v oblasti zberu a ťažby uplatňuje právne normy podľa osobitného predpisu1f) s cieľom zachovať a zveľaďovať zásoby a záchyty uhlíka a poskytuje dôkaz o tom, že vykazované emisie v sektore využívania pôdy, zmien vo využívaní pôdy a lesného hospodárstva nepresahujú odstraňovanie, |
| b) ak dôkaz uvedený v písmene a) nie je k dispozícii, biopalivá, biokvapaliny a palivá z biomasy vyrábané z lesnej biomasy sa zohľadňujú podľa § 14h ods. 1 zákona, ak sú na úrovni lesnej zdrojovej oblasti zavedené systémy riadenia, s cieľom zabezpečiť, že sú dlhodobo zachované alebo posilnené úrovne zásob a záchytov uhlíka v lese. |
| (11) Ak ide o biopalivá, biokvapaliny a palivá z biomasy vyrobené z odpadu a zvyškov, okrem poľnohospodárskych, akvakultúrnych, rybárskych a lesníckych zvyškov, stačí, ak spĺňajú kritériá trvalej udržateľnosti podľa odseku 2. Toto sa vzťahuje aj na odpad a zvyšky, ktoré sa pred ďalším spracovaním na biopalivá, biokvapaliny a palivá z biomasy najprv spracujú na produkt. |
| (12) Kritériá trvalej udržateľnosti podľa odseku 2 sa nevzťahujú na elektrinu, vykurovanie a chladenie vyrobené z tuhého komunálneho odpadu. |
| (13) Kritériá trvalej udržateľnosti podľa odsekov 2 a 4 až 9 a § 14h ods. 8 zákona sa uplatňujú bez ohľadu na zemepisný pôvod biomasy. |
| (14) Pre palivá z recyklovaného uhlíka a palivá z obnoviteľných zdrojov nebiologického pôvodu sa uplatňujú kritériá trvalej udržateľnosti podľa osobitného predpisu. |
| § 4 |
| Preukázanie plnenia kritérií trvalej udržateľnosti |
| (1) Preukázanie plnenia kritérií trvalej udržateľnosti znamená, že sú |
| a) dodržané podmienky pestovania, výroby alebo spracovania biomasy a produktov viažucich sa na životný cyklus biopaliva, biokvapaliny alebo paliva z biomasy, a |
| b) dosiahnuté požadované úspory emisií skleníkových plynov. |
| (2) Vyhlásenie pestovateľa alebo dodávateľa biomasy (ďalej len „vyhlásenie“) preukazujúce dodržanie podmienok podľa odseku 1 písm. a) nie je potrebné overovať odborne spôsobilou osobou na overovanie výpočtu emisií skleníkových plynov (ďalej len „odborne spôsobilá osoba“). Vyhlásenie platí pre jeden druh biomasy alebo suroviny s rovnakými vlastnosťami a ucelenú dodávku jednému odberateľovi. |
| (3) Dodávateľ biomasy, ktorá nepochádza z pestovania, a dodávateľ inej vstupnej suroviny vo vyhlásení preukazuje, že ide o odpad alebo zvyšok, vrátane poľnohospodárskeho, akvakultúrneho, rybárskeho a lesníckeho zvyšku, alebo nepotravinársky celulózový materiál a lignocelulózový materiál. |
| (4) Vyhlásenie preukazuje dodržanie podmienok podľa odseku 1 písm. a), aj keď vychádza z vyhlásení vydaných podľa odsekov 2 a 3 za podmienky dodržania hmotnostnej bilancie vedenej právnickou osobou alebo fyzickou osobou a zároveň opisuje výsledné vlastnosti udržateľnosti zmesi biomasy alebo produktu viažuceho sa na životný cyklus pohonných látok, biokvapaliny alebo paliva z biomasy. |
| (5) Potvrdenie o udržateľnosti (ďalej len „potvrdenie“) obsahuje |
| a) názov, identifikačné číslo organizácie, označenie právnej formy a kontaktné údaje, ak potvrdenie vydáva právnická osoba, obchodné meno, identifikačné číslo organizácie a kontaktné údaje, ak potvrdenie vydáva fyzická osoba – podnikateľ alebo meno, priezvisko a kontaktné údaje, ak potvrdenie vydáva fyzická osoba, ktorej sa neprideľuje identifikačné číslo organizácie, |
| b) informáciu o type, druhu, množstve, energetickom obsahu, pôvode a iné doplňujúce identifikačné údaje biopaliva, biokvapaliny, paliva z biomasy alebo pohonnej látky vrátane vodíka, ktorá je vyrobená z biomasy alebo z obnoviteľných zdrojov nebiologického pôvodu, alebo paliva s obsahom recyklovaného uhlíka, |
| c) celkové emisie skleníkových plynov zo životného cyklu látok podľa písmena b) udávané v gramoch CO2ekv/MJ a deklarovanú úsporu emisií skleníkových plynov k referenčnej hodnote udávanú v percentách, |
| d) informáciu o spôsobe výpočtu úspor emisií skleníkových plynov počas životného cyklu látok podľa písmena b), napríklad využitie určených hodnôt alebo výpočtu podľa prílohy č. 2, |
| e) podrobnosti výpočtu úspor emisií skleníkových plynov počas životného cyklu látok podľa písmena d), ak nie sú použité určené hodnoty, |
| f) referenčnú hodnotu, |
| g) údaj o tom, či látka podľa písmena b) spĺňa kritériá trvalej udržateľnosti, |
| h) evidenčné číslo pridelené právnickou osobou alebo fyzickou osobou, ktorá je zapojená do životného cyklu látky podľa písmena b), alebo odborne spôsobilou osobou; pri vystavení potvrdenia cez elektronickú evidenciu podľa § 14g zákona je evidenčné číslo prideľované automaticky, |
| i) dátum, meno a priezvisko odborne spôsobilej osoby; pri vystavení potvrdenia cez elektronickú evidenciu podľa § 14g zákona sa tieto údaje neuvádzajú, |
| j) dátum, meno, priezvisko a podpis štatutárneho zástupcu alebo zodpovednej osoby, |
| k) vyhlásenie, ak je potvrdenie vydávané právnickou osobou alebo fyzickou osobou, ktorá je výrobcom látok podľa písmena b), alebo je zapojená do životného cyklu ich výroby pred výrobcom. |
| (6) Vzor potvrdenia podľa odseku 5 je zverejnený na webovom sídle Ministerstva životného prostredia Slovenskej republiky (ďalej len „ministerstvo“). |
| (7) Ak je niektorá časť životného cyklu látky podľa odseku 5 písm. b) akreditovaná, verifikovaná alebo certifikovaná v niektorom z členských štátov Európskej únie (ďalej len „členský štát“), nepodlieha opätovnej kontrole a preukazovaniu odborne spôsobilou osobou okrem kontroly výpočtu alebo započítania emisií skleníkových plynov, ktoré vzniknú v ďalších etapách životného cyklu tejto látky a hmotnostnej bilancie. |
| (8) Kritériá trvalej udržateľnosti je možné preukázať aj uznaným národným systémom členského štátu, dobrovoľným certifikačným systémom uznaným Komisiou a certifikačným postupom na základe dohôd uzatvorených Komisiou v mene členských štátov, pričom prihliada na vývoj európskych noriem schvaľovaných v tejto oblasti. Uznané systémy sú zverejnené na webovom sídle ministerstva. |
| § 5 |
| Výpočet emisií skleníkových plynov počas životného cyklu biopalív, biokvapalín a palív z biomasy |
| (1) Emisie skleníkových plynov sa počas životného cyklu biopalív, biokvapalín a palív z biomasy vypočítajú podľa niektorej z týchto možností |
| a) ak je určená hodnota úspor emisií skleníkových plynov v rámci výrobného reťazca biopalív a biokvapalín ustanovená v prílohe č. 2 časti A alebo časti B a palív z biomasy v prílohe č. 6 časti A a ak je hodnota el pre tieto biopalivá alebo biokvapaliny vypočítaná podľa prílohy č. 2 časti C siedmeho bodu a pre palivo z biomasy vypočítaná podľa prílohy č. 6 časti B siedmeho bodu nula alebo menšia, použije sa určená hodnota, |
| b) použije sa skutočná hodnota vypočítaná podľa metodiky uvedenej v prílohe č. 2 časti C pre biopalivá a biokvapaliny a v prílohe č. 6 časti B pre palivo z biomasy, |
| c) použije sa hodnota vypočítaná ako súčet faktorov vzorcov uvedených v prílohe č. 2 časti C prvom bode, pričom pri niektorých faktoroch možno použiť roztriedené určené hodnoty z prílohy č. 2 časti D alebo časti E a pri všetkých ostatných faktoroch skutočné hodnoty vypočítané podľa metodiky uvedenej v prílohe č. 2 časti C, |
| d) použije sa hodnota vypočítaná ako súčet faktorov vzorcov uvedených v prílohe č. 6 časti B prvom bode, pričom pri niektorých faktoroch možno použiť roztriedené určené hodnoty uvedené prílohe č. 6 časti C a pri všetkých ostatných faktoroch skutočné hodnoty vypočítané podľa metodiky uvedenej v prílohe č. 6 časti B. |
| (2) Namiesto roztriedených určených hodnôt pre pestovanie uvedených v prílohe č. 2 časti D alebo E pre biopalivá a biokvapaliny a v prílohe č. 6 časti C pre palivá z biomasy môžu byť použité údaje uvedené v správach predložených členskými štátmi alebo vypracovaných príslušnými orgánmi tretích krajín, o ktorých Komisia rozhodne, že obsahujú presné údaje na meranie emisií skleníkových plynov. |
| § 6 |
| Systém hmotnostnej bilancie |
| (1) Systém hmotnostnej bilancie |
| a) umožňuje, že sa zmiešajú dodávky surovín alebo palív s rôznymi vlastnosťami trvalej udržateľnosti a úsporami emisií skleníkových plynov, napríklad v kontajneri, spracovateľskom zariadení alebo zásobovacom zariadení, prenosovej infraštruktúre a distribučnej infraštruktúre alebo mieste, |
| b) umožňuje zmiešanie dodávok suroviny s rozličným energetickým obsahom na ďalšie spracovanie za predpokladu, že veľkosť dodávok sa upraví podľa ich energetického obsahu, |
| c) vyžaduje, že informácie o vlastnostiach, ktoré sa týkajú udržateľnosti a úspor emisií skleníkových plynov, a veľkostiach dodávok uvedených v písmene a) ostanú pripísané danej zmesi a |
| d) ustanovuje, že pre súhrn všetkých dodávok odobratých zo zmesi sa opisujú rovnaké vlastnosti, ktoré sa týkajú udržateľnosti, v rovnakých množstvách ako súhrn všetkých dodávok pridaných do zmesi a vyžaduje, že sa táto rovnováha dosiahne počas primeraného časového obdobia. |
| (2) Systémom hmotnostnej bilancie sa zabezpečí, že sa na výpočet hrubej konečnej energetickej spotreby z obnoviteľných zdrojov každá dodávka zohľadní len raz a uvádza sa v ňom informácia, či sa na výrobu danej dodávky poskytne podpora, a ak áno, o aký druh systému podpory ide. |
| (3) Ak je dodávka spracovaná, informácia o vlastnostiach dodávky, ktorá sa týka udržateľnosti a úspor emisií skleníkových plynov, sa upravuje a priraďuje k výstupu nasledovne, ak je výsledkom spracúvania dodávky suroviny |
| a) len jeden výstup, ktorý je určený na výrobu biopalív, biokvapalín alebo palív z biomasy, kvapalných palív a plynných palív v doprave z obnoviteľných zdrojov nebiologického pôvodu alebo palív s obsahom recyklovaného uhlíka, veľkosť dodávky a súvisiace množstvá vlastností trvalej udržateľnosti a úspor emisií skleníkových plynov sa upravia použitím konverzného faktora predstavujúceho pomer medzi hmotnosťou výstupu, ktorý je určený na takúto výrobu a hmotnosťou suroviny vstupujúcej do procesu, |
| b) viacero výstupov, ktoré sú určené na výrobu biopalív, biokvapalín alebo palív z biomasy, kvapalných palív a plynných palív v doprave z obnoviteľných zdrojov nebiologického pôvodu alebo palív s obsahom recyklovaného uhlíka, pre každý výstup sa použije samostatný konverzný faktor a samostatná hmotnostná bilancia. |
| (4) Evidencia hmotnostnej bilancie a pohybu biomasy obsahuje údaje, podľa ktorých možno spoľahlivo overiť plnenie odsekov 1 až 3. |
| (5) Príklady povolených a nepovolených kombinácií vstupov a výstupov z hmotnostnej bilancie zverejňuje ministerstvo na svojom webovom sídle. |
| (6) Hmotnostná bilancia sa overuje aspoň jedenkrát ročne, ak je energetický obsah pohonnej látky započítaný dvojnásobne, hmotnostná bilancia u osôb, ktoré sú prvým miestom zhromažďovania, skladovania alebo vytrieďovania, sa overuje aspoň dvakrát ročne.“. |
| Poznámky pod čiarou k odkazom 1b až 1f znejú: |
| „1b) § 2 ods. 7 zákona č. 79/2015 Z. z. o odpadoch a o zmene a doplnení niektorých zákonov v znení zákona č. 460/2019 Z. z. |
| 1c) Napríklad § 2 ods. 2 písm. r) a s) zákona č. 543/2002 Z. z. o ochrane prírody a krajiny v znení neskorších predpisov. |
| 1d) Oznámenie Ministerstva zahraničných vecí a európskych záležitostí Slovenskej republiky o prijatí Parížskej dohody (oznámenie č. 99/2017 Z. z.). |
| 1e) Oznámenie Ministerstva zahraničných vecí Slovenskej republiky o prijatí Rámcového dohovoru Organizácie Spojených národov o zmene klímy (oznámenie č. 548/2006 Z. z.). |
| 1f) Čl. 5 oznámenia Ministerstva zahraničných vecí a európskych záležitostí Slovenskej republiky o prijatí Parížskej dohody (oznámenie č. 99/2017 Z. z.).“. |
| 7. V § 7 ods. 1 sa vypúšťajú slová „počas životného cyklu pohonných látok a biokvapalín a výpočtu úspory emisií skleníkových plynov, ktorá vyplýva z využívania biopalív a biokvapalín“. |
| 8. V § 7 ods. 8 sa vypúšťajú slová „počas životného cyklu biopalív alebo biokvapalín“. |
| 9. V § 7 ods. 9 sa slová „odseku 7“ nahrádzajú slovami „odseku 8“ a vypúšťa sa druhá veta. |
| 10. V nadpise pod § 8 a v texte pod § 8 sa slová „Organizácia podľa § 14c ods. 12 zákona“ nahrádzajú slovami „Slovenský hydrometeorologický ústav“. |
| 11. V § 9 ods. 1 sa vypúšťa písmeno b). |
| Doterajšie písmeno c) sa označuje ako písmeno b). |
| 12. V § 9 ods. 2 sa slová „ods. 9“ nahrádzajú slovami „ods. 8“. |
| 13. V § 9 ods. 3 úvodnej vete sa slová „pohonnej látky inej ako biopalivo“ nahrádzajú slovami „inej pohonnej látky“. |
| 14. V § 9 ods. 3 písmeno a) znie: |
| „a) primiešavaním biopaliva alebo bioplynu, alebo uvedením biopaliva alebo bioplynu v doprave na trh,“. |
| 15. V § 9a ods. 1 písm. a) sa vypúšťa slovo „b)“. |
| 16. V § 9a ods. 3 sa slová „ods. 3“ nahrádzajú slovami „ods. 1“ a slová „ods. 6“ sa nahrádzajú slovami „ods. 4“. |
| 17. V poznámkach pod čiarou k odkazom 7c a 7e sa citácia „STN EN ISO 14065 Skleníkové plyny. Požiadavky na validačné a overovacie orgány na účely ich akreditácie alebo iných foriem uznávania (ISO 14065) (83 9065)“ nahrádza citáciou „STN EN ISO 14065 Všeobecné princípy a požiadavky na orgány, ktoré overujú a validujú environmentálne informácie (ISO 14065) (83 9065)“. |
| 18. V poznámke pod čiarou k odkazu 7e sa citácia „STN EN ISO 14064-3 Skleníkové plyny. Časť 3: Špecifikácia a usmernenie na validáciu a overovanie výrokov o skleníkových plynoch (ISO 14064-3) (83 9064)“ nahrádza citáciou „STN EN ISO 14064-3 Skleníkové plyny. Časť 3: Pokyny na overovanie a validáciu výrokov o skleníkových plynoch (ISO 14064-3) (83 9064)“. |
| 19. V § 9a ods. 6 sa slová „ods. 3“ nahrádzajú slovami „ods. 1“. |
| 20. § 9a sa dopĺňa odsekom 7, ktorý znie: |
| „(7) Splnenie podmienok podľa odseku 1 písm. a) a b) a odseku 4 je možné preukázať potvrdením o uznaní projektu, ktorý produkuje zaslané jednotky znižovania emisií v predvýrobnej fáze, iným členským štátom.“. |
| 21. V § 10 ods. 5 písmená a) až c) znejú: |
| „a) názov alebo obchodné meno právnickej osoby, podniku zahraničnej osoby, organizačnej zložky podniku zahraničnej osoby alebo fyzickej osoby – podnikateľa, alebo meno a priezvisko, ak ide o fyzickú osobu, ktorá nepodniká, |
| b) sídlo alebo miesto podnikania právnickej osoby, podniku zahraničnej osoby, organizačnej zložky podniku zahraničnej osoby alebo fyzickej osoby – podnikateľa, alebo bydlisko alebo miesto výkonu činnosti, ak ide o fyzickú osobu, ktorá nepodniká, |
| c) identifikačné číslo organizácie, ak ide o osobu, ktorá sa zapisuje do registra právnických osôb, podnikateľov a orgánov verejnej moci, alebo identifikátor fyzickej osoby podľa zákona o e-Governmente, ak ide fyzickú osobu, ktorá nepodniká,“. |
| 22. V § 10 ods. 7 sa slová „biopalív a biokvapalín“ nahrádzajú slovami „biopalív, biokvapalín a palív z biomasy“. |
| 23. V § 10 ods. 8 sa slová „ods. 8“ nahrádzajú slovami „ods. 7“ a slová „ods. 3“ sa nahrádzajú slovami „ods. 1“. |
| 24. § 10 sa dopĺňa odsekom 9, ktorý znie: |
| „(9) Správu podľa odseku 1 je možné podať prostredníctvom elektronickej evidencie palív v doprave podľa § 14g zákona.“. |
| 25. V § 10a ods. 1 sa slová „pohonnými látkami inými ako biopalivo“ nahrádzajú slovami „inými pohonnými látkami“. |
| 26. Prílohy č. 1 a 2 vrátane nadpisov znejú: |
| |
| „Príloha č. 1 k vyhláške č. 271/2011 Z. z. |
| | Energetický obsah motorových palív v doprave | | Palivo | Energetický obsah na základe hmotnosti (dolná výhrevnosť) [MJ/kg] | Energetický obsah na základe objemu (dolná výhrevnosť) [MJ/l] | | PALIVÁ Z BIOMASY A/ALEBO Z OPERÁCIÍ SPRACOVANIA BIOMASY | | Biopropán | 46 | 24 | | čistý rastlinný olej (olej vyrobený z olejnatých rastlín lisovaním, extrahovaním alebo podobnými postupmi, surový alebo rafinovaný, ale chemicky nemodifikovaný) | 37 | 34 | | bionafta – metylester mastnej kyseliny (metyl-ester vyrábaný z oleja z biomasy) | 37 | 33 | | bionafta – etylester mastnej kyseliny (etyl-ester vyrábaný z oleja z biomasy) | 38 | 34 | | bioplyn, ktorý môže čistením dosiahnuť kvalitu zemného plynu | 50 | — | | hydrogenačne rafinovaný (termochemicky spracovaný vodíkom) olej z biomasy určený ako náhrada za naftu | 44 | 34 | | hydrogenačne rafinovaný (termochemicky spracovaný vodíkom) olej z biomasy určený ako náhrada za benzín | 45 | 30 | | hydrogenačne rafinovaný (termochemicky spracovaný vodíkom) olej z biomasy určený ako náhrada za letecké palivo | 44 | 34 | | hydrogenačne rafinovaný (termochemicky spracovaný vodíkom) olej z biomasy určený ako náhrada za skvapalnený ropný plyn | 46 | 24 | | spoločne spracovaný (spracovaný v rafinérii súčasne s fosílnymi palivami) olej z biomasy alebo pyrolyzovanej biomasy určený ako náhrada za naftu | 43 | 36 | | spoločne spracovaný (spracovaný v rafinérii súčasne s fosílnymi palivami) olej z biomasy alebo pyrolyzovanej biomasy určený ako náhrada za benzín | 44 | 32 | | spoločne spracovaný (spracovaný v rafinérii súčasne s fosílnymi palivami) olej z biomasy alebo pyrolyzovanej biomasy určený ako náhrada za letecké palivo | 43 | 33 | | spoločne spracovaný (spracovaný v rafinérii súčasne s fosílnymi palivami) olej z biomasy alebo pyrolyzovanej biomasy určený ako náhrada za skvapalnený ropný plyn | 46 | 23 | | OBNOVITEĽNÉ PALIVÁ, KTORÉ MOŽNO VYRÁBAŤ Z RÔZNYCH OBNOVITEĽNÝCH ZDROJOV, VRÁTANE BIOMASY | | metanol z obnoviteľných zdrojov | 20 | 16 | | etanol z obnoviteľných zdrojov | 27 | 21 | | propanol z obnoviteľných zdrojov | 31 | 25 | | butanol z obnoviteľných zdrojov | 33 | 27 | | nafta vyrobená technológiou Fischer-Tropsch (syntetický uhľovodík alebo zmes syntetických uhľovodíkov určený(-á) ako náhrada za naftu) | 44 | 34 | | benzín vyrobený technológiou Fischer-Tropsch (syntetický uhľovodík alebo zmes syntetických uhľovodíkov určený(-á) ako náhrada za benzín) | 44 | 33 | | letecké palivo vyrobené technológiou Fischer-Tropsch (syntetický uhľovodík alebo zmes syntetických uhľovodíkov určený(-á) ako náhrada za letecké palivo) | 44 | 33 | | skvapalnený ropný plyn vyrobený technológiou Fischer-Tropsch (syntetický uhľovodík alebo zmes syntetických uhľovodíkov určený(-á) ako náhrada za skvapalnený ropný plyn) | 46 | 24 | | dimetyléter (DME) | 28 | 19 | | vodík z obnoviteľných zdrojov | 120 | — | | ETBE (etyl-terc-butyl-éter vyrobený na báze etanolu) | 36 (37 % z obnoviteľných zdrojov) | 27 (37 % z obnoviteľných zdrojov) | | MTBE (metyl-terc-butyl-éter vyrobený na báze metanolu) | 35 (22 % z obnoviteľných zdrojov) | 26 (22 % z obnoviteľných zdrojov) | | TAEE (terciárny amyl-etyl-éter vyrobený na báze etanolu) | 38 (29 % z obnoviteľných zdrojov) | 29 (29 % z obnoviteľných zdrojov) | | TAME (terciárny amyl-metyl-éter vyrobený na báze metanolu) | 36 (18 % z obnoviteľných zdrojov) | 28 (18 % z obnoviteľných zdrojov) | | THxEE (terciárny hexyl-etyl-éter vyrobený na báze etanolu) | 38 (25 % z obnoviteľných zdrojov) | 30 (25 % z obnoviteľných zdrojov) | | THxME (terciárny hexyl-metyl-éter vyrobený na báze metanolu) | 38 (14 % z obnoviteľných zdrojov) | 30 (14 % z obnoviteľných zdrojov) | | FOSÍLNE PALIVÁ | | Benzín | 43 | 32 | | Nafta | 43 | 36 |
|
| Príloha č. 2 k vyhláške č. 271/2011 Z. z. |
| Pravidlá výpočtu vplyvu biopalív, biokvapalín a porovnateľných fosílnych palív na množstvo skleníkových plynov |
| A. Typické a určené hodnoty týkajúce sa biopalív, ak pri ich výrobe nevznikajú žiadne čisté emisie uhlíka spôsobené zmenou využívania pôdy |
| | Reťazec výroby biopalív | Úspory emisií skleníkových plynov – typická hodnota [%] | Úspory emisií skleníkových plynov – určená hodnota [%] | | etanol z cukrovej repy (bez bioplynu získaného z kalu, zemný plyn ako palivo na spracovanie v bežnom kotle) | 67 | 59 | | etanol z cukrovej repy (s bioplynom získaným z kalu, zemný plyn ako palivo na spracovanie v bežnom kotle) | 77 | 73 | | etanol z cukrovej repy (bez bioplynu získaného z kalu, zemný plyn ako palivo na spracovanie v zariadení na kombinovanú výrobu elektriny a tepla (*)) | 73 | 68 | | etanol z cukrovej repy (s bioplynom získaným z kalu, zemný plyn ako palivo na spracovanie v zariadení na kombinovanú výrobu elektriny a tepla (*)) | 79 | 76 | | etanol z cukrovej repy (bez bioplynu získaného z kalu, hnedé uhlie ako palivo na spracovanie v zariadení na kombinovanú výrobu elektriny a tepla (*)) | 58 | 47 | | etanol z cukrovej repy (s bioplynom získaným z kalu, hnedé uhlie ako palivo na spracovanie v zariadení na kombinovanú výrobu elektriny a tepla (*)) | 71 | 64 | | etanol z kukurice (zemný plyn ako palivo na spracovanie v bežnom kotle) | 48 | 40 | | etanol z kukurice (zemný plyn ako palivo na spracovanie v zariadení na kombinovanú výrobu elektriny a tepla (*)) | 55 | 48 | | etanol z kukurice (hnedé uhlie ako palivo na spracovanie v zariadení na kombinovanú výrobu elektriny a tepla (*)) | 40 | 28 | | etanol z kukurice (lesné zvyšky ako palivo na spracovanie v zariadení na kombinovanú výrobu elektriny a tepla (*)) | 69 | 68 | | etanol z iných obilnín okrem kukurice (zemný plyn ako palivo na spracovanie v bežnom kotle) | 47 | 38 | | etanol z iných obilnín okrem kukurice (zemný plyn ako palivo na spracovanie v zariadení na kombinovanú výrobu elektriny a tepla (*)) | 53 | 46 | | etanol z iných obilnín okrem kukurice (hnedé uhlie ako palivo na spracovanie v zariadení na kombinovanú výrobu elektriny a tepla (*)) | 37 | 24 | | etanol z iných obilnín okrem kukurice (lesné zvyšky ako palivo na spracovanie v zariadení na kombinovanú výrobu elektriny a tepla (*)) | 67 | 67 | | etanol z cukrovej trstiny | 70 | 70 | | časť, ktorá sa vyrába z obnoviteľných zdrojov etyl-terc-butyl-éteru (ETBE) | Rovnaké ako pri používanom reťazci výroby etanolu | | časť, ktorá sa vyrába z obnoviteľných zdrojov terciárneho amyl-etyl-éteru (TAEE) | Rovnaké ako pri používanom reťazci výroby etanolu | | bionafta z repky olejnej | 52 | 47 | | bionafta zo slnečnice | 57 | 52 | | bionafta zo sóje | 55 | 50 | | bionafta z palmového oleja (nádrž odpadových vôd s voľným výtokom) | 33 | 20 | | bionafta z palmového oleja (proces so zachytávaním metánu v továrni na spracovanie oleja) | 51 | 45 | | bionafta z odpadového kuchynského oleja | 88 | 84 | | bionafta zo škvareného živočíšneho tuku (**) | 84 | 78 | | hydrogenačne rafinovaný rastlinný olej z repky olejnej | 51 | 47 | | hydrogenačne rafinovaný rastlinný olej zo slnečnice | 58 | 54 | | hydrogenačne rafinovaný rastlinný olej zo sóje | 55 | 51 | | hydrogenačne rafinovaný rastlinný olej z palmového oleja (nádrž odpadových vôd s voľným výtokom) | 34 | 22 | | hydrogenačne rafinovaný rastlinný olej z palmového oleja (proces so zachytávaním metánu v továrni na spracovanie oleja) | 53 | 49 | | hydrogenačne rafinovaný olej z odpadového kuchynského oleja | 87 | 83 | | hydrogenačne rafinovaný olej zo škvareného živočíšneho tuku (**) | 83 | 77 | | čistý rastlinný olej z repky olejnej | 59 | 57 | | čistý rastlinný olej zo slnečnice | 65 | 64 | | čistý rastlinný olej zo sóje | 63 | 61 | | čistý rastlinný olej z palmového oleja (nádrž odpadových vôd s voľným výtokom) | 40 | 30 | | čistý rastlinný olej z palmového oleja (proces so zachytávaním metánu v továrni na spracovanie oleja) | 59 | 57 | | čistý olej z odpadového kuchynského oleja | 98 | 98 | | (*) Určené hodnoty pre procesy využívajúce zariadenia na kombinovanú výrobu elektriny a tepla platia len vtedy, ak je všetko procesné teplo dodané zariadením na kombinovanú výrobu elektriny a tepla. (**)Vzťahuje sa len na biopalivá vyrábané zo živočíšnych vedľajších produktov klasifikovaných ako materiál kategórie 1 a 2,7j) pri ktorých sa emisie súvisiace s hygienizáciou v rámci škvarenia neberú do úvahy. |
|
| B. Odhadované typické a určené hodnoty týkajúce sa budúcich biopalív, ktoré sa v roku 2016 nenachádzali na trhu alebo sa nachádzali na trhu len v zanedbateľných množstvách, ak pri ich výrobe nevznikajú žiadne čisté emisie uhlíka spôsobené zmenou využívania pôdy |
| | Reťazec výroby biopalív | Úspory emisií skleníkových plynov – typická hodnota [%] | Úspory emisií skleníkových plynov – určená hodnota [%] | | etanol z pšeničnej slamy | 85 | 83 | | nafta z drevného odpadu vyrobená technológiou Fischer-Tropsch v samostatnom zariadení | 83 | 83 | | nafta z drevín pestovaných na tento účel vyrobená technológiou Fischer-Tropsch v samostatnom zariadení | 82 | 82 | | benzín z drevného odpadu vyrobený technológiou Fischer-Tropsch v samostatnom zariadení | 83 | 83 | | benzín z drevín pestovaných na tento účel vyrobený technológiou Fischer-Tropsch v samostatnom zariadení | 82 | 82 | | dimetyléter (DME) z drevného odpadu v samostatnom zariadení | 84 | 84 | | dimetyléter (DME) z drevín pestovaných na tento účel v samostatnom zariadení | 83 | 83 | | metanol z drevného odpadu v samostatnom zariadení | 84 | 84 | | metanol z drevín pestovaných na tento účel v samostatnom zariadení | 83 | 83 | | nafta vyrobená technológiou Fischer-Tropsch splyňovaním čierneho výluhu integrovaným s výrobou celulózy | 89 | 89 | | benzín vyrobený technológiou Fischer-Tropsch splyňovaním čierneho výluhu integrovaným s výrobou celulózy | 89 | 89 | | dimetyléter (DME) vyrobený splyňovaním čierneho výluhu integrovaným s výrobou celulózy | 89 | 89 | | metanol vyrobený splyňovaním čierneho výluhu integrovaným s výrobou celulózy | 89 | 89 | | časť, ktorá sa vyrába z obnoviteľných zdrojov metyl-terc-butyl-éteru (MTBE) | Rovnaké ako pri používanom reťazci výroby metanolu |
|
| C. METODIKA |
| 1) Emisie skleníkových plynov z výroby a používania palív v doprave, biopalív a biokvapalín sa vypočítavajú takto: |
| a) Emisie skleníkových plynov z výroby a používania biopalív sa vypočítavajú takto: |
| E = eec + el + ep + etd + eu – esca – eccs – eccr, |
| kde |
| E sú celkové emisie z používania paliva; |
| eec sú emisie z ťažby alebo pestovania surovín; |
| el je množstvo emisií na rok, ktoré vznikajú pri zmenách zásob uhlíka spôsobených zmenou využívania pôdy; |
| ep sú emisie zo spracovania; |
| etd sú emisie z dopravy a distribúcie; |
| eu sú emisie z používaných palív; |
| esca je úspora emisií z akumulácie uhlíka v pôde prostredníctvom zlepšeného poľnohospodárskeho riadenia; |
| eccs je úspora emisií pri zachytávaní a geologickom ukladaní CO2 a |
| eccr je úspora emisií pri zachytávaní a nahradzovaní CO2. |
| Emisie z výroby strojov a zariadení sa nezohľadňujú. |
| b) Emisie skleníkových plynov z výroby a používania biokvapalín sa vypočítavajú zo vzorca pre biopalivá (E), ktorý sa však musí rozšíriť o premenu energie na vyrábanú elektrinu a/alebo na vyrábané teplo a chladenie, ak ide o zariadenie na výrobu energie, ktoré dodáva len |
| 1. teplo  |
| 2. elektrinu |
| kde |
| ECh a ECel sú celkové emisie skleníkových plynov z konečnej energetickej komodity; |
| E sú celkové emisie skleníkových plynov z biokvapaliny pred záverečnou konverziou; |
| ηel je elektrická účinnosť definovaná ako ročná výroba elektriny vydelená ročným vstupom biokvapaliny na základe jej energetického obsahu; |
| ηh je tepelná účinnosť definovaná ako ročné využiteľné teplo vydelené ročným vstupom biokvapaliny na základe jej energetického obsahu. |
| 3. Pri elektrine alebo mechanickej energii pochádzajúcej zo zariadení na výrobu energie, ktoré dodávajú využiteľné teplo spoločne s elektrinou a/alebo mechanickou energiou |
| ,
|
| 4. Pri využiteľnom teple pochádzajúcom zo zariadení na výrobu energie, ktoré dodáva teplo spoločne s elektrinou a/alebo mechanickou energiou |
| ,
|
| kde |
| ECh a ECel sú celkové emisie skleníkových plynov z konečnej energetickej komodity, |
| E sú celkové emisie skleníkových plynov z biokvapaliny pred záverečnou konverziou, |
| ηel je elektrická účinnosť definovaná ako ročná výroba elektriny vydelená ročným palivovým vstupom na základe jeho energetického obsahu, |
| ηh je tepelná účinnosť definovaná ako ročné využiteľné teplo vydelené ročným palivovým vstupom na základe jeho energetického obsahu, |
| Cel je podiel exergie na elektrine a/alebo mechanickej energii stanovený na 100 % (Cel = 1), |
| Ch je účinnosť Carnotovho cyklu (podiel exergie na využiteľnom teple). |
| Účinnosť Carnotovho cyklu Ch pre využiteľné teplo pri rozdielnych teplotách sa definuje ako: |
| ,
|
| kde |
| Th je teplota meraná pri absolútnej teplote [K] využiteľného tepla na odbernom mieste, |
| To je teplota okolia nastavená na 273,15 K (0 °C). |
| Ak sa prebytočné teplo dodáva na vykurovanie budov pri teplote nižšej ako 150 °C (423,15 K), môže byť Ch definovaná aj takto: |
| Ch je účinnosť Carnotovho cyklu pre teplo pri teplote 150 °C (423,15 K); účinnosť má hodnotu 0,3546. |
| Na výpočet sa uplatňuje toto vymedzenie pojmov |
| a) kombinovaná výroba elektriny a tepla je súčasne uskutočňovaná výroba tepelnej energie a elektriny a/alebo mechanickej energie v jednom procese, |
| b) využiteľné teplo je teplo vyrobené na uspokojenie ekonomicky zdôvodneného dopytu po teple na vykurovanie a chladenie, |
| c) ekonomicky zdôvodnený dopyt je dopyt, ktorý neprekračuje potreby tepla alebo chladenia a ktorý je inak uspokojený za trhových podmienok. |
| 2) Emisie skleníkových plynov z biopalív a biokvapalín sa vyjadria ako emisie skleníkových plynov z |
| a) biopalív (E) sa vyjadrujú ekvivalentom množstva gramov CO2 na MJ paliva [g CO2ekv/MJ], |
| b) biokvapalín (EC) sa vyjadrujú ekvivalentom množstva gramov CO2 na MJ paliva konečnej energetickej komodity (tepla alebo elektriny), [g CO2ekv/MJ]. |
| Ak sa popri vykurovaní a chladení kombinovane vyrába aj elektrina, emisie sa rozdelia medzi teplo a elektrinu (podľa prvého bodu písm. b) bez ohľadu na to, či sa teplo využíva na vykurovanie alebo chladenie. Teplo alebo odpadové teplo sa využíva na výrobu chladenia (chladenia vzduchom alebo vodou) pomocou absorpčných chladičov. Preto je vhodné vypočítať len emisie súvisiace s teplom vyrobeným na MJ tepla, bez ohľadu na to, či je konečným využitím tohto tepla vykurovanie alebo chladenie pomocou absorpčných chladičov. |
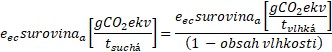
| Ak sa emisie skleníkových plynov z ťažby alebo pestovania surovín eec vyjadrujú v jednotkách g CO2ekv na suchú tonu východiskových surovín, prevod ekvivalentu CO2 na MJ paliva, g CO2ekv/MJ na gramy sa vypočíta takto: |
| 
|
| kde |
| 
|
| Emisie na suchú tonu surovín sa vypočítajú takto: |
| 
|
| Vzorec na výpočet emisií skleníkových plynov z ťažby alebo pestovania surovín eec opisuje prípady, keď sa suroviny transformujú na biopalivá v jednom kroku. Pri komplexnejších dodávateľských reťazcoch sú na výpočet emisií skleníkových plynov z ťažby alebo pestovania surovín eec potrebné úpravy pre medziprodukty. |
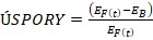
| 3) Úspory emisií skleníkových plynov z biopalív a biokvapalín sa vypočítajú takto: |
| a) úspory emisií skleníkových plynov z biopalív: |
| ÚSPORY = (EF(t) – EB)/EF(t), |
| kde |
| EB = celkové emisie z biopaliva a |
| EF(t) = celkové emisie z porovnateľného fosílneho paliva používaného v doprave. |
| b) úspory emisií skleníkových plynov z tepla a chladenia, pričom elektrina sa vyrába z biokvapalín: |
| ,
|
| kde |
| ECB(h&c, el) = celkové emisie z tepla alebo elektriny a |
| ECF(h&c,el) = celkové emisie z porovnateľného fosílneho paliva používaného na využiteľné teplo alebo elektrinu. |
| 4) Na účely odseku 1 sú zohľadnené skleníkové plyny oxid uhličitý (CO2), oxid dusný (N2O) a metán (CH4). Na výpočet ekvivalentu CO2 majú emisie týchto plynov vzhľadom na ekvivalentné emisie CO2 túto hodnotu: |
| CO2: 1; CH4: 25; N2O: 298. |
| 5) Emisie z ťažby alebo pestovania surovín, eec, zahŕňajú emisie zo samotného procesu |
| a) ťažby alebo pestovania, |
| b) zo zberu, sušenia a skladovania surovín, |
| c) z odpadov a úniku látok, |
| d) z výroby chemických látok alebo produktov používaných pri ťažbe alebo pestovaní. |
| Zachytávanie CO2 pri pestovaní surovín sa nezahŕňa. Ako alternatívu skutočných hodnôt možno použiť odhadované množstvá emisií z pestovania poľnohospodárskej biomasy, ktoré je možné odvodiť na základe regionálnych priemerov emisií z pestovania zahrnutých do správ podľa § 5 ods. 2 alebo z informácií o rozčlenených určených hodnotách pre emisie z pestovania zahrnutých v tejto prílohe. Ako alternatívu skutočných hodnôt je pri chýbajúcich informáciách v uvedených správach povolené vypočítať priemerné hodnoty založené na miestnych poľnohospodárskych postupoch, ktoré vychádzajú napríklad z údajov o skupinách poľnohospodárskych podnikov. |
| 6) Úspory emisií skleníkových plynov na základe lepšieho riadenia poľnohospodárstva esca, napríklad prechodu k minimálnemu alebo bezorbovému obrábaniu pôdy, pestovaniu lepších plodín alebo ich striedaniu, využívaniu krycích plodín vrátane nakladania so zvyškami plodín a používaniu organického pôdneho kondicionéra (napr. kompostu, digestátu fermentácie hnoja), sa na výpočet uvedený v prvom bode písm. a) zohľadnia len vtedy, ak sa spoľahlivo a overiteľne preukáže, že sa obsah uhlíka v pôde zvýšil, alebo sa dá očakávať, že sa zvýši v období, v ktorom sa dané východiskové suroviny vypestujú, pričom uvedené emisie sa zohľadnia, ak takéto postupy vedú k vyššiemu použitiu hnojív a herbicídov. Takéto dôkazy možno získať meraním uhlíka v pôde, napríklad, ak sa prvýkrát zmeria pred pestovaním a následne v pravidelných intervaloch s niekoľkoročným odstupom. Vtedy sa pred získaním výsledkov druhého merania nárast uhlíka v pôde odhadne na základe reprezentatívnych pokusov alebo pôdnych modelov. Počnúc druhým meraním sú tieto merania základom stanovenia existencie nárastu uhlíka v pôde a jeho hodnoty. |
| 7) Množstvo emisií za rok vyplývajúcich zo zmien zásob uhlíka spôsobených zmenou využívania pôdy el sa vypočítavajú rovnomerným rozdelením celkových emisií za obdobie 20 rokov. Na výpočet uvedených emisií sa uplatňuje tento vzorec |
| 
|
| kde |
| el sú anualizované emisie skleníkových plynov vyplývajúce zo zmien zásob uhlíka spôsobených zmenou využívania pôdy [merané ako g CO2ekv na jednotku biopalivovej alebo biokvapalinovej energie (v MJ)]. „Orná pôda“ (ako ju vymedzuje IPCC) a „pôda pre trvácne plodiny“ sa považujú za jedno využitie pôdy. Trvácne plodiny sa vymedzujú ako viacročné plodiny, ktorých kmene sa väčšinou každoročne nezberajú, ako napríklad rýchlo rastúce výmladkové porasty a palma olejná, |
| CSr sú zásoby uhlíka na jednotku plochy súvisiace s referenčným využívaním pôdy [merané ako množstvo uhlíka [t] na jednotku plochy vrátane pôdy aj vegetácie]. Za referenčné využívanie pôdy sa považuje využívanie pôdy v januári 2008 alebo 20 rokov pred tým, ako sa získali východiskové suroviny, podľa toho, ktoré využívanie sa realizovalo neskôr, |
| CSa sú zásoby uhlíka na jednotku plochy súvisiace so skutočným využívaním pôdy [merané ako množstvo uhlíka [t] na jednotku plochy vrátane pôdy aj vegetácie]. Ak sa zásoby uhlíka zhromažďujú viac ako jeden rok, hodnotou CSa sú odhadované zásoby na jednotku plochy po 20 rokoch alebo po dozretí plodín, podľa toho, ktoré obdobie nastane skôr, |
| P je produktivita plodín (meraná ako energia z biopalív alebo biokvapalín na jednotku plochy za rok) a |
| eb je bonus 29 g CO2ekv/MJ biopalív alebo biokvapalín, ak sa biomasa získava z obnovenej znehodnotenej pôdy za podmienok podľa ôsmeho bodu. |
| Konštanta 3,664 je získaná vydelením molekulovej hmotnosti CO2 (44,010 g/mol) molekulovou hmotnosťou uhlíka (12,011 g/mol). |
| 8) Bonus 29 g CO2ekv/MJ sa udelí, ak sa preukáže, že daná pôda: |
| a) sa v januári 2008 nevyužívala na poľnohospodárske účely ani akúkoľvek inú činnosť a |
| b) je veľmi znehodnotená vrátane pôdy, ktorá sa v minulosti využívala na poľnohospodárske účely. |
| Bonus 29 g CO2ekv/MJ sa uplatňuje na obdobie 20 rokov od dátumu zmeny využívania pôdy na poľnohospodárske účely pod podmienkou, že sa pri pôde uvedenej v písmene b) zaručí pravidelný nárast zásob uhlíka a výrazné zníženie erózie. |
| 9) Veľmi znehodnotená pôda je pôda, ktorá je počas dlhého obdobia výrazne zasolená alebo vykazuje mimoriadne nízky obsah organických látok a je veľmi zvetraná. |
| 10) Usmernenia podľa osobitného predpisu7k) slúžia ako základ výpočtu zásob uhlíka v pôde na účely tejto vyhlášky. |
| 11) Emisie zo spracovania ep, zahŕňajú emisie |
| a) zo samotného spracovania, |
| b) z odpadu a úniku látok, |
| c) z výroby chemických látok alebo produktov používaných pri spracovávaní vrátane emisií CO2, ktoré zodpovedajú obsahu uhlíka vo fosílnych vstupoch, bez ohľadu na to, či sa v rámci procesu spaľujú. |
| Pri započítaní spotreby elektriny nevyrobenej v zariadení na výrobu palív sa intenzita emisií skleníkových plynov pri výrobe a distribúcii tejto elektriny považuje za rovnakú ako pri priemernej intenzite emisií pri výrobe a distribúcii elektriny v určenom regióne. Odchylne od tohto pravidla môžu výrobcovia používať priemernú hodnotu pri elektrine vyrobenej v jednotlivej elektrárni za predpokladu, že táto elektráreň nie je pripojená k elektrizačnej sústave. |
| Emisie zo spracovania zahŕňajú v relevantných prípadoch emisie zo sušenia medziproduktov a materiálov. |
| 12) Emisie z dopravy a distribúcie etd, zahŕňajú emisie z dopravy surovín a polotovarov a zo skladovania a distribúcie hotových materiálov. Tento bod sa nevzťahuje na emisie z dopravy a distribúcie, ktoré sa zohľadňujú podľa odseku 5. |
| 13) Emisie z používaných palív, eu, sa pri biopalivách a biokvapalinách považujú za nulové. |
| Emisie skleníkových plynov iných ako CO2 (N2O a CH4) z používaných palív sa zahrnú do faktora eu pre biokvapalinu. |
| 14) Úspora emisií pri zachytávaní a geologickom ukladaní CO2 eccs, ktoré ešte nie sú započítané pri ep, je obmedzená len na tie emisie, ktorým sa zabráni pri zachytávaní a ukladaní emitovaného CO2 v priamej súvislosti s ťažbou, prepravou, spracovaním a distribúciou palív, ak sa ukladanie uskutoční podľa osobitného predpisu.7l) |
| 15) Úspora emisií pri zachytávaní a nahradzovaní CO2 eccr, priamo súvisí s výrobou biopaliva alebo biokvapaliny, ku ktorým sú priradené, a je obmedzená len na tie emisie, ktorým sa zabráni pri zachytávaní CO2, ktorého uhlík pochádza z biomasy, a používa sa na nahradenie CO2 pochádzajúceho z fosílnych palív pri výrobe komerčných výrobkov a poskytovaní komerčných služieb. |
| 16) Ak jednotka kombinovanej výroby – zaisťujúca teplo a/alebo elektrinu v procese výroby paliva, pri ktorom sa vypočítavajú emisie – vyrobí prebytočnú elektrinu a/alebo prebytočné využiteľné teplo, emisie skleníkových plynov sa rozdelia medzi elektrinu a užitočné teplo úmerne teplote tepla [ktorá odráža užitočnosť (úžitok) tepla]. Užitočná časť tepla sa zistí vynásobením jeho energetického obsahu účinnosťou Carnotovho cyklu, Ch, ktorá sa vypočíta podľa odseku 1 písm. b) štvrtý bod. |
| Na výpočet sa použije skutočná účinnosť definovaná ako ročná mechanická energia, elektrina a teplo vyrobené v poradí vydelené ročným energetickým vstupom. |
| 17) Ak je kombinovaným produktom výroby paliva palivo, pri ktorom sa vypočítavajú emisie, a jeden alebo viacero iných produktov (ďalej len „vedľajšie produkty“), emisie skleníkových plynov sa delia medzi palivo alebo jeho medziprodukt a vedľajšie produkty úmerne k ich energetickému obsahu (určuje sa na základe nižšej výhrevnosti pri vedľajších produktoch iných ako elektrina a teplo). Intenzita skleníkových plynov prebytočného užitočného tepla alebo prebytočnej elektriny sa zhoduje s intenzitou tepla alebo elektriny, ktorých dodávky sa použijú na proces výroby paliva, a určí sa na základe výpočtu intenzity skleníkových plynov všetkých vstupov a emisií vrátane emisií zo surovín a emisií CH4 a N2O, do a z jednotky kombinovanej výroby, kotla či iného zariadenia zaisťujúceho dodávky tepla alebo elektriny do procesu výroby paliva. Pri kombinovanej výrobe elektriny a tepla sa výpočet uskutoční podľa odseku 16. |
| 18) Na výpočet uvedený v odseku 17 sú emisie, ktoré sa majú deliť, súčtom eec + el + esca + podielu emisií ep, etd, eccs a eccr, ktoré vznikajú v procese až do fázy, keď sa vyrobí vedľajší produkt vrátane fázy výroby samotnej. Ak sa v skoršej fáze procesu v rámci životného cyklu pripíšu emisie vedľajším produktom, podiel takýchto emisií, ktoré sa pripíšu medziproduktu paliva v poslednej takejto fáze procesu, sa použije na tieto účely namiesto celkového množstva emisií. |
| Pri biopalivách a biokvapalinách sa na výpočet zohľadňujú vedľajšie produkty. Na odpad a zvyšky sa nepridelia žiadne emisie. Na výpočet sa energetický obsah vedľajších produktov s negatívnym energetickým obsahom považuje za nulový. |
| Odpady a zvyšky vrátane korún a vetiev stromov, slamy, pliev, kukuričných klasov a orechových škrupín, ako aj zvyšky zo spracovania vrátane nespracovaného glycerínu sa považujú za odpady a zvyšky s nulovými emisiami skleníkových plynov v rámci životného cyklu až do procesu zberu týchto materiálov, bez ohľadu na to, či sa pred premenou na konečný produkt spracúvajú na medziprodukty. |
| Pri palivách vyrábaných v iných rafinériách ako tých, ktoré sú kombináciou spracovateľských zariadení s kotlami alebo jednotiek kombinovanej výroby poskytujúcich dodávky tepla a/alebo elektriny do spracovateľského zariadenia, sa za jednotku analýzy na výpočet uvedený v odseku 17 považuje rafinéria. |
| 19) Pri biopalivách predstavujú na výpočet uvedený v odseku 3 emisie z porovnateľného fosílneho paliva EF(t) hodnotu 94 g CO2ekv/MJ. |
| Pri biokvapalinách používaných na výrobu elektriny predstavujú na výpočet uvedený v odseku 3 emisie z porovnateľného fosílneho paliva ECF(e) hodnotu 183 g CO2ekv/MJ. |
| Pri biokvapalinách používaných na výrobu využiteľného tepla, ako aj na vykurovanie a/alebo chladenie predstavujú na výpočet uvedený v odseku 3 emisie z porovnateľného fosílneho paliva ECF(h&c) hodnotu 80 g CO2ekv/MJ. |
| D. ROZTRIEDENIE URČENÝCH HODNÔT PRE BIOPALIVÁ A BIOKVAPALINY |
| Roztriedenie určených hodnôt pre pestovanie: „eec“ podľa vymedzenia v časti C vrátane pôdnych emisií N2O |
| | Reťazec výroby biopalív a biokvapalín | Emisie skleníkových plynov – typická hodnota [g CO2ekv/MJ] | Emisie skleníkových plynov – určená hodnota [g CO2ekv/MJ] | | etanol z cukrovej repy | 9,6 | 9,6 | | etanol z kukurice | 25,5 | 25,5 | | etanol z iných obilnín okrem kukurice | 27,0 | 27,0 | | etanol z cukrovej trstiny | 17,1 | 17,1 | | časť, ktorá sa vyrába z obnoviteľných zdrojov ETBE | Rovnaké ako pri používanom reťazci výroby etanolu | | časť, ktorá sa vyrába z obnoviteľných zdrojov TAEE | Rovnaké ako pri používanom reťazci výroby etanolu | | bionafta z repky olejnej | 32,0 | 32,0 | | bionafta zo slnečnice | 26,1 | 26,1 | | bionafta zo sóje | 21,2 | 21,2 | | bionafta z palmového oleja | 26,0 | 26,0 | | bionafta z odpadového kuchynského oleja | 0 | 0 | | bionafta zo škvareného živočíšneho tuku (**) | 0 | 0 | | hydrogenačne rafinovaný rastlinný olej z repky olejnej | 33,4 | 33,4 | | hydrogenačne rafinovaný rastlinný olej zo slnečnice | 26,9 | 26,9 | | hydrogenačne rafinovaný rastlinný olej zo sóje | 22,1 | 22,1 | | hydrogenačne rafinovaný rastlinný olej z palmového oleja | 27,3 | 27,3 | | hydrogenačne rafinovaný olej z odpadového kuchynského oleja | 0 | 0 | | hydrogenačne rafinovaný olej zo škvareného živočíšneho tuku (**) | 0 | 0 | | čistý rastlinný olej z repky olejnej | 33,4 | 33,4 | | čistý rastlinný olej zo slnečnice | 27,2 | 27,2 | | čistý rastlinný olej zo sóje | 22,2 | 22,2 | | čistý rastlinný olej z palmového oleja | 27,1 | 27,1 | | čistý olej z odpadového kuchynského oleja | 0 | 0 |
|
| (**) Vzťahuje sa len na biopalivá vyrábané zo živočíšnych vedľajších produktov klasifikovaných ako materiál kategórie 1 a 2 podľa osobitného predpisu,7j) pri ktorých sa emisie súvisiace s hygienizáciou v rámci škvarenia neberú do úvahy. |
| Roztriedenie určených hodnôt pre pestovanie: „eec“ – len pre pôdne emisie N2O (sú už zahrnuté v roztriedených hodnotách pre emisie z pestovania v tabuľke pre „eec“) |
| | Reťazec výroby biopalív a biokvapalín | Emisie skleníkových plynov – typická hodnota [g CO2ekv/MJ] | Emisie skleníkových plynov – určená hodnota [g CO2ekv/MJ] | | etanol z cukrovej repy | 4,9 | 4,9 | | etanol z kukurice | 13,7 | 13,7 | | etanol z iných obilnín okrem kukurice | 14,1 | 14,1 | | etanol z cukrovej trstiny | 2,1 | 2,1 | | časť, ktorá sa vyrába z obnoviteľných zdrojov ETBE | Rovnaké ako pri používanom reťazci výroby etanolu | | časť, ktorá sa vyrába z obnoviteľných zdrojov TAEE | Rovnaké ako pri používanom reťazci výroby etanolu | | bionafta z repky olejnej | 17,6 | 17,6 | | bionafta zo slnečnice | 12,2 | 12,2 | | bionafta zo sóje | 13,4 | 13,4 | | bionafta z palmového oleja | 16,5 | 16,5 | | bionafta z odpadového kuchynského oleja | 0 | 0 | | bionafta zo škvareného živočíšneho tuku (**) | 0 | 0 | | hydrogenačne rafinovaný rastlinný olej z repky olejnej | 18,0 | 18,0 | | hydrogenačne rafinovaný rastlinný olej zo slnečnice | 12,5 | 12,5 | | hydrogenačne rafinovaný rastlinný olej zo sóje | 13,7 | 13,7 | | hydrogenačne rafinovaný rastlinný olej z palmového oleja | 16,9 | 16,9 | | hydrogenačne rafinovaný olej z odpadového kuchynského oleja | 0 | 0 | | hydrogenačne rafinovaný olej zo škvareného živočíšneho tuku (**) | 0 | 0 | | čistý rastlinný olej z repky olejnej | 17,6 | 17,6 | | čistý rastlinný olej zo slnečnice | 12,2 | 12,2 | | čistý rastlinný olej zo sóje | 13,4 | 13,4 | | čistý rastlinný olej z palmového oleja | 16,5 | 16,5 | | čistý olej z odpadového kuchynského oleja | 0 | 0 |
|
| (**) Vzťahuje sa len na biopalivá vyrábané zo živočíšnych vedľajších produktov klasifikovaných ako materiál kategórie 1 a 2 podľa osobitného predpisu,7j) pri ktorých sa emisie súvisiace s hygienizáciou v rámci škvarenia neberú do úvahy. |
| Roztriedenie určených hodnôt pre spracovanie: „ep“ podľa vymedzenia v časti C |
| | Reťazec výroby biopalív a biokvapalín | Emisie skleníkových plynov – typická hodnota [g CO2ekv/MJ] | Emisie skleníkových plynov – určená hodnota [g CO2ekv/MJ] | | etanol z cukrovej repy (bez bioplynu získaného z kalu, zemný plyn ako palivo na spracovanie v bežnom kotle) | 18,8 | 26,3 | | etanol z cukrovej repy (s bioplynom získaným z kalu, zemný plyn ako palivo na spracovanie v bežnom kotle) | 9,7 | 13,6 | | etanol z cukrovej repy (bez bioplynu získaného z kalu, zemný plyn ako palivo na spracovanie v zariadení na kombinovanú výrobu elektriny a tepla (*)) | 13,2 | 18,5 | | etanol z cukrovej repy (s bioplynom získaným z kalu, zemný plyn ako palivo na spracovanie v zariadení na kombinovanú výrobu elektriny a tepla (*)) | 7,6 | 10,6 | | etanol z cukrovej repy (bez bioplynu získaného z kalu, hnedé uhlie ako palivo na spracovanie v zariadení na kombinovanú výrobu elektriny a tepla (*)) | 27,4 | 38,3 | | etanol z cukrovej repy (s bioplynom získaným z kalu, hnedé uhlie ako palivo na spracovanie v zariadení na kombinovanú výrobu elektriny a tepla (*)) | 15,7 | 22,0 | | etanol z kukurice (zemný plyn ako palivo na spracovanie v bežnom kotle) | 20,8 | 29,1 | | etanol z kukurice (zemný plyn ako palivo na spracovanie v zariadení na kombinovanú výrobu tepla a elektriny (*)) | 14,8 | 20,8 | | etanol z kukurice (hnedé uhlie ako palivo na spracovanie v zariadení na kombinovanú výrobu tepla a elektriny (*)) | 28,6 | 40,1 | | etanol z kukurice (lesné zvyšky ako palivo na spracovanie v zariadení na kombinovanú výrobu tepla a elektriny) | 1,8 | 2,6 | | etanol z iných obilnín okrem kukurice (zemný plyn ako palivo na spracovanie v bežnom kotle) | 21,0 | 29,3 | | etanol z iných obilnín okrem kukurice (zemný plyn ako palivo na spracovanie v zariadení na kombinovanú výrobu elektriny a tepla (*)) | 15,1 | 21,1 | | etanol z iných obilnín okrem kukurice (hnedé uhlie ako palivo na spracovanie v zariadení na kombinovanú výrobu elektriny a tepla (*)) | 30,3 | 42,5 | | etanol z iných obilnín okrem kukurice (lesné zvyšky ako palivo na spracovanie v zariadení na kombinovanú výrobu elektriny a tepla (*)) | 1,5 | 2,2 | | etanol z cukrovej trstiny | 1,3 | 1,8 | | časť, ktorá sa vyrába z obnoviteľných zdrojov ETBE | Rovnaké ako pri používanom reťazci výroby etanolu | | časť, ktorá sa vyrába z obnoviteľných zdrojov TAEE | Rovnaké ako pri používanom reťazci výroby etanolu | | bionafta z repky olejnej | 11,7 | 16,3 | | bionafta zo slnečnice | 11,8 | 16,5 | | bionafta zo sóje | 12,1 | 16,9 | | bionafta z palmového oleja (nádrž odpadových vôd s voľným výtokom) | 30,4 | 42,6 | | bionafta z palmového oleja (proces so zachytávaním metánu v továrni na spracovanie oleja) | 13,2 | 18,5 | | bionafta z odpadového kuchynského oleja | 9,3 | 13,0 | | bionafta zo škvareného živočíšneho tuku (**) | 13,6 | 19,1 | | hydrogenačne rafinovaný rastlinný olej z repky olejnej | 10,7 | 15,0 | | hydrogenačne rafinovaný rastlinný olej zo slnečnice | 10,5 | 14,7 | | hydrogenačne rafinovaný rastlinný olej zo sóje | 10,9 | 15,2 | | hydrogenačne rafinovaný rastlinný olej z palmového oleja (nádrž odpadových vôd s voľným výtokom) | 27,8 | 38,9 | | hydrogenačne rafinovaný rastlinný olej z palmového oleja (proces so zachytávaním metánu v továrni na spracovanie oleja) | 9,7 | 13,6 | | hydrogenačne rafinovaný olej z odpadového kuchynského oleja | 10,2 | 14,3 | | hydrogenačne rafinovaný olej zo škvareného živočíšneho tuku (**) | 14,5 | 20,3 | | čistý rastlinný olej z repky olejnej | 3,7 | 5,2 | | čistý rastlinný olej zo slnečnice | 3,8 | 5,4 | | čistý rastlinný olej zo sóje | 4,2 | 5,9 | | čistý rastlinný olej z palmového oleja (nádrž odpadových vôd s voľným výtokom) | 22,6 | 31,7 | | čistý rastlinný olej z palmového oleja (proces so zachytávaním metánu v továrni na spracovanie oleja) | 4,7 | 6,5 | | čistý olej z odpadového kuchynského oleja | 0,6 | 0,8 |
|
| (*) Určené hodnoty pre procesy využívajúce zariadenia na kombinovanú výrobu elektriny a tepla platia len vtedy, ak je všetko procesné teplo dodané zariadením na kombinovanú výrobu elektriny a tepla. |
| (**) Vzťahuje sa len na biopalivá vyrábané zo živočíšnych vedľajších produktov klasifikovaných ako materiál kategórie 1 a 2 podľa osobitného predpisu,7j) pri ktorých sa emisie súvisiace s hygienizáciou v rámci škvarenia neberú do úvahy. |
| Roztriedenie určených hodnôt len pre extrakciu oleja (sú už zahrnuté v roztriedených hodnotách pre emisie zo spracovania v tabuľke pre „ep“) |
| | Reťazec výroby biopalív a biokvapalín | Emisie skleníkových plynov – typická hodnota [g CO2ekv/MJ] | Emisie skleníkových plynov – určená hodnota [g CO2ekv/MJ] | | bionafta z repky olejnej | 3,0 | 4,2 | | bionafta zo slnečnice | 2,9 | 4,0 | | bionafta zo sóje | 3,2 | 4,4 | | bionafta z palmového oleja (nádrž odpadových vôd s voľným výtokom) | 20,9 | 29,2 | | bionafta z palmového oleja (proces so zachytávaním metánu v továrni na spracovanie oleja) | 3,7 | 5,1 | | bionafta z odpadového kuchynského oleja | 0 | 0 | | bionafta zo škvareného živočíšneho tuku (**) | 4,3 | 6,1 | | hydrogenačne rafinovaný rastlinný olej z repky olejnej | 3,1 | 4,4 | | hydrogenačne rafinovaný rastlinný olej zo slnečnice | 3,0 | 4,1 | | hydrogenačne rafinovaný rastlinný olej zo sóje | 3,3 | 4,6 | | hydrogenačne rafinovaný rastlinný olej z palmového oleja (nádrž odpadových vôd s voľným výtokom) | 21,9 | 30,7 | | hydrogenačne rafinovaný rastlinný olej z palmového oleja (proces so zachytávaním metánu v továrni na spracovanie oleja) | 3,8 | 5,4 | | hydrogenačne rafinovaný olej z odpadového kuchynského oleja | 0 | 0 | | hydrogenačne rafinovaný olej zo škvareného živočíšneho tuku (**) | 4,3 | 6,0 | | čistý rastlinný olej z repky olejnej | 3,1 | 4,4 | | čistý rastlinný olej zo slnečnice | 3,0 | 4,2 | | čistý rastlinný olej zo sóje | 3,4 | 4,7 | | čistý rastlinný olej z palmového oleja (nádrž odpadových vôd s voľným výtokom) | 21,8 | 30,5 | | čistý rastlinný olej z palmového oleja (proces so zachytávaním metánu v továrni na spracovanie oleja) | 3,8 | 5,3 | | čistý olej z odpadového kuchynského oleja | 0 | 0 |
|
| (**) Vzťahuje sa len na biopalivá vyrábané zo živočíšnych vedľajších produktov klasifikovaných ako materiál kategórie 1 a 2 podľa osobitného predpisu,7j) pri ktorých sa emisie súvisiace s hygienizáciou v rámci škvarenia neberú do úvahy. |
| Roztriedenie určených hodnôt pre dopravu a distribúciu: „etd“ podľa vymedzenia v časti C |
| | Reťazec výroby biopalív a biokvapalín | Emisie skleníkových plynov – typická hodnota [g CO2ekv/MJ] | Emisie skleníkových plynov – určená hodnota [g CO2ekv/MJ] | | etanol z cukrovej repy (bez bioplynu získaného z kalu, zemný plyn ako palivo na spracovanie v bežnom kotle) | 2,3 | 2,3 | | etanol z cukrovej repy (s bioplynom získaným z kalu, zemný plyn ako palivo na spracovanie v bežnom kotle) | 2,3 | 2,3 | | etanol z cukrovej repy (bez bioplynu získaného z kalu, zemný plyn ako palivo na spracovanie v zariadení na kombinovanú výrobu elektriny a tepla (*)) | 2,3 | 2,3 | | etanol z cukrovej repy (s bioplynom získaným z kalu, zemný plyn ako palivo na spracovanie v zariadení na kombinovanú výrobu elektriny a tepla (*)) | 2,3 | 2,3 | | etanol z cukrovej repy (bez bioplynu získaného z kalu, hnedé uhlie ako palivo na spracovanie v zariadení na kombinovanú výrobu elektriny a tepla (*)) | 2,3 | 2,3 | | etanol z cukrovej repy (s bioplynom získaným z kalu, hnedé uhlie ako palivo na spracovanie v zariadení na kombinovanú výrobu elektriny a tepla (*)) | 2,3 | 2,3 | | etanol z kukurice (zemný plyn ako palivo na spracovanie v zariadení na kombinovanú výrobu elektriny a tepla (*)) | 2,2 | 2,2 | | etanol z kukurice (zemný plyn ako palivo na spracovanie v bežnom kotle) | 2,2 | 2,2 | | etanol z kukurice (hnedé uhlie ako palivo na spracovanie v zariadení na kombinovanú výrobu elektriny a tepla (*)) | 2,2 | 2,2 | | etanol z kukurice (lesné zvyšky ako palivo na spracovanie v zariadení na kombinovanú výrobu elektriny a tepla (*)) | 2,2 | 2,2 | | etanol z iných obilnín okrem kukurice (zemný plyn ako palivo na spracovanie v bežnom kotle) | 2,2 | 2,2 | | etanol z iných obilnín okrem kukurice (zemný plyn ako palivo na spracovanie v zariadení na kombinovanú výrobu elektriny a tepla (*)) | 2,2 | 2,2 | | etanol z iných obilnín okrem kukurice (hnedé uhlie ako palivo na spracovanie v zariadení na kombinovanú výrobu elektriny a tepla (*)) | 2,2 | 2,2 | | etanol z iných obilnín okrem kukurice (lesné zvyšky ako palivo na spracovanie v zariadení na kombinovanú výrobu elektriny a tepla (*)) | 2,2 | 2,2 | | etanol z cukrovej trstiny | 9,7 | 9,7 | | časť, ktorá sa vyrába z obnoviteľných zdrojov ETBE | Rovnaké ako pri používanom reťazci výroby etanolu | | časť, ktorá sa vyrába z obnoviteľných zdrojov TAEE | Rovnaké ako pri používanom reťazci výroby etanolu | | bionafta z repky olejnej | 1,8 | 1,8 | | bionafta zo slnečnice | 2,1 | 2,1 | | bionafta zo sóje | 8,9 | 8,9 | | bionafta z palmového oleja (nádrž odpadových vôd s voľným výtokom) | 6,9 | 6,9 | | bionafta z palmového oleja (proces so zachytávaním metánu v továrni na spracovanie oleja) | 6,9 | 6,9 | | bionafta z odpadového kuchynského oleja | 1,9 | 1,9 | | bionafta zo škvareného živočíšneho tuku (**) | 1,6 | 1,6 | | hydrogenačne rafinovaný rastlinný olej z repky olejnej | 1,7 | 1,7 | | hydrogenačne rafinovaný rastlinný olej zo slnečnice | 2,0 | 2,0 | | hydrogenačne rafinovaný rastlinný olej zo sóje | 9,2 | 9,2 | | hydrogenačne rafinovaný rastlinný olej z palmového oleja (nádrž odpadových vôd s voľným výtokom) | 7,0 | 7,0 | | hydrogenačne rafinovaný rastlinný olej z palmového oleja (proces so zachytávaním metánu v továrni na spracovanie oleja) | 7,0 | 7,0 | | hydrogenačne rafinovaný olej z odpadového kuchynského oleja | 1,7 | 1,7 | | hydrogenačne rafinovaný olej zo škvareného živočíšneho tuku (**) | 1,5 | 1,5 | | čistý rastlinný olej z repky olejnej | 1,4 | 1,4 | | čistý rastlinný olej zo slnečnice | 1,7 | 1,7 | | čistý rastlinný olej zo sóje | 8,8 | 8,8 | | čistý rastlinný olej z palmového oleja (nádrž odpadových vôd s voľným výtokom) | 6,7 | 6,7 | | čistý rastlinný olej z palmového oleja (proces so zachytávaním metánu v továrni na spracovanie oleja) | 6,7 | 6,7 | | čistý olej z odpadového kuchynského oleja | 1,4 | 1,4 |
|
| (*) Určené hodnoty pre procesy využívajúce zariadenia na kombinovanú výrobu elektriny a tepla platia len vtedy, ak je všetko procesné teplo dodané zariadením na kombinovanú výrobu elektriny a tepla. |
| (**) Vzťahuje sa len na biopalivá vyrábané zo živočíšnych vedľajších produktov klasifikovaných ako materiál kategórie 1 a 2 podľa osobitného predpisu,7j) pri ktorých sa emisie súvisiace s hygienizáciou v rámci škvarenia neberú do úvahy. |
| Roztriedenie určených hodnôt pre dopravu a distribúciu len koncového paliva. (Sú už zahrnuté v tabuľke Emisie z prepravy a distribúcie etd podľa vymedzenia v časti C, nasledujúce hodnoty sú však užitočné, ak má hospodársky subjekt v úmysle vykázať len skutočné emisie pochádzajúce z prepravy plodín alebo z prepravy oleja) |
| | Reťazec výroby biopalív a biokvapalín | Emisie skleníkových plynov – typická hodnota [g CO2ekv/MJ] | Emisie skleníkových plynov – určená hodnota [g CO2ekv/MJ] | | etanol z cukrovej repy (bez bioplynu získaného z kalu, zemný plyn ako palivo na spracovanie v bežnom kotle) | 1,6 | 1,6 | | etanol z cukrovej repy (s bioplynom získaným z kalu, zemný plyn ako palivo na spracovanie v bežnom kotle) | 1,6 | 1,6 | | etanol z cukrovej repy (bez bioplynu získaného z kalu, zemný plyn ako palivo na spracovanie v zariadení na kombinovanú výrobu elektriny a tepla (*)) | 1,6 | 1,6 | | etanol z cukrovej repy (s bioplynom získaným z kalu, zemný plyn ako palivo na spracovanie v zariadení na kombinovanú výrobu elektriny a tepla (*)) | 1,6 | 1,6 | | etanol z cukrovej repy (bez bioplynu získaného z kalu, hnedé uhlie ako palivo na spracovanie v zariadení na kombinovanú výrobu elektriny a tepla (*)) | 1,6 | 1,6 | | etanol z cukrovej repy (s bioplynom získaným z kalu, hnedé uhlie ako palivo na spracovanie v zariadení na kombinovanú výrobu elektriny a tepla (*)) | 1,6 | 1,6 | | etanol z kukurice (zemný plyn ako palivo na spracovanie v bežnom kotle) | 1,6 | 1,6 | | etanol z kukurice (zemný plyn ako palivo na spracovanie v zariadení na kombinovanú výrobu elektriny a tepla (*)) | 1,6 | 1,6 | | etanol z kukurice (hnedé uhlie ako palivo na spracovanie v zariadení na kombinovanú výrobu elektriny a tepla (*)) | 1,6 | 1,6 | | etanol z kukurice (lesné zvyšky ako palivo na spracovanie v zariadení na kombinovanú výrobu elektriny a tepla (*)) | 1,6 | 1,6 | | etanol z iných obilnín okrem kukurice (zemný plyn ako palivo na spracovanie v bežnom kotle) | 1,6 | 1,6 | | etanol z iných obilnín okrem kukurice (zemný plyn ako palivo na spracovanie v zariadení na kombinovanú výrobu elektriny a tepla (*)) | 1,6 | 1,6 | | etanol z iných obilnín okrem kukurice (hnedé uhlie ako palivo na spracovanie v zariadení na kombinovanú výrobu elektriny a tepla (*)) | 1,6 | 1,6 | | etanol z iných obilnín okrem kukurice (lesné zvyšky ako palivo na spracovanie v zariadení na kombinovanú výrobu elektriny a tepla (*)) | 1,6 | 1,6 | | etanol z cukrovej trstiny | 6,0 | 6,0 | | časť etyl-terc-butyl-éteru (ETBE), ktorá sa vyrába z obnoviteľného etanolu | Bude sa považovať za rovnakú ako pri používanom reťazci výroby etanolu | | časť terciárneho amyl-etyl-éteru (TAEE), ktorá sa vyrába z obnoviteľného etanolu | Bude sa považovať za rovnakú ako pri používanom reťazci výroby etanolu | | bionafta z repky olejnej | 1,3 | 1,3 | | bionafta zo slnečnice | 1,3 | 1,3 | | bionafta zo sóje | 1,3 | 1,3 | | bionafta z palmového oleja (nádrž odpadových vôd s voľným výtokom) | 1,3 | 1,3 | | bionafta z palmového oleja (proces so zachytávaním metánu v továrni na spracovanie oleja) | 1,3 | 1,3 | | bionafta z odpadového kuchynského oleja | 1,3 | 1,3 | | bionafta zo škvareného živočíšneho tuku (**) | 1,3 | 1,3 | | hydrogenačne rafinovaný rastlinný olej z repky olejnej | 1,2 | 1,2 | | hydrogenačne rafinovaný rastlinný olej zo slnečnice | 1,2 | 1,2 | | hydrogenačne rafinovaný rastlinný olej zo sóje | 1,2 | 1,2 | | hydrogenačne rafinovaný rastlinný olej z palmového oleja (nádrž odpadových vôd s voľným výtokom) | 1,2 | 1,2 | | hydrogenačne rafinovaný rastlinný olej z palmového oleja (proces so zachytávaním metánu v továrni na spracovanie oleja) | 1,2 | 1,2 | | hydrogenačne rafinovaný olej z odpadového kuchynského oleja | 1,2 | 1,2 | | hydrogenačne rafinovaný olej zo škvareného živočíšneho tuku (**) | 1,2 | 1,2 | | čistý rastlinný olej z repky olejnej | 0,8 | 0,8 | | čistý rastlinný olej zo slnečnice | 0,8 | 0,8 | | čistý rastlinný olej zo sóje | 0,8 | 0,8 | | čistý rastlinný olej z palmového oleja (nádrž odpadových vôd s voľným výtokom) | 0,8 | 0,8 | | čistý rastlinný olej z palmového oleja (proces so zachytávaním metánu v továrni na spracovanie oleja) | 0,8 | 0,8 | | čistý olej z odpadového kuchynského oleja | 0,8 | 0,8 |
|
| (*) Určené hodnoty pre procesy využívajúce zariadenia na kombinovanú výrobu elektriny a tepla platia len vtedy, ak je všetko procesné teplo dodané zariadením na kombinovanú výrobu elektriny a tepla. |
| (**) Vzťahuje sa len na biopalivá vyrábané zo živočíšnych vedľajších produktov klasifikovaných ako materiál kategórie 1 a 2 podľa osobitného predpisu,7j) pri ktorých sa emisie súvisiace s hygienizáciou v rámci škvarenia neberú do úvahy. |
| Spolu pre pestovanie, spracovanie, dopravu a distribúciu |
| | Reťazec výroby biopalív a biokvapalín | Emisie skleníkových plynov – typická hodnota [g CO2ekv/MJ] | Emisie skleníkových plynov – určená hodnota [g CO2ekv/MJ] | | etanol z cukrovej repy (bez bioplynu získaného z kalu, zemný plyn ako palivo na spracovanie v bežnom kotle) | 30,7 | 38,2 | | etanol z cukrovej repy (s bioplynom získaným z kalu, zemný plyn ako palivo na spracovanie v bežnom kotle) | 21,6 | 25,5 | | etanol z cukrovej repy (bez bioplynu získaného z kalu, zemný plyn ako palivo na spracovanie v zariadení na kombinovanú výrobu elektriny a tepla (*)) | 25,1 | 30,4 | | etanol z cukrovej repy (s bioplynom získaným z kalu, zemný plyn ako palivo na spracovanie v zariadení na kombinovanú výrobu elektriny a tepla (*)) | 19,5 | 22,5 | | etanol z cukrovej repy (bez bioplynu získaného z kalu, hnedé uhlie ako palivo na spracovanie v zariadení na kombinovanú výrobu elektriny a tepla (*)) | 39,3 | 50,2 | | etanol z cukrovej repy (s bioplynom získaným z kalu, hnedé uhlie ako palivo na spracovanie v zariadení na kombinovanú výrobu elektriny a tepla (*)) | 27,6 | 33,9 | | etanol z kukurice (zemný plyn ako palivo na spracovanie v bežnom kotle) | 48,5 | 56,8 | | etanol z kukurice (zemný plyn ako palivo na spracovanie v zariadení na kombinovanú výrobu elektriny a tepla (*)) | 42,5 | 48,5 | | etanol z kukurice (hnedé uhlie ako palivo na spracovanie v zariadení na kombinovanú výrobu elektriny a tepla (*)) | 56,3 | 67,8 | | etanol z kukurice (lesné zvyšky ako palivo na spracovanie v zariadení na kombinovanú výrobu elektriny a tepla (*)) | 29,5 | 30,3 | | etanol z iných obilnín okrem kukurice (zemný plyn ako palivo na spracovanie v bežnom kotle) | 50,2 | 58,5 | | etanol z iných obilnín okrem kukurice (zemný plyn ako palivo na spracovanie v zariadení na kombinovanú výrobu elektriny a tepla (*)) | 44,3 | 50,3 | | etanol z iných obilnín okrem kukurice (hnedé uhlie ako palivo na spracovanie v zariadení na kombinovanú výrobu elektriny a tepla (*)) | 59,5 | 71,7 | | etanol z iných obilnín okrem kukurice (lesné zvyšky ako palivo na spracovanie v zariadení na kombinovanú výrobu elektriny a tepla (*)) | 30,7 | 31,4 | | etanol z cukrovej trstiny | 28,1 | 28,6 | | časť, ktorá sa vyrába z obnoviteľných zdrojov ETBE | Rovnaké ako pri používanom reťazci výroby etanolu | | časť, ktorá sa vyrába z obnoviteľných zdrojov TAEE | Rovnaké ako pri používanom reťazci výroby etanolu | | bionafta z repky olejnej | 45,5 | 50,1 | | bionafta zo slnečnice | 40,0 | 44,7 | | bionafta zo sóje | 42,2 | 47,0 | | bionafta z palmového oleja (nádrž odpadových vôd s voľným výtokom) | 63,3 | 75,5 | | bionafta z palmového oleja (proces so zachytávaním metánu v továrni na spracovanie oleja) | 46,1 | 51,4 | | bionafta z odpadového kuchynského oleja | 11,2 | 14,9 | | bionafta zo škvarených živočíšnych tukov (**) | 15,2 | 20,7 | | hydrogenačne rafinovaný rastlinný olej z repky olejnej | 45,8 | 50,1 | | hydrogenačne rafinovaný rastlinný olej zo slnečnice | 39,4 | 43,6 | | hydrogenačne rafinovaný rastlinný olej zo sóje | 42,2 | 46,5 | | hydrogenačne rafinovaný rastlinný olej z palmového oleja (nádrž odpadových vôd s voľným výtokom) | 62,1 | 73,2 | | hydrogenačne rafinovaný rastlinný olej z palmového oleja (proces so zachytávaním metánu v továrni na spracovanie oleja) | 44,0 | 47,9 | | hydrogenačne rafinovaný olej z odpadového kuchynského oleja | 11,9 | 16,0 | | hydrogenačne rafinovaný olej zo škvareného živočíšneho tuku (**) | 16,0 | 21,8 | | čistý rastlinný olej z repky olejnej | 38,5 | 40,0 | | čistý rastlinný olej zo slnečnice | 32,7 | 34,3 | | čistý rastlinný olej zo sóje | 35,2 | 36,9 | | čistý rastlinný olej z palmového oleja (nádrž odpadových vôd s voľným výtokom) | 56,4 | 65,5 | | čistý rastlinný olej z palmového oleja (proces so zachytávaním metánu v továrni na spracovanie oleja) | 38,5 | 40,3 | | čistý olej z odpadového kuchynského oleja | 2,0 | 2,2 |
|
| (*) Určené hodnoty pre procesy využívajúce zariadenia na kombinovanú výrobu elektriny a tepla platia len vtedy, ak je všetko procesné teplo dodané zariadením na kombinovanú výrobu elektriny a tepla. |
| (**) Vzťahuje sa len na biopalivá vyrábané zo živočíšnych vedľajších produktov klasifikovaných ako materiál kategórie 1 a 2 podľa osobitného predpisu,7j) pri ktorých sa emisie súvisiace s hygienizáciou v rámci škvarenia neberú do úvahy. |
| E. ROZTRIEDENIE ODHADOVANÝCH URČENÝCH HODNÔT PRE BIOPALIVÁ A BIOKVAPALINY, KTORÉ SA V ROKU 2016 NENACHÁDZALI NA TRHU ALEBO SA NACHÁDZALI NA TRHU LEN V ZANEDBATEĽNÝCH MNOŽSTVÁCH |
| Roztriedenie určených hodnôt pre pestovanie: „eec“ podľa vymedzenia v časti C vrátane emisií N2O (vrátane štiepkovania drevného odpadu alebo drevín pestovaných na tento účel) |
| | Reťazec výroby biopalív a biokvapalín | Emisie skleníkových plynov – typická hodnota [g CO2ekv/MJ] | Emisie skleníkových plynov – určená hodnota [g CO2ekv/MJ] | | etanol z pšeničnej slamy | 1,8 | 1,8 | | nafta z drevného odpadu vyrobená technológiou Fischer-Tropsch v samostatnom zariadení | 3,3 | 3,3 | | nafta z drevín pestovaných na tento účel vyrobená technológiou Fischer-Tropsch v samostatnom zariadení | 8,2 | 8,2 | | benzín z drevného odpadu vyrobený technológiou Fischer-Tropsch v samostatnom zariadení | 3,3 | 3,3 | | benzín z drevín pestovaných na tento účel vyrobený technológiou Fischer-Tropsch v samostatnom zariadení | 8,2 | 8,2 | | dimetyléter (DME) z drevného odpadu v samostatnom zariadení | 3,1 | 3,1 | | dimetyléter (DME) z drevín pestovaných na tento účel v samostatnom zariadení | 7,6 | 7,6 | | metanol z drevného odpadu v samostatnom zariadení | 3,1 | 3,1 | | metanol z drevín pestovaných na tento účel v samostatnom zariadení | 7,6 | 7,6 | | nafta vyrobená technológiou Fischer-Tropsch splyňovaním čierneho výluhu integrovaným s výrobou celulózy | 2,5 | 2,5 | | benzín vyrobený technológiou Fischer-Tropsch splyňovaním čierneho výluhu integrovaným s výrobou celulózy | 2,5 | 2,5 | | dimetyléter (DME) vyrobený splyňovaním čierneho výluhu integrovaným s výrobou celulózy | 2,5 | 2,5 | | metanol vyrobený splyňovaním čierneho výluhu integrovaným s výrobou celulózy | 2,5 | 2,5 | | časť, ktorá sa vyrába z obnoviteľných zdrojov MTBE | Rovnaké ako pri používanom reťazci výroby metanolu |
|
| Roztriedenie určených hodnôt pre pôdne emisie N2O (zahrnuté do roztriedených určených hodnôt pre emisie z pestovania v tabuľke „eec“) |
| | Reťazec výroby biopalív a biokvapalín | Emisie skleníkových plynov – typická hodnota [g CO2ekv/MJ] | Emisie skleníkových plynov – typická hodnota [g CO2ekv/MJ] | | etanol z pšeničnej slamy | 0 | 0 | | nafta z drevného odpadu vyrobená technológiou Fischer-Tropsch v samostatnom zariadení | 0 | 0 | | nafta z drevín pestovaných na tento účel vyrobená technológiou Fischer-Tropsch v samostatnom zariadení | 4,4 | 4,4 | | benzín z drevného odpadu vyrobený technológiou Fischer-Tropsch v samostatnom zariadení | 0 | 0 | | benzín z drevín pestovaných na tento účel vyrobený technológiou Fischer-Tropsch v samostatnom zariadení | 4,4 | 4,4 | | dimetyléter (DME) z drevného odpadu v samostatnom zariadení | 0 | 0 | | dimetyléter (DME) z drevín pestovaných na tento účel v samostatnom zariadení | 4,1 | 4,1 | | metanol z drevného odpadu v samostatnom zariadení | 0 | 0 | | metanol z drevín pestovaných na tento účel v samostatnom zariadení | 4,1 | 4,1 | | nafta vyrobená technológiou Fischer-Tropsch splyňovaním čierneho výluhu integrovaným s výrobou celulózy | 0 | 0 | | benzín vyrobený technológiou Fischer-Tropsch splyňovaním čierneho výluhu integrovaným s výrobou celulózy | 0 | 0 | | dimetyléter (DME) vyrobený splyňovaním čierneho výluhu integrovaným s výrobou celulózy | 0 | 0 | | metanol vyrobený splyňovaním čierneho výluhu integrovaným s výrobou celulózy | 0 | 0 | | časť, ktorá sa vyrába z obnoviteľných zdrojov MTBE | Rovnaké ako pri používanom reťazci výroby metanolu |
|
| Roztriedenie určených hodnôt pre spracovanie: „ep“ podľa vymedzenia v časti C |
| | Reťazec výroby biopalív a biokvapalín | Emisie skleníkových plynov – typická hodnota [g CO2ekv/MJ] | Emisie skleníkových plynov – určená hodnota [g CO2ekv/MJ] | | etanol z pšeničnej slamy | 4,8 | 6,8 | | nafta z drevného odpadu vyrobená technológiou Fischer-Tropsch v samostatnom zariadení | 0,1 | 0,1 | | nafta z drevín pestovaných na tento účel vyrobená technológiou Fischer-Tropsch v samostatnom zariadení | 0,1 | 0,1 | | benzín z drevného odpadu vyrobený technológiou Fischer-Tropsch v samostatnom zariadení | 0,1 | 0,1 | | benzín z drevín pestovaných na tento účel vyrobený technológiou Fischer-Tropsch v samostatnom zariadení | 0,1 | 0,1 | | dimetyléter (DME) z drevného odpadu v samostatnom zariadení | 0 | 0 | | dimetyléter (DME) z drevín pestovaných na tento účel v samostatnom zariadení | 0 | 0 | | metanol z drevného odpadu v samostatnom zariadení | 0 | 0 | | metanol z drevín pestovaných na tento účel v samostatnom zariadení | 0 | 0 | | nafta vyrobená technológiou Fischer-Tropsch splyňovaním čierneho výluhu integrovaným s výrobou celulózy | 0 | 0 | | benzín vyrobený technológiou Fischer-Tropsch splyňovaním čierneho výluhu integrovaným s výrobou celulózy | 0 | 0 | | dimetyléter (DME) vyrobený splyňovaním čierneho výluhu integrovaným s výrobou celulózy | 0 | 0 | | metanol vyrobený splyňovaním čierneho výluhu integrovaným s výrobou celulózy | 0 | 0 | | časť, ktorá sa vyrába z obnoviteľných zdrojov MTBE | Rovnaké ako pri používanom reťazci výroby metanolu |
|
| Roztriedenie určených hodnôt pre dopravu a distribúciu: „etd“ podľa vymedzenia v časti C |
| | Reťazec výroby biopalív a biokvapalín | Emisie skleníkových plynov – typická hodnota [g CO2ekv/MJ] | Emisie skleníkových plynov – určená hodnota [g CO2ekv/MJ] | | etanol z pšeničnej slamy | 7,1 | 7,1 | | nafta z drevného odpadu vyrobená technológiou Fischer-Tropsch v samostatnom zariadení | 12,2 | 12,2 | | nafta z drevín pestovaných na tento účel vyrobená technológiou Fischer-Tropsch v samostatnom zariadení | 8,4 | 8,4 | | benzín z drevného odpadu vyrobený technológiou Fischer-Tropsch v samostatnom zariadení | 12,2 | 12,2 | | benzín z drevín pestovaných na tento účel vyrobený technológiou Fischer-Tropsch v samostatnom zariadení | 8,4 | 8,4 | | dimetyléter (DME) z drevného odpadu v samostatnom zariadení | 12,1 | 12,1 | | dimetyléter (DME) z drevín pestovaných na tento účel v samostatnom zariadení | 8,6 | 8,6 | | metanol z drevného odpadu v samostatnom zariadení | 12,1 | 12,1 | | metanol z drevín pestovaných na tento účel v samostatnom zariadení | 8,6 | 8,6 | | nafta vyrobená technológiou Fischer-Tropsch splyňovaním čierneho výluhu integrovaným s výrobou celulózy | 7,7 | 7,7 | | benzín vyrobený technológiou Fischer-Tropsch splyňovaním čierneho výluhu integrovaným s výrobou celulózy | 7,9 | 7,9 | | dimetyléter (DME) vyrobený splyňovaním čierneho výluhu integrovaným s výrobou celulózy | 7,7 | 7,7 | | metanol vyrobený splyňovaním čierneho výluhu integrovaným s výrobou celulózy | 7,9 | 7,9 | | časť, ktorá sa vyrába z obnoviteľných zdrojov MTBE | Rovnaké ako pri používanom reťazci výroby metanolu |
|
| Roztriedenie určených hodnôt pre dopravu a distribúciu len koncového paliva. (Sú už zahrnuté v tabuľke „Emisie z prepravy a distribúcie etd“ podľa vymedzenia v časti C, nasledujúce hodnoty sú však užitočné, ak má hospodársky subjekt v úmysle vykázať len skutočné emisie pochádzajúce z prepravy surovín) |
| | Reťazec výroby biopalív a biokvapalín | Emisie skleníkových plynov – typická hodnota [g CO2ekv/MJ] | Emisie skleníkových plynov – určená hodnota [g CO2ekv/MJ] | | etanol z pšeničnej slamy | 1,6 | 1,6 | | nafta z drevného odpadu vyrobená technológiou Fischer-Tropsch v samostatnom zariadení | 1,2 | 1,2 | | nafta z drevín pestovaných na tento účel vyrobená technológiou Fischer-Tropsch v samostatnom zariadení | 1,2 | 1,2 | | benzín z drevného odpadu vyrobený technológiou Fischer-Tropsch v samostatnom zariadení | 1,2 | 1,2 | | benzín z drevín pestovaných na tento účel vyrobený technológiou Fischer-Tropsch v samostatnom zariadení | 1,2 | 1,2 | | dimetyléter (DME) z drevného odpadu v samostatnom zariadení | 2,0 | 2,0 | | dimetyléter (DME) z drevín pestovaných na tento účel v samostatnom zariadení | 2,0 | 2,0 | | metanol z drevného odpadu v samostatnom zariadení | 2,0 | 2,0 | | metanol z drevín pestovaných na tento účel v samostatnom zariadení | 2,0 | 2,0 | | nafta vyrobená technológiou Fischer-Tropsch splyňovaním čierneho výluhu integrovaným s výrobou celulózy | 2,0 | 2,0 | | benzín vyrobený technológiou Fischer-Tropsch splyňovaním čierneho výluhu integrovaným s výrobou celulózy | 2,0 | 2,0 | | dimetyléter (DME) vyrobený splyňovaním čierneho výluhu integrovaným s výrobou celulózy | 2,0 | 2,0 | | metanol vyrobený splyňovaním čierneho výluhu integrovaným s výrobou celulózy | 2,0 | 2,0 | | časť, ktorá sa vyrába z obnoviteľných zdrojov MTBE | Rovnaké ako pri používanom reťazci výroby metanolu |
|
| Spolu pre pestovanie, spracovanie, dopravu a distribúciu |
| | Reťazec výroby biopalív a biokvapalín | Emisie skleníkových plynov – typická hodnota [g CO2ekv/MJ] | Emisie skleníkových plynov – určená hodnota [g CO2ekv/MJ] | | etanol z pšeničnej slamy | 13,7 | 15,7 | | nafta z drevného odpadu vyrobená technológiou Fischer-Tropsch v samostatnom zariadení | 15,6 | 15,6 | | nafta z drevín pestovaných na tento účel vyrobená technológiou Fischer-Tropsch v samostatnom zariadení | 16,7 | 16,7 | | benzín z drevného odpadu vyrobený technológiou Fischer-Tropsch v samostatnom zariadení | 15,6 | 15,6 | | benzín z drevín pestovaných na tento účel vyrobený technológiou Fischer-Tropsch v samostatnom zariadení | 16,7 | 16,7 | | dimetyléter (DME) z drevného odpadu v samostatnom zariadení | 15,2 | 15,2 | | dimetyléter (DME) z drevín pestovaných na tento účel v samostatnom zariadení | 16,2 | 16,2 | | metanol z drevného odpadu v samostatnom zariadení | 15,2 | 15,2 | | metanol z drevín pestovaných na tento účel v samostatnom zariadení | 16,2 | 16,2 | | nafta vyrobená technológiou Fischer-Tropsch splyňovaním čierneho výluhu integrovaným s výrobou celulózy | 10,2 | 10,2 | | benzín vyrobený technológiou Fischer-Tropsch splyňovaním čierneho výluhu integrovaným s výrobou celulózy | 10,4 | 10,4 | | dimetyléter (DME) vyrobený splyňovaním čierneho výluhu integrovaným s výrobou celulózy | 10,2 | 10,2 | | metanol vyrobený splyňovaním čierneho výluhu integrovaným s výrobou celulózy | 10,4 | 10,4 | | časť, ktorá sa vyrába z obnoviteľných zdrojov MTBE | Rovnaké ako pri používanom reťazci výroby metanolu |
|
| “. |
| Poznámky pod čiarou k odkazom 7j až 7l znejú: |
| 7j) Nariadenie Európskeho parlamentu a Rady (ES) č. 1069/2009 z 21. októbra 2009, ktorým sa ustanovujú zdravotné predpisy týkajúce sa vedľajších živočíšnych produktov a odvodených produktov neurčených na ľudskú spotrebu a ktorým sa zrušuje nariadenie (ES) č. 1774/2002 (nariadenie o vedľajších živočíšnych produktoch (Ú. v. EÚ L 300, 14. 11. 2009). |
| 7k) Rozhodnutie Komisie 2010/335/EÚ z 10. júna 2010 o usmerneniach na výpočet zásob uhlíka v pôde na účely prílohy V k smernici 2009/28/ES (Ú. v. EÚ L 151, 17. 6. 2010). |
| 7l) Zákon č. 258/2011 Z. z. o trvalom ukladaní oxidu uhličitého do geologického prostredia a o zmene a doplnení niektorých zákonov v znení neskorších predpisov.“. |
| 27. Príloha č. 3 sa dopĺňa šiestym bodom, ktorý znie: |
| „6. Smernica Európskeho parlamentu a Rady (EÚ) 2018/2001 z 11. decembra 2018 o podpore využívania energie z obnoviteľných zdrojov (prepracované znenie) (Ú. v. EÚ L 328, 21. 12. 2018).“. |
| 28. Príloha č. 5 vrátane nadpisu znie: |
| „Príloha č. 5
k vyhláške č. 271/2011 Z. z. |
| ČASŤ A. |
| PREDBEŽNÉ ODHADOVANÉ EMISIE ZO SUROVÍN NA VÝROBU BIOPALIVA, BIOKVAPALINY A PALIVA Z BIOMASY VYPLÝVAJÚCE Z NEPRIAMEJ ZMENY VYUŽÍVANIA PÔDY [g CO2ekv/MJ]*) |
| | Skupina surovín | Stredná hodnota**) | Percentilový rozsah odvodený od analýzy citlivosti***) | | obilniny a iné plodiny bohaté na škrob | 12 | 8 až 16 | | cukornaté plodiny | 13 | 4 až 17 | | olejniny | 55 | 33 až 66 |
|
| *) Stredné hodnoty, ktoré sa tu uvádzajú, predstavujú vážený priemer individuálne modelovaných hodnôt surovín. Rozsah hodnôt v tejto prílohe závisí od viacerých predpokladov (ako je napríklad zaobchádzanie s vedľajšími produktmi, vývoj v oblasti výnosov, zásoby uhlíka a premiestenie iných komodít), ktoré sa využívajú v ekonomických modeloch vyvinutých na účely tohto odhadu. Nakoľko mieru nespoľahlivosti týchto odhadov nie je možné úplne vystihnúť, uskutočnila sa analýza citlivosti na základe výsledkov vychádzajúcich z náhodnej premenlivosti kľúčových parametrov, tzv. analýza metódy Monte Carlo. |
| **) Stredné hodnoty, ktoré sú tu zahrnuté, predstavujú vážený priemer individuálne modelovaných hodnôt surovín. |
| ***) Rozsah, ktorý je tu zahrnutý, zahŕňa 90 % výsledkov pri použití hodnôt piateho a deväťdesiateho piateho percentilu vyplývajúcich z analýzy. Piaty percentil znamená hodnotu, pod ktorou sa nachádzalo 5 % pozorovaní (konkrétne 5 % celkových použitých údajov malo výsledky pod 8, 4 a 33 g CO2ekv/MJ). Deväťdesiaty piaty percentil znamená hodnotu, pod ktorou sa nachádzalo 95 % pozorovaní (konkrétne 5 % celkových použitých údajov malo výsledky nad 16, 17 a 66 g CO2ekv/MJ). |
| ČASŤ B. |
| BIOPALIVÁ, BIOKVAPALINY A PALIVÁ Z BIOMASY, PRI KTORÝCH SA ODHADOVANÉ EMISIE VYPLÝVAJÚCE Z NEPRIAMEJ ZMENY VYUŽÍVANIA PÔDY POVAŽUJÚ ZA NULOVÉ |
| Pri biopalivách, biokvapalinách a palivách z biomasy vyrábaných z týchto kategórií surovín sa odhadované emisie vyplývajúce z nepriamej zmeny využívania pôdy považujú za nulové |
| 1. suroviny, ktoré nie sú uvedené v časti A, |
| 2. suroviny, ktorých výroba vedie k priamej zmene využívania pôdy, čo je zmena jednej z týchto kategórií pôdneho krytu podľa IPCC: lesná pôda, trávny porast, mokrade, sídla alebo iná pôda na ornú pôdu alebo pôdu, na ktorej sa pestujú trvalé plodiny. Trvalé plodiny sa vymedzujú ako viacročné plodiny, ktorých stonky sa spravidla nezberajú každý rok, ako napríklad rýchlo rastúce dreviny a palma olejná. Vtedy sa hodnota emisií el, vyplývajúcich z priamej zmeny využívania pôdy, vypočíta podľa prílohy č. 2 časti C siedmeho bodu.“. |
| 29. Dopĺňajú sa prílohy č. 6 a 7, ktoré vrátane nadpisov znejú: |
| |
| „Príloha č. 6 k vyhláške č. 271/2011 Z. z. |
| | Pravidlá výpočtu vplyvu palív z biomasy a porovnateľných fosílnych palív na množstvo skleníkových plynov | | A. Typické a určené hodnoty úspor emisií skleníkových plynov týkajúce sa palív z biomasy, ak pri ich výrobe nevznikajú žiadne čisté emisie uhlíka spôsobené zmenou využívania pôdy | | DREVENÉ TRIESKY | | Systém výroby paliva z biomasy | Prepravná vzdialenosť [km] | Úspory emisií skleníkových plynov – typická hodnota | Úspory emisií skleníkových plynov – určená hodnota | | Teplo [%] | Elektrina [%] | Teplo [%] | Elektrina [%] | | drevené triesky z lesných zvyškov | 1 < x ≤ 500 | 93 | 89 | 91 | 87 | | 500 < x ≤ 2 500 | 89 | 84 | 87 | 81 | | 2 500 < x ≤ 10 000 | 82 | 73 | 78 | 67 | | 10 000 < x | 67 | 51 | 60 | 41 | | drevené triesky z výmladkovej plantáže rýchlo rastúcich drevín (eukalyptus) | 2 500 < x ≤ 10 000 | 77 | 65 | 73 | 60 | | drevené triesky z výmladkovej plantáže rýchlo rastúcich drevín (topoľ – s hnojením) | 1 < x ≤ 500 | 89 | 83 | 87 | 81 | | 500 < x ≤ 2 500 | 85 | 78 | 84 | 76 | | 2 500 < x ≤ 10 000 | 78 | 67 | 74 | 62 | | 10 000 < x | 63 | 45 | 57 | 35 | | drevené triesky z výmladkovej plantáže rýchlo rastúcich drevín (topoľ – bez hnojenia) | 1 < x ≤ 500 | 91 | 87 | 90 | 85 | | 500 < x ≤ 2 500 | 88 | 82 | 86 | 79 | | 2 500 < x ≤ 10 000 | 80 | 70 | 77 | 65 | | 10 000 < x | 65 | 48 | 59 | 39 | | drevené triesky z kmeňového dreva | 1 < x ≤ 500 | 93 | 89 | 92 | 88 | | 500 < x ≤ 2 500 | 90 | 85 | 88 | 82 | | 2 500 < x ≤ 10 000 | 82 | 73 | 79 | 68 | | 10 000 < x | 67 | 51 | 61 | 42 | | drevené triesky z priemyselných zvyškov | 1 < x ≤ 500 | 94 | 92 | 93 | 90 | | 500 < x ≤ 2 500 | 91 | 87 | 90 | 85 | | 2 500 < x ≤ 10 000 | 83 | 75 | 80 | 71 | | 10 000 < x | 69 | 54 | 63 | 44 |
|
| | DREVENÉ PELETY (*) | | Systém výroby paliva z biomasy | Prepravná vzdialenosť [km] | Úspory emisií skleníkových plynov – typická hodnota | Úspory emisií skleníkových plynov – určená hodnota | | Teplo [%] | Elektrina [%] | Teplo [%] | Elektrina [%] | | drevené brikety alebo pelety z lesných zvyškov | situácia 1 | 1 < x ≤ 500 | 58 | 37 | 49 | 24 | | 500 < x ≤ 2 500 | 58 | 37 | 49 | 25 | | 2 500 < x ≤ 10 000 | 55 | 34 | 47 | 21 | | 10 000 < x | 50 | 26 | 40 | 11 | | situácia 2a | 1 < x ≤ 500 | 77 | 66 | 72 | 59 | | 500 < x ≤ 2 500 | 77 | 66 | 72 | 59 | | 2 500 < x ≤ 10 000 | 75 | 62 | 70 | 55 | | 10 000 < x | 69 | 54 | 63 | 45 | | situácia 3a | 1 < x ≤ 500 | 92 | 88 | 90 | 85 | | 500 < x ≤ 2 500 | 92 | 88 | 90 | 86 | | 2 500 < x ≤ 10 000 | 90 | 85 | 88 | 81 | | 10 000 < x | 84 | 76 | 81 | 72 | | drevené brikety alebo pelety z výmladkovej plantáže rýchlo rastúcich drevín (eukalyptus) | situácia 1 | 2 500 < x ≤ 10 000 | 52 | 28 | 43 | 15 | | situácia 2a | 2 500 < x ≤ 10 000 | 70 | 56 | 66 | 49 | | situácia 3a | 2 500 < x ≤ 10 000 | 85 | 78 | 83 | 75 | | drevené brikety alebo pelety z výmladkovej plantáže rýchlo rastúcich drevín (topoľ – s hnojením) | situácia 1 | 1 < x ≤ 500 | 54 | 32 | 46 | 20 | | 500 < x ≤ 10 000 | 52 | 29 | 44 | 16 | | 10 000 < x | 47 | 21 | 37 | 7 | | situácia 2a | 1 < x ≤ 500 | 73 | 60 | 69 | 54 | | 500 < x ≤ 10 000 | 71 | 57 | 67 | 50 | | 10 000 < x | 66 | 49 | 60 | 41 | | situácia 3a | 1 < x ≤ 500 | 88 | 82 | 87 | 81 | | 500 < x ≤ 10 000 | 86 | 79 | 84 | 77 | | 10 000 < x | 80 | 71 | 78 | 67 | | drevené brikety alebo pelety z výmladkovej plantáže rýchlo rastúcich drevín (topoľ – bez hnojenia) | situácia 1 | 1 < x ≤ 500 | 56 | 35 | 48 | 23 | | 500 < x ≤ 10 000 | 54 | 32 | 46 | 20 | | 10 000 < x | 49 | 24 | 40 | 10 | | situácia 2a | 1 < x ≤ 500 | 76 | 64 | 72 | 58 | | 500 < x ≤ 10 000 | 74 | 61 | 69 | 54 | | 10 000 < x | 68 | 53 | 63 | 45 | | situácia 3a | 1 < x ≤ 500 | 91 | 86 | 90 | 85 | | 500 < x ≤ 10 000 | 89 | 83 | 87 | 81 | | 10 000 < x | 83 | 75 | 81 | 71 | | kmeňové drevo | situácia 1 | 1 < x ≤ 500 | 57 | 37 | 49 | 24 | | 500 < x ≤ 2 500 | 58 | 37 | 49 | 25 | | 2 500 < x ≤ 10 000 | 55 | 34 | 47 | 21 | | 10 000 < x | 50 | 26 | 40 | 11 | | situácia 2a | 1 < x ≤ 500 | 77 | 66 | 73 | 60 | | 500 < x ≤ 2 500 | 77 | 66 | 73 | 60 | | 2 500 < x ≤ 10 000 | 75 | 63 | 70 | 56 | | 10 000 < x | 70 | 55 | 64 | 46 | | situácia 3a | 1 < x ≤ 500 | 92 | 88 | 91 | 86 | | 500 < x ≤ 2 500 | 92 | 88 | 91 | 87 | | 2 500 < x ≤ 10 000 | 90 | 85 | 88 | 83 | | 10 000 < x | 84 | 77 | 82 | 73 | | drevené brikety alebo pelety zo zvyškov z drevospracujúceho priemyslu | situácia 1 | 1 < x ≤ 500 | 75 | 62 | 69 | 55 | | 500 < x ≤ 2 500 | 75 | 62 | 70 | 55 | | 2 500 < x ≤ 10 000 | 72 | 59 | 67 | 51 | | 10 000 < x | 67 | 51 | 61 | 42 | | situácia 2a | 1 < x ≤ 500 | 87 | 80 | 84 | 76 | | 500 < x ≤ 2 500 | 87 | 80 | 84 | 77 | | 2 500 < x ≤ 10 000 | 85 | 77 | 82 | 73 | | 10 000 < x | 79 | 69 | 75 | 63 | | situácia 3a | 1 < x ≤ 500 | 95 | 93 | 94 | 91 | | 500 < x ≤ 2 500 | 95 | 93 | 94 | 92 | | 2 500 < x ≤ 10 000 | 93 | 90 | 92 | 88 | | 10 000 < x | 88 | 82 | 85 | 78 |
|
| (*) Situácia 1 sa týka procesov, v ktorých sa na dodávky procesného tepla do zariadenia na výrobu peliet používa kotol na zemný plyn. Elektrina do zariadenia na výrobu peliet sa dodáva zo siete. |
| Situácia 2a sa týka procesov, v ktorých sa na dodávky procesného tepla používa kotol na drevené triesky zásobovaný predsušenými trieskami. Elektrina do zariadenia na výrobu peliet sa dodáva zo siete. |
| Situácia 3a sa týka procesov, v ktorých sa na dodávky elektriny a tepla do zariadenia na výrobu peliet používa kombinovaná výroba elektriny a tepla zásobovaná predsušenými drevenými trieskami. |
| | POĽNOHOSPODÁRSKE REŤAZCE VÝROBY | | Systém výroby paliva z biomasy | Prepravná vzdialenosť [km] | Úspory emisií skleníkových plynov – typická hodnota | Úspory emisií skleníkových plynov – určená hodnota | | Teplo [%] | Elektrina [%] | Teplo [%] | Elektrina [%] | | poľnohospodárske zvyšky s hustotou < 0,2 t/m3 (*) | 1 < x ≤ 500 | 95 | 92 | 93 | 90 | | 500 < x ≤ 2 500 | 89 | 83 | 86 | 80 | | 2 500 < x ≤ 10 000 | 77 | 66 | 73 | 60 | | 10 000 < x | 57 | 36 | 48 | 23 | | poľnohospodárske zvyšky s hustotou > 0,2 t/m3 (**) | 1 < x ≤ 500 | 95 | 92 | 93 | 90 | | 500 < x ≤ 2 500 | 93 | 89 | 92 | 87 | | 2 500 < x ≤ 10 000 | 88 | 82 | 85 | 78 | | 10 000 < x | 78 | 68 | 74 | 61 | | slamové pelety | 1 < x ≤ 500 | 88 | 82 | 85 | 78 | | 500 < x ≤ 10 000 | 86 | 79 | 83 | 74 | | 10 000 < x | 80 | 70 | 76 | 64 | | brikety z bagasy | 500 < x ≤ 10 000 | 93 | 89 | 91 | 87 | | 10 000 < x | 87 | 81 | 85 | 77 | | palmojadrový extrahovaný šrot | 10 000 < x | 20 | -18 | 11 | -33 | | palmojadrový extrahovaný šrot (žiadne emisie CH4 z továrne na spracovanie oleja) | 10 000 < x | 46 | 20 | 42 | 14 |
|
| (*) Táto skupina materiálov zahŕňa poľnohospodárske zvyšky s nízkou objemovou hmotnosťou a obsahuje materiály, ako napríklad balíky slamy, ovsené šupky, ryžové plevy a bagasové balíky z cukrovej trstiny (neúplný zoznam). |
| (**) Táto skupina poľnohospodárskych zvyškov s vyššou objemovou hmotnosťou zahŕňa materiály, ako napríklad kukuričné klasy, škrupiny orechov, šupky sójových bôbov, škrupiny palmových jadier (neúplný zoznam). |
| | BIOPLYN NA ELEKTRINU (*) | | Systém výroby bioplynu | Technologická možnosť | Úspory emisií skleníkových plynov – typická hodnota [%] | Úspory emisií skleníkových plynov – určená hodnota [%] | | vlhký hnoj(1) | situácia 1 | otvorený digestát(2) | 146 | 94 | | uzavretý digestát(3) | 246 | 240 | | situácia 2 | otvorený digestát | 136 | 85 | | uzavretý digestát | 227 | 219 | | situácia 3 | otvorený digestát | 142 | 86 | | uzavretý digestát | 243 | 235 | | celá rastlina kukurice(4) | situácia 1 | otvorený digestát | 36 | 21 | | uzavretý digestát | 59 | 53 | | situácia 2 | otvorený digestát | 34 | 18 | | uzavretý digestát | 55 | 47 | | situácia 3 | otvorený digestát | 28 | 10 | | uzavretý digestát | 52 | 43 | | biologický odpad | situácia 1 | otvorený digestát | 47 | 26 | | uzavretý digestát | 84 | 78 | | situácia 2 | otvorený digestát | 43 | 21 | | uzavretý digestát | 77 | 68 | | situácia 3 | otvorený digestát | 38 | 14 | | uzavretý digestát | 76 | 66 |
|
| (*) Situácia 1 sa týka výrobných reťazcov, v ktorých elektrinu a teplo potrebné v danom procese dodáva priamo motor zariadenia na kombinovanú výrobu elektriny a tepla. |
| Situácia 2 sa týka výrobných reťazcov, v ktorých sa elektrina potrebná v danom procese odoberá zo siete a procesné teplo dodáva priamo motor zariadenia na kombinovanú výrobu elektriny a tepla. V niektorých členských štátoch nemôžu hospodárske subjekty žiadať dotácie na hrubú výrobu, a pravdepodobnejšou konfiguráciou je teda situácia 1. |
| Situácia 3 sa týka výrobných reťazcov, v ktorých sa elektrina potrebná v danom procese odoberá zo siete a procesné teplo dodáva kotol na bioplyn. Táto situácia sa týka niektorých zariadení, pri ktorých nie je motor jednotky na kombinovanú výrobu elektriny a tepla na mieste a kde sa predáva bioplyn (avšak bez úpravy na biometán). |
| | BIOPLYN NA ELEKTRINU – ZMESI HNOJA A KUKURICE | | Systém výroby bioplynu [%] | Technologická možnosť | Úspory emisií skleníkových plynov – typická hodnota [%] | Úspory emisií skleníkových plynov – určená hodnota [%] | | hnoj – kukurica 80 – 20 | situácia 1 | otvorený digestát | 72 | 45 | | uzavretý digestát | 120 | 114 | | situácia 2 | otvorený digestát | 67 | 40 | | uzavretý digestát | 111 | 103 | | situácia 3 | otvorený digestát | 65 | 35 | | uzavretý digestát | 114 | 106 | | hnoj – kukurica 70 – 30 | situácia 1 | otvorený digestát | 60 | 37 | | uzavretý digestát | 100 | 94 | | situácia 2 | otvorený digestát | 57 | 32 | | uzavretý digestát | 93 | 85 | | situácia 3 | otvorený digestát | 53 | 27 | | uzavretý digestát | 94 | 85 | | hnoj – kukurica 60 – 40 | situácia 1 | otvorený digestát | 53 | 32 | | uzavretý digestát | 88 | 82 | | situácia 2 | otvorený digestát | 50 | 28 | | uzavretý digestát | 82 | 73 | | situácia 3 | otvorený digestát | 46 | 22 | | uzavretý digestát | 81 | 72 |
|
| Pozn.: Situácia 1, 2 a 3 je zhodná s predchádzajúcou tabuľkou „Bioplyn na elektrinu“. |
| | BIOMETÁN NA VYUŽITIE V DOPRAVE (*) | | Systém výroby biometánu | Technologické možnosti | Úspory emisií skleníkových plynov – typická hodnota [%] | Úspory emisií skleníkových plynov – určená hodnota [%] | | vlhký hnoj | otvorený digestát, bez spaľovania odpadových plynov | 117 | 72 | | otvorený digestát, so spaľovaním odpadových plynov | 133 | 94 | | uzavretý digestát, bez spaľovania odpadových plynov | 190 | 179 | | uzavretý digestát, so spaľovaním odpadových plynov | 206 | 202 | | celá rastlina kukurice | otvorený digestát, bez spaľovania odpadových plynov | 35 | 17 | | otvorený digestát, so spaľovaním odpadových plynov | 51 | 39 | | uzavretý digestát, bez spaľovania odpadových plynov | 52 | 41 | | uzavretý digestát, so spaľovaním odpadových plynov | 68 | 63 | | biologický odpad | otvorený digestát, bez spaľovania odpadových plynov | 43 | 20 | | otvorený digestát, so spaľovaním odpadových plynov | 59 | 42 | | uzavretý digestát, bez spaľovania odpadových plynov | 70 | 58 | | uzavretý digestát, so spaľovaním odpadových plynov | 86 | 80 |
|
| (*) Úspory emisií skleníkových plynov pri biometáne sa týkajú len stlačeného biometánu vo vzťahu k porovnateľnej hodnote pre fosílne palivá v doprave 94 g CO2ekv/MJ. |
| | BIOMETÁN – ZMESI HNOJA A KUKURICE (*) | | Systém výroby biometánu [%] | Technologické možnosti | Úspory emisií skleníkových plynov – typická hodnota [%] | Úspory emisií skleníkových plynov – určená hodnota [%] | | hnoj – kukurica 80 – 20 | otvorený digestát, bez spaľovania odpadových plynov(5) | 62 | 35 | | otvorený digestát, so spaľovaním odpadových plynov(6) | 78 | 57 | | uzavretý digestát, bez spaľovania odpadových plynov | 97 | 86 | | uzavretý digestát, so spaľovaním odpadových plynov | 113 | 108 | | hnoj – kukurica 70 – 30 | otvorený digestát, bez spaľovania odpadových plynov | 53 | 29 | | otvorený digestát, so spaľovaním odpadových plynov | 69 | 51 | | uzavretý digestát, bez spaľovania odpadových plynov | 83 | 71 | | uzavretý digestát, so spaľovaním odpadových plynov | 99 | 94 | | hnoj – kukurica 60 – 40 | otvorený digestát, bez spaľovania odpadových plynov | 48 | 25 | | otvorený digestát, so spaľovaním odpadových plynov | 64 | 48 | | uzavretý digestát, bez spaľovania odpadových plynov | 74 | 62 | | uzavretý digestát, so spaľovaním odpadových plynov | 90 | 84 |
|
| (*) Úspory emisií skleníkových plynov pri biometáne sa týkajú len stlačeného biometánu vo vzťahu k porovnateľnej hodnote pre fosílne palivá v doprave 94 g CO2ekv/MJ. |
| B. METODIKA |
| 1) Emisie skleníkových plynov z výroby a používania palív z biomasy sa vypočítavajú takto: |
| a) Emisie skleníkových plynov z výroby a používania palív z biomasy pred konverziou na elektrinu, vykurovanie a chladenie sa vypočítavajú takto: |
| E = eec + el + ep + etd + eu – esca – eccs – eccr, |
| kde |
| E sú celkové emisie z výroby paliva pred konverziou energie, |
| eec sú emisie z ťažby alebo pestovania surovín, |
| el sú ročné prepočítané emisie vyplývajúce zo zmien zásob uhlíka spôsobených zmenou využívania pôdy, |
| ep sú emisie zo spracovania, |
| etd sú emisie z dopravy a distribúcie, |
| eu sú emisie z používaných palív, |
| esca je úspora emisií z akumulácie uhlíka v pôde prostredníctvom zlepšeného poľnohospodárskeho riadenia, |
| eccs je úspora emisií pri zachytávaní a geologickom ukladaní CO2 a |
| eccr je úspora emisií pri zachytávaní a nahradzovaní CO2. |
| Emisie z výroby strojov a zariadení sa nezohľadňujú. |
| b) Pri spoločnej digescii rôznych substrátov v zariadení na výrobu bioplynu alebo biometánu sa typické a určené hodnoty emisií skleníkových plynov vypočítajú takto: |
| ,
|
| kde |
| E sú emisie skleníkových plynov na MJ bioplynu alebo biometánu vyrobené zo spoločnej digescie vymedzenej zmesi substrátov; |
| Sn je podiel suroviny n na energetickom obsahu a |
| En sú emisie v g CO2/MJ pre výrobný reťazec n uvedený v časti D(*). |
| ,
|
| kde |
| Pn je energetický zisk [MJ] na kilogram vlhkej suroviny n (**) a |
| Wn je faktor substrátu n vymedzený ako: |
| ,
|
| kde |
| In je ročný vstup substrátu n [t čerstvej hmoty] do vyhnívacej (fermentačnej) nádrže, |
| AMn je priemerná ročná vlhkosť substrátu n [kg vody/kg čerstvej hmoty] a |
| SMn je štandardná vlhkosť substrátu n (***). |
| Poznámky k výpočtovým vzťahom |
| (*) Ak sa maštaľný hnoj používa ako substrát, pridelí sa bonus 45 g CO2ekv/MJ hnoja (– 54 kg CO2ekv/t čerstvej hmoty) za zlepšené poľnohospodárske riadenie a nakladanie s hnojom. |
| (**) Na výpočet typických a určených hodnôt sa použijú tieto hodnoty Pn: |
| P (kukurica): 4,16 [MJbioplynu/kgvlhkej kukurice s 65 % vlhkosťou]; |
| P (hnoj): 0,50 [MJbioplynu/kgvlhkého hnoja s 90 % vlhkosťou] a |
| P (biologický odpad): 3,41 [MJbioplynu/kgvlhkého biologického odpadu so 76 % vlhkosťou]. |
| (***) Použijú sa tieto hodnoty štandardnej vlhkosti substrátu SMn: |
| SM (kukurica): 0,65 [kg vody/kg čerstvej hmoty]; |
| SM (hnoj): 0,90 [kg vody/kg čerstvej hmoty] a |
| SM (biologický odpad): 0,76 [kg vody/kg čerstvej hmoty]. |
| c) V zariadení na výrobu bioplynu sa pri spoločnej digescii substrátov n na výrobu elektriny alebo biometánu vypočítajú skutočné hodnoty emisií skleníkových plynov pri bioplyne a biometáne takto: |
| 
|
| kde |
| E sú celkové emisie z výroby bioplynu alebo biometánu pred konverziou energie, |
| Sn je podiel suroviny n, v podiele vstupu do vyhnívacej (fermentačnej) nádrže, |
| eec,n sú emisie z ťažby alebo pestovania suroviny n, |
| etd,surovina,n sú emisie z prepravy suroviny n do vyhnívacej (fermentačnej) nádrže, |
| el,n sú ročné prepočítané emisie vyplývajúce zo zmien zásob uhlíka spôsobených zmenou využívania pôdy, pre surovinu n, |
| esca je úspora emisií prostredníctvom zlepšeného poľnohospodárskeho riadenia suroviny n (*), |
| ep sú emisie zo spracovania, |
| etd,produkt sú emisie z dopravy a distribúcie bioplynu alebo biometánu, |
| eu sú emisie z využívania daného paliva, čiže skleníkové plyny emitované v priebehu spaľovania, |
| eccs je úspora emisií pri zachytávaní a geologickom ukladaní CO2 a |
| eccr sú úspory emisií pri zachytávaní a nahradzovaní CO2. |
| (*) Pri esca sa pridelí bonus 45 g CO2ekv/MJ hnoja za zlepšené poľnohospodárske riadenie a nakladanie s hnojom, ak sa maštaľný hnoj používa ako substrát na výrobu bioplynu a biometánu. |
| d) Emisie skleníkových plynov z používania palív z biomasy pri výrobe elektriny, tepla alebo chladu vrátane konverzie energie na elektrinu a/alebo teplo alebo chlad sa vypočítajú pri zariadení na výrobu energie, ktoré dodáva len |
| 1. teplo , |
| 2. elektrinu , |
| kde |
| ECh a ECel sú celkové emisie skleníkových plynov z konečnej energetickej komodity; |
| E sú celkové emisie skleníkových plynov z paliva pred záverečnou konverziou; |
| ηel je elektrická účinnosť definovaná ako ročná výroba elektriny vydelená ročným vstupom paliva na základe jeho energetického obsahu; |
| ηh je tepelná účinnosť definovaná ako ročné využiteľné teplo vydelené ročným vstupom paliva na základe jeho energetického obsahu. |
| 3. Pri elektrine alebo mechanickej energii pochádzajúcej zo zariadenia na výrobu energie, ktoré dodáva využiteľné teplo spoločne s elektrinou a/alebo mechanickou energiou: |
| ,
|
| 4. Pri využiteľnom teple pochádzajúcom zo zariadenia na výrobu energie, ktoré dodáva teplo spoločne s elektrinou a/alebo mechanickou energiou |
| ,
|
| kde |
| ECh a ECel sú celkové emisie skleníkových plynov z konečnej energetickej komodity, |
| E sú celkové emisie skleníkových plynov z paliva pred záverečnou konverziou, |
| ηel je elektrická účinnosť definovaná ako ročná výroba elektriny vydelená ročným energetickým vstupom na základe jeho energetického obsahu, |
| ηh je tepelná účinnosť definovaná ako ročné využiteľné teplo vydelené ročným energetickým vstupom na základe jeho energetického obsahu, |
| Cel je podiel exergie na elektrine a/alebo mechanickej energii stanovený na 100 % (Cel = 1), |
| Ch je účinnosť Carnotovho cyklu (podiel exergie na využiteľnom teple). |
| Účinnosť Carnotovho cyklu Ch pre využiteľné teplo pri rozdielnych teplotách sa definuje ako: |
| ,
|
| kde |
| Th je teplota meraná pri absolútnej teplote [K] využiteľného tepla na odbernom mieste, |
| To je teplota okolia nastavená na 273,15 K (0 °C). |
| Ak sa prebytočné teplo dodáva na vykurovanie budov pri teplote nižšej ako 150 °C (423,15 K), môže byť Ch definovaná aj takto: |
| Ch je účinnosť Carnotovho cyklu pre teplo pri teplote 150 °C (423,15 K), účinnosť má hodnotu 0,3546. |
| Na účely uvedeného výpočtu sa uplatňuje toto vymedzenie pojmov: |
| a) kombinovaná výroba elektriny a tepla je súčasne prebiehajúca výroba tepelnej energie a elektriny a/alebo mechanickej energie v jednom procese, |
| b) využiteľné teplo je teplo vyrobené na uspokojenie ekonomicky zdôvodneného dopytu po teple na vykurovanie a chladenie, |
| c) ekonomicky zdôvodnený dopyt je dopyt, ktorý neprekračuje potreby tepla alebo chladenia a ktorý by bol inak uspokojený za trhových podmienok. |
| 2) Emisie skleníkových plynov z palív z biomasy sa vyjadria takto: |
| a) emisie skleníkových plynov z palív z biomasy E sa vyjadrujú ekvivalentom množstva gramov CO2 na MJ paliva z biomasy, g CO2ekv/MJ, |
| b) emisie skleníkových plynov z tepla alebo elektriny, ktoré boli vyrobené z palív z biomasy EC, sa vyjadrujú ekvivalentom množstva gramov CO2 na MJ paliva konečnej energetickej komodity (tepla alebo elektriny), g CO2ekv/MJ. |
| Ak sa popri vykurovaní a chladení kombinovane vyrába aj elektrina, emisie sa rozdelia medzi teplo a elektrinu [podľa odseku 1 písm. d)] bez ohľadu na to, či sa teplo využíva na vykurovanie alebo chladenie(7). |
| Ak sa emisie skleníkových plynov z ťažby alebo pestovania surovín eec vyjadrujú v jednotkách g CO2ekv na suchú tonu surovín, prevod ekvivalentu CO2 na MJ paliva, g CO2ekv/MJ na gramy sa vypočíta takto(8): |
| ,
|
| kde |
| 
|
| 
|
| Emisie na suchú tonu surovín sa vypočítajú takto: |
| 
|
| 3) Úspory emisií skleníkových plynov z palív z biomasy sa vypočítajú takto: |
| a) úspory emisií skleníkových plynov z palív z biomasy, ktoré sa používajú ako pohonné látky: |
| ,
|
| kde |
| EB sú celkové emisie z palív z biomasy používaných ako pohonné látky a |
| EF(t) celkové emisie z porovnateľného fosílneho paliva používaného v doprave. |
| b) úspory emisií skleníkových plynov z tepla a chladenia, pričom elektrina sa vyrába z palív z biomasy: |
| ,
|
| kde |
| ECB(h&c, el) = sú celkové emisie z tepla alebo elektriny a |
| ECF(h&c,el) = celkové emisie z porovnateľného fosílneho paliva používaného na využiteľné teplo alebo elektrinu. |
| 4) Na účely odseku 1 sú zohľadnené skleníkové plyny oxid uhličitý (CO2), oxid dusný (N2O) a metán (CH4). Na výpočet ekvivalentu CO2 majú emisie týchto plynov vzhľadom na ekvivalentné emisie CO2 túto hodnotu: |
| CO2: 1; CH4: 25; N2O: 298. |
| 5) Emisie z ťažby, zberu alebo pestovania surovín, eec, zahŕňajú emisie |
| a) zo samotného procesu ťažby, zberu alebo pestovania, |
| b) zo zberu, sušenia a skladovania surovín, |
| c) z odpadov a úniku látok, |
| d) z výroby chemických látok alebo produktov používaných pri ťažbe alebo pestovaní. |
| Zachytávanie CO2 pri pestovaní surovín sa nezahŕňa. Ako alternatívu skutočných hodnôt možno použiť odhadované množstvá emisií z pestovania poľnohospodárskej biomasy, ktoré je možné odvodiť na základe regionálnych priemerov emisií z pestovania zahrnutých do správ podľa § 5 ods. 2 alebo z informácií o rozčlenených určených hodnotách pre emisie z pestovania zahrnutých v tejto prílohe. Ako alternatívu skutočných hodnôt je pri chýbajúcich informáciách v správach povolené vypočítať priemerné hodnoty založené na miestnych poľnohospodárskych postupoch, ktoré vychádzajú napríklad z údajov o skupinách poľnohospodárskych podnikov. |
| Ako alternatívu skutočných hodnôt možno použiť odhadované množstvá emisií z pestovania, zberu a ťažby lesnej biomasy, ktoré je možné odvodiť na základe priemerov emisií z pestovania, zberu a ťažby vypočítaných pre geografické oblasti na vnútroštátnej úrovni. |
| 6) Úspory emisií na základe lepšieho riadenia poľnohospodárstva, esca, napríklad prechodu k minimálnemu alebo bezorbovému obrábaniu pôdy, pestovaniu lepších plodín alebo ich striedaniu, využívaniu krycích plodín vrátane nakladania so zvyškami plodín a používaniu organického pôdneho kondicionéra (napr. kompostu, digestátu fermentácie hnoja), sa na výpočet uvedený v prvom bode písm. a) zohľadnia len vtedy, ak sa spoľahlivo a overiteľne preukáže, že sa obsah uhlíka v pôde zvýši, alebo sa dá očakávať, že sa zvýši v období, v ktorom sa dané suroviny vypestujú, pričom uvedené emisie sa zohľadnia, ak takéto postupy vedú k vyššiemu použitiu hnojív a herbicídov(9). |
| 7) Množstvo emisií za rok vyplývajúcich zo zmien zásob uhlíka spôsobených zmenou využívania pôdy el sa vypočítavajú rovnomerným rozdelením celkových emisií za obdobie 20 rokov. Na výpočet uvedených emisií sa uplatňuje tento vzorec: |
| (10)
|
| kde |
| el je množstvo emisií skleníkových plynov za rok vyplývajúce zo zmien zásob uhlíka spôsobených zmenou využívania pôdy [merané ako množstvo ekvivalentu CO2 na jednotkovú energiu z palív z biomasy]. Orná pôda(11) a pôda pre trvácne plodiny(12) sa považujú za jedno využitie pôdy, |
| CSr sú zásoby uhlíka na jednotku plochy súvisiace s referenčným využívaním pôdy [merané ako množstvo uhlíka [t] na jednotku plochy vrátane pôdy aj vegetácie]. Za referenčné využívanie pôdy sa považuje využívanie pôdy v januári 2008 alebo 20 rokov pred tým, ako sa získali východiskové suroviny, podľa toho, ktoré využívanie sa realizovalo ako posledné, |
| CSa sú zásoby uhlíka na jednotku plochy súvisiace so skutočným využívaním pôdy [merané ako množstvo uhlíka [t] na jednotku plochy vrátane pôdy aj vegetácie]. Ak sa zásoby uhlíka zhromažďujú viac ako jeden rok, hodnotou CSa sú odhadované zásoby na jednotku plochy po 20 rokoch alebo po dozretí plodín, podľa toho, ktoré obdobie nastane skôr, |
| P je produktivita plodín (meraná ako palivo z biomasy alebo energia na jednotku plochy za rok) a |
| eB je bonus 29 g CO2ekv/MJ palív z biomasy, ak sa biomasa získava z obnovenej znehodnotenej pôdy za podmienok ustanovených v odseku 8. |
| 8) Bonus 29 g CO2ekv/MJ sa udelí, ak sa preukáže, že daná pôda: |
| a) sa v januári 2008 nevyužívala na poľnohospodárske účely ani akúkoľvek inú činnosť a |
| b) je veľmi znehodnotená vrátane pôdy, ktorá sa v minulosti využívala na poľnohospodárske účely. |
| Bonus 29 g CO2ekv/MJ sa uplatňuje na obdobie 20 rokov od dátumu zmeny využívania pôdy na poľnohospodárske účely pod podmienkou, že sa pri pôde uvedenej v písmene b) zaručí pravidelný nárast zásob uhlíka a výrazné zníženie erózie. |
| 9) Veľmi znehodnotená pôda je pôda, ktorá je počas dlhého obdobia výrazne zasolená alebo vykazuje mimoriadne nízky obsah organických látok a je veľmi zvetraná. |
| 10) Podľa prílohy č. 2 časti C desiaty bod usmernenia podľa osobitného predpisu7k) slúžia ako základ na výpočet zásob uhlíka v pôde na účely tejto vyhlášky. |
| 11) Emisie zo spracovania ep, zahŕňajú emisie |
| a) zo samotného spracovania, |
| b) z odpadov a úniku látok, |
| c) z výroby chemických látok alebo produktov používaných pri spracúvaní vrátane emisií CO2, ktoré zodpovedajú obsahu uhlíka vo fosílnych vstupoch, bez ohľadu na to, či sa v rámci procesu spaľujú. |
| Pri započítaní spotreby elektriny nevyrobenej v zariadení na výrobu pevného alebo plynného paliva z biomasy sa intenzita emisií skleníkových plynov pri výrobe a distribúcii tejto elektriny považuje za rovnakú ako pri priemernej intenzite emisií pri výrobe a distribúcii elektriny v určenom regióne. Odchylne od tohto pravidla môžu výrobcovia používať priemernú hodnotu pri elektrine vyrobenej v jednotlivej elektrárni za predpokladu, že táto elektráreň nie je pripojená k elektrizačnej sústave. |
| Emisie zo spracúvania zahŕňajú v relevantných prípadoch emisie zo sušenia medziproduktov a materiálov. |
| 12) Emisie z dopravy a distribúcie, etd, zahŕňajú emisie z dopravy surovín a polotovarov a zo skladovania a distribúcie hotových materiálov. Tento odsek sa nevzťahuje na emisie z dopravy a distribúcie, ktoré sa zohľadňujú podľa odseku 5. |
| 13) Emisie CO2 z používaných palív eu, sa pri palive z biomasy považujú za nulové. Emisie skleníkových plynov iných než CO2 (CH4 a N2O) z používaného paliva sa zahrnú do faktora eu. |
| 14) Úspora emisií pri zachytávaní a geologickom ukladaní CO2, eccs, ktoré ešte nie sú započítané pri ep, je obmedzená len na tie emisie, ktorým sa zabráni pri zachytávaní a ukladaní emitovaného CO2 v priamej súvislosti s ťažbou, prepravou, spracovaním a distribúciou paliva z biomasy, ak sa ukladanie uskutoční podľa osobitného predpisu.7l) |
| 15) Úspora emisií pri zachytávaní a nahradzovaní CO2, eccr, priamo súvisí s výrobou paliva z biomasy, ku ktorej sú priradené, a je obmedzená len na tie emisie, ktorým sa zabráni pri zachytávaní CO2, ktorého uhlík pochádza z biomasy, a používa sa na nahrádzanie CO2 pochádzajúceho z fosílnych palív pri výrobe komerčných výrobkov a poskytovaní služieb. |
| 16) Ak jednotka kombinovanej výroby, ktorá zabezpečuje teplo a/alebo elektrinu v procese výroby paliva z biomasy, pri ktorom sa vypočítavajú emisie – vyrobí prebytočnú elektrinu a/alebo prebytočné využiteľné teplo, emisie skleníkových plynov sa rozdelia medzi elektrinu a užitočné teplo úmerne teplote tepla. Užitočná časť tepla sa zistí vynásobením jeho energetického obsahu účinnosťou Carnotovho cyklu Ch, ktorá sa vypočíta podľa odseku 1 písm. d) štvrtý bod. |
| 17) Ak je kombinovaným produktom výroby paliva z biomasy palivo, pri ktorom sa vypočítavajú emisie, a vedľajšie produkty, emisie skleníkových plynov sa delia medzi palivo alebo jeho medziprodukt a vedľajšie produkty úmerne k ich energetickému obsahu. Intenzita skleníkových plynov prebytočného užitočného tepla alebo prebytočnej elektriny sa zhoduje s intenzitou skleníkových plynov tepla alebo elektriny, ktorých dodávky sa použije na proces výroby paliva z biomasy, a určí sa na základe výpočtu intenzity skleníkových plynov všetkých vstupov a emisií vrátane emisií zo surovín a emisií CH4 a N2O, do a z jednotky kombinovanej výroby, kotla či iného zariadenia zaisťujúceho dodávky tepla alebo elektriny do procesu výroby paliva z biomasy. Pri kombinovanej výrobe elektriny a tepla sa výpočet uskutoční podľa odseku 16. |
| 18) Na výpočet uvedený v odseku 17 sú emisie, ktoré sa delia, súčtom eec + el + esca + podielu emisií ep, etd, eccs a eccr, ktoré vznikajú v procese až do fázy, keď sa vyrobí vedľajší produkt vrátane fázy výroby samotnej. Ak sa v skoršej fáze procesu v rámci životného cyklu pripíšu emisie vedľajšiemu produktu, podiel takýchto emisií, ktoré sa pripísali medziproduktu paliva v poslednej fáze procesu, sa použije na tieto účely namiesto celkového množstva emisií. |
| Pri bioplyne a biometáne sa na výpočet zohľadňujú všetky vedľajšie produkty. Na odpady a zvyšky sa nepridelia žiadne emisie. Na výpočet sa energetický obsah vedľajších produktov s negatívnym energetickým obsahom považuje za nulový. |
| Odpady a zvyšky vrátane korún a vetiev stromov, slamy, pliev, kukuričných klasov a orechových škrupín, ako aj zvyšky zo spracovania vrátane nespracovaného glycerínu sa považujú za odpady a zvyšky s nulovými emisiami skleníkových plynov v rámci životného cyklu až do procesu ich zberu, bez ohľadu na to, či sa pred premenou na konečný produkt spracúvajú na medziprodukty. |
| Pri palive z biomasy vyrábanom v iných rafinériách ako tých, ktoré sú kombináciou spracovateľských zariadení s kotlami alebo jednotiek kombinovanej výroby poskytujúcich dodávky tepla a/alebo elektriny do spracovateľského zariadenia, sa za jednotku analýzy na výpočet podľa odseku 17 považuje rafinéria. |
| 19) Pri palive z biomasy používanom na výrobu elektriny predstavujú na výpočet podľa odseku 3 emisie z porovnateľného fosílneho paliva ECF(el) hodnotu 183 g CO2ekv/MJ elektriny alebo 212 g CO2ekv/MJ elektriny pre najvzdialenejšie regióny. |
| Pri palive z biomasy používanom na výrobu využiteľného tepla, ako aj na výrobu tepla a/alebo chladu, predstavujú na výpočet podľa odseku 3 emisie z porovnateľného fosílneho paliva ECF(h) hodnotu 80 g CO2ekv/MJ tepla. |
| Pri palive z biomasy používanom na výrobu využiteľného tepla, pri ktorej je možné preukázať priamu fyzickú náhradu uhlia, predstavujú na výpočet podľa odseku 3 emisie z porovnateľného fosílneho paliva ECF(h) hodnotu 124 g CO2ekv/MJ tepla. |
| Pri palive z biomasy, ktoré sa používa ako pohonná látka, predstavujú na výpočet podľa odseku 3 emisie z porovnateľného fosílneho paliva EF(t) hodnotu 94 g CO2ekv/MJ. |
| | C. ROZTRIEDENIE URČENÝCH HODNÔT PRE PALIVÁ Z BIOMASY | | Drevené brikety alebo pelety | | Systém výroby paliva z biomasy | Prepravná vzdialenosť [km] | Emisie skleníkových plynov – typická hodnota [g CO2ekv/MJ] | Emisie skleníkových plynov [g CO2ekv/MJ] – určená hodnota | | Pestovanie | Spracovanie | Doprava | Iné emisie než emisie CO2 z používaných palív | Pestovanie | Spracovanie | Doprava | Iné emisie než emisie CO2 z používaných palív | | drevené triesky z lesných zvyškov | 1 < x ≤ 500 | 0,0 | 1,6 | 3,0 | 0,4 | 0,0 | 1,9 | 3,6 | 0,5 | | 500 < x ≤ 2 500 | 0,0 | 1,6 | 5,2 | 0,4 | 0,0 | 1,9 | 6,2 | 0,5 | | 2 500 < x ≤ 10 000 | 0,0 | 1,6 | 10,5 | 0,4 | 0,0 | 1,9 | 12,6 | 0,5 | | 10 000 < x | 0,0 | 1,6 | 20,5 | 0,4 | 0,0 | 1,9 | 24,6 | 0,5 | | drevené triesky z výmladkovej plantáže rýchlo rastúcich drevín (eukalyptus) | 2 500 < x ≤ 10 000 | 4,4 | 0,0 | 11,0 | 0,4 | 4,4 | 0,0 | 13,2 | 0,5 | | drevené triesky z výmladkovej plantáže rýchlo rastúcich drevín (topoľ – s hnojením) | 1 < x ≤ 500 | 3,9 | 0,0 | 3,5 | 0,4 | 3,9 | 0,0 | 4,2 | 0,5 | | 500 < x ≤ 2 500 | 3,9 | 0,0 | 5,6 | 0,4 | 3,9 | 0,0 | 6,8 | 0,5 | | 2 500 < x ≤ 10 000 | 3,9 | 0,0 | 11,0 | 0,4 | 3,9 | 0,0 | 13,2 | 0,5 | | 10 000 < x | 3,9 | 0,0 | 21,0 | 0,4 | 3,9 | 0,0 | 25,2 | 0,5 | | drevené triesky z výmladkovej plantáže rýchlo rastúcich drevín (topoľ – bez hnojenia) | 1 < x ≤ 500 | 2,2 | 0,0 | 3,5 | 0,4 | 2,2 | 0,0 | 4,2 | 0,5 | | 500 < x ≤ 2 500 | 2,2 | 0,0 | 5,6 | 0,4 | 2,2 | 0,0 | 6,8 | 0,5 | | 2 500 < x ≤ 10 000 | 2,2 | 0,0 | 11,0 | 0,4 | 2,2 | 0,0 | 13,2 | 0,5 | | 10 000 < x | 2,2 | 0,0 | 21,0 | 0,4 | 2,2 | 0,0 | 25,2 | 0,5 | | drevené triesky z kmeňového dreva | 1 < x ≤ 500 | 1,1 | 0,3 | 3,0 | 0,4 | 1,1 | 0,4 | 3,6 | 0,5 | | 500 < x ≤ 2 500 | 1,1 | 0,3 | 5,2 | 0,4 | 1,1 | 0,4 | 6,2 | 0,5 | | 2 500 < x ≤ 10 000 | 1,1 | 0,3 | 10,5 | 0,4 | 1,1 | 0,4 | 12,6 | 0,5 | | 10 000 < x | 1,1 | 0,3 | 20,5 | 0,4 | 1,1 | 0,4 | 24,6 | 0,5 | | drevené triesky zo zvyškov z drevospracujúceho priemyslu | 1 < x ≤ 500 | 0,0 | 0,3 | 3,0 | 0,4 | 0,0 | 0,4 | 3,6 | 0,5 | | 500 < x ≤ 2 500 | 0,0 | 0,3 | 5,2 | 0,4 | 0,0 | 0,4 | 6,2 | 0,5 | | 2 500 < x ≤ 10 000 | 0,0 | 0,3 | 10,5 | 0,4 | 0,0 | 0,4 | 12,6 | 0,5 | | 10 000 < x | 0,0 | 0,3 | 20,5 | 0,4 | 0,0 | 0,4 | 24,6 | 0,5 |
|
| | Drevené brikety alebo pelety | | Systém výroby paliva z biomasy | Prepravná vzdialenosť [km] | Emisie skleníkových plynov – typická hodnota [g CO2ekv/MJ] | Emisie skleníkových plynov – určená hodnota [g CO2ekv/MJ] | | Pestovanie | Spracovanie | Doprava a distribúcia | Iné emisie než emisie CO2 z používaných palív | Pestovanie | Spracovanie | Doprava a distribúcia | Iné emisie než emisie CO2 z používaných palív | | drevené brikety alebo pelety z lesných zvyškov (situácia 1) | 1 < x ≤ 500 | 0,0 | 25,8 | 2,9 | 0,3 | 0,0 | 30,9 | 3,5 | 0,3 | | 500 < x ≤ 2 500 | 0,0 | 25,8 | 2,8 | 0,3 | 0,0 | 30,9 | 3,3 | 0,3 | | 2 500 < x ≤ 10 000 | 0,0 | 25,8 | 4,3 | 0,3 | 0,0 | 30,9 | 5,2 | 0,3 | | 10 000 < x | 0,0 | 25,8 | 7,9 | 0,3 | 0,0 | 30,9 | 9,5 | 0,3 | | drevené brikety alebo pelety z lesných zvyškov (situácia 2a) | 1 < x ≤ 500 | 0,0 | 12,5 | 3,0 | 0,3 | 0,0 | 15,0 | 3,6 | 0,3 | | 500 < x ≤ 2 500 | 0,0 | 12,5 | 2,9 | 0,3 | 0,0 | 15,0 | 3,5 | 0,3 | | 2 500 < x ≤ 10 000 | 0,0 | 12,5 | 4,4 | 0,3 | 0,0 | 15,0 | 5,3 | 0,3 | | 10 000 < x | 0,0 | 12,5 | 8,1 | 0,3 | 0,0 | 15,0 | 9,8 | 0,3 | | drevené brikety alebo pelety z lesných zvyškov (situácia 3a) | 1 < x ≤ 500 | 0,0 | 2,4 | 3,0 | 0,3 | 0,0 | 2,8 | 3,6 | 0,3 | | 500 < x ≤ 2 500 | 0,0 | 2,4 | 2,9 | 0,3 | 0,0 | 2,8 | 3,5 | 0,3 | | 2 500 do 10 000 | 0,0 | 2,4 | 4,4 | 0,3 | 0,0 | 2,8 | 5,3 | 0,3 | | 10 000 < x | 0,0 | 2,4 | 8,2 | 0,3 | 0,0 | 2,8 | 9,8 | 0,3 | | drevené brikety z výmladkovej plantáže rýchlo rastúcich drevín (eukalyptus – situácia 1) | 2 500 < x ≤ 10 000 | 3,9 | 24,5 | 4,3 | 0,3 | 3,9 | 29,4 | 5,2 | 0,3 | | drevené brikety z výmladkovej plantáže rýchlo rastúcich drevín (eukalyptus – situácia 2a) | 2 500 < x ≤ 10 000 | 5,0 | 10,6 | 4,4 | 0,3 | 5,0 | 12,7 | 5,3 | 0,3 | | drevené brikety z výmladkovej plantáže rýchlo rastúcich drevín (eukalyptus – situácia 3a) | 2 500 < x ≤ 10 000 | 5,3 | 0,3 | 4,4 | 0,3 | 5,3 | 0,4 | 5,3 | 0,3 | | drevené brikety z výmladkovej plantáže rýchlo rastúcich drevín (topoľ, s hnojením – situácia 1) | 1 < x ≤ 500 | 3,4 | 24,5 | 2,9 | 0,3 | 3,4 | 29,4 | 3,5 | 0,3 | | 500 < x ≤ 10 000 | 3,4 | 24,5 | 4,3 | 0,3 | 3,4 | 29,4 | 5,2 | 0,3 | | 10 000 < x | 3,4 | 24,5 | 7,9 | 0,3 | 3,4 | 29,4 | 9,5 | 0,3 | | drevené brikety z výmladkovej plantáže rýchlo rastúcich drevín (topoľ, s hnojením – situácia 2a) | 1 < x ≤ 500 | 4,4 | 10,6 | 3,0 | 0,3 | 4,4 | 12,7 | 3,6 | 0,3 | | 500 < x ≤ 10 000 | 4,4 | 10,6 | 4,4 | 0,3 | 4,4 | 12,7 | 5,3 | 0,3 | | 10 000 < x | 4,4 | 10,6 | 8,1 | 0,3 | 4,4 | 12,7 | 9,8 | 0,3 | | drevené brikety z výmladkovej plantáže rýchlo rastúcich drevín (topoľ, s hnojením – situácia 3a) | 1 < x ≤ 500 | 4,6 | 0,3 | 3,0 | 0,3 | 4,6 | 0,4 | 3,6 | 0,3 | | 500 < x ≤ 10 000 | 4,6 | 0,3 | 4,4 | 0,3 | 4,6 | 0,4 | 5,3 | 0,3 | | 10 000 < x | 4,6 | 0,3 | 8,2 | 0,3 | 4,6 | 0,4 | 9,8 | 0,3 | | drevené brikety z výmladkovej plantáže rýchlo rastúcich drevín (topoľ, bez hnojenia – situácia 1) | 1 < x ≤ 500 | 2,0 | 24,5 | 2,9 | 0,3 | 2,0 | 29,4 | 3,5 | 0,3 | | 500 < x ≤ 2 500 | 2,0 | 24,5 | 4,3 | 0,3 | 2,0 | 29,4 | 5,2 | 0,3 | | 2 500 < x ≤ 10 000 | 2,0 | 24,5 | 7,9 | 0,3 | 2,0 | 29,4 | 9,5 | 0,3 | | drevené brikety z výmladkovej plantáže rýchlo rastúcich drevín (topoľ, bez hnojenia – situácia 2a) | 1 < x ≤ 500 | 2,5 | 10,6 | 3,0 | 0,3 | 2,5 | 12,7 | 3,6 | 0,3 | | 500 < x ≤ 10 000 | 2,5 | 10,6 | 4,4 | 0,3 | 2,5 | 12,7 | 5,3 | 0,3 | | 10 000 < x | 2,5 | 10,6 | 8,1 | 0,3 | 2,5 | 12,7 | 9,8 | 0,3 | | drevené brikety z výmladkovej plantáže rýchlo rastúcich drevín (topoľ, bez hnojenia – situácia 3a) | 1 < x ≤ 500 | 2,6 | 0,3 | 3,0 | 0,3 | 2,6 | 0,4 | 3,6 | 0,3 | | 500 < x ≤ 10 000 | 2,6 | 0,3 | 4,4 | 0,3 | 2,6 | 0,4 | 5,3 | 0,3 | | 10 000 < x | 2,6 | 0,3 | 8,2 | 0,3 | 2,6 | 0,4 | 9,8 | 0,3 | | drevené brikety alebo pelety z kmeňového dreva (situácia 1) | 1 < x ≤ 500 | 1,1 | 24,8 | 2,9 | 0,3 | 1,1 | 29,8 | 3,5 | 0,3 | | 500 < x ≤ 2 500 | 1,1 | 24,8 | 2,8 | 0,3 | 1,1 | 29,8 | 3,3 | 0,3 | | 2 500 < x ≤ 10 000 | 1,1 | 24,8 | 4,3 | 0,3 | 1,1 | 29,8 | 5,2 | 0,3 | | 10 000 < x | 1,1 | 24,8 | 7,9 | 0,3 | 1,1 | 29,8 | 9,5 | 0,3 | | drevené brikety alebo pelety z kmeňového dreva (situácia 2a) | 1 < x ≤ 500 | 1,4 | 11,0 | 3,0 | 0,3 | 1,4 | 13,2 | 3,6 | 0,3 | | 500 < x ≤ 2 500 | 1,4 | 11,0 | 2,9 | 0,3 | 1,4 | 13,2 | 3,5 | 0,3 | | 2 500 < x ≤ 10 000 | 1,4 | 11,0 | 4,4 | 0,3 | 1,4 | 13,2 | 5,3 | 0,3 | | 10 000 < x | 1,4 | 11,0 | 8,1 | 0,3 | 1,4 | 13,2 | 9,8 | 0,3 | | drevené brikety alebo pelety z kmeňového dreva (situácia 3a) | 1 < x ≤ 500 | 1,4 | 0,8 | 3,0 | 0,3 | 1,4 | 0,9 | 3,6 | 0,3 | | 500 < x ≤ 2 500 | 1,4 | 0,8 | 2,9 | 0,3 | 1,4 | 0,9 | 3,5 | 0,3 | | 2 500 < x ≤ 10 000 | 1,4 | 0,8 | 4,4 | 0,3 | 1,4 | 0,9 | 5,3 | 0,3 | | 10 000 < x | 1,4 | 0,8 | 8,2 | 0,3 | 1,4 | 0,9 | 9,8 | 0,3 | | drevené brikety alebo pelety zo zvyškov z drevospracujúceho priemyslu (situácia 1) | 1 < x ≤ 500 | 0,0 | 14,3 | 2,8 | 0,3 | 0,0 | 17,2 | 3,3 | 0,3 | | 500 < x ≤ 2 500 | 0,0 | 14,3 | 2,7 | 0,3 | 0,0 | 17,2 | 3,2 | 0,3 | | 2 500 < x ≤ 10 000 | 0,0 | 14,3 | 4,2 | 0,3 | 0,0 | 17,2 | 5,0 | 0,3 | | 10 000 < x | 0,0 | 14,3 | 7,7 | 0,3 | 0,0 | 17,2 | 9,2 | 0,3 | | drevené brikety alebo pelety zo zvyškov z drevospracujúceho priemyslu (situácia 2a) | 1 < x ≤ 500 | 0,0 | 6,0 | 2,8 | 0,3 | 0,0 | 7,2 | 3,4 | 0,3 | | 500 < x ≤ 2 500 | 0,0 | 6,0 | 2,7 | 0,3 | 0,0 | 7,2 | 3,3 | 0,3 | | 2 500 < x ≤ 10 000 | 0,0 | 6,0 | 4,2 | 0,3 | 0,0 | 7,2 | 5,1 | 0,3 | | 10 000 < x | 0,0 | 6,0 | 7,8 | 0,3 | 0,0 | 7,2 | 9,3 | 0,3 | | drevené brikety alebo pelety zo zvyškov z drevospracujúceho priemyslu (situácia 3a) | 1 < x ≤ 500 | 0,0 | 0,2 | 2,8 | 0,3 | 0,0 | 0,3 | 3,4 | 0,3 | | 500 < x ≤ 2 500 | 0,0 | 0,2 | 2,7 | 0,3 | 0,0 | 0,3 | 3,3 | 0,3 | | 2 500 < x ≤ 10 000 | 0,0 | 0,2 | 4,2 | 0,3 | 0,0 | 0,3 | 5,1 | 0,3 | | 10 000 < x | 0,0 | 0,2 | 7,8 | 0,3 | 0,0 | 0,3 | 9,3 | 0,3 |
|
| | Poľnohospodárske reťazce výroby | | Systém výroby paliva z biomasy | Prepravná vzdialenosť [km] | Emisie skleníkových plynov – typická hodnota [g CO2ekv/MJ] | Emisie skleníkových plynov – určená hodnota [g CO2ekv/MJ] | | Pestovanie | Spracovanie | Doprava a distribúcia | Iné emisie než emisie CO2 z používaných palív | Pestovanie | Spracovanie | Doprava a distribúcia | Iné emisie než emisie CO2 z používaných palív | | poľnohospodárske zvyšky s hustotou < 0,2 t/m3 | 1 < x ≤ 500 | 0,0 | 0,9 | 2,6 | 0,2 | 0,0 | 1,1 | 3,1 | 0,3 | | 500 < x ≤ 2 500 | 0,0 | 0,9 | 6,5 | 0,2 | 0,0 | 1,1 | 7,8 | 0,3 | | 2 500 < x ≤ 10 000 | 0,0 | 0,9 | 14,2 | 0,2 | 0,0 | 1,1 | 17,0 | 0,3 | | 10 000 < x | 0,0 | 0,9 | 28,3 | 0,2 | 0,0 | 1,1 | 34,0 | 0,3 | | poľnohospodárske zvyšky s hustotou > 0,2 t/m3 | 1 < x ≤ 500 | 0,0 | 0,9 | 2,6 | 0,2 | 0,0 | 1,1 | 3,1 | 0,3 | | 500 < x ≤ 2 500 | 0,0 | 0,9 | 3,6 | 0,2 | 0,0 | 1,1 | 4,4 | 0,3 | | 2 500 < x ≤ 10 000 | 0,0 | 0,9 | 7,1 | 0,2 | 0,0 | 1,1 | 8,5 | 0,3 | | 10 000 < x | 0,0 | 0,9 | 13,6 | 0,2 | 0,0 | 1,1 | 16,3 | 0,3 | | slamové pelety | 1 < x ≤ 500 | 0,0 | 5,0 | 3,0 | 0,2 | 0,0 | 6,0 | 3,6 | 0,3 | | 500 < x ≤ 10 000 | 0,0 | 5,0 | 4,6 | 0,2 | 0,0 | 6,0 | 5,5 | 0,3 | | 10 000 < x | 0,0 | 5,0 | 8,3 | 0,2 | 0,0 | 6,0 | 10,0 | 0,3 | | brikety z bagasy | 500 < x ≤ 10 000 | 0,0 | 0,3 | 4,3 | 0,4 | 0,0 | 0,4 | 5,2 | 0,5 | | 10 000 < x | 0,0 | 0,3 | 8,0 | 0,4 | 0,0 | 0,4 | 9,5 | 0,5 | | palmojadrový extrahovaný šrot | 10 000 < x | 21,6 | 21,1 | 11,2 | 0,2 | 21,6 | 25,4 | 13,5 | 0,3 | | palmojadrový extrahovaný šrot (žiadne emisie CH4 z továrne na spracovanie oleja) | 10 000 < x | 21,6 | 3,5 | 11,2 | 0,2 | 21,6 | 4,2 | 13,5 | 0,3 |
|
| | Roztriedenie určených hodnôt pre bioplyn na výrobu elektriny | | Systém výroby paliva z biomasy | Technológia | TYPICKÁ HODNOTA [g CO2ekv/MJ] | URČENÁ HODNOTA [g CO2ekv/MJ] | | Pestovanie | Spracovanie | Iné emisie než emisie CO2 z používaných palív | Doprava | Kredity na hnoj | Pestovanie | Spracovanie | Iné emisie než emisie CO2 z používaných palív | Doprava | Kredity na hnoj | | vlhký hnoj(13) | situácia 1 | otvorený digestát | 0,0 | 69,6 | 8,9 | 0,8 | – 107,3 | 0,0 | 97,4 | 12,5 | 0,8 | – 107,3 | | uzavretý digestát | 0,0 | 0,0 | 8,9 | 0,8 | – 97,6 | 0,0 | 0,0 | 12,5 | 0,8 | – 97,6 | | situácia 2 | otvorený digestát | 0,0 | 74,1 | 8,9 | 0,8 | – 107,3 | 0,0 | 103,7 | 12,5 | 0,8 | – 107,3 | | uzavretý digestát | 0,0 | 4,2 | 8,9 | 0,8 | – 97,6 | 0,0 | 5,9 | 12,5 | 0,8 | – 97,6 | | situácia 3 | otvorený digestát | 0,0 | 83,2 | 8,9 | 0,9 | – 120,7 | 0,0 | 116,4 | 12,5 | 0,9 | – 120,7 | | uzavretý digestát | 0,0 | 4,6 | 8,9 | 0,8 | – 108,5 | 0,0 | 6,4 | 12,5 | 0,8 | – 108,5 | | celá rastlina kukurice14 | situácia 1 | otvorený digestát | 15,6 | 13,5 | 8,9 | 0,0(15) | — | 15,6 | 18,9 | 12,5 | 0,0 | — | | uzavretý digestát | 15,2 | 0,0 | 8,9 | 0,0 | — | 15,2 | 0,0 | 12,5 | 0,0 | — | | situácia 2 | otvorený digestát | 15,6 | 18,8 | 8,9 | 0,0 | — | 15,6 | 26,3 | 12,5 | 0,0 | — | | uzavretý digestát | 15,2 | 5,2 | 8,9 | 0,0 | — | 15,2 | 7,2 | 12,5 | 0,0 | — | | situácia 3 | otvorený digestát | 17,5 | 21,0 | 8,9 | 0,0 | — | 17,5 | 29,3 | 12,5 | 0,0 | — | | uzavretý digestát | 17,1 | 5,7 | 8,9 | 0,0 | — | 17,1 | 7,9 | 12,5 | 0,0 | — | | biologický odpad | situácia 1 | otvorený digestát | 0,0 | 21,8 | 8,9 | 0,5 | — | 0,0 | 30,6 | 12,5 | 0,5 | — | | uzavretý digestát | 0,0 | 0,0 | 8,9 | 0,5 | — | 0,0 | 0,0 | 12,5 | 0,5 | — | | situácia 2 | otvorený digestát | 0,0 | 27,9 | 8,9 | 0,5 | — | 0,0 | 39,0 | 12,5 | 0,5 | — | | uzavretý digestát | 0,0 | 5,9 | 8,9 | 0,5 | — | 0,0 | 8,3 | 12,5 | 0,5 | — | | situácia 3 | otvorený digestát | 0,0 | 31,2 | 8,9 | 0,5 | — | 0,0 | 43,7 | 12,5 | 0,5 | — | | uzavretý digestát | 0,0 | 6,5 | 8,9 | 0,5 | — | 0,0 | 9,1 | 12,5 | 0,5 | — |
|
| | Roztriedenie určených hodnôt pre biometán | | Systém výroby biometánu | Technologická možnosť | TYPICKÁ HODNOTA [g CO2ekv/MJ] | URČENÁ HODNOTA [g CO2ekv/MJ] | | Pestovanie | Spracovanie | Úprava | Doprava | Kompresia na čerpacej stanici | Kredity na hnoj | Pestovanie | Spracovanie | Úprava | Doprava | Kompresia na čerpacej stanici | Kredity na hnoj | | vlhký hnoj | otvorený digestát | bez spaľovania odpadových plynov | 0,0 | 84,2 | 19,5 | 1,0 | 3,3 | – 124,4 | 0,0 | 117,9 | 27,3 | 1,0 | 4,6 | – 124,4 | | so spaľovaním odpadových plynov | 0,0 | 84,2 | 4,5 | 1,0 | 3,3 | – 124,4 | 0,0 | 117,9 | 6,3 | 1,0 | 4,6 | – 124,4 | | uzavretý digestát | bez spaľovania odpadových plynov | 0,0 | 3,2 | 19,5 | 0,9 | 3,3 | – 111,9 | 0,0 | 4,4 | 27,3 | 0,9 | 4,6 | – 111,9 | | so spaľovaním odpadových plynov | 0,0 | 3,2 | 4,5 | 0,9 | 3,3 | – 111,9 | 0,0 | 4,4 | 6,3 | 0,9 | 4,6 | – 111,9 | | celá rastlina kukurice | otvorený digestát | bez spaľovania odpadových plynov | 18,1 | 20,1 | 19,5 | 0,0 | 3,3 | — | 18,1 | 28,1 | 27,3 | 0,0 | 4,6 | — | | so spaľovaním odpadových plynov | 18,1 | 20,1 | 4,5 | 0,0 | 3,3 | — | 18,1 | 28,1 | 6,3 | 0,0 | 4,6 | — | | uzavretý digestát | bez spaľovania odpadových plynov | 17,6 | 4,3 | 19,5 | 0,0 | 3,3 | — | 17,6 | 6,0 | 27,3 | 0,0 | 4,6 | — | | so spaľovaním odpadových plynov | 17,6 | 4,3 | 4,5 | 0,0 | 3,3 | — | 17,6 | 6,0 | 6,3 | 0,0 | 4,6 | — | | biologický odpad | otvorený digestát | bez spaľovania odpadových plynov | 0,0 | 30,6 | 19,5 | 0,6 | 3,3 | — | 0,0 | 42,8 | 27,3 | 0,6 | 4,6 | — | | so spaľovaním odpadových plynov | 0,0 | 30,6 | 4,5 | 0,6 | 3,3 | — | 0,0 | 42,8 | 6,3 | 0,6 | 4,6 | — | | uzavretý digestát | bez spaľovania odpadových plynov | 0,0 | 5,1 | 19,5 | 0,5 | 3,3 | — | 0,0 | 7,2 | 27,3 | 0,5 | 4,6 | — | | so spaľovaním odpadových plynov | 0,0 | 5,1 | 4,5 | 0,5 | 3,3 | — | 0,0 | 7,2 | 6,3 | 0,5 | 4,6 | — |
|
| | D. CELKOVÉ TYPICKÉ A URČENÉ HODNOTY PRE REŤAZEC VÝROBY PALIVA Z BIOMASY | | Systém výroby paliva z biomasy | Prepravná vzdialenosť [km] | Emisie skleníkových plynov – typická hodnota [g CO2ekv/MJ] | Emisie skleníkových plynov – určená hodnota [g CO2ekv/MJ] | | drevené triesky z lesných zvyškov | 1 < x ≤ 500 | 5 | 6 | | 500 < x ≤ 2 500 | 7 | 9 | | 2 500 < x ≤ 10 000 | 12 | 15 | | 10 000 < x | 22 | 27 | | drevené triesky z výmladkovej plantáže rýchlo rastúcich drevín (eukalyptus) | 2 500 < x ≤ 10 000 | 16 | 18 | | drevené triesky z výmladkovej plantáže rýchlo rastúcich drevín (topoľ – s hnojením) | 1 < x ≤ 500 | 8 | 9 | | 500 < x ≤ 2 500 | 10 | 11 | | 2 500 < x ≤ 10 000 | 15 | 18 | | 10 000 < x | 25 | 30 | | drevené triesky z výmladkovej plantáže rýchlo rastúcich drevín (topoľ – bez hnojenia) | 1 < x ≤ 500 | 6 | 7 | | 500 < x ≤ 2 500 | 8 | 10 | | 2 500 < x ≤ 10 000 | 14 | 16 | | 10 000 < x | 24 | 28 | | drevené triesky z kmeňového dreva | 1 < x ≤ 500 | 5 | 6 | | 500 < x ≤ 2 500 | 7 | 8 | | 2 500 < x ≤ 10 000 | 12 | 15 | | 10 000 < x | 22 | 27 | | drevené triesky z priemyselných zvyškov | 1 < x ≤ 500 | 4 | 5 | | 500 < x ≤ 2 500 | 6 | 7 | | 2 500 < x ≤ 10 000 | 11 | 13 | | 10 000 < x | 21 | 25 | | drevené brikety alebo pelety z lesných zvyškov (situácia 1) | 1 < x ≤ 500 | 29 | 35 | | 500 < x ≤ 2 500 | 29 | 35 | | 2 500 < x ≤ 10 000 | 30 | 36 | | 10 000 < x | 34 | 41 | | drevené brikety alebo pelety z lesných zvyškov (situácia 2a) | 1 < x ≤ 500 | 16 | 19 | | 500 < x ≤ 2 500 | 16 | 19 | | 2 500 < x ≤ 10 000 | 17 | 21 | | 10 000 < x | 21 | 25 | | drevené brikety alebo pelety z lesných zvyškov (situácia 3a) | 1 < x ≤ 500 | 6 | 7 | | 500 < x ≤ 2 500 | 6 | 7 | | 2 500 < x ≤ 10 000 | 7 | 8 | | 10 000 < x | 11 | 13 | | drevené brikety alebo pelety z výmladkovej plantáže rýchlo rastúcich drevín (eukalyptus – situácia 1) | 2 500 < x ≤ 10 000 | 33 | 39 | | drevené brikety alebo pelety z výmladkovej plantáže rýchlo rastúcich drevín (eukalyptus – situácia 2a) | 2 500 < x ≤ 10 000 | 20 | 23 | | drevené brikety alebo pelety z výmladkovej plantáže rýchlo rastúcich drevín (eukalyptus – situácia 3a) | 2 500 < x ≤ 10 000 | 10 | 11 | | drevené brikety alebo pelety z výmladkovej plantáže rýchlo rastúcich drevín (topoľ, s hnojením – situácia 1) | 1 < x ≤ 500 | 31 | 37 | | 500 < x ≤ 10 000 | 32 | 38 | | 10 000 < x | 36 | 43 | | drevené brikety alebo pelety z výmladkovej plantáže rýchlo rastúcich drevín (topoľ, s hnojením – situácia 2a) | 1 < x ≤ 500 | 18 | 21 | | 500 < x ≤ 10 000 | 20 | 23 | | 10 000 < x | 23 | 27 | | drevené brikety alebo pelety z výmladkovej plantáže rýchlo rastúcich drevín (topoľ, s hnojením – situácia 3a) | 1 < x ≤ 500 | 8 | 9 | | 500 < x ≤ 10 000 | 10 | 11 | | 10 000 < x | 13 | 15 | | drevené brikety alebo pelety z výmladkovej plantáže rýchlo rastúcich drevín (topoľ, bez hnojenia – situácia 1) | 1 < x ≤ 500 | 30 | 35 | | 500 < x ≤ 10 000 | 31 | 37 | | 10 000 < x | 35 | 41 | | drevené brikety alebo pelety z výmladkovej plantáže rýchlo rastúcich drevín (topoľ, bez hnojenia – situácia 2a) | 1 < x ≤ 500 | 16 | 19 | | 500 < x ≤ 10 000 | 18 | 21 | | 10 000 < x | 21 | 25 | | drevené brikety alebo pelety z výmladkovej plantáže rýchlo rastúcich drevín (topoľ, bez hnojenia – situácia 3a) | 1 < x ≤ 500 | 6 | 7 | | 500 < x ≤ 10 000 | 8 | 9 | | 10 000 < x | 11 | 13 | | drevené brikety alebo pelety z kmeňového dreva (situácia 1) | 1 < x ≤ 500 | 29 | 35 | | 500 < x ≤ 2 500 | 29 | 34 | | 2 500 < x ≤ 10 000 | 30 | 36 | | 10 000 < x | 34 | 41 | | drevené brikety alebo pelety z kmeňového dreva (situácia 2a) | 1 < x ≤ 500 | 16 | 18 | | 500 < x ≤ 2 500 | 15 | 18 | | 2 500 < x ≤ 10 000 | 17 | 20 | | 10 000 < x | 21 | 25 | | drevené brikety alebo pelety z kmeňového dreva (situácia 3a) | 1 < x ≤ 500 | 5 | 6 | | 500 < x ≤ 2 500 | 5 | 6 | | 2 500 < x ≤ 10 000 | 7 | 8 | | 10 000 < x | 11 | 12 | | drevené brikety alebo pelety zo zvyškov z drevospracujúceho priemyslu (situácia 1) | 1 < x ≤ 500 | 17 | 21 | | 500 < x ≤ 2 500 | 17 | 21 | | 2 500 < x ≤ 10 000 | 19 | 23 | | 10 000 < x | 22 | 27 | | drevené brikety alebo pelety zo zvyškov z drevospracujúceho priemyslu (situácia 2a) | 1 < x ≤ 500 | 9 | 11 | | 500 < x ≤ 2 500 | 9 | 11 | | 2 500 < x ≤ 10 000 | 10 | 13 | | 10 000 < x | 14 | 17 | | drevené brikety alebo pelety zo zvyškov z drevospracujúceho priemyslu (situácia 3a) | 1 < x ≤ 500 | 3 | 4 | | 500 < x ≤ 2 500 | 3 | 4 | | 2 500 < x ≤ 10 000 | 5 | 6 | | 10 000 < x | 8 | 10 |
|
| Situácia 1 sa týka procesov, v ktorých sa na dodávky procesného tepla do zariadenia na výrobu peliet používa kotol na zemný plyn. Procesná elektrina sa nakupuje zo siete. |
| Situácia 2a sa týka procesov, v ktorých sa na dodávky procesného tepla do zariadenia na výrobu peliet používa kotol zásobovaný drevenými trieskami. Procesná elektrina sa nakupuje zo siete. |
| Situácia 3a sa týka procesov, v ktorých sa na dodávky tepla a elektriny do zariadenia na výrobu peliet používa kombinovaná výroba elektriny a tepla zásobovaná drevenými trieskami. |
| | Systém výroby paliva z biomasy | Prepravná vzdialenosť [km] | Emisie skleníkových plynov – typická hodnota [g CO2ekv/MJ] | Emisie skleníkových plynov – určená hodnota [g CO2ekv/MJ] | | poľnohospodárske zvyšky s hustotou < 0,2 t/m3(16) | 1 < x ≤ 500 | 4 | 4 | | 500 < x ≤ 2 500 | 8 | 9 | | 2 500 < x ≤ 10 000 | 15 | 18 | | 10 000 < x | 29 | 35 | | poľnohospodárske zvyšky s hustotou > 0,2 t/m3(17) | 1 < x ≤ 500 | 4 | 4 | | 500 < x ≤ 2 500 | 5 | 6 | | 2 500 < x ≤ 10 000 | 8 | 10 | | 10 000 < x | 15 | 18 | | slamové pelety | 1 < x ≤ 500 | 8 | 10 | | 500 < x ≤ 10 000 | 10 | 12 | | 10 000 < x | 14 | 16 | | brikety z bagasy | 500 < x ≤ 10 000 | 5 | 6 | | 10 000 < x | 9 | 10 | | palmojadrový extrahovaný šrot | 10 000 < x | 54 | 61 | | palmojadrový extrahovaný šrot (žiadne emisie CH4 z továrne na spracovanie oleja) | 10 000 < x | 37 | 40 |
|
| | Typické a určené hodnoty – bioplyn na elektrinu | | Systém výroby bioplynu | Technologická možnosť | Typická hodnota | Určená hodnota | | Emisie skleníkových plynov [g CO2ekv/MJ] | Emisie skleníkových plynov [g CO2ekv/MJ] | | bioplyn na elektrinu z vlhkého hnoja | situácia 1 | otvorený digestát(18) | – 28 | 3 | | uzavretý digestát(19) | – 88 | – 84 | | situácia 2 | otvorený digestát | – 23 | 10 | | uzavretý digestát | – 84 | – 78 | | situácia 3 | otvorený digestát | – 28 | 9 | | uzavretý digestát | – 94 | – 89 | | bioplyn na elektrinu z celej rastliny kukurice | situácia 1 | otvorený digestát | 38 | 47 | | uzavretý digestát | 24 | 28 | | situácia 2 | otvorený digestát | 43 | 54 | | uzavretý digestát | 29 | 35 | | situácia 3 | otvorený digestát | 47 | 59 | | uzavretý digestát | 32 | 38 | | bioplyn na elektrinu z biologického odpadu | situácia 1 | otvorený digestát | 31 | 44 | | uzavretý digestát | 9 | 13 | | situácia 2 | otvorený digestát | 37 | 52 | | uzavretý digestát | 15 | 21 | | situácia 3 | otvorený digestát | 41 | 57 | | uzavretý digestát | 16 | 22 |
|
| | Typické a určené hodnoty pre biometán | | Systém výroby biometánu | Technologická možnosť | Emisie skleníkových plynov – typická hodnota [g CO2ekv/MJ] | Emisie skleníkových plynov – určená hodnota [g CO2ekv/MJ] | | biometán z vlhkého hnoja | otvorený digestát, bez spaľovania odpadových plynov(20) | – 20 | 22 | | otvorený digestát, so spaľovaním odpadových plynov(21) | – 35 | 1 | | uzavretý digestát, bez spaľovania odpadových plynov | – 88 | – 79 | | uzavretý digestát, so spaľovaním odpadových plynov | – 103 | – 100 | | biometán z celej rastliny kukurice | otvorený digestát, bez spaľovania odpadových plynov | 58 | 73 | | otvorený digestát, so spaľovaním odpadových plynov | 43 | 52 | | uzavretý digestát, bez spaľovania odpadových plynov | 41 | 51 | | uzavretý digestát, so spaľovaním odpadových plynov | 26 | 30 | | biometán z biologického odpadu | otvorený digestát, bez spaľovania odpadových plynov | 51 | 71 | | otvorený digestát, so spaľovaním odpadových plynov | 36 | 50 | | uzavretý digestát, bez spaľovania odpadových plynov | 25 | 35 | | uzavretý digestát, so spaľovaním odpadových plynov | 10 | 14 |
|
| | Typické a určené hodnoty – bioplyn na elektrinu – zmesi hnoja a kukurice: Emisie skleníkových plynov s podielmi na základe čerstvej hmotnosti | | Systém výroby bioplynu [%] | Technologické možnosti | Emisie skleníkových plynov – typická hodnota [g CO2ekv/MJ] | Emisie skleníkových plynov – určená hodnota [g CO2ekv/MJ] | | hnoj – kukurica 80 – 20 | situácia 1 | otvorený digestát | 17 | 33 | | uzavretý digestát | – 12 | – 9 | | situácia 2 | otvorený digestát | 22 | 40 | | uzavretý digestát | – 7 | – 2 | | situácia 3 | otvorený digestát | 23 | 43 | | uzavretý digestát | – 9 | – 4 | | hnoj – kukurica 70 – 30 | situácia 1 | otvorený digestát | 24 | 37 | | uzavretý digestát | 0 | 3 | | situácia 2 | otvorený digestát | 29 | 45 | | uzavretý digestát | 4 | 10 | | situácia 3 | otvorený digestát | 31 | 48 | | uzavretý digestát | 4 | 10 | | hnoj – kukurica 60 – 40 | situácia 1 | otvorený digestát | 28 | 40 | | uzavretý digestát | 7 | 11 | | situácia 2 | otvorený digestát | 33 | 47 | | uzavretý digestát | 12 | 18 | | situácia 3 | otvorený digestát | 36 | 52 | | uzavretý digestát | 12 | 18 |
|
| Poznámky: |
| Situácia 1 sa týka výrobných reťazcov, v ktorých elektrinu a teplo potrebné v danom procese dodáva priamo motor zariadenia na kombinovanú výrobu elektriny a tepla. |
| Situácia 2 sa týka výrobných reťazcov, v ktorých sa elektrina potrebná v danom procese odoberá zo siete a procesné teplo dodáva priamo motor zariadenia na kombinovanú výrobu elektriny a tepla. V niektorých členských štátoch nemôžu hospodárske subjekty žiadať dotácie na hrubú výrobu, a pravdepodobnejšou konfiguráciou je teda situácia 1. |
| Situácia 3 sa týka výrobných reťazcov, v ktorých sa elektrina potrebná v danom procese odoberá zo siete a procesné teplo dodáva kotol na bioplyn. Táto situácia sa týka niektorých zariadení, pri ktorých nie je motor zariadenia na kombinovanú výrobu elektriny a tepla na mieste a kde sa predáva bioplyn (avšak bez úpravy na biometán). |
| | Typické a určené hodnoty – biometán – zmesi hnoja a kukurice: Emisie skleníkových plynov s podielmi na základe čerstvej hmotnosti | | Systém výroby biometánu [%] | Technologické možnosti | Typická hodnota | Určená hodnota | | [g CO2ekv/MJ] | [g CO2ekv/MJ] | | hnoj – kukurica 80 – 20 | otvorený digestát, bez spaľovania odpadových plynov | 32 | 57 | | otvorený digestát, so spaľovaním odpadových plynov | 17 | 36 | | uzavretý digestát, bez spaľovania odpadových plynov | – 1 | 9 | | uzavretý digestát, so spaľovaním odpadových plynov | – 16 | – 12 | | hnoj – kukurica 70 – 30 | otvorený digestát, bez spaľovania odpadových plynov | 41 | 62 | | otvorený digestát, so spaľovaním odpadových plynov | 26 | 41 | | uzavretý digestát, bez spaľovania odpadových plynov | 13 | 22 | | uzavretý digestát, so spaľovaním odpadových plynov | – 2 | 1 | | hnoj – kukurica 60 – 40 | otvorený digestát, bez spaľovania odpadových plynov | 46 | 66 | | otvorený digestát, so spaľovaním odpadových plynov | 31 | 45 | | uzavretý digestát, bez spaľovania odpadových plynov | 22 | 31 | | uzavretý digestát, so spaľovaním odpadových plynov | 7 | 10 |
|
| Pri biometáne, ktorý sa používa ako palivo v doprave vo forme stlačeného biometánu, je potrebné k typickým hodnotám pripočítať hodnotu 3,3 g CO2ekv/MJ biometánu a k určeným hodnotám hodnotu 4,6 g CO2ekv/MJ biometánu. |
| Vysvetlivky: |
| (1) Hodnoty pre výrobu bioplynu z hnoja zahŕňajú negatívne emisie pochádzajúce z úspory emisií pri nakladaní s čerstvým hnojom. Vychádza sa z toho, že hodnota esca sa rovná -45 g CO2ekv/MJ hnoja použitého pri anaeróbnej digescii. |
| (2) Otvoreným skladovaním digestátu vznikajú ďalšie emisie CH4 a N2O. Rozsah uvedených emisií sa mení v závislosti od podmienok okolitého prostredia, druhov substrátu a účinnosti digescie. |
| (3) Uzavreté skladovanie znamená, že digestát, ktorý vznikol procesom digescie, je uložený v plynotesnej nádrži a že dodatočný bioplyn vznikajúci pri skladovaní sa považuje za bioplyn získaný na výrobu dodatočnej elektriny alebo biometánu. Súčasťou tohto procesu nie sú žiadne emisie skleníkových plynov. |
| (4) Celá rastlina kukurice je kukurica, ktorá bola pozberaná ako krmivo a silážovaná na konzerváciu. |
| (5) Táto kategória zahŕňa tieto kategórie technológií úpravy bioplynu na biometán: adsorpcia na báze zmien tlaku (PSA), tlaková vypierka vodou (PWS), membrány, kryogénna úprava a organická fyzikálna vypierka (OPS). Zahŕňa emisie vo výške 0,03 MJ CH4/MJ biometánu pre emisie metánu v odpadových plynoch. |
| (6) Táto kategória zahŕňa tieto kategórie technológií úpravy bioplynu na biometán: tlaková vypierka vodou (PWS), ak sa voda recykluje, adsorpcia na báze zmien tlaku (PSA), chemická vypierka, organická fyzikálna vypierka (OPS), membrány a kryogénna úprava. Pri tejto kategórii sa neráta so žiadnymi emisiami metánu (metán, ak je prítomný, sa v odpadových plynoch spáli). |
| (7) Teplo alebo odpadové teplo sa využíva na výrobu chladenia (chladenia vzduchom alebo vodou) pomocou absorpčných chladičov. Preto je vhodné vypočítať len emisie súvisiace s teplom vyrobeným na MJ tepla, bez ohľadu na to, či je konečným využitím tohto tepla vykurovanie alebo chladenie pomocou absorpčných chladičov. |
| (8) Vzorec na výpočet emisií skleníkových plynov z ťažby alebo pestovania surovín eec opisuje prípady, keď sa suroviny transformujú na biopalivá v jednom kroku. Pri komplexnejších dodávateľských reťazcoch sú na výpočet emisií skleníkových plynov z ťažby alebo pestovania surovín eec potrebné úpravy pre medziprodukty. |
| (9) Takéto dôkazy možno získať meraním uhlíka v pôde, napríklad ak sa prvýkrát zmeria pred pestovaním a následne v pravidelných intervaloch s niekoľkoročným odstupom. V takom prípade sa pred získaním výsledkov druhého merania nárast uhlíka v pôde odhadne na základe reprezentatívnych pokusov alebo pôdnych modelov. Počnúc druhým meraním sú tieto merania základom pre stanovenie existencie nárastu uhlíka v pôde a jeho výšky. |
| (10) Konštanta získaná vydelením molekulovej hmotnosti CO2 (44,010 g/mol) molekulovou hmotnosťou uhlíka (12,011 g/mol) sa rovná 3,664. |
| (11) Orná pôda, tak ako ju vymedzuje IPCC. |
| (12) Trvácne plodiny sa vymedzujú ako viacročné plodiny, ktorých kmene sa väčšinou každoročne nezberajú, ako napríklad rýchlo rastúce výmladkové porasty a palma olejná. |
| (13) Hodnoty pre výrobu bioplynu z hnoja zahŕňajú negatívne emisie pochádzajúce z úspory emisií pri nakladaní s čerstvým hnojom. Vychádza sa z toho, že hodnota esca sa rovná -45 g CO2ekv/MJ hnoja použitého pri anaeróbnej digescii. |
| (14) Celá rastlina kukurice je kukurica, ktorá bola pozberaná ako krmivo a silážovaná na konzerváciu. |
| (15) Doprava poľnohospodárskych surovín do transformačného zariadenia je podľa metodiky uvedenej v správe Komisie z 25. februára 2010 o požiadavkách trvalej udržateľnosti na používanie zdrojov tuhej a plynnej biomasy pri výrobe elektriny, tepla a chladu zahrnutá v hodnote „pestovanie“. Hodnota dopravy kukuričnej siláže predstavuje 0,4 g CO2ekv/MJ bioplynu. |
| (16) Táto skupina materiálov zahŕňa poľnohospodárske zvyšky s nízkou objemovou hmotnosťou a obsahuje materiály, ako napríklad balíky slamy, ovsené šupky, ryžové plevy, bagasové balíky z cukrovej trstiny (neúplný zoznam). |
| (17) Táto skupina poľnohospodárskych zvyškov s vyššou objemovou hmotnosťou zahŕňa materiály, ako napríklad kukuričné klasy, škrupiny orechov, šupky sójových bôbov, škrupiny palmových jadier (neúplný zoznam). |
| (18) Otvoreným skladovaním digestátu vznikajú ďalšie emisie metánu, ktoré sa menia v závislosti od poveternostných podmienok, substrátu a účinnosti digescie. Pri týchto výpočtoch sa použijú množstvá, ktoré sa rovnajú 0,05 MJ CH4/MJ bioplynu pri hnoji, 0,035 MJ CH4/MJ bioplynu pri kukurici a 0,01 MJ CH4/MJ bioplynu pri biologickom odpade. |
| (19) Uzavreté skladovanie znamená, že digestát, ktorý vznikol procesom digescie, je uložený v plynotesnej nádrži a dodatočný bioplyn vznikajúci pri skladovaní sa považuje za bioplyn získaný na výrobu dodatočnej elektriny alebo biometánu. |
| (20) Táto kategória zahŕňa tieto kategórie technológií úpravy bioplynu na biometán: adsorpcia na báze zmien tlaku (PSA), tlaková vypierka vodou (PWS), membrány, kryogénna úprava a organická fyzikálna vypierka (OPS). Zahŕňa emisie vo výške 0,03 MJ CH4/MJ biometánu pre emisie metánu v odpadových plynoch. |
| (21) Táto kategória zahŕňa tieto kategórie technológií úpravy bioplynu na biometán: tlaková vypierka vodou (PWS), ak sa voda recykluje, adsorpcia na báze zmien tlaku (PSA), chemická vypierka, organická fyzikálna vypierka (OPS), membrány a kryogénna úprava. Pri tejto kategórii sa neráta so žiadnymi emisiami metánu (metán, ak je prítomný, sa v odpadových plynoch spáli). |
| Príloha č. 7 k vyhláške č. 271/2011 Z. z. |
| Sadzobník poplatkov na pokrytie nákladov spojených s vedením elektronickej evidencie palív v doprave podľa § 14g zákona |
| | POPLATKY | | Fixný poplatok* | | | Prvá registrácia | 500,00 € | | Opätovná registrácia po prestávke | 250,00 € | | Ročný poplatok | 250,00 € | | Pohyblivý poplatok** | | | Objem pohonnej látky | 0,07 €/m3 | | Mimoriadny poplatok*** | | | Poplatok za úkony súvisiace s vedením evidencie na žiadosť právnickej osoby alebo fyzickej osoby podľa § 14g ods. 2 zákona | 200,00 € |
|
| Poznámky: |
| * Fixný poplatok platí právnická osoba alebo fyzická osoba podľa § 14g ods. 2 zákona. |
| ** Pohyblivý poplatok platí právnická osoba alebo fyzická osoba podľa § 14g ods. 2 zákona podľa predaného objemu pohonnej látky. |
| *** Mimoriadny poplatok zahŕňa napríklad poplatok za individuálne školenia, pomoc pri vkladaní a vytváraní potvrdení a informácií o transakciách.“. |
|
|
| Čl. II |
| Táto vyhláška nadobúda účinnosť dňom vyhlásenia. |
|
|
| Ján Budaj v. r. |