| 370 |
| VYHLÁŠKA |
| Úradu pre reguláciu sieťových odvetví |
| zo 16. augusta 2023, |
| ktorou sa ustanovuje cenová regulácia v oblasti podpory výroby elektriny a niektoré súvisiace podmienky vykonávania regulovaných činností |
| Úrad pre reguláciu sieťových odvetví (ďalej len „úrad“) podľa § 40 ods. 1 písm. a) až i) a l) zákona č. 250/2012 Z. z. o regulácii v sieťových odvetviach v znení neskorších predpisov (ďalej len „zákon o regulácii“) a § 19 ods. 2 písm. d), i), j), l) a m) zákona č. 309/2009 Z. z. o podpore obnoviteľných zdrojov energie a vysoko účinnej kombinovanej výroby a o zmene a doplnení niektorých zákonov v znení neskorších predpisov (ďalej len „zákon o podpore“) ustanovuje: |
|
|
| § 1 |
| Základné pojmy |
| Na účely tejto vyhlášky sa rozumie |
| a) regulačným obdobím 6. regulačné obdobie od 1. januára 2023, |
| b) regulačným rokom kalendárny rok, |
| c) rokom t regulačný rok, na ktorý sa určuje alebo platí cena, |
| d) rokom t+n n-tý rok nasledujúci po roku t, |
| e) rokom t-n n-tý rok predchádzajúci roku t, |
| f) jednotkou množstva elektriny 1 MWh, |
| g) technologickou časťou zariadenia výrobcu elektriny súbor jednotlivých technologických prvkov nevyhnutných na výrobu elektriny tvoriacich jeden technologický celok pozostávajúci najmä zo zariadenia na skladovanie primárneho zdroja energie, zariadenia na úpravu primárneho zdroja energie, zariadenia, v ktorom sa vykonáva premena formy primárnej energie na elektrinu, zariadenia vykonávajúceho kvalitatívnu úpravu elektriny, meracieho zariadenia, riadiaceho zariadenia, kontrolného zariadenia a zariadenia na ochranu životného prostredia, |
| h) výstavbou zariadenia na výrobu elektriny výstavba nového zariadenia na výrobu elektriny na základe právoplatného stavebného povolenia alebo ohlásenia stavebnému úradu o realizácii drobnej stavby alebo stavebných úprav. |
| Všeobecné ustanovenia o cenovej regulácii v oblasti podpory výroby elektriny |
| § 2 |
| Cenová regulácia v oblasti podpory výroby elektriny podľa tejto vyhlášky sa vzťahuje na |
| a) výrobu elektriny z obnoviteľných zdrojov energie a výrobu elektriny vyrobenej vysoko účinnou kombinovanou výrobou, |
| b) výrobu elektriny z domáceho uhlia na základe rozhodnutia Ministerstva hospodárstva Slovenskej republiky (ďalej len „ministerstvo hospodárstva“) o uložení povinnosti vo všeobecnom hospodárskom záujme, |
| c) výkon činnosti výkupcu elektriny. |
| § 3 |
| Cenová regulácia v oblasti podpory výroby elektriny podľa tejto vyhlášky sa vykonáva |
| a) priamym určením pevnej ceny za výrobu elektriny z obnoviteľných zdrojov energie a výrobu elektriny vyrobenej vysoko účinnou kombinovanou výrobou, |
| b) určením spôsobu výpočtu pevnej ceny za výrobu elektriny z domáceho uhlia, |
| c) určením spôsobu výpočtu maximálnej ceny za výkon činnosti výkupcu elektriny, |
| d) určením spôsobu zníženia ceny elektriny na účel predĺženia podpory so zníženou cenou elektriny podľa § 3d zákona o podpore. |
| § 4 |
| (1) Ekonomicky oprávnenými nákladmi sú náklady preukázateľne a v nevyhnutnom rozsahu vynaložené na vykonávanie regulovanej činnosti, ktorými sú |
| a) výrobné a prevádzkové náklady vrátane nákladov na energie, suroviny a technologické hmoty, |
| b) osobné náklady1) a priemerné osobné náklady na jedného zamestnanca na rok t zvýšené oproti určeným nákladom na rok t-1 najviac o výšku aritmetického priemeru zverejnených hodnôt ukazovateľa „Index nominálnej mzdy“ za obdobie od 3.Q roku t-2 po 2.Q roku t-1 zverejnených na webovom sídle Štatistického úradu Slovenskej republiky (ďalej len „štatistický úrad“), |
| c) náklady na plnenie povinností podľa osobitných predpisov;2) za ekonomicky oprávnené náklady sa považujú pri poplatkoch za znečisťovanie ovzdušia len poplatky za znečisťujúce látky vypustené do ovzdušia pri dodržaní podmienok a požiadaviek podľa osobitného predpisu3) a pri skleníkových plynoch sú ekonomicky oprávnenými nákladmi náklady maximálne do výšky 100 % na nákup emisných kvót nad množstvo bezodplatne pridelených a potrebných emisných kvót na vykonávanie regulovanej činnosti vypočítané ako množstvo spotrebovaných ton CO2 vynásobené cenou určenou ako aritmetický priemer denných cien zverejnených ako End of Day Index oficiálneho kurzového lístka zverejneného burzou EEX (European Energy Exchange) na jej webovom sídle, za produkt EU Emission Allowances - Spot Market v eurách na tony CO2 za obdobie šiestich kalendárnych mesiacov predchádzajúcich mesiacu, v ktorom sa predkladá návrh ceny alebo návrh na zmenu cenového rozhodnutia, |
| d) odpisy majetku;4) pri hmotnom majetku sa za ekonomicky oprávnené náklady považuje rovnomerné odpisovanie hmotného majetku využívaného výhradne na výkon regulovanej činnosti a pri nehmotnom majetku sa za ekonomicky oprávnené náklady považuje ročný odpis vo výške 25 % z obstarávacej ceny nehmotného majetku využívaného výhradne na výkon regulovanej činnosti, |
| e) nájomné za prenájom hmotného majetku a nehmotného majetku od tretích osôb, ktorý sa používa výhradne na regulovanú činnosť najviac vo výške odpisov podľa písmena d) priamo súvisiacich a preukázaných nákladov, |
| f) náklady na opravu a údržbu majetku využívaného na zabezpečenie regulovanej činnosti v rozsahu zabezpečujúcom výkon regulovanej činnosti okrem nákladov vynaložených na technické zhodnotenie hmotného majetku a nehmotného majetku podľa osobitného predpisu,5) |
| g) úrok z úveru poskytnutého bankou alebo pobočkou zahraničnej banky6) na obstaranie hmotného majetku alebo nehmotného majetku, ktorý sa používa výhradne na regulovanú činnosť, |
| h) úrok z úveru na zabezpečenie finančných prostriedkov na prevádzkové náklady súvisiace s činnosťou organizovania a zúčtovania podpory elektriny vyrobenej z obnoviteľných zdrojov energie a vysoko účinnou kombinovanou výrobou vykonávanou organizátorom krátkodobého trhu s elektrinou maximálne vo výške obvyklej pre porovnateľné úvery, |
| i) režijné náklady s maximálnou prípustnou mierou medziročného rastu vo výške JPI-X, kde JPI je aritmetický priemer hodnôt ukazovateľa „jadrová inflácia“ v percentách za mesiace júl až december roku t-2 a za január až jún roku t-1 zverejnených na webovom sídle štatistického úradu v časti „Jadrová a čistá inflácia - oproti rovnakému obdobiu minulého roku v %“ a X je faktor efektivity v percentách určený na regulačné obdobie, ktorého hodnota je 3,5 %; ak je
JPI < X, potom sa JPI – X = 0 a do oprávnených nákladov v roku t sa zahŕňajú režijné náklady najviac vo výške režijných nákladov roku t-1, |
| j) úrok z dlhopisu vydaného regulovaným subjektom do výšky úroku rovnajúceho sa aritmetickému priemeru hodnôt mesačných priemerov ukazovateľa 12M EURIBOR za obdobie posledných 12 mesiacov predchádzajúcich mesiacu, v ktorom sa predkladá návrh ceny, zverejnených na webovom sídle www.euribor-ebf.eu v časti Euribor rates, na zabezpečenie finančných prostriedkov na prevádzkové náklady súvisiace s nákupom elektriny na straty a úhradu doplatku podľa § 3 ods. 1 písm. c) zákona o podpore. |
| (2) Ekonomicky oprávnenými nákladmi nie sú |
| a) sankcie, |
| b) náklady spojené s nevyužitými prevádzkami a výrobnými kapacitami, |
| c) odpisy nevyužívaného dlhodobého majetku, odpisy „goodwill“ a odpisy hmotného majetku a nehmotného majetku vylúčeného z odpisovania,7) |
| d) odmeny členov štatutárneho orgánu a iných orgánov regulovaného subjektu za výkon funkcie, ktorí nie sú v pracovnoprávnom vzťahu s regulovaným subjektom, |
| e) platby poistného za poistenie zodpovednosti za škody spôsobené členmi štatutárneho orgánu a členmi iných orgánov regulovaného subjektu, |
| f) príspevky na životné poistenie, príspevky na účelové sporenie zamestnanca a príspevky na doplnkové dôchodkové sporenie,8) platené zamestnávateľom, okrem príspevkov na doplnkové dôchodkové sporenie podľa odseku 1 písm. c), |
| g) odstupné a odchodné presahujúce výšku ustanovenú v § 76 a 76a Zákonníka práce, |
| h) príspevky na stravovanie zamestnancov nad rozsah ustanovený v § 152 Zákonníka práce, |
| i) cestovné náhrady nad rozsah ustanovený osobitným predpisom,9) |
| j) tvorba sociálneho fondu nad rozsah ustanovený osobitným predpisom,10) |
| k) náklady na poskytovanie osobných ochranných pracovných prostriedkov nad rozsah ustanovený osobitným predpisom,11) |
| l) dobrovoľné poistenie osôb, |
| m) manká a škody na majetku vrátane škody zo zníženia cien nevyužiteľných zásob a likvidácie zásob, |
| n) náklady vyplývajúce z chýb vo výpočtoch, v kalkulačných prepočtoch alebo v účtovníctve, duplicitne účtované náklady, |
| o) náklady na reprezentáciu a dary, |
| p) odmeny a dary pri životných jubileách a pri odchode do dôchodku, |
| q) náklady na starostlivosť o zdravie zamestnancov a na vlastné zdravotnícke zariadenia nad rozsah ustanovený osobitným predpisom,12) |
| r) príspevky a náklady na rekreačné, regeneračné, rekondičné a ozdravné pobyty, ak povinnosť ich uhrádzania neustanovuje osobitný predpis,13) |
| s) náklady na údržbu a prevádzku školiacich zariadení a rekreačných zariadení a iných zariadení, ako aj školenia a náklady na zabezpečenie školení, ktoré nesúvisia s regulovanou činnosťou, |
| t) daň z nehnuteľnosti platená za školiace zariadenia a rekreačné zariadenia, |
| u) štipendiá poskytnuté žiakom stredných škôl a študentom, |
| v) odpis nedobytnej pohľadávky, |
| w) tvorba rezerv nad rozsah ustanovený osobitným predpisom,14) |
| x) rozdiely zo zmien použitých účtovných metód a účtovných zásad,15) |
| y) tvorba opravných položiek, |
| z) náklady vynaložené na odstránenie nedostatkov zistených pri kolaudačnom konaní, |
| aa) náklady spojené s prípravou a zabezpečením nerealizovanej investičnej výstavby, |
| ab) straty z predaja dlhodobého majetku a zásob, |
| ac) zostatková cena predaného alebo vyradeného hmotného majetku a nehmotného majetku, |
| ad) náklady na reklamu alebo propagáciu uskutočňovanú formou podpory športových, kultúrnych a zábavných podujatí a iných činností, |
| ae) spotreba pohonných látok nad rozsah ustanovený osobitným predpisom,16) |
| af) náklady na výkon regulovanej činnosti, ktoré sú vyššie ako náklady zistené kontrolou úradu na základe overovania primeranosti vynaložených nákladov podľa § 31 ods. 3 písm. d) zákona o regulácii, ktorá je zabezpečovaná regulovaným subjektom, iným ako regulovaným subjektom alebo subjektom, ktorý je alebo bol súčasťou vertikálne integrovaného podniku,17) |
| ag) straty z obchodov s finančnými derivátmi a komoditnými derivátmi, |
| ah) náklady na náhradu škody, ktorá vznikla v dôsledku protiprávneho konania regulovaného subjektu, |
| ai) vyplatené kompenzačné platby podľa osobitného predpisu,18) |
| aj) náklady na spätný dokup elektriny a náklady spojené so spätným dokupom elektriny pri výrobe elektriny z domáceho uhlia, |
| ak) ďalšie náklady neuvedené v odseku 1. |
| (3) Na účely § 8 ods. 3 písm. c) ekonomicky oprávnenými nákladmi nie sú najmä náklady na obstaranie alebo opravu oplotenia, prevádzkové náklady, náklady na úpravu areálu, náklady na zabezpečenie strážnej služby, náklady na obstaranie alebo opravu kamerového systému, náklady na obstaranie alebo opravu osvetlenia areálu, náklady na výmenu viac ako 49 % z celkového počtu fotovoltických panelov, náklady na opravu alebo úpravu priehradného múru. |
| § 5 |
| (1) Peňažné hodnoty sa na účely výpočtu cien matematicky zaokrúhľujú na štyri desatinné miesta. |
| (2) Ceny podľa tejto vyhlášky sú uvádzané bez dane z pridanej hodnoty. |
| Cenová regulácia výroby elektriny z obnoviteľných zdrojov energie a výroby elektriny vysoko účinnou kombinovanou výrobou a podmienky uplatňovania cien a niektoré podmienky vykonávania regulovaných činností |
| § 6 |
| (1) Cenová regulácia podľa odsekov 2 až 20 a podľa § 7 až 10 sa vzťahuje na výrobcu elektriny, ktorý vyrába elektrinu z obnoviteľných zdrojov energie a vysoko účinnou kombinovanou výrobou (ďalej len „výrobca elektriny“). |
| (2) Súčasťou návrhu ceny výrobcu elektriny sú |
| a) návrh ceny výrobcu elektriny, |
| b) výpočty a údaje podľa § 7 až 10 týkajúce sa výroby elektriny vyrobenej z obnoviteľných zdrojov energie a vysoko účinnou kombinovanou výrobou, |
| c) ďalšie podklady potrebné na správne posúdenie návrhu ceny. |
| (3) Podklady podľa odseku 2 sa predkladajú v listinnej podobe a na vyžiadanie aj v elektronickej podobe elektronickým podaním do elektronickej schránky.19) |
| (4) Ustanovenia o návrhu ceny sa primerane vzťahujú aj na návrh na zmenu cenového rozhodnutia. |
| (5) Pri spoločnom spaľovaní biomasy, bioplynu, skládkového plynu, plynu z čističiek odpadových vôd alebo biometánu s inými druhmi paliva sa množstvo elektriny vyrobenej z obnoviteľných zdrojov energie určuje percentuálnym podielom množstva tepla z biomasy, skládkového plynu, plynu z čističiek odpadových vôd, bioplynu alebo biometánu v celkovom množstve tepla použitého na výrobu tepla a elektriny vypočítaného na základe predložených dokladov podľa osobitného predpisu.20) |
| (6) Pri spaľovaní priemyselných odpadov a komunálnych odpadov je množstvo elektriny vyrobenej z obnoviteľných zdrojov energie určené percentuálnym podielom množstva tepla z biologicky rozložiteľných látok odpadu a celkového množstva tepla vyrobeného z týchto odpadov použitého na výrobu tepla a elektriny. |
| (7) Ak je pri výrobe elektriny vysoko účinnou kombinovanou výrobou palivom výlučne obnoviteľný zdroj energie, na všetku elektrinu vyrobenú v tejto technológii sa použije len jeden zo spôsobov určenia ceny elektriny podľa § 6 ods. 1 písm. a) zákona o podpore a podľa § 10. |
| (8) S návrhom ceny pre nové zariadenie výrobcu elektriny sa okrem podkladov podľa odseku 2 predkladá aj |
| a) osvedčenie na výstavbu energetického zariadenia,21) ak bolo pri výstavbe zariadenia potrebné, |
| b) právoplatné kolaudačné rozhodnutie alebo písomné oznámenie stavebného úradu, že proti uskutočneniu drobnej stavby alebo stavebných úprav nemá námietky, ak je zariadenie výrobcu elektriny drobnou stavbou alebo ide o stavebné úpravy, |
| c) doklad o vykonaní funkčnej skúšky podľa § 5 ods. 7 zákona o podpore, |
| d) jednopólová elektrická schéma zariadenia výrobcu elektriny a vyvedenia elektrického výkonu vrátane umiestnenia určených meradiel a účelu merania podľa osobitného predpisu,22) |
| e) kópia zmluvy o pripojení zariadenia výrobcu elektriny k priamemu vedeniu, do distribučnej sústavy alebo do prenosovej sústavy; ak je zariadenie výrobcu elektriny pripojené do miestnej distribučnej sústavy, ktorá je pripojená do regionálnej distribučnej sústavy priamo alebo prostredníctvom jednej alebo viacerých miestnych distribučných sústav, predkladá sa s návrhom ceny aj potvrdenie vydané prevádzkovateľom regionálnej distribučnej sústavy o zmluvne dohodnutom pripojení miestnej distribučnej sústavy do regionálnej distribučnej sústavy podľa § 40 ods. 1 zákona o regulácii. |
| (9) Súčasťou návrhu ceny výrobcu elektriny sú údaje o každom zariadení výrobcu elektriny, a to |
| a) údaje za predchádzajúci kalendárny rok, predpoklad na nasledujúce kalendárne roky a údaje podľa prílohy č. 1 o |
| 1. celkovom množstve elektriny vyrobenej v zariadení výrobcu elektriny, |
| 2. množstve technologickej vlastnej spotreby elektriny podľa § 2 ods. 3 písm. a) zákona o podpore, |
| 3. množstve elektriny, na ktoré sa vzťahuje doplatok podľa § 4 ods. 1 písm. c) zákona o podpore, |
| 4. množstve vyrobenej elektriny dodanej výkupcovi elektriny na základe zmluvy o povinnom výkupe elektriny podľa § 4 ods. 1 písm. b) zákona o podpore, |
| b) údaje o |
| 1. spôsobe merania vyrobenej elektriny na svorkách každého generátora elektriny a meraní vlastnej spotreby elektriny pri výrobe elektriny, |
| 2. plánovanom množstve biometánu použitého v roku t na výrobu elektriny, ktoré výrobca elektriny preukazuje zmluvami o dodávke biometánu uzatvorenými s výrobcami biometánu a potvrdeniami o pôvode biometánu príslušných výrobcov biometánu, ak je elektrina vyrábaná kombinovanou výrobou spaľovaním alebo spoluspaľovaním biometánu, |
| 3. podpore poskytnutej z prostriedkov štátneho rozpočtu vyjadrené v percentách z celkových obstarávacích nákladov na výstavbu zariadenia na výrobu elektriny, |
| 4. hodnote celkových obstarávacích nákladov na výstavbu zariadenia na výrobu elektriny, ako aj údaje o týchto nákladoch v členení na celkovú technologickú časť stavby a stavebnú časť stavby zariadenia na výrobu elektriny, |
| 5. druhu zdroja výroby elektriny alebo tepla, |
| 6. spôsobe využitia tepla. |
| (10) S návrhom ceny pre zariadenie výrobcu elektriny z dôvodu rekonštrukcie alebo modernizácie technologickej časti zariadenia výrobcu elektriny sa okrem podkladov podľa odseku 2 predkladajú aj tieto doklady preukazujúce uskutočnenie rekonštrukcie alebo modernizácie technologickej časti zariadenia výrobcu elektriny a náklady na rekonštrukciu alebo modernizáciu technologickej časti zariadenia výrobcu elektriny: |
| a) popis rekonštrukcie alebo modernizácie technologickej časti zariadenia výrobcu elektriny, |
| b) faktúry za realizáciu rekonštrukcie alebo modernizácie technologickej časti zariadenia výrobcu elektriny, |
| c) celkové náklady v eurách na rekonštrukciu alebo modernizáciu technologickej časti zariadenia výrobcu elektriny, |
| d) znalecký posudok preukazujúci splnenie podmienok rekonštrukcie alebo modernizácie technologickej časti zariadenia výrobcu elektriny podľa § 3c ods. 1 zákona o podpore, v ktorom je uvedené aj zhodnotenie primeranosti nákladov vynaložených na rekonštrukciu alebo modernizáciu technologickej časti zariadenia výrobcu elektriny a dátum, kedy bola rekonštrukcia alebo modernizácia technologickej časti zariadenia výrobcu elektriny ukončená, ak sa kolaudácia stavby nevyžaduje, |
| e) kópia zmluvy o pripojení zariadenia výrobcu elektriny k priamemu vedeniu, do distribučnej sústavy alebo do prenosovej sústavy; ak je zariadenie výrobcu elektriny pripojené do miestnej distribučnej sústavy, ktorá je pripojená do regionálnej distribučnej sústavy priamo alebo prostredníctvom jednej alebo viacerých miestnych distribučných sústav, s návrhom ceny predkladanej výrobcom elektriny sa predkladá aj potvrdenie vydané prevádzkovateľom regionálnej distribučnej sústavy o zmluvne dohodnutom pripojení miestnej distribučnej sústavy do regionálnej distribučnej sústavy podľa § 40 ods. 1 zákona o regulácii, |
| f) doklady preukazujúce poskytnutie podpory z prostriedkov štátneho rozpočtu na rekonštrukciu alebo modernizáciu technologickej časti zariadenia na výrobu elektriny alebo vyhlásenie o tom, že podpora z prostriedkov štátneho rozpočtu nebola poskytnutá. |
| (11) Cena elektriny pre zariadenie výrobcu elektriny z dôvodu rekonštrukcie alebo modernizácie technologickej časti zariadenia na výrobu elektriny podľa termínu rekonštrukcie alebo modernizácie technologickej časti zariadenia na výrobu elektriny sa určí na rok t podľa § 10 a znižuje sa podľa § 6 ods. 8 zákona o podpore. |
| (12) Ak pri výstavbe, rekonštrukcii alebo modernizácii technologickej časti zariadenia výrobcu elektriny bola poskytnutá podpora z podporných programov financovaných z prostriedkov štátneho rozpočtu podľa § 6 ods. 11 zákona o podpore, pri výpočte ceny elektriny sa investičné náklady znižujú o výšku poskytnutej podpory z podporných programov financovaných z prostriedkov štátneho rozpočtu. |
| (13) Cena elektriny sa určí pre obvyklú mieru návratnosti investície najmenej 12 rokov a príslušnú technológiu obnoviteľného zdroja energie a vysoko účinnej kombinovanej výroby, pričom pri jej určení sa zohľadňuje |
| a) priemerný inštalovaný výkon technológie výroby elektriny podľa druhu zariadenia výrobcu elektriny, |
| b) množstvo vyrobenej elektriny vyplývajúce z priemerného inštalovaného výkonu podľa druhu zariadenia výrobcu elektriny, |
| c) investičné náklady so započítaním vlastného kapitálu a cudzieho kapitálu, |
| d) predpokladané úroky z 50 % investičného úveru so splatnosťou úveru do 10 rokov, |
| e) primeraný zisk, |
| f) rovnomerné odpisy, |
| g) osobné náklady, prevádzkové náklady a režijné náklady, |
| h) výška podpory poskytnutej z podporných programov financovaných z prostriedkov štátneho rozpočtu. |
| (14) Referenčné hodnoty investičných nákladov na obstaranie novej porovnateľnej technologickej časti zariadenia výrobcu elektriny na rok t v členení podľa jednotlivých technológií výroby elektriny podľa § 2 ods. 1 písm. a) a podľa § 2 ods. 2 písm. a) zákona o podpore sa zverejňujú na webovom sídle úradu najneskôr do 31. októbra roka t-1. |
| (15) Pre doterajších výrobcov elektriny sa cena elektriny vyrobenej z obnoviteľných zdrojov energie na účely určenia alebo schválenia ceny elektriny pre stanovenie doplatku na rok t určí na obdobie celej dĺžky podpory doplatkom podľa § 3 ods. 1 písm. c) zákona o podpore na základe cenového rozhodnutia pre rok t-1 a potvrdenia o pôvode elektriny z obnoviteľných zdrojov energie podľa § 7 zákona o podpore okrem výrobcov elektriny s nárokom na korekciu podľa § 7 ods. 1 písm. b), ktorým sa určí cena len na obdobie roku t. Pre nových výrobcov elektriny z obnoviteľných zdrojov energie uvedených do prevádzky v roku t, ktorí predložia návrh ceny na rok t v priebehu roka t a vyrábajú elektrinu spôsobom podľa § 7 ods. 3 písm. b) zákona o podpore, sa cena elektriny podľa prvej vety uplatní na základe cenového rozhodnutia na rok t. Ak doterajší výrobca elektriny nemá na rok t-1 vydané cenové rozhodnutie, cena elektriny podľa § 6 ods. 1 písm. a) zákona o podporena rok t sa určí vo výške, na ktorú by mal výrobca elektriny v roku t-1 právo. |
| (16) Pre doterajších výrobcov elektriny sa cena elektriny vyrobenej vysoko účinnou kombinovanou výrobou na účely určenia alebo schválenia ceny elektriny pre stanovenie doplatku na rok t určí na obdobie celej dĺžky podpory doplatkom podľa § 3 ods. 1 písm. c) zákona o podpore na základe cenového rozhodnutia pre rok t-1 a potvrdenia o pôvode elektriny vyrobenej vysoko účinnou kombinovanou výrobou za rok t-2 okrem výrobcov elektriny, s nárokom na korekciu podľa § 7 ods. 1 písm. b), ktorým sa určí cena len na obdobie roku t. Pre nových výrobcov elektriny vyrobenej vysoko účinnou kombinovanou výrobou v zariadeniach uvedených do prevádzky v roku t, ktorí predložia návrh ceny na rok t v priebehu roka t, sa cena elektriny podľa prvej vety uplatní na základe cenového rozhodnutia na rok t. Ak doterajší výrobca elektriny nemá na rok t-1 vydané cenové rozhodnutie, cena elektriny podľa § 6 ods. 1 písm. a) zákona o podpore na rok t sa určí vo výške, na ktorú by mal výrobca elektriny v roku t-1 právo. |
| (17) Ak sa v zariadení výrobcu elektriny spoločne spaľuje biomasa alebo biokvapalina s fosílnymi palivami, cena elektriny vyrobenej z obnoviteľných zdrojov sa uplatní na množstvo elektriny určené podľa odseku 5 a zároveň vyrobené kombinovanou výrobou. Ak sa pre toto zariadenie výrobcu elektriny uplatňuje aj cena elektriny vyrobenej vysoko účinnou kombinovanou výrobou, uplatní sa najviac na množstvo elektriny vypočítané ako rozdiel celkového množstva elektriny vyrobenej kombinovanou výrobou a množstva elektriny, na ktoré sa uplatnila cena elektriny podľa prvej vety. |
| (18) Ak sa zmení výrobca elektriny, ktorý prevádzkuje zariadenie výrobcu elektriny, s návrhom ceny sa predkladá aj kópia zmluvy o pripojení zariadenia výrobcu elektriny k priamemu vedeniu, do distribučnej sústavy alebo do prenosovej sústavy. |
| (19) Odo dňa skončenia podpory doplatkom podľa § 3 ods. 1 písm. c) zákona o podpore pre zariadenie výrobcu elektriny sa neuplatňuje spôsob výpočtu ceny vykupovanej elektriny, postup a podmienky uplatňovania cien podľa § 11. |
| (20) Ak výrobca elektriny predkladá návrh ceny prvýkrát, podmienkou vydania cenového rozhodnutia je právoplatné povolenie na podnikanie v energetike23) alebo potvrdenie o splnení oznamovacej povinnosti.24) |
| § 7 |
| Určenie korekcie zohľadňujúcej vývoj ceny primárneho paliva a emisných kvót |
| (1) Cena elektriny podľa § 6 ods. 1 písm. a) zákona o podpore na rok t v eurách na jednotku množstva elektriny za elektrinu vyrobenú i-tou technológiou j-tého zariadenia výrobcu elektriny CEPSDit,j sa pre výrobcu elektriny vypočíta podľa vzorca |
| 
|
| pričom ak
je menej ako nula, potom CEPSDit,j = CEPSDiz,j, to neplatí pre zariadenia výrobcov elektriny uvedené do prevádzky od 1. marca 2013, |
| kde |
| a) CEPSDiz,j je určená alebo schválená cena elektriny podľa § 6 ods. 1 písm. a) zákona o podpore na rok Z vyrobenej i-tou technológiou j-tého zariadenia výrobcu elektriny na základe roku uvedenia zariadenia výrobcu elektriny do prevádzky alebo poslednej uplatnenej rekonštrukcie alebo modernizácie technologickej časti zariadenia na výrobu elektriny v eurách na jednotku množstva elektriny, |
| b) Pznit je korekcia v eurách na jednotku množstva elektriny na rok t uplatňovaná podľa odseku 4 a na základe výpočtu podľa odseku 3, |
| c) rok Z je rok uvedenia zariadenia výrobcu elektriny do prevádzky alebo rok poslednej uplatnenej rekonštrukcie alebo modernizácie technologickej časti zariadenia na výrobu elektriny, |
| d) PCO2i2024 je korekcia na emisné kvóty v eurách na jednotku množstva elektriny na rok 2024 pre výrobcov, ktorí sú účastníkom systému obchodovania s emisnými kvótami skleníkových plynov a vykonávajú činnosť podľa osobitného predpisu,25) vypočíta sa podľa odseku 7, |
| e) PCO2it je korekcia na emisné kvóty v eurách na jednotku množstva elektriny na rok t pre výrobcov, ktorí sú účastníkom systému obchodovania s emisnými kvótami skleníkových plynov a vykonávajú činnosť podľa osobitného predpisu,25) vypočíta sa podľa odseku 8. |
| (2) Cena elektriny podľa § 6 ods. 1 písm. d) zákona o podpore na rok t v eurách na jednotku množstva elektriny za elektrinu vyrobenú i-tou technológiou j-tého zariadenia výrobcu elektriny CEPSPit,j sa pre výrobcu elektriny vypočíta podľa vzorca |
| 
|
| pričom ak
je menej ako nula, potom CEPSPit,j = CEPSPiz,j, |
| kde |
| a) CEPSPiz,j je cena elektriny pre stanovenie príplatku na rok Z vyrobenej i-tou technológiou j-tého zariadenia výrobcu elektriny na základe roku uvedenia zariadenia výrobcu elektriny do prevádzky alebo poslednej uplatnenej rekonštrukcie alebo modernizácie technologickej časti zariadenia na výrobu elektriny v eurách na jednotku množstva elektriny, |
| b) Pznit je korekcia v eurách na jednotku množstva elektriny na rok t uplatňovaná v hodnote podľa odseku 4; Pznit sa vypočíta podľa odseku 3, |
| c) rok Z je rok uvedenia zariadenia výrobcu elektriny do prevádzky alebo rok poslednej uplatnenej rekonštrukcie alebo modernizácie technologickej časti zariadenia na výrobu elektriny, |
| d) PCO2i2024 je korekcia na emisné kvóty v eurách na jednotku množstva elektriny na rok 2024 pre výrobcov, ktorí sú účastníkom systému obchodovania s emisnými kvótami skleníkových plynov a vykonávajú činnosť podľa osobitného predpisu25), vypočíta sa podľa odseku 7, |
| e) PCO2it je korekcia na emisné kvóty v eurách na jednotku množstva elektriny na rok t pre výrobcov, ktorí sú účastníkom systému obchodovania s emisnými kvótami skleníkových plynov a vykonávajú činnosť podľa osobitného predpisu25), vypočíta sa podľa odseku 8. |
| (3) Korekcia Pznit v eurách na jednotku množstva elektriny na rok t pre i-té technológie výroby elektriny s primárnymi palivami podľa odseku 5 zohľadňujúca výrazné zvýšenie alebo zníženie ceny vstupných surovín, ktoré sa použili na výrobu elektriny i-tou technológiou na výrobu elektriny z obnoviteľných zdrojov energie alebo výrazné zvýšenie alebo zníženie ceny vstupných surovín, ktoré sa použili na výrobu elektriny z neobnoviteľných zdrojov energie i-tou technológiou na výrobu elektriny vysoko účinnou kombinovanou výrobou, sa vypočíta podľa vzorca |
| a) pre rok t = 2024 |
| 
|
| kde |
| 1. NCPPit je určená nákupná cena primárneho paliva pre i-tú technológiu výroby elektriny v eurách na jednotku množstva v roku t; primerane sa zohľadní využiteľnosť primárneho paliva použiteľného pri výrobe elektriny v i-tej technológii, |
| 2. QPPi1MWh,t–1 je množstvo primárneho paliva v jednotkách množstva zodpovedajúceho 1 MWh i-tej technológie výroby elektriny v roku t-1, ktoré sa vypočíta podľa vzorca |
| 
|
| 3. VPPit–1 je určená výhrevnosť primárneho paliva pre i-tú technológiu výroby elektriny v megawatthodinách na jednotku množstva v roku t-1, |
| 4. NCPPit–n–1 je určená nákupná cena primárneho paliva pre i-tú technológiu výroby elektriny v eurách na jednotku množstva v roku t-n-1; primerane sa zohľadní využiteľnosť primárneho paliva použiteľného pri výrobe elektriny v i-tej technológii |
| 5. QPPi1MWh,t–n–1 je množstvo primárneho paliva v jednotkách množstva zodpovedajúceho 1 MWh i-tej technológie výroby elektriny v roku t-n-1, ktoré sa vypočíta podľa vzorca |
| 
|
| 6. VPPit–n–1 je určená výhrevnosť primárneho paliva pre i-tú technológiu výroby elektriny v megawatthodinách na jednotku množstva v roku t-n-1, |
| 7. NCPPi2023 je určená nákupná cena primárneho paliva pre i-tú technológiu výroby elektriny v eurách na jednotku množstva v roku t = 2023; primerane sa zohľadní využiteľnosť primárneho paliva použiteľného pri výrobe elektriny v i-tej technológii, |
| 8. QPPi1MWh,2023 je množstvo primárneho paliva v jednotkách množstva zodpovedajúceho 1 MWh i-tej technológie výroby elektriny v roku t = 2023, ktoré sa vypočíta podľa vzorca |
| |
| 9. VPPi2023 je určená výhrevnosť primárneho paliva pre i-tú technológiu výroby elektriny v megawatthodinách na jednotku množstva v roku 2023, |
| 10. NCPPi2022 je určená nákupná cena primárneho paliva pre i-tú technológiu výroby elektriny v eurách na jednotku množstva v roku t = 2022; primerane sa zohľadní využiteľnosť primárneho paliva použiteľného pri výrobe elektriny v i-tej technológii, |
| 11. QPPi1MWh,2022 je množstvo primárneho paliva v jednotkách množstva zodpovedajúceho 1 MWh i-tej technológie výroby elektriny v roku t = 2022, ktoré sa vypočíta podľa vzorca |
| |
| 12. VPPi2022 je určená výhrevnosť primárneho paliva pre i-tú technológiu výroby elektriny v megawatthodinách na jednotku množstva v roku 2022 |
| 13. n je počet rokov medzi rokom t a rokom, na ktorý bola naposledy uplatnená korekcia Pznit, |
| 14. rit je koeficient, ktorý zohľadňuje rozloženie hodnoty nákladov na primárne palivo i-tej technológie od poslednej uplatnenej korekcie, ktorý sa uplatní počas obdobia rokov 2024 až 2026, |
| b) pre roky t = 2025 a t = 2026 |
| 
|
| kde |
| 1. NCPPit–n je určená nákupná cena primárneho paliva pre i-tú technológiu výroby elektriny v eurách na jednotku množstva v roku t-n; primerane sa zohľadní využiteľnosť primárneho paliva použiteľného pri výrobe elektriny v i-tej technológii, |
| c) pre rok t = 2027 |
| 
|
| d) pre ďalšie roky
 |
| (4) Korekcia Pznit vypočítaná podľa odseku 3 sa uplatní na rok t, ak je hodnota zmeny väčšia ako 8 % zo súčinu nákupnej ceny NCPPit–n a množstva primárneho paliva QPPi1MWh,t–n–1 určených podľa odseku 3. |
| (5) Hodnota korekcie Pznit v eurách na jednotku množstva elektriny vypočítaná podľa odseku 3 písm. a) je uvedená v prílohe č. 2. Hodnota korekcie Pznit v eurách na jednotku množstva elektriny vypočítaná podľa odseku 3 písm. b), c) a d) pre i-té technológie výroby elektriny sa zverejňuje každoročne na webovom sídle úradu najneskôr do 31. júla roku
t-1. |
| (6) Ak má výrobca elektriny na rok t-1 určenú alebo schválenú cenu elektriny CEPSDiz,j a zároveň si uplatňuje na rok t cenu elektriny podľa § 6 ods. 1 písm. a) zákona o podpore na základe rekonštrukcie alebo modernizácie technologickej časti zariadenia na výrobu elektriny, táto cena elektriny sa na rok t určí podľa § 6 ods. 11. |
| (7) Korekcia na emisné kvóty v eurách na jednotku množstva elektriny na rok t = 2024 sa vypočíta ako pomerné náklady vynaložené na výrobu elektrickej energie kombinovanou výrobou podľa vzorca
|
| CO22024 = NCP2024 × EF2021 × k, |
| kde |
| a) NCP2024 je cena povoleniek v eurách na tonu CO2 určená ako aritmetický priemer denných uzatváracích cien (settlement price) oficiálneho kurzového lístka zverejneného burzou EEX (European Energy Exchange) na jej webovom sídle za produkt EUAA FUTURES DEC/24 v eurách na tonu CO2 za obdobie od 1. januára roku 2023 do 30. júna roku 2023, |
| b) EF2021 je priemerný emisný faktor na rok 2021 v tonách CO2 na jednotku množstva elektriny pre palivá spaľované v zariadeniach, zohľadňujúci priemerné hodnoty emisných faktorov a výhrevnosti vybraných palív za Slovenskú republiku použitých pri energetickej bilancii emisií skleníkových plynov určené metodikou zhora nadol, ktorý je zverejnený na webovom sídle Ministerstva životného prostredia Slovenskej republiky, |
| c) k je koeficient pomernej časti výroby elektriny na celkovej vyrobenej energii v zariadení výrobcu elektriny, ktorý je pre regulačné obdobie ustanovený vo výške 0,366. |
| (8) Medziročné zvýšenie alebo zníženie korekcie na emisné kvóty na rok t = 2025 a nasledujúce roky sa vypočíta podľa vzorca
|
| PCO2t = NCPt × EFt–3 × k – NCPt–1 × EFt–4 × k, |
| kde |
| a) NCPt je cena povoleniek v eurách na tonu CO2 na rok t určená ako aritmetický priemer denných uzatváracích cien (settlement price) oficiálneho kurzového lístka zverejneného burzou EEX (European Energy Exchange) na jej webovom sídle za produkt EEX EUA FUTURES DECt v eurách na tonu CO2 za obdobie od 1. januára roku t-1 do 30. júna roku t-1, |
| b) EFt–3 je priemerný emisný faktor na rok t-3 v tonách CO2 na jednotku množstva energie pre palivá spaľované v zariadeniach, zohľadňujúci priemerné hodnoty emisných faktorov a výhrevnosti vybraných palív za Slovenskú republiku použitých pri energetickej bilancii emisií skleníkových plynov určené metodikou zhora nadol, ktorý je zverejnený na webovom sídle Ministerstva životného prostredia Slovenskej republiky, |
| c) NCPt–1 je cena povoleniek v eurách na tonu CO2 na rok t-1 určená ako aritmetický priemer denných uzatváracích cien (settlement price) oficiálneho kurzového lístka zverejneného burzou EEX (European Energy Exchange) na jej webovom sídle za produkt EEX EUA FUTURES DECt-1 v eurách na tonu CO2 za obdobie od 1. januára roku t-2 do 30. júna roku t-2, |
| d) EFt–4 je priemerný emisný faktor na obdobie t-4 v tonách CO2 na jednotku množstva energie pre palivá spaľované v zariadeniach, zohľadňujúci priemerné hodnoty emisných faktorov a výhrevnosti vybraných palív za Slovenskú republiku použitých pri energetickej bilancii emisií skleníkových plynov určené metodikou zhora nadol, ktorý je zverejnený na webovom sídle Ministerstva životného prostredia Slovenskej republiky, |
| e) k je koeficient pomernej časti výroby elektriny na celkovej vyrobenej energii v zariadení výrobcu elektriny, ktorý je pre regulačné obdobie ustanovený vo výške 0,366. |
| (9) Hodnota medziročného zvýšenia alebo zníženia korekcie na emisné kvóty PCO2t sa uplatní na rok t, ak je hodnota zmeny od poslednej uplatnenej korekcie väčšia ako 8 % zo súčinu ceny povoleniek NCPt-1, emisného faktora EFt-4 a koeficientu k, určených podľa odseku 8. |
| (10) Hodnota korekcie na emisné kvóty v eurách na jednotku množstva elektriny na rok t = 2024 sa zverejní na webovom sídle úradu najneskôr 1. októbra roku 2023. Hodnota medziročného zvýšenia alebo zníženia korekcie na emisné kvóty PCO2t v eurách na jednotku množstva elektriny sa na rok t zverejňuje na webovom sídle úradu najneskôr do 31. júla roku t-1 . |
| (11) Výrobcovi elektriny, ktorému uplynie doba podpory doplatkom podľa § 3 ods. 1 písm. c) zákona o podpore pred rokom 2027, sa korekcia Pznit vypočíta v konaní o cenovej regulácii primerane podľa § 7 ods. 3 tak, aby zohľadňovala zostávajúcu dobu trvania podpory a jej vplyv na určenie korekcie Pznit. |
| § 8 |
| Výpočet predĺženej podpory so zníženou cenou elektriny |
| (1) Cena elektriny pre stanovenie hodnoty podpory v eurách na jednotku množstva elektriny za elektrinu vyrobenú z obnoviteľných zdrojov energie pri predĺžení podpory doplatkom podľa § 3d zákona o podpore sa vypočíta podľa vzorca
|
| |
| kde |
| a) VCNR je výkupná cena elektriny pre zariadenie výrobcu elektriny s predĺženou podporou podľa § 3d zákona o podpore v eurách na jednotku množstva elektriny, |
| b) DPONR je plánovaný objem podpory pre zariadenie výrobcu elektriny v eurách počas prvého roka trvania predĺženej podpory podľa § 3d zákona o podpore; DPONR sa vypočíta podľa odseku 2, |
| c) QESR je množstvo vyrobenej elektriny s nárokom na podporu doplatkom a prevzatím zodpovednosti za odchýlku v jednotkách množstva elektriny za rok, ktoré sa vypočíta ako aritmetický priemer za posledných päť ucelených rokov prevádzky zariadenia na výrobu elektriny pred rokom vstupu do predĺženej podpory podľa § 3d zákona o podpore. |
| (2) Plánovaný objem podpory doplatkom podľa § 3 ods. 1 písm. c) zákona o podpore pre zariadenie výrobcu elektriny v eurách počas prvého roku trvania predĺženej podpory doplatkom podľa § 3d zákona o podpore DPNONR sa vypočíta podľa vzorca
|
| 
|
| kde |
| a) NPVNR je čistá súčasná hodnota podpory doplatkom podľa § 3 ods. 1 písm. c) zákona o podpore v eurách za elektrinu vyrobenú z obnoviteľných zdrojov energie s predĺžením podpory podľa § 3d zákona o podpore; NPVNR sa vypočíta podľa odseku 3, |
| b) r je ročná úroková miera vyjadrená v percentách, vypočíta sa podľa odseku 6, |
| c) d je koeficient ročnej degradácie technológie zariadenia na výrobu elektriny; pre zariadenie na výrobu elektriny zo slnečnej energie je maximálna hodnota koeficientu 0,5 % a pre zariadenia na výrobu elektriny z vodnej energie, biomasy, bioplynu, skládkového plynu alebo plynu z čističiek odpadových vôd je hodnota koeficientu nula, |
| d) z je zostávajúca doba predĺženej podpory podľa § 3d zákona o podpore, zaokrúhlená na šesť desatinných miest, pričom |
| |
| kde |
| 1. n je zostávajúca doba trvania súčasného režimu podpory doplatkom podľa § 3 ods. 1 písm. c) zákona o podpore pre zariadenie výrobcu elektriny z obnoviteľných zdrojov energie, vyjadrená v rokoch zaokrúhlená na tri desatinné miesta, ktorá začína prvým dňom kalendárneho roka nasledujúceho po kalendárnom roku, v ktorom sa rozhoduje o znížení ceny elektriny a končí dňom dátumu uplatnenia nároku na podporu u zúčtovateľa podpory navýšenej o 15 rokov, najneskôr však do 31. decembra 2033, |
| 2. p je doba predĺženia podpory podľa § 3d zákona o podpore rovnajúca sa piatim rokom, ak je podporu možné predĺžiť najneskôr do 31. decembra 2033. |
| (3) Čistá súčasná hodnota podpory doplatkom podľa § 3 ods. 1 písm. c) zákona o podpore v eurách za elektrinu vyrobenú z obnoviteľných zdrojov energie s predĺžením podpory podľa § 3d zákona o podpore NPVNR sa vypočíta podľa vzorca
|
| NPVNR = NPVSR × k + NAKL, |
| kde |
| a) NPVSR je čistá súčasná hodnota podpory doplatkom podľa § 3 ods. 1 písm. c) zákona o podpore v eurách za elektrinu vyrobenú z obnoviteľných zdrojov energie v súčasnom režime podpory, ktorá sa vypočíta podľa odseku 4, |
| b) k je koeficient zohľadňujúci rok vstupu zariadenia výrobcu elektriny do predĺženej podpory podľa § 3d zákona o podpore, ktorý sa na roky 2021 a 2022 ustanovuje vo výške 1,02 a na rok 2023 a nasledujúce roky sa ustanovuje vo výške 1,00, |
| c) NAKL je suma ekonomicky oprávnených nákladov na opravu alebo úpravu technologickej časti zariadenia výrobcu elektriny na účel predĺženia jeho prevádzkyschopnosti v eurách vynaložených najneskôr v prvých piatich rokoch po roku vstupu do predĺženej podpory podľa § 3d zákona o podpore, ktorá sa vypočíta podľa vzorca |
| 
|
| kde |
| 1. NAKLiUPR sú ekonomicky oprávnené náklady na nevyhnutnú opravu alebo úpravu technologickej časti zariadenia výrobcu elektriny v eurách na účel predĺženia jeho prevádzkyschopnosti počas zostávajúcej a predĺženej doby podpory vynaložené v i-tom roku nasledujúcom po roku vstupu do predĺženej podpory podľa § 3d zákona o podpore, pričom |
| 
|
| kde |
| 1a. S je hodnota investičných nákladov na obstaranie novej porovnateľnej technologickej časti zariadenia výrobcu elektriny najviac vo výške 15 %, |
| 1b. INV je hodnota investičných nákladov novej porovnateľnej technológie časti zariadenia výrobcu elektriny v eurách zverejnená pre nasledujúci rok na webovom sídle úradu a aktualizovaná najneskôr do 20. augusta kalendárneho roka. |
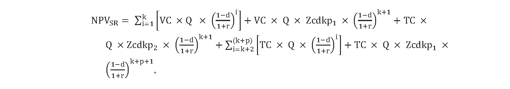
| (4) Čistá súčasná hodnota podpory doplatkom podľa § 3 ods. 1 písm. c) zákona o podpore v eurách za elektrinu vyrobenú z obnoviteľných zdrojov energie v zostávajúcej časti súčasného režimu podpory doplatkom podľa § 3 ods. 1 písm. c) zákona o podpore a v dobe predĺženia podpory podľa § 3d zákona o podpore NPVSR sa vypočíta podľa vzorca |
| 
|
| kde |
| a) VC je cena elektriny vyrobenej z obnoviteľných zdrojov energie, ktorá je určená alebo schválená úradom v súčasnom režime podpory doplatkom podľa § 3 ods. 1 písm. c) zákona o podpore v eurách na jednotku množstva elektriny, |
| b) Q je množstvo vyrobenej elektriny s nárokom na podporu výkupom elektriny podľa § 3 ods. 1 písm. b) zákona o podpore a prevzatím zodpovednosti za odchýlku podľa § 3 ods. 1 písm. d) zákona o podpore v režime prenesenej zodpovednosti za odchýlku v jednotkách množstva elektriny za rok, ktoré sa vypočíta ako aritmetický priemer za posledných päť ucelených rokov prevádzky zariadenia výrobcu elektriny pred rokom vstupu do predĺženej podpory podľa § 3d zákona o podpore, |
| c) TC je trhová cena elektriny v eurách na jednotku množstva elektriny vypočítaná ako aritmetický priemer cien ročných forwardov elektriny F PXE SK BL na najbližšie tri ucelené kalendárne roky predĺženej podpory podľa § 3d zákona o podpore, zobchodovaných na burze PXE (POWER EXCHANGE CENTRAL EUROPE) za obdobie posledných 12 kalendárnych mesiacov pred začatím konania o cenovej regulácii, ktorá sa každoročne zverejňuje pre nasledujúci kalendárny rok na webovom sídle úradu do 20. augusta kalendárneho roka, |
| d) k je počet zostávajúcich rokov trvania súčasného režimu podpory doplatkom podľa § 3 ods. 1 písm. c) zákona o podpore pre zariadenie výrobcu elektriny z obnoviteľných zdrojov energie, ktorý začína kalendárnym rokom nasledujúcim po kalendárnom roku, v ktorom sa rozhoduje o znížení ceny elektriny, zaokrúhlený na celé čísla nadol, |
| e) Zcdkp1 je pomerná časť kalendárného roka, v ktorom končí súčasný režim podpory doplatkom podľa § 3 ods. 1 písm. c) zákona o podpore, začínajúca prvým dňom tohto kalendárneho roka a končiaca dňom skončenia súčasnej doby podpory, v pomere oproti celému kalendárnému roku, v ktorom končí súčasný režim podpory, |
| f) Zcdkp2 je pomerná časť kalendárného roka, v ktorom končí súčasný režim podpory doplatkom podľa § 3 ods. 1 písm. c) zákona o podpore, začínajúca dňom nasledujúcom po dni skončenia súčasnej doby podpory a končiaca 31. decembra tohto roka, v pomere oproti celému kalendárnému roku, v ktorom končí súčasný režim podpory, ktorá sa vypočíta podľa vzorca
|
| Zcdkp2 = 1 – Zcdkp1. |
| (5) Ak pri preverení skutočne vynaložených nákladov na nevyhnutnú opravu alebo úpravu technologickej časti zariadenia výrobcu elektriny v eurách na účel predĺženia jeho prevádzkyschopnosti počas zostávajúcej podpory doplatkom podľa § 3 ods. 1 písm. c) zákona o podpore a predĺženej doby podpory podľa § 3d zákona o podpore, ktoré mali byť vynaložené najneskôr v prvých piatich rokoch po roku vstupu do predĺženej podpory podľa § 3d zákona o podpore, nedôjde k ich investovaniu vo výške podľa cenového rozhodnutia, na základe kontrolných zistení sa určí výška nákladov, ktoré sa vracajú zúčtovateľovi podpory. |
| (6) Ročná úroková miera r sa vypočíta podľa vzorca |
| 
|
| kde |
| a) T je sadzba dane z príjmov právnických osôb v roku t v percentách, |
| b) WE je podiel vlastného kapitálu na celkovej kapitalizácii regulovaného subjektu v percentách; WE sa ustanovuje vo výške 40 %, |
| c) WD je podiel cudzieho kapitálu na celkovej kapitalizácii regulovaného subjektu v percentách; WD sa ustanovuje vo výške 60 %, |
| d) RDP sú náklady na cudzí kapitál vyjadrené priemernou výškou úverov nad 1 000 000 eur poskytnutých nefinančným spoločnostiam za obdobie rokov 2010 až 2020; RDP sa ustanovuje vo výške 2,89 %, |
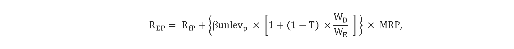
| e) REP sú náklady na vlastný kapitál, ktoré sa vypočítajú podľa vzorca |
| 
|
| kde |
| 1. RfP je bezriziková výnosová miera vyjadrená ako základná sadzba pre výpočet referenčnej a diskontnej sadzby určená Európskou komisiou od 1. januára 2021 vo výške - 0,45 % zvýšená o 100 bázických bodov; RfP sa ustanovuje vo výške 0,55 %, |
| 2. βunlevp je beta koeficient vyjadrujúci systematické riziko a citlivosť odvetvia výroby elektriny z obnoviteľných zdrojov na zmenu trhu; βunlevp sa ustanovuje vo výške 0,69, |
| 3. MRP je trhová riziková prirážka za trhové riziko, ktoré udáva o koľko je očakávaná výnosnosť vlastného kapitálu vyššia ako výnos z bezrizikovej investície; MRP sa ustanovuje vo výške 5,54 %. |
| (7) Ročná úroková miera r je 6,24 %. Ak bude odchýlka v niektorom z parametrov r vyššia ako 10 %, určí sa nová ročná úroková miera, ktorá sa zverejňuje pre nasledujúci rok na webovom sídle úradu do 20. augusta kalendárneho roka. |
| (8) Pri určení ceny elektriny podľa § 6 ods. 1 písm. a) zákona o podpore pri predĺžení podpory doplatkom so zníženou cenou elektriny podľa § 3d zákona o podpore na kalendárny rok nasledujúci po kalendárnom roku, v ktorom sa rozhoduje o znížení ceny elektriny, sa zohľadnia hodnoty podľa odseku 3 písm. c) bodu 1b., odseku 6 písm. c) a odseku 7 zverejnené na webovom sídle úradu v roku t-1. |
| (9) Pri určení ceny elektriny podľa § 6 ods. 1 písm. a) zákona o podpore pre výrobcu elektriny, ktorému sa skončí podpora výkupom elektriny výkupcom elektriny za cenu vykupovanej elektriny § 3 ods. 1 písm. b) zákona o podpore a podpora prevzatím zodpovednosti za odchýlku výkupcom elektriny § 3 ods. 1 písm. d) zákona o podpore pred uplynutím predĺženej podpory doplatkom so zníženou cenou elektriny podľa § 3d zákona o podpore sa odseky 1 až 8 použijú primerane. |
| (10) Cena elektriny podľa § 6 ods. 1 písm. a) zákona o podpore pri predĺžení podpory doplatkom podľa § 3d zákona o podpore určená alebo schválená úradom pre zariadenie výrobcu elektriny podľa odsekov 1 až 8 je nižšia ako pôvodná cena elektriny. |
| (11) Ak výrobca elektriny z obnoviteľných zdrojov energie žiada o predĺženie podpory doplatkom podľa § 3d zákona o podpore, súčasťou návrhu ceny alebo návrhu na zmenu cenového rozhodnutia sú aj |
| a) údaje podľa prílohy č. 3, |
| b) výpočet ceny elektriny podľa výpočtového nástroja na určenie zníženia ceny elektriny na účel predĺženia podpory so zníženou cenou elektriny zverejneného na webovom sídle úradu. |
| § 9 |
| Výpočet rozsahu podpory doplatkom a príplatkom |
| (1) Doplatok Di v eurách na jednotku množstva elektriny za základný časový úsek podľa § 9 ods. 2 zákona o podpore pre i-té zariadenie výrobcu elektriny s nárokom na podporu doplatkom podľa § 3 ods. 1 písm. c) zákona o podpore sa vypočíta podľa vzorca
|
| Di = max [(CEi – VPCVEdi); 0],
|
| kde |
| a) Cei je cena elektriny podľa § 6 ods. 1 písm. a) zákona o podpore, |
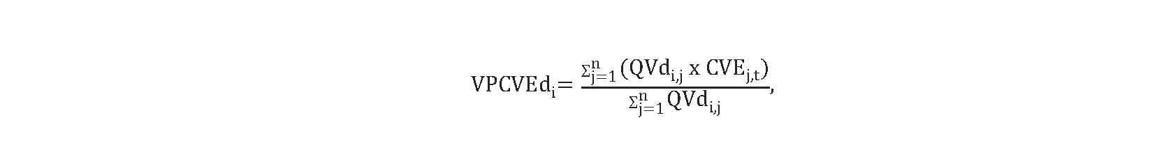
| b) VPCVEdi je vážený priemer cien vykupovanej elektriny pre i-té zariadenie výrobcu elektriny s nárokom na podporu doplatkom podľa § 3 ods. 1 písm. c) zákona o podpore za základný časový úsek v eurách na jednotku množstva elektriny vypočítaný podľa vzorca |
| 
|
| kde |
| 1. QVdi,j je množstvo elektriny vyrobené i-tým zariadením výrobcu elektriny s nárokom na podporu doplatkom podľa § 3 ods. 1 písm. c) zákona o podpore v j-tej hodine základného časového úseku v jednotkách množstva elektriny, |
| 2. CVEj,t je cena vykupovanej elektriny v j-tej hodine základného časového úseku v eurách na jednotku množstva elektriny podľa § 11 ods. 2, |
| 3. n je počet hodín základného časového úseku. |
| (2) Doplatok za elektrinu vyrobenú v i-tom zariadení výrobcu elektriny s nárokom na podporu doplatkom podľa § 3 ods. 1 písm. c) zákona o podpore za základný časový úsek PDi v eurách uhrádzaný výrobcovi elektriny organizátorom krátkodobého trhu s elektrinou sa vypočíta podľa vzorca
|
| PDi = QDi × Di, |
| kde |
| a) QDi je množstvo elektriny, na ktoré je možné uplatniť doplatok v i-tom zariadení výrobcu elektriny s nárokom na podporu doplatkom podľa § 3 ods. 1 písm. c) zákona o podpore za základný časový úsek určené podľa § 4 ods. 1 písm. c) zákona o podpore v jednotkách množstva elektriny, |
| b) Di je doplatok pre i-té zariadenie výrobcu elektriny s nárokom na podporu doplatkom podľa § 3 ods. 1 písm. c) zákona o podpore vypočítaný podľa odseku 1 v eurách na jednotku množstva elektriny. |
| (3) Príplatok Pi v eurách na jednotku množstva elektriny za základný časový úsek podľa § 9 ods. 3 zákona o podpore pre i-té zariadenie výrobcu elektriny s nárokom na podporu príplatkom podľa § 3 ods. 1 písm. e) zákona o podpore sa vypočíta podľa vzorca
|
| Pi = max [(PCEi – VPCVEpi); 0], |
| kde |
| a) PCEi je ponúknutá cena elektriny podľa § 6 ods. 1 písm. d) zákona o podpore, |
| b) VPCVEpi je vážený priemer cien vykupovanej elektriny pre i-té zariadenie výrobcu elektriny s nárokom na podporu príplatkom podľa § 3 ods. 1 písm. e) zákona o podpore za základný časový úsek v eurách na jednotku množstva elektriny vypočítaný podľa vzorca |
| 
|
| kde |
| 1. QVPi,j je množstvo elektriny vyrobenej i-tým zariadením výrobcu elektriny s nárokom na podporu príplatkom podľa § 3 ods. 1 písm. e) zákona o podpore v j-tej hodine základného časového úseku v jednotkách množstva elektriny, |
| 2. CVEj,t je cena vykupovanej elektriny v j-tej hodine základného časového úseku v eurách na jednotku množstva elektriny podľa § 11 ods. 2, |
| 3. n je počet hodín základného časového úseku. |
| (4) Príplatok za elektrinu vyrobenú v i-tom zariadení výrobcu elektriny s nárokom na podporu príplatkom podľa § 3 ods. 1 písm. e) zákona o podpore za základný časový úsek PPi v eurách uhrádzaný výrobcovi elektriny organizátorom krátkodobého trhu s elektrinou sa vypočíta podľa vzorca
|
| PPi = QPi × Pi, |
| kde |
| a) QPi je množstvo elektriny určené podľa § 4 ods. 1 písm. c) zákona o podpore v jednotkách množstva elektriny, na ktoré je možné uplatniť príplatok v i-tom zariadení výrobcu elektriny s nárokom na podporu príplatkom podľa § 3 ods. 1 písm. e) zákona o podpore za základný časový úsek, |
| b) Pi je príplatok pre i-té zariadenie výrobcu elektriny s nárokom na podporu príplatkom podľa § 3 ods. 1 písm. e) zákona o podpore vypočítaný podľa odseku 3 v eurách na jednotku množstva elektriny. |
| § 10 |
| (1) Cena elektriny vyrobenej z obnoviteľných zdrojov energie v zariadení výrobcu elektriny uvedenom do prevádzky v období od 1. januára 2020 do 30. septembra 2023 sa určuje priamym určením ceny elektriny v eurách na jednotku množstva elektriny takto:
|
| 
|
| (2) Cena elektriny vyrobenej vysoko účinnou kombinovanou výrobou v zariadení výrobcu elektriny s celkovým inštalovaným výkonom do 1 MW vrátane uvedenom do prevádzky v období od 1. januára 2020 do 30. septembra 2023 alebo v zariadení výrobcu elektriny, ktoré prešlo rekonštrukciou alebo modernizáciou technologickej časti zariadenia výrobcu elektriny podľa § 3c zákona o podpore, sa určuje priamym určením ceny elektriny v eurách na jednotku množstva elektriny takto:
|
| 
|
| (3) Cena elektriny vyrobenej z obnoviteľných zdrojov energie v zariadení výrobcu elektriny uvedenom do prevádzky v období od 1. októbra 2023 sa určuje priamym určením ceny elektriny v eurách na jednotku množstva elektriny takto:
|
| 
|
| (4) Cena elektriny vyrobenej vysoko účinnou kombinovanou výrobou v zariadení výrobcu elektriny s celkovým inštalovaným výkonom do 1 MW vrátane uvedenom do prevádzky v období od 1. októbra 2023 alebo v zariadení výrobcu elektriny, ktoré prešlo rekonštrukciou alebo modernizáciou technologickej časti zariadenia výrobcu elektriny podľa § 3c zákona o podpore, sa určuje priamym určením ceny elektriny v eurách na jednotku množstva elektriny takto:
|
| 
|
| (5) Cena elektriny vyrobenej vysoko účinnou kombinovanou výrobou spaľovaním biometánu v zariadení výrobcu elektriny s celkovým inštalovaným výkonom do 125 MW vrátane je vo výške 128,78 eura na MWh, pričom sa nezohľadňuje čas uvedenia zariadenia výrobcu elektriny do prevádzky. |
| (6) Cena elektriny podľa odseku 1 písm. c) až e) a odseku 3 písm. c) a d) sa uplatní len pre jedného výrobcu elektriny a pre jedno zariadenie výrobcu elektriny, ktoré obsahuje všetky technologické časti zariadenia výrobcu elektriny, ktorými sa vykonáva celý proces premeny energie obsiahnutej v biomase na elektrinu; to neplatí pre výrobu elektriny zo spaľovania biometánu podľa odseku 5, ak je biometán distribuovaný distribučnou sieťou a množstvo biometánu na výrobu elektriny zodpovedá zmluvnému množstvu biometánu dohodnutému podľa § 10 ods. 2 písm. b) zákona o podpore. |
| (7) Pri technológii podľa odseku 2 písm. c) štvrtého bodu a piateho bodu, technológii podľa odseku 2 písm. d) siedmeho bodu, technológii podľa odseku 2 písm. e), technológii podľa odseku 4 písm. c) štvrtého bodu a piateho bodu, technológii podľa odseku 4 písm. d) štvrtého bodu a technológii podľa odseku 4 písm. e) sa spolu so žiadosťou výrobcu elektriny o vydanie potvrdenia o pôvode elektriny vyrobenej vysoko účinnou kombinovanou výrobou predkladá aj potvrdenie o pôvode paliva, v ktorom sa uvedie názov výrobcu paliva, chemické zloženie paliva a jeho výhrevnosť, ktoré je preskúšané v akreditovanom laboratóriu podľa osobitného predpisu.26) |
| (8) Cena elektriny podľa odseku 2 písm. f) a odseku 4 písm. f) sa uplatní, ak je elektrina vyrábaná výhradne v tomto zariadení výrobcu elektriny a zároveň zariadenie výrobcu elektriny obsahuje všetky technologické časti zariadenia výrobcu elektriny, ktorými sa vykonáva celý proces premeny energie obsiahnutej v primárnom palive na elektrinu. |
| (9) Cena elektriny podľa odsekov 3 a 4 sa pre zariadenie výrobcu elektriny upravuje podľa roku uvedenia zariadenia výrobcu elektriny do prevádzky korekciou Pznit podľa § 7 ods. 3 až 5, ktorá zohľadňuje výrazné zvýšenie alebo zníženie ceny vstupných surovín použitých na výrobu elektriny, okrem prvého roku regulačného obdobia. |
| § 11 |
| Spôsob výpočtu ceny vykupovanej elektriny, postup a podmienky uplatňovania cien |
| (1) Cenová regulácia podľa § 11 a 12 sa vzťahuje na výkup elektriny a činnosť výkupcu elektriny. |
| (2) Cena vykupovanej elektriny v j-tej hodine roku t v eurách na jednotku množstva elektriny CVEj,t sa vypočíta podľa vzorca
|
| CVEj,t = ZCVEj,t – k, |
| kde |
| a) ZCVEj,t je základ pre výpočet ceny vykupovanej elektriny v j-tej hodine roku t v eurách na jednotku množstva elektriny vypočítaný podľa odseku 3, |
| b) k je koeficient podľa odsekov 4 a 5 v eurách na jednotku množstva elektriny. |
| (3) Základ pre výpočet ceny vykupovanej elektriny podľa § 6 ods. 1 písm. b) zákona o podpore v j-tej hodine roku t v eurách na jednotku množstva elektriny sa vypočíta podľa vzorca
|
| ZCVEj,t = CDTj,t, |
| kde |
| CDTj,t je cena elektriny slovenskej obchodnej oblasti na dennom trhu organizovanom organizátorom krátkodobého trhu s elektrinou v j-tej hodine roku t v eurách na jednotku množstva elektriny. |
| (4) Ak bol výkupca elektriny vybratý ministerstvom hospodárstva formou aukcie, koeficient k sa rovná výške úhrady za činnosť výkupcu elektriny požadovanej výkupcom elektriny v aukcii vyhlásenej ministerstvom hospodárstva podľa § 19 ods. 1 písm. n) zákona o podpore. |
| (5) Ak bol výkupca elektriny určený ministerstvom hospodárstva27) alebo ak činnosť výkupcu elektriny vykonáva dodávateľ poslednej inštancie,28) koeficient k sa rovná výške úhrady za činnosť výkupcu elektriny podľa § 12. |
| (6) Po uplynutí základného časového úseku podľa § 9 ods. 1 zákona o podpore sa pre i-té zariadenie výrobcu elektriny, ktorý využil právo na podporu výkupom elektriny podľa § 3 ods. 1 písm. b) zákona o podpore a prevzatím zodpovednosti za odchýlku podľa § 3 ods. 1 písm. d) zákona o podpore, vypočíta vážený priemer cien vykupovanej elektriny VPCVEvi v eurách na jednotku množstva elektriny za základný časový úsek podľa vzorca |
| 
|
| kde |
| a) QEi,j je množstvo elektriny s nárokom na podporu výkupom elektriny podľa § 3 ods. 1 písm. b) zákona o podpore a prevzatím zodpovednosti za odchýlku podľa § 3 ods. 1 písm. d) zákona o podpore vyrobenej v i-tom zariadení výrobcu elektriny a vykúpenej výkupcom elektriny v režime prenesenej zodpovednosti za odchýlku v j-tej hodine základného časového úseku v jednotkách množstva elektriny, |
| b) CVEj,t je cena vykupovanej elektriny v j-tej hodine základného časového úseku v eurách na jednotku množstva elektriny vypočítaná podľa odseku 2, |
| c) n je počet hodín základného časového úseku. |
| (7) Ak je vážený priemer cien vykupovanej elektriny VPCVEvi nižší alebo sa rovná cene elektriny podľa § 6 ods. 1 písm. a) zákona o podpore, výška platby za vykúpenú elektrinu vyrobenú v i-tom zariadení výrobcu elektriny, ktorý využil právo na podporu výkupom elektriny podľa § 3 ods. 1 písm. b) zákona o podpore a prevzatím zodpovednosti za odchýlku podľa § 3 ods. 1 písm. d) zákona o podpore, za základný časový úsek PVEi v eurách sa vypočíta podľa vzorca |
| 
|
| kde |
| a) Ei,j je množstvo elektriny s nárokom na podporu výkupom elektriny podľa § 3 ods. 1 písm. b) zákona o podpore a prevzatím zodpovednosti za odchýlku podľa § 3 ods. 1 písm. d) zákona o podpore vyrobenej v i-tom zariadení výrobcu elektriny a vykúpenej výkupcom elektriny v režime prenesenej zodpovednosti za odchýlku v j-tej hodine základného časového úseku v jednotkách množstva elektriny, |
| b) CVEj,t je cena vykupovanej elektriny v j-tej hodine základného časového úseku v eurách na jednotku množstva elektriny vypočítaná podľa odseku 2, |
| c) n je počet hodín základného časového úseku. |
| (8) Ak je vážený priemer cien vykupovanej elektriny VPCVEvi vyšší ako cena elektriny podľa § 6 ods. 1 písm. a) zákona o podpore, výška platby za vykúpenú elektrinu vyrobenú v i-tom zariadení výrobcu elektriny, ktorý využil právo na podporu výkupom elektriny podľa § 3 ods. 1 písm. b) zákona o podpore a prevzatím zodpovednosti za odchýlku podľa § 3 ods. 1 písm. d) zákona o podpore, za základný časový úsek PVEi v eurách sa vypočíta podľa vzorca |
| 
|
| kde |
| a) QEij je množstvo elektriny s nárokom na podporu výkupom elektriny podľa § 3 ods. 1 písm. b) zákona o podpore, vyrobenej v i-tom zariadení výrobcu elektriny a vykúpenej výkupcom elektriny v j-tej hodine základného časového úseku v jednotkách množstva elektriny, |
| b) CEi je cena elektriny podľa § 6 ods. 1 písm. a) zákona o podpore, |
| c) n je počet hodín základného časového úseku. |
| (9) Ak výrobca elektriny využil pre i-té zariadenie výrobcu elektriny právo na podporu výkupom elektriny podľa § 3 ods. 1 písm. b) zákona o podpore a zároveň si neuplatňuje právo na podporu prevzatím zodpovednosti za odchýlku podľa § 3 ods. 1 písm. d) zákona o podpore, výška platby za vykúpenú elektrinu vyrobenú v i-tom zariadení výrobcu elektriny, ktorý využil právo na podporu výkupom elektriny podľa § 3 ods. 1 písm. b) zákona o podpore, za základný časový úsek PVEi v eurách sa vypočíta podľa vzorca |
| 
|
| kde |
| a) QEi,j je množstvo elektriny s nárokom na podporu výkupom elektriny podľa § 3 ods. 1 písm. b) zákona o podpore, vyrobenej v i-tom zariadení výrobcu elektriny a vykúpenej výkupcom elektriny v j-tej hodine základného časového úseku v jednotkách množstva elektriny, |
| b) CVEj,t je cena vykupovanej elektriny v j-tej hodine základného časového úseku v eurách na jednotku množstva elektriny vypočítaná podľa odseku 2, |
| c) n je počet hodín základného časového úseku. |
| (10) Ak je cena vykupovanej elektriny CVEj,t nižšia ako cena elektriny podľa § 6 ods. 1 písm. a) zákona o podpore, výrobcovi elektriny sa zo strany zúčtovateľa podpory uhrádza len rozdiel medzi uhradenou cenou vykupovanej elektriny CVEj,t a cenou elektriny podľa § 6 ods. 1 písm. a) zákona o podpore. |
| § 12 |
| Cenová regulácia výkonu činnosti výkupcu elektriny |
| (1) Odmena k-tého výkupcu elektriny v eurách za základný časový úsek podľa § 9 ods. 2 zákona o podpore QVEk sa vypočíta podľa vzorca
|
| QVEk = (QEvk × UCVEk) – NVEk, |
| kde |
| a) QEvk je množstvo elektriny s nárokom na podporu výkupom elektriny podľa § 3 ods. 1 písm. b) zákona o podpore a prevzatím zodpovednosti za odchýlku podľa § 3 ods. 1 písm. d) zákona o podpore vykúpenej k-tým výkupcom elektriny v režime prenesenej zodpovednosti za odchýlku v základnom časovom úseku v jednotkách množstva elektriny, |
| b) UCVEk je úhrada za činnosť k-tého výkupcu elektriny za základný časový úsek v eurách na jednotku množstva elektriny vo výške koeficientu určeného podľa odsekov 2 a 3, |
| c) NVEk sú nadvýnosy k-tého výkupcu elektriny z vykúpenej elektriny v základnom časovom úseku podľa § 9 ods. 2 zákona o podpore v eurách, ktorých výška sa vypočíta podľa vzorca |
| 
|
| kde |
| 1. QEvi,j,k je množstvo elektriny s nárokom na podporu výkupom elektriny podľa § 3 ods. 1 písm. b) zákona o podpore a prevzatím zodpovednosti za odchýlku podľa § 3 ods. 1 písm. d) zákona o podpore vyrobenej v i-tom zariadení výrobcu elektriny a vykúpenej k-tým výkupcom elektriny v režime prenesenej zodpovednosti za odchýlku v j-tej hodine základného časového úseku v jednotkách množstva elektriny, |
| 2. CDTj je cena elektriny slovenskej obchodnej oblasti na dennom trhu organizovanom organizátorom krátkodobého trhu s elektrinou v j-tej hodine základného časového úseku v eurách na jednotku množstva elektriny, |
| 3. PVEi,k je platba za vykúpenú elektrinu vyrobenú v i-tom zariadení výrobcu elektriny, ktorý využil právo na podporu výkupom elektrinypodľa § 3 ods. 1 písm. b) zákona o podpore a prevzatím zodpovednosti za odchýlku podľa § 3 ods. 1 písm. d) zákona o podpore k-tým výkupcom elektriny za základný časový úsek v eurách vypočítaná podľa § 11 ods. 7 až 8, |
| 4. m je počet zariadení výrobcu elektriny, pre ktoré výrobca elektriny využil právo na podporu výkupom elektriny podľa § 3 ods. 1 písm. b) zákona o podpore a prevzatím zodpovednosti za odchýlku podľa § 3 ods. 1 písm. d) zákona o podpore, z ktorých vykupuje elektrinu k-tý výkupca elektriny, ktoré sú zahrnuté do vyhodnotenia podľa tohto odseku za príslušný základný časový úsek, |
| 5. n je počet hodín základného časového úseku. |
| (2) Ak bol výkupca elektriny vybraný ministerstvom hospodárstva formou aukcie, UCVEk v odseku 1 sa pre rok t rovná výške úhrady za činnosť výkupcu elektriny požadovanej výkupcom elektriny v aukcii vyhlásenej ministerstvom hospodárstva podľa § 19 ods. 1 písm. n) zákona o podpore. |
| (3) Ak bol výkupca elektriny určený ministerstvom hospodárstva27) alebo ak činnosť výkupcu elektriny vykonáva dodávateľ poslednej inštancie,28) UCVEk v odseku 1 v eurách na jednotku množstva elektriny sa pre rok t vypočíta podľa vzorca
|
| UCVEk,t = Ot + Vt + PZt + KUCVEt, |
| kde |
| a) Ot sú určené náklady regulovaného subjektu na odchýlku súvisiace s výkupom elektriny od výrobcov elektriny s nárokom na podporu výkupom elektriny podľa § 3 ods. 1 písm. b) zákona o podpore a prevzatím zodpovednosti za odchýlku podľa § 3 ods. 1 písm. d) zákona o podpore v eurách na jednotku množstva elektriny vykúpenej v režime prenesenej zodpovednosti za odchýlku v roku t. Pre rok 2023 sa ustanovuje vo výške 12,08 eura na jednotku množstva elektriny v režime prenesenej zodpovednosti za odchýlku, pričom pre nasledujúce roky regulačného obdobia sa náklady regulovaného subjektu na odchýlku vypočítajú podľa § 13, |
| b) Vt sú schválené alebo určené prevádzkové náklady regulovaného subjektu na obsluhu výrobcov elektriny s nárokom na podporu výkupom elektriny podľa § 3 ods. 1 písm. b) zákona o podpore a prevzatím zodpovednosti za odchýlku podľa § 3 ods. 1 písm. d) zákona o podpore v eurách na jednotku množstva elektriny vykúpenej v režime prenesenej zodpovednosti za odchýlku v roku t, |
| 
|
| kde |
| 1. POOPEX sú schválené alebo určené priemerné ročné prevádzkové náklady regulovaného subjektu súvisiace s výkupom elektriny od výrobcov elektriny s nárokom na podporu výkupom elektriny podľa § 3 ods. 1 písm. b) zákona o podpore a prevzatím zodpovednosti za odchýlku podľa § 3 ods. 1 písm. d) zákona o podpore v eurách v roku 2021 vypočítané ako priemer skutočných prevádzkových nákladov za obdobie rokov t-3, t-2 a t-1 okrem osobných nákladov podľa § 4 ods. 1 písm. b) a odpisov podľa § 4 ods. 1 písm. d). Ak regulovaný subjekt vykonáva činnosť menej ako tri roky, použijú sa aritmetické priemery údajov za dva roky, za ktoré sú údaje k dispozícii. Ak regulovaný subjekt vykonáva činnosť menej ako dva kalendárne roky, použijú sa údaje za jeden kalendárny rok. Ak regulovaný subjekt nevykonával regulovanú činnost, použijú sa priemerné ročné prevádzkové náklady, |
| 2. PPEREX sú schválené alebo určené ročné osobné náklady regulovaného subjektu súvisiace s výkupom elektriny od výrobcov elektriny s nárokom na podporu výkupom elektriny a prevzatím zodpovednosti za odchýlku v eurách vo východiskovom roku regulačného obdobia určené ako skutočné osobné náklady za rok 2021 súvisiace s regulovanou činnosťou, |
| 3. IRMn aritmetický priemer indexov nominálnej mzdy v hospodárstve zverejnených štatistickým úradom, vyjadrených v percentách za obdobie od 3. štvrťroku roku n-2 do 2. kvartálu roku n-1, |
| 4. JPIn je aritmetický priemer indexov jadrovej inflácie v percentách zverejnených štatistickým úradom za obdobie od júla roku n-2 do júna roku n-1, |
| 5. X je faktor efektivity, ktorého hodnota v každom roku regulačného obdobia je 2,0 %; ak je hodnota rozdielu JPIn a X nižšia ako 0 %, na výpočet úhrady za činnosť výkupcu elektriny na rok t sa hodnota rozdielu JPIn a X rovná 0 %, |
| c) PZt je primeraný zisk v eurách na jednotku množstva elektriny vykúpenej v režime prenesenej zodpovednosti za odchýlku v roku t, ktorý je možné zahrnúť do úhrady za činnosť výkupcu elektriny, ktorý sa vypočíta podľa vzorca
|
| PZt = Vt × WACCt |
| kde |
| WACCt je miera výnosnosti regulačnej bázy aktív na rok t určená podľa § 40 ods. 1 zákona o regulácii, |
| d) KUCVEt je korekcia úhrady za činnosť k-tého výkupcu elektriny za obdobie t-2 v eurách na jednotku množstva elektriny v režime prenesenej zodpovednosti za odchýlku v roku t, ktorú je možné zahrnúť do úhrady za činnosť výkupcu elektriny od roku t = 2025 a nasledujúce roky a ktorá sa vypočíta podľa vzorca |
| 
|
| kde |
| 1. Qeplt je schválené alebo určené množstvo elektriny s nárokom na podporu výkupom elektriny podľa § 3 ods. 1 písm. b) zákona o podpore a prevzatím zodpovednosti za odchýlku podľa § 3 ods. 1 písm. d) zákona o podpore vykúpenej k-tým výkupcom elektriny v režime prenesenej zodpovednosti za odchýlku v roku t v jednotkách množstva elektriny vykúpenej v režime prenesenej zodpovednosti za odchýlku v roku t, |
| 2. Qeplt-2 je plánované množstvo elektriny s nárokom na podporu výkupom elektriny podľa § 3 ods. 1 písm. b) zákona o podpore a prevzatím zodpovednosti za odchýlku podľa § 3 ods. 1 písm. d) zákona o podpore vykúpenej k-tým výkupcom elektriny v režime prenesenej zodpovednosti za odchýlku v roku t-2 v jednotkách množstva elektriny vykúpenej v režime prenesenej zodpovednosti za odchýlku v roku t-2, |
| 3. Qeskt-2 je skutočné množstvo elektriny s nárokom na podporu výkupom elektriny podľa § 3 ods. 1 písm. b) zákona o podpore a prevzatím zodpovednosti za odchýlku podľa § 3 ods. 1 písm. d) zákona o podpore vykúpenej k-tým výkupcom elektriny v režime prenesenej zodpovednosti za odchýlku v roku t-2 v jednotkách množstva elektriny vykúpenej v režime prenesenej zodpovednosti za odchýlku v roku t-2, |
| 4. KOt-2 je korekcia nákladov regulovaného subjektu na odchýlku súvisiaca s výkupom elektriny od výrobcov elektriny s nárokom na podporu výkupom elektriny podľa § 3 ods. 1 písm. b) zákona o podpore a prevzatím zodpovednosti za odchýlku podľa § 3 ods. 1 písm. d) zákona o podpore v eurách na jednotku množstva elektriny vykúpenej v režime prenesenej zodpovednosti za odchýlku v roku t-2,
|
| KOt–2 = SkOt–2 – Ot–2, |
| kde |
| 4.1 SKOt-2 sú skutočné náklady regulovaného subjektu v roku t-2 na odchýlku súvisiace s výkupom elektriny od výrobcov elektriny s nárokom na podporu výkupom elektriny podľa § 3 ods. 1 písm. b) zákona o podpore a prevzatím zodpovednosti za odchýlku podľa § 3 ods. 1 písm. d) zákona o podpore v eurách na jednotku množstva elektriny vykúpenej v režime prenesenej zodpovednosti za odchýlku v roku t-2. |
| 4.2 Ot-2 sú určené náklady regulovaného subjektu na odchýlku v roku t-2 súvisiace s výkupom elektriny od výrobcov elektriny s nárokom na podporu výkupom elektriny podľa § 3 ods. 1 písm. b) zákona o podpore a prevzatím zodpovednosti za odchýlku podľa § 3 ods. 1 písm. d) zákona o podpore v eurách na jednotku množstva elektriny vykúpenej v režime prenesenej zodpovednosti za odchýlku v roku t-2. |
| 5. Vt-2 sú schválené alebo určené prevádzkové náklady regulovaného subjektu v roku t-2 na obsluhu výrobcov elektriny s nárokom na podporu výkupom elektriny podľa § 3 ods. 1 písm. b) zákona o podpore a prevzatím zodpovednosti za odchýlku podľa § 3 ods. 1 písm. d) zákona o podpore v eurách na jednotku množstva elektriny vykúpenej v režime prenesenej zodpovednosti za odchýlku v roku t, |
| 6. PZt-2 je schválený alebo určený primeraný zisk regulovaného subjektu v roku t-2 na obsluhu výrobcov elektriny s nárokom na podporu výkupom elektriny podľa § 3 ods. 1 písm. b) zákona o podpore a prevzatím zodpovednosti za odchýlku podľa § 3 ods. 1 písm. d) zákona o podpore v eurách na jednotku množstva elektriny vykúpenej v režime prenesenej zodpovednosti za odchýlku v roku t, |
| 7. KUCVEt-2 je korekcia korekcie úhrady za činnosť k-tého výkupcu elektriny za obdobie roku t-2 v eurách na jednotku množstva elektriny v režime prenesenej zodpovednosti za odchýlku v roku t, ktorú je možné zahrnúť do úhrady za činnosť výkupcu elektriny v roku t = 2027 a pre nasledujúce roky. |
| § 13 |
| Spôsob výpočtu nákladov na odchýlku |
| (1) Náklady na odchýlku Ot v eurách na jednotku množstva elektriny v roku t sa vypočítajú podľa vzorca
|
| Ot = SNOt–2 × POt, |
| kde |
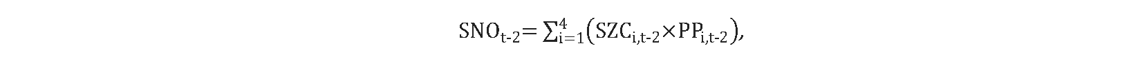
| a) SNOt–2 sú náklady na odchýlku určené na základe skutočných cien odchýlky, v eurách na jednotku množstva odchýlky v roku t-2, ktoré sa vypočítajú podľa vzorca |
| 
|
| kde |
| 1. SZCi,t–2 je skutočná zúčtovacia cena odchýlky v eurách na jednotku množstva odchýlky v roku t-2 v i-tej situácii podľa odseku 2 určená podľa odseku 3, |
| 2. PPi,t–2 je plánovaná pravdepodobnosť i-tej situácie podľa odseku 2 v roku t-2 v percentách určená podľa odseku 4, |
| b) POt je plánovaná odchýlkovosť diagramu dodávky elektriny regulovaného subjektu v percentách v roku t-2, ktorej hodnota je 20 %. |
| (2) Pre výpočet nákladov na odchýlku podľa odseku 1 písm. a) sa zohľadňujú náklady regulovaného subjektu súvisiace s výkupom elektriny od výrobcov elektriny s nárokom na podporu výkupom elektriny podľa § 3 ods. 1 písm. b) zákona o podpore a prevzatím zodpovednosti za odchýlku podľa § 3 ods. 1 písm. d) zákona o podpore v eurách na jednotku množstva elektriny vykúpenej v režime prenesenej zodpovednosti za odchýlku v roku t, ak regulovaný subjekt spôsobí |
| a) zápornú odchýlku pri kladnej odchýlke sústavy, |
| b) zápornú odchýlku pri zápornej odchýlke sústavy, |
| c) kladnú odchýlku pri kladnej odchýlke sústavy, |
| d) kladnú odchýlku pri zápornej odchýlke sústavy. |
| (3) Na výpočet nákladov na odchýlku podľa odseku 1 písm. a) sa použijú skutočné zúčtovacie ceny odchýlky v eurách na jednotku množstva odchýlky v roku t-2 v i-tej situácii SZCi,t–2 podľa odseku 2, |
| kde |
| a) SZC1,t–2 na situáciu podľa odseku 2 písm. a) je vo výške aritmetického priemeru zúčtovacích cien odchýlok pri kladnej odchýlke sústavy za obdobie od 1. novembra roku t-2 do 31. októbra roku t-1, |
| b) SZC2,t–2 na situáciu podľa odseku 2 písm. b) je vo výške aritmetického priemeru zúčtovacích cien odchýlok pri zápornej odchýlke sústavy za obdobie od 1. novembra roku t-2 do 31. októbra roku t-1, |
| c) SZC3,t–2 na situáciu podľa odseku 2 písm. c) je vo výške opačnej hodnoty aritmetického priemeru zúčtovacích cien odchýlok pri kladnej odchýlke sústavy za obdobie od 1. novembra roku t-2 do 31. októbra roku t-1, |
| d) SZC4,t–2 na situáciu podľa odseku 2 písm. d) je vo výške opačnej hodnoty aritmetického priemeru zúčtovacích cien odchýlok pri zápornej odchýlke sústavy za obdobie od 1. novembra roku t-2 do 31. októbra roku t-1. |
| (4) Na výpočet podľa odseku 1písm. a) sa použijú tieto plánované pravdepodobnosti i-tej situácie v percentách v roku t-2 podľa odseku 2 PPi,t–2: |
| a) PP1,t na situáciu podľa odseku 2 písm. a) vo výške 20 %, |
| b) PP2,t na situáciu podľa odseku 2 písm. b) vo výške 30 %, |
| c) PP3,t na situáciu podľa odseku 2 písm. c) vo výške 30 %, |
| d) PP4,t na situáciu podľa odseku 2 písm. d) vo výške 20 %. |
| (5) Na výpočet nákladov na odchýlku sa predkladá |
| a) zoznam EIC kódov výrobcov elektriny s nárokom na podporu výkupom elektriny podľa § 3 ods. 1 písm. b) zákona o podpore v režime prenesenej zodpovednosti za odchýlku v roku t, |
| b) plánovaný objem vykúpenej elektriny s nárokom na podporu výkupom elektriny podľa § 3 ods. 1 písm. b) zákona o podpore v režime prenesenej zodpovednosti za odchýlku v štvrťhodinovom rozlíšení v roku t priradený k príslušným výrobcom elektriny podľa písmena a), |
| c) skutočný objem vykúpenej elektriny s nárokom na podporu výkupom elektriny podľa § 3 ods. 1 písm. b) zákona o podpore v režime prenesenej zodpovednosti za odchýlku v štvrťhodinovom rozlíšení v roku t-2. |
| Cenová regulácia výroby elektriny z domáceho uhlia vyrobenej vo všeobecnom hospodárskom záujme |
| § 14 |
| (1) Cenová regulácia výroby elektriny z domáceho uhlia sa vzťahuje na výrobu elektriny z domáceho uhlia na základe rozhodnutia ministerstva hospodárstva o uložení povinnosti vo všeobecnom hospodárskom záujme.29) |
| (2) Súčasťou návrhu ceny sú |
| a) návrh cien alebo taríf za výrobu elektriny z domáceho uhlia vrátane ich štruktúry pre rok t, ktoré sa budú uplatňovať pre účastníkov trhu s elektrinou, vrátane podmienok ich pridelenia, |
| b) údaje potrebné na preverenie cien za rok t-2, |
| c) plán investícií a plán odpisov za regulovanú činnosť v rokoch t, t+1 a t+2, |
| d) výpočty a údaje týkajúce sa výroby elektriny z domáceho uhlia, |
| e) údaje preukazujúce inštalovaný výkon zariadenia na výrobu elektriny, ktoré môžu vyrábať elektrinu spaľovaním domáceho uhlia s uvedením potenciálneho množstva elektriny, ktorú je možné na tomto zariadení vyrobiť; tieto údaje sa preukazujú znaleckým posudkom, |
| f) údaje o inštalovanom výkone technologického zariadenia, ktoré je určené na výrobu elektriny z domáceho uhlia. |
| g) ďalšie podklady potrebné na správne posúdenie návrhu ceny. |
| (3) Podklady podľa odseku 2 sa predkladajú v listinnej podobe a na vyžiadanie aj v elektronickej podobe elektronickým podaním do elektronickej schránky.19) |
| (4) Ustanovenia o návrhu ceny sa primerane vzťahujú aj na návrh na zmenu cenového rozhodnutia. |
| (5) Na základe rozhodnutia ministerstva hospodárstva o uložení povinnosti vo všeobecnom hospodárskom záujme vyrábať elektrinu z domáceho uhlia sa u výrobcu elektriny uplatní na každú jednotku množstva elektriny dodanej do sústavy, ktorá bola preukázateľne vyrobená z domáceho uhlia, pevná cena DOPt v eurách na jednotku množstva elektriny vypočítaná |
| a) pre rok 2023 podľa vzorca |
| 
|
| b) pre roky 2024 a 2025 podľa vzorca |
| 
|
| kde |
| 1. VNt sú plánované schválené alebo určené variabilné náklady na výrobu elektriny z domáceho uhlia v eurách na rok t, ktoré sa vypočítajú podľa § 15 ods. 1, |
| 2. FNt sú plánované schválené alebo určené fixné náklady bez odpisov nových zariadení na výrobu elektriny z domáceho uhlia v eurách na rok t, ktoré sa vypočítajú podľa § 15 ods. 2, |
| 3. ONZt sú plánované schválené alebo určené odpisy nových zariadení na rok t v eurách, |
| 4. PZt je plánovaný primeraný zisk regulovaného subjektu v eurách na rok t, ktorý sa vypočíta podľa § 15 ods. 3, |
| 5. VEt sú plánované výnosy z dodávky vyrobenej elektriny z domáceho uhlia v eurách na rok t, ktoré sa vypočítajú podľa § 15 ods. 4, |
| 6. VPSt je plánovaný výnos v eurách z poskytovania podporných služieb zariadením na výrobu elektriny z domáceho uhlia na rok t, |
| 7. KDUt je faktor vyrovnania nákladov a výnosov výroby elektriny z domáceho uhlia regulovaného subjektu v eurách na rok t, ktorý sa vypočíta podľa § 15 ods. 5, |
| 8. QDEt je plánovaný objem elektriny určený rozhodnutím ministerstva hospodárstva o uložení povinnosti vo všeobecnom hospodárskom záujme vyrábať elektrinu z domáceho uhlia a dodávať elektrinu vyrobenú z domáceho uhlia na rok t; pričom na rok 2024 a 2025 sa hodnota QDEt ustanovuje vo výške 1. |
| § 15 |
| (1) VNt sú plánované schválené alebo určené variabilné náklady na výrobu elektriny z domáceho uhlia v eurách na rok t; VNt sa vypočítajú podľa vzorca
|
| VNt = NHU,t + NEK,t + NOVN,t, |
| kde |
| a) NHU,t sú ekonomicky oprávnené plánované náklady na nákup domáceho hnedého uhlia a náklady na obstaranie mazutu, ktoré zodpovedajú množstvu mazutu, ktorého energetický obsah zodpovedá najviac 1 % energetického obsahu domáceho hnedého uhlia určeného na základe jeho skutočnej výhrevnosti, |
| b) NEK,t sú ekonomicky oprávnené plánované náklady na nákup emisných kvót, |
| c) NOVN,t sú ekonomicky oprávnené plánované náklady podľa § 4 ods. 1 písm. a). |
| (2) FNt sú plánované schválené alebo určené fixné náklady bez odpisov nových zariadení na výrobu elektriny z domáceho uhlia v eurách na rok t najviac vo výške vypočítanej podľa vzorca
|
| 
|
| kde |
| a) FNvych sú prevádzkové náklady určené ako priemerné ročné fixné prevádzkové náklady nevyhnutne vynaložené na regulovanú činnosť v roku 2023 určené podľa priemeru skutočných fixných prevádzkových nákladov za roky 2017 až 2021, |
| b) JPIt je aritmetický priemer indexov jadrovej inflácie za obdobie od 1. júla roku t-2 do 30. júna roku t-1, zverejnených štatistickým úradom, |
| c) X je faktor efektivity v každom roku regulačného obdobia, ktorého hodnota je 2,0; ak je hodnota rozdielu JPIt a X nižšia ako 0, na účely výpočtu pevnej ceny na výrobu elektriny z domáceho uhlia na rok t sa hodnota rozdielu rovná 0, |
| d) kvyužitia je koeficient, ktorý sa vypočíta podľa vzorca
|
| 
|
| kde |
| 1. QVt je plánované množstvo elektriny vyrobenej z hnedého uhlia na základe plnenia povinnosti vo všeobecnom hospodárskom záujme, |
| 2. Qp je projektované množstvo elektriny, ktoré môže zdroj vyrobiť z hnedého uhlia. |
| (3) PZt je plánovaný primeraný zisk regulovaného subjektu v eurách na rok t určený podľa vzorca
|
| PZt = (VNt – NEK,t + FNt + ONZt) × WACCt, |
| kde |
| WACCt je miera výnosnosti regulačnej bázy aktív v roku t určená podľa § 40 ods. 1 zákona o regulácii. |
| (4) VEt sú plánované výnosy z dodávky vyrobenej elektriny z domáceho uhlia v eurách na rok t vypočítané podľa vzorca
|
| VEt = (QVt – QTt – QREt,KL) × CEt + QREt,KL × CREt,KL + QREt,ZA × CREt,ZA, |
| kde |
| a) QVt je plánované množstvo elektriny vyrobenej z domáceho uhlia v jednotkách množstva elektriny na rok t, |
| b) QTt je plánované množstvo vlastnej spotreby elektriny pri výrobe elektriny z domáceho uhlia v jednotkách množstva elektriny na rok t, |
| c) QREt,KL je plánované množstvo dodávky kladnej regulačnej elektriny vyrobenej z domáceho uhlia v jednotkách množstva elektriny na rok t, |
| d) CEt je plánovaná vážená priemerná cena celkovej dodávky elektriny vyrobenej z domáceho uhlia, minimálne však vo výške priemernej ceny celkovej dodávky elektriny v roku t-1 okrem dodávky regulačnej elektriny vyrobenej z domáceho uhlia v eurách na jednotku množstva elektriny na rok t, |
| e) CREt,KL je plánovaná vážená priemerná cena dodávky kladnej regulačnej elektriny vyrobenej z domáceho uhlia v eurách na jednotku množstva elektriny na rok t, |
| f) QREt,ZA je plánované množstvo dodávky zápornej regulačnej elektriny poskytnutej zariadením na výrobu elektriny z domáceho uhlia v jednotkách množstva elektriny na rok t, |
| g) CREt,ZA je plánovaná vážená priemerná cena dodávky zápornej regulačnej elektriny poskytnutej zariadením na výrobu elektriny z domáceho uhlia v eurách na jednotku množstva elektriny na rok t. |
| (5) Faktor vyrovnania nákladov a výnosov výroby elektriny z domáceho uhlia KDUt v eurách na rok t sa vypočíta podľa vzorca |
| 
|
| kde |
| a) SVNt–2 sú skutočne schválené alebo určené variabilné náklady na výrobu elektriny z domáceho uhlia v eurách na rok t-2 vrátane nákladov na nákup emisných kvót určených podľa oficiálneho kurzového lístka zverejneného burzou EEX (European Energy Exchange) na jej webovom sídle, za produkt EU Emission Allowances - Spot Market v eurách na tony CO2 za obdobie od 1. januára roku t-2 do 31. decembra roku t-2; na rok 2025 sa pre výpočet korekcie nákladov na nákup emisných kvót za rok 2023 použije priemerná cena emisných kvót určených podľa oficiálneho kurzového lístka zverejneného burzou EEX (European Energy Exchange) na jej webovom sídle, za produkt EU Emission Allowances - Spot Market v eurách na tony CO2 za obdobie od 1. apríla 2023 do 30. júna 2023, |
| b) VNt–2 sú plánované schválené alebo určené variabilné náklady na výrobu elektriny z domáceho uhlia v eurách na rok t-2, |
| c) SFNt–2 sú skutočné schválené alebo určené fixné náklady na výrobu elektriny z domáceho uhlia v eurách na rok t-2, |
| d) FNt–2 sú plánované schválené alebo určené fixné náklady na výrobu elektriny z domáceho uhlia v eurách na rok t-2, |
| e) SONZt–2 sú skutočné schválené alebo určené odpisy nových zariadení na rok t-2 v eurách, |
| f) ONZt–2 sú plánované schválené alebo určené odpisy nových zariadení na rok t-2 v eurách, |
| g) SPZt–2 je skutočný primeraný zisk regulovaného subjektu v eurách na rok t-2 určený podľa vzorca
|
| SPZt–2 = (SVNt–2 + SFNt–2 + SONZt–2) × WACCt–2, |
| kde |
| WACCt–2 je miera výnosnosti regulačnej bázy aktív na rok t-2 určená podľa § 40 ods. 1 zákona o regulácii, |
| h) PZt–2 je plánovaný primeraný zisk regulovaného subjektu v eurách na rok t-2 určený podľa vzorca
|
| PZt–2 = (VNt–2 + FNt–2 + ONZt–2) × WACCt–2, |
| i) SVEt–2 sú skutočné výnosy z dodávky vyrobenej elektriny z domáceho uhlia v eurách na rok t-2 vypočítané podľa vzorca
|
| SVEt–2 = (SQVt–2 – SQTt–2 – SQREt–2,KL) × SCEt–2 + SQREt–2,KL × SCREt–2,KL + SQREt–2,ZA × SCREt–2,ZA, |
| kde |
| 1. SQVt–2 je skutočné množstvo elektriny vyrobenej z domáceho uhlia v jednotkách množstva elektriny na rok t-2, |
| 2. SQTt–2 je skutočné množstvo vlastnej spotreby elektriny pri výrobe elektriny z domáceho uhlia v jednotkách množstva elektriny na rok t-2, |
| 3. SQREt–2,KL je skutočné množstvo dodávky kladnej regulačnej elektriny vyrobenej z domáceho uhlia v jednotkách množstva elektriny na rok t-2, |
| 4. SCEt–2 je skutočná vážená priemerná cena celkovej dodávky elektriny vyrobenej z domáceho uhlia, okrem dodávky kladnej regulačnej elektriny vyrobenej z domáceho uhlia v eurách na jednotku množstva elektriny na rok t-2, |
| 5. SCREt–2,KL je skutočná vážená priemerná cena dodávky kladnej regulačnej elektriny vyrobenej z domáceho uhlia v eurách na jednotku množstva elektriny na rok t-2, |
| 6. SQREt–2,ZA je skutočné množstvo dodávky zápornej regulačnej elektriny poskytnutej zariadením na výrobu elektriny z domáceho uhlia v jednotkách množstva elektriny
na rok t-2, |
| 7. SCREt–2,ZA je skutočná vážená priemerná cena dodávky zápornej regulačnej elektriny poskytnutej zariadením na výrobu elektriny z domáceho uhlia v eurách na jednotku množstva elektriny na rok t-2, |
| j) VEt–2 sú plánované výnosy z dodávky vyrobenej elektriny z domáceho uhlia v eurách na rok t-2 vypočítané podľa vzorca
|
| VEt–2 = (QVt–2 – QTt–2 – QREt–2,KL) × CEt–2 + QREt–2,KL × CREt–2,KL + QREt–2,ZA × CREt–2,ZA, |
| kde |
| 1. QVt–2 je plánované množstvo elektriny vyrobenej z domáceho uhlia v jednotkách množstva elektriny na rok t-2, |
| 2. QTt–2 je plánované množstvo vlastnej spotreby elektriny pri výrobe elektriny z domáceho uhlia v jednotkách množstva elektriny na rok t-2, |
| 3. QREt–2,KL je plánované množstvo dodávky kladnej regulačnej elektriny vyrobenej z domáceho uhlia v jednotkách množstva elektriny na rok t-2, |
| 4. CEt–2 je plánovaná vážená priemerná cena celkovej dodávky elektriny okrem dodávky regulačnej elektriny vyrobenej z domáceho uhlia v eurách na jednotku množstva elektriny na rok t-2, |
| 5. CREt–2,KL je plánovaná vážená priemerná cena dodávky kladnej regulačnej elektriny vyrobenej z domáceho uhlia v eurách na jednotku množstva elektriny na rok t-2, |
| 6. QREt–2,ZA je plánované množstvo dodávky zápornej regulačnej elektriny poskytnutej zariadením na výrobu elektriny z domáceho uhlia v jednotkách množstva elektriny na rok t-2, |
| 7. CREt–2,ZA je plánovaná vážená priemerná cena dodávky zápornej regulačnej elektriny poskytnutá zariadením na výrobu elektriny z domáceho uhlia v eurách na jednotku množstva elektriny na rok t-2, |
| k) SVPSt–2 je skutočný výnos v eurách z poskytovania podporných služieb zariadením na výrobu elektriny z domáceho uhlia na rok t-2, |
| l) VPSt–2 je plánovaný výnos v eurách z poskytovania podporných služieb zariadením na výrobu elektriny z domáceho uhlia na rok t-2, |
| m) KTPSvt je korekcia výnosov z platieb na základe tarify za prevádzkovanie systému výrobcu elektriny, ktorý na základe rozhodnutia ministerstva hospodárstva o uložení povinnosti vo všeobecnom hospodárskom záujme vyrába elektrinu z domáceho uhlia v eurách v roku t-2, ktorá sa vypočíta podľa vzorca
|
| KTPSvt = SVTPSvt–2 – PVTPSvt–2, |
| kde |
| 1. SVTPSvt–2 sú skutočné výnosy z uplatňovania tarify za prevádzkovanie systému určenej rozhodnutím úradu pre výrobcu elektriny, ktorý na základe rozhodnutia ministerstva hospodárstva o uložení povinnosti vo všeobecnom hospodárskom záujme vyrába elektrinu z domáceho uhlia v roku t-2, |
| 2. PVTPSvt–2 sú plánované výnosy z uplatňovania tarify za prevádzkovanie systému určenej rozhodnutím úradu pre výrobcu elektriny, ktorý na základe rozhodnutia ministerstva hospodárstva o uložení povinnosti vo všeobecnom hospodárskom záujme vyrába elektrinu z domáceho uhlia v roku t-2. |
| § 16 |
| Zrušovacie ustanovenie |
| (1) Zrušuje sa § 7 až 11 a prílohy č. 1 a 10 vyhlášky Úradu pre reguláciu sieťových odvetví č. 18/2017 Z. z., ktorou sa ustanovuje cenová regulácia v elektroenergetike a niektoré podmienky vykonávania regulovaných činností v elektroenergetike v znení vyhlášky č. 207/2018 Z. z., vyhlášky č. 178/2019 Z. z., vyhlášky č. 309/2019 Z. z., vyhlášky č. 326/2021 Z. z. a vyhlášky č. 477/2021 Z. z. |
| (2) Zrušuje sa vyhláška Úradu pre reguláciu sieťových odvetví č. 18/2017 Z. z., ktorou sa ustanovuje cenová regulácia v elektroenergetike a niektoré podmienky vykonávania regulovaných činností v elektroenergetike v znení vyhlášky č. 207/2018 Z. z., vyhlášky č. 178/2019 Z. z., vyhlášky č. 309/2019 Z. z., vyhlášky č. 300/2021 Z. z., vyhlášky č. 326/2021 Z. z., vyhlášky č. 477/2021 Z. z., vyhlášky č. 88/2022 Z. z., vyhlášky č. 233/2022 Z. z., vyhlášky č. 246/2023 Z. z. a vyhlášky č. 107/2023 Z. z. |
|
|
| § 17 |
| Účinnosť |
| Táto vyhláška nadobúda účinnosť 1. októbra 2023 okrem § 16 ods. 2, ktorý nadobúda účinnosť 1. januára 2024. |
|
|
| Andrej Juris v. r. |
|
|
| |
| Príloha č. 1 k vyhláške č. 370/2023 Z. z. |
| Podklady k návrhu ceny výrobcu elektriny |
| .png)
|
| |
| Príloha č. 2 k vyhláške č. 370/2023 Z. z. |
| Korekcia Pzn v eurách na jednotku množstva elektriny pre jednotlivé technológie
výroby elektriny na rok 2024 |
| .png)
|
| |
| Príloha č. 3 k vyhláške č. 370/2023 Z. z. |
| Podklady k návrhu ceny výrobcu elektriny na účel predĺženia podpory doplatkom |
| .png)
|
| Poznámky pod čiarou |
| 1) § 66 opatrenia Ministerstva financií Slovenskej republiky zo 16. decembra 2002 č. 23054/2002-92, ktorým sa ustanovujú podrobnosti o postupoch účtovania a rámcovej účtovej osnove pre podnikateľov účtujúcich v sústave podvojného účtovníctva (oznámenie č. 740/2002 Z. z.) v znení neskorších predpisov. |
| 2) Napríklad zákon č. 381/2001 Z. z. o povinnom zmluvnom poistení zodpovednosti za škodu spôsobenú prevádzkou motorového vozidla a o zmene a doplnení niektorých zákonov v znení neskorších predpisov, zákon č. 582/2004 Z. z. o miestnych daniach a miestnom poplatku za komunálne odpady a drobné stavebné odpady v znení neskorších predpisov, § 13 ods. 3 zákona č. 650/2004 Z. z. o doplnkovom dôchodkovom sporení a o zmene a doplnení niektorých zákonov v znení neskorších predpisov, zákon č. 251/2012 Z. z. o energetike a o zmene a doplnení niektorých zákonov v znení neskorších predpisov. |
| 3) Zákon č. 146/2023 Z. z. o ochrane ovzdušia a o zmene a doplnení niektorých zákonov. |
| 4) § 22 až 29 zákona č. 595/2003 Z. z. o dani z príjmov v znení neskorších predpisov. |
| 5) § 29 zákona č. 595/2003 Z. z. v znení neskorších predpisov. |
| 6) § 2 ods. 1, 5 a 8 zákona č. 483/2001 Z. z. o bankách a o zmene a doplnení niektorých zákonov v znení neskorších predpisov. |
| 7) § 23 zákona č. 595/2003 Z. z. v znení neskorších predpisov. |
| 8) Zákon č. 650/2004 Z. z. v znení neskorších predpisov. |
| 9) Zákon č. 283/2002 Z. z. o cestovných náhradách v znení neskorších predpisov. |
| 10) Zákon Národnej rady Slovenskej republiky č. 152/1994 Z. z. o sociálnom fonde a o zmene a doplnení zákona č. 286/1992 Zb. o daniach z príjmov v znení neskorších predpisov v znení neskorších predpisov. |
| 11) Nariadenie vlády Slovenskej republiky č. 395/2006 Z. z. o minimálnych požiadavkách na poskytovanie a používanie osobných ochranných pracovných prostriedkov v znení nariadenia vlády Slovenskej republiky č. 400/2021 Z. z. |
| 12) Zákon č. 577/2004 Z. z. o rozsahu zdravotnej starostlivosti uhrádzanej na základe verejného zdravotného poistenia a o úhradách za služby súvisiace s poskytovaním zdravotnej starostlivosti v znení neskorších predpisov, zákon č. 355/2007 Z. z. o ochrane, podpore a rozvoji verejného zdravia a o zmene a doplnení niektorých zákonov v znení neskorších predpisov. |
| 13) Zákon č. 124/2006 Z. z. o bezpečnosti a ochrane zdravia pri práci a o zmene a doplnení niektorých zákonov v znení neskorších predpisov. |
| 14) § 20 zákona č. 595/2003 Z. z. v znení neskorších predpisov. |
| 15) § 59 ods. 14 opatrenia č. 23054/2002-92 (oznámenie č. 740/2002 Z. z.) v znení neskorších predpisov. |
| 16) § 19 ods. 2 písm. l) zákona č. 595/2003 Z. z. v znení neskorších predpisov. |
| 17) § 3 písm. a) šiesty bod zákona č. 251/2012 Z. z. |
| 18) Vyhláška Úradu pre reguláciu sieťových odvetví č. 236/2016 Z. z., ktorou sa ustanovujú štandardy kvality prenosu elektriny, distribúcie elektriny a dodávky elektriny. |
| 19) § 3 písm. l) a § 11 zákona č. 305/2013 Z. z. o elektronickej podobe výkonu pôsobnosti orgánov verejnej moci a o zmene a doplnení niektorých zákonov (zákon o e-Governmente) v znení neskorších predpisov. |
| 20) Vyhláška Úradu pre reguláciu sieťových odvetví č. 490/2009 Z. z., ktorou sa ustanovujú podrobnosti o podpore obnoviteľných zdrojov energie, vysoko účinnej kombinovanej výroby a biometánu v znení neskorších predpisov. |
| 21) § 12 ods. 2 zákona č. 251/2012 Z. z. v znení neskorších predpisov. |
| 22) Zákon č. 157/2018 Z. z. o metrológii a o zmene a doplnení niektorých zákonov v znení neskorších predpisov. |
| 23) § 6 ods. 2 písm. a) zákona č. 251/2012 Z. z. v znení neskorších predpisov. |
| 24) § 6 ods. 6 zákona č. 251/2012 Z. z. v znení neskorších predpisov. |
| 25) Príloha č. 1 k zákonu č. 414/2012 Z. z. o obchodovaní s emisnými kvótami a o zmene a doplnení niektorých zákonov v znení neskorších predpisov |
| 26) Zákon č. 53/2023 Z. z. o akreditácii orgánov posudzovania zhody. |
| 27) § 88 ods. 2 písm. y) zákona č. 251/2012 Z. z. v znení zákona č. 309/2018 Z. z. |
| 28) § 18a zákona č. 251/2012 Z. z. v znení zákona č. 309/2018 Z. z. |
| 29) § 24 ods. 3 zákona č. 251/2012 Z. z. v znení zákona č. 324/2022 Z. z. |