| 451 |
| VYHLÁŠKA |
| Úradu pre reguláciu sieťových odvetví |
| z 12. decembra 2022, |
| ktorou sa ustanovuje cenová regulácia vybraných regulovaných činností v plynárenstve a niektoré podmienky vykonávania vybraných regulovaných činností v plynárenstve |
| Úrad pre reguláciu sieťových odvetví (ďalej len „úrad“) podľa § 40 ods. 1 písm. a) až e), g) až i) a l) zákona č. 250/2012 Z. z. o regulácii v sieťových odvetviach (ďalej len „zákon“) ustanovuje: |
|
|
| § 1 |
| Základné pojmy |
| Na účely tejto vyhlášky sa rozumie |
| a) regulačným obdobím 6. regulačné obdobie od 1. januára 2023, |
| b) rokom t rok, pre ktorý sa určuje alebo platí cena, |
| c) rokom t+n n-tý rok nasledujúci po roku t, |
| d) rokom t-n n-tý rok predchádzajúci roku t, |
| e) východiskovým rokom rok 2021, |
| f) množstvom plynu množstvo plynu v jednotkách SI sústavy vyjadrené v metroch kubických alebo v jednotkách energie v kilowatthodinách alebo megajouloch a ich násobkoch. |
| Všeobecné ustanovenia o cenovej regulácii vybraných regulovaných činností v plynárenstve |
| § 2 |
| Rozsah cenovej regulácie |
| Cenová regulácia v plynárenstve podľa tejto vyhlášky sa vzťahuje na |
| a) pripojenie do prepravnej siete, |
| b) pripojenie do distribučnej siete, |
| c) pripojenie nových výrobcov plynu do siete, |
| d) poskytovanie podporných služieb, |
| e) prístup do prepravnej siete a prepravu plynu, |
| f) prístup do distribučnej siete a distribúciu plynu, |
| g) výkup plynárenského zariadenia, |
| h) prístup do zásobníka a uskladňovanie plynu. |
| § 3 |
| Spôsob vykonávania cenovej regulácie |
| Cenová regulácia v plynárenstve podľa tejto vyhlášky sa vykonáva |
| a) priamym určením maximálnej ceny za pripojenie do prepravnej siete, |
| b) určením spôsobu výpočtu maximálnej ceny za pripojenie do distribučnej siete, |
| c) priamym určením maximálnej ceny za pripojenie nových výrobcov plynu do siete, |
| d) priamym určením maximálnej ceny a tarify za poskytovanie podporných služieb, |
| e) určením spôsobu výpočtu pevnej ceny za prístup do prepravnej siete a prepravu plynu v súlade s osobitným predpisom,1) |
| f) priamym určením maximálnej ceny a určením spôsobu výpočtu taríf za prístup do distribučnej siete a distribúciu plynu, |
| g) priamym určením maximálnej ceny za výkup plynárenského zariadenia, |
| h) určením spôsobu výpočtu maximálnej ceny za prístup do zásobníka a uskladňovanie plynu. |
| § 4 |
| Rozsah, štruktúra a výška ekonomicky oprávnených nákladov |
| (1) Ekonomicky oprávnenými nákladmi sú |
| a) náklady na obstaranie plynu na vlastnú spotrebu plynu a krytie strát pri distribúcii plynu v sieti najviac vo výške podľa § 12 ods. 6 až 8 a náklady na obstaranie plynu pre potreby vyvažovania distribučnej siete v primeranej výške, |
| b) náklady na spotrebu materiálu, nákup energií, tovarov a služieb súvisiacich s výkonom regulovaných činností v primeranej výške, |
| c) osobné náklady2) a priemerné osobné náklady na jedného zamestnanca na rok t zvýšené oproti určeným nákladom na rok t-1 najviac o výšku aritmetického priemeru zverejnených hodnôt ukazovateľa „Index nominálnej mzdy“ za obdobie od 3.Q roku t-2 po 2.Q roku t-1 zverejnených na webovom sídle Štatistického úradu Slovenskej republiky – http://datacube.statistics.sk v priečinku „Demografia a sociálne štatistiky“ v sekcii „Náklady práce“ a priečinku „Štvrťročné údaje“ a „Priemerná mesačná mzda v hospodárstve SR [pr0204qs]“, |
| d) náklady na plnenie povinností podľa osobitných predpisov,3) |
| e) rovnomerné odpisy hmotného majetku a nehmotného majetku využívaného výhradne na výkon regulovanej činnosti zohľadňujúc dobu technickej životnosti majetku podľa prílohy č. 1, |
| f) časti splátok za finančný prenájom hmotného majetku využívaného výhradne na výkon regulovanej činnosti podľa zmlúv o finančnom prenájme najviac vo výške odpisov podľa písmena e), |
| g) nájomné za prenájom hmotného majetku a nehmotného majetku od tretích osôb, ktorý sa používa výhradne na regulovanú činnosť najviac vo výške odpisov podľa písmena e), |
| h) náklady na opravu a údržbu majetku využívaného na zabezpečenie regulovanej činnosti v primeranej výške, okrem nákladov vynaložených na technické zhodnotenie hmotného majetku a nehmotného majetku podľa osobitného predpisu,4) |
| i) úrok z úveru poskytnutého bankou alebo pobočkou zahraničnej banky5) na obstaranie hmotného majetku alebo nehmotného majetku, ktorý sa používa výhradne na regulovanú činnosť, |
| j) úrok z dlhopisu vydaného regulovaným subjektom najviac do výšky 2,5 % ročne na zabezpečenie finančných prostriedkov na prevádzkové náklady súvisiace s nákupom plynu na krytie strát a vlastnej spotreby a nákladov na obstaranie plynu pre potreby vyvažovania distribučnej siete, |
| k) náklady na projekty spoločného záujmu podľa osobitného predpisu,6) |
| l) prevádzkové náklady na realizáciu a prevádzku projektov výskumu a vývoja7) súvisiacich s výkonom regulovanej činnosti v plynárenstve vo výške schválenej úradom. |
| (2) Ekonomicky oprávnenými nákladmi nie sú |
| a) sankcie, |
| b) náklady spojené s nevyužitými prevádzkami a výrobnými kapacitami, |
| c) odpisy nevyužívaného dlhodobého majetku, odpisy „goodwill“ a odpisy hmotného majetku a nehmotného majetku vylúčeného z odpisovania,8) |
| d) odmeny členov štatutárneho orgánu a iných orgánov regulovaného subjektu za výkon funkcie, ktorí nie sú v pracovnoprávnom vzťahu s regulovaným subjektom, |
| e) platby poistného za poistenie zodpovednosti za škody spôsobené členmi štatutárneho orgánu a členmi iných orgánov regulovaného subjektu, |
| f) príspevky na životné poistenie, príspevky na účelové sporenie zamestnanca a príspevky na doplnkové dôchodkové sporenie9) platené zamestnávateľom okrem príspevkov na doplnkové dôchodkové sporenie podľa odseku 1 písm. d), |
| g) odstupné a odchodné presahujúce výšku ustanovenú v § 76 a § 76a Zákonníka práce, |
| h) príspevky na stravovanie zamestnancov nad rozsah ustanovený v § 152 Zákonníka práce, |
| i) cestovné náhrady nad rozsah ustanovený osobitným predpisom10) |
| j) tvorba sociálneho fondu nad rozsah ustanovený osobitným predpisom,11) |
| k) náklady na poskytovanie osobných ochranných pracovných prostriedkov nad rozsah ustanovený osobitným predpisom,12) |
| l) dobrovoľné poistenie osôb, |
| m) manká a škody na majetku vrátane zníženia cien nevyužiteľných zásob a likvidácie zásob, |
| n) náklady vyplývajúce z chýb vo výpočtoch, v kalkulačných prepočtoch alebo v účtovníctve, duplicitne účtované náklady, |
| o) náklady na reprezentáciu a dary, |
| p) odmeny a dary pri životných jubileách a pri odchode do dôchodku, |
| q) náklady na starostlivosť o zdravie zamestnancov a na vlastné zdravotnícke zariadenia nad rozsah ustanovený osobitným predpisom,13) |
| r) príspevky a náklady na rekreačné, regeneračné, rekondičné a ozdravné pobyty, ak povinnosť ich uhrádzania neustanovuje osobitný predpis,14) |
| s) náklady na údržbu a prevádzku školiacich zariadení a rekreačných zariadení a iných zariadení, ktoré nesúvisia s regulovanou činnosťou, |
| t) náklady vynaložené na obstaranie materiálu, služieb a na činnosti nesúvisiace s výkonom regulovaných činností, |
| u) daň z nehnuteľnosti platená za školiace zariadenia a rekreačné zariadenia, |
| v) štipendiá poskytnuté žiakom stredných škôl a študentom, |
| w) odpis nedobytnej pohľadávky, |
| x) tvorba rezerv nad rozsah ustanovený osobitným predpisom,15) |
| y) rozdiely zo zmien použitých účtovných metód a účtovných zásad,16) |
| z) tvorba opravných položiek, |
| aa) náklady vynaložené na odstránenie nedostatkov zistených pri kolaudačnom konaní, |
| ab) náklady spojené s prípravou a zabezpečením nerealizovanej investičnej výstavby, |
| ac) straty z predaja dlhodobého majetku a zásob, |
| ad) zostatková cena predaného alebo vyradeného hmotného majetku a nehmotného majetku, |
| ae) náklady na reklamu alebo propagáciu uskutočňovanú formou sponzorovania športových, kultúrnych a zábavných podujatí a iných činností, |
| af) spotreba pohonných látok nad rozsah ustanovený osobitným predpisom,17) |
| ag) náklady na výkon regulovanej činnosti, ktoré sú vyššie ako náklady zistené kontrolou úradu na základe overovania primeranosti vynaložených nákladov, ktorá je zabezpečovaná regulovaným subjektom, iným ako regulovaným subjektom alebo subjektom, ktorý je alebo bol súčasťou vertikálne integrovaného podniku,18) |
| ah) straty z obchodov s finančnými derivátmi a komoditnými derivátmi, |
| ai) náklady na náhradu škody, ktorá vznikla v dôsledku protiprávneho konania regulovaného subjektu, |
| aj) vyplatené kompenzačné platby podľa osobitného predpisu,19) |
| ak) náklady vynaložené na obstaranie materiálov, služieb a činnosti súvisiace s prevádzkovaním, údržbou a rozvojom siete vynaložené v rozpore s osobitným predpisom,20) |
| al) náklady, ktorých vynaložením sa nezabezpečí udržanie alebo zlepšenie energetickej efektívnosti,21) |
| am) ďalšie náklady neuvedené v odseku 1. |
| (3) Na účely tejto vyhlášky sa rozumie |
| a) opravou súhrn činností, ktorými sa odstraňujú následky poškodenia alebo opotrebenia celku, skupín alebo dielov na účely uvedenia plynárenského zariadenia do prevádzkyschopného stavu, |
| b) údržbou súhrn činností zabezpečujúcich technickú spôsobilosť a hospodárnosť prevádzky plynárenského zariadenia, pri ktorých sa spomaľuje fyzické opotrebenie, predchádza sa jeho následkom a odstraňujú sa drobnejšie poruchy, spravidla bez demontáže dielov a bez výmeny súčiastok. |
| (4) Pri určení výšky ekonomicky oprávnených nákladov podľa odseku 1 písm. l) sa vychádza z hodnotenia projektov predložených na schválenie regulovaným subjektom v návrhu ceny. V cenovom konaní na základe hodnotenia projektov úradom sa určí výška ekonomicky oprávnených nákladov na realizáciu projektu. Výška ekonomicky oprávnených nákladov na realizáciu a prevádzku projektov výskumu a vývoja nesmie presiahnuť 1 000 000 eur za regulovaný subjekt a regulačné obdobie. |
| § 5 |
| (1) Peňažné hodnoty sa na účely výpočtu cien matematicky zaokrúhľujú na štyri desatinné miesta. Mesačná platba za jedno odberné miesto sa zaokrúhľuje na dve desatinné miesta. |
| (2) Ceny podľa tejto vyhlášky sú uvádzané bez dane z pridanej hodnoty. |
| (3) Pri zmene ceny sa ustanovenia o spôsobe výpočtu ceny použijú primerane podľa zodpovedajúceho roku regulačného obdobia, v ktorom nastala zmena ceny. |
| (4) Na webovom sídle úradu sa zverejňujú spolu s právoplatným cenovým rozhodnutím údaje podľa § 14 ods. 12 zákona, ktoré sú započítané do určenej ceny alebo schválenej ceny, a to |
| a) celkové údaje o ekonomicky oprávnených nákladoch, |
| b) celkové údaje o rozsahu investícií, |
| c) údaje o primeranom zisku. |
| § 6 |
| Spôsob určenia miery výnosnosti regulačnej bázy aktív |
| (1) Miera výnosnosti regulačnej bázy aktív sa určuje na celé regulačné obdobie, pričom zohľadňuje |
| a) návratnosť prevádzkových aktív, používaných výhradne na zabezpečenie regulovanej činnosti, |
| b) rozsah potrebných investícií na zabezpečenie dlhodobej spoľahlivej, bezpečnej a udržateľnej prevádzky aktív používaných pri výkone regulovanej činnosti, |
| c) stimuláciu úradom schválených investícií regulovaného subjektu do aktív používaných na |
| 1. pripájanie výrobcov plynu a ich zariadení využívajúcich vodíkové technológie, |
| 2. konverziu plynárenskej infraštruktúry na využívanie plynov z bezuhlíkových zdrojov, napríklad vodík, biometán, |
| 3. rozvoj a obnovu zariadení na automatizáciu a digitalizáciu prevádzkovania sietí, |
| 4. zvyšovanie environmentálnej udržateľnosti prevádzkovania sietí, |
| 5. zvyšovanie kvality služieb pre užívateľov sietí a koncových odberateľov. |
| (2) Miera výnosnosti regulačnej bázy aktív pred zdanením na regulačné obdobie sa vyjadruje ako vážený priemer nákladov na kapitál WACC pred zdanením, stanovený v percentuálnej hodnote, matematicky zaokrúhlenej na dve desatinné miesta, a vypočíta sa podľa vzorca |
| , |
| kde |
| a) Ke sú náklady na vlastný kapitál v percentách určené podľa odseku 3, |
| b) Kd sú náklady na cudzí kapitál vo výške 2,72 %, |
| c) je podiel vlastného majetku na celkovom majetku, ktorý sa ustanovuje na celé regulačné obdobie vo výške 40 %, |
| d) je podiel cudzieho majetku na celkovom majetku, ktorý sa ustanovuje na celé regulačné obdobie vo výške 60 %, |
| e) T je sadzba dane z príjmu právnických osôb v roku t v percentách. |
| (3) Náklady na vlastný kapitál sa vypočítajú podľa vzorca |
| |
| kde |
| a) Rf je bezriziková výnosová miera, ktorá sa na regulačné obdobie ustanovuje vo výške 1,30 %, |
| b) βlevered je vážený beta koeficient vyjadrujúci systematické riziko, citlivosť konkrétneho odvetvia na zmenu trhu vypočíta sa podľa vzorca |
| |
| kde |
| 1. βunlevered je nevážený beta koeficient bez vplyvu sadzby dane z príjmov a podielu cudzích zdrojov, pre regulačné obdobie sa ustanovuje vo výške 0,44, |
| 2. D/E je pomer cudzích zdrojov k vlastnému majetku, ktorý sa ustanovuje na celé regulačné obdobie vo výške 1,5. |
| c) MRP je trhová riziková prirážka, ktorá sa na regulačné obdobie ustanovuje vo výške 5,08 %. |
| (4) Hodnota WACC pred zdanením sa na regulačné obdobie ustanovuje vo výške 4,76 %. Ak sa určí nová hodnota WACC na rok t podľa odseku 5, hodnota WACC podľa prvej vety sa na rok t a zvyšok regulačného obdobia nepoužije. |
| (5) Ak relatívna odchýlka medzi rokmi t-2 a t-1 v niektorom z parametrov vstupujúcich do výpočtu WACC v priebehu regulačného obdobia bude vyššia ako 20 %, určí sa nová hodnota WACC na rok t a na zvyšok regulačného obdobia, ktorá sa zverejní na webovom sídle úradu najneskôr do 30. júna roku t-1. Relatívna zmena vyjadrená ako hodnota pomeru medzi aktuálnou číselnou hodnotou WACC a novou číselnou hodnotou WACC nepresiahne 10 %, teda pomer nepresiahne hodnoty uzavretého matematického intervalu [0,9 – 1,1]. |
| (6) Na účely dosiahnutia cieľov podľa odseku 1 písm. c) sa nominálna hodnota WACC pred zdanením v percentách navýši o prémiu, ktorej nominálna hodnota je 2 %. V návrhu ceny na rok t sa regulovaným subjektom predkladá rozsah potrebných aktív vrátane obstarávacej ceny, ktoré využíva výhradne na dosahovanie cieľov uvedených v odseku 1 písm. c) a zaradených do regulačnej bázy aktív od začiatku regulačného obdobia do roku t-1. |
| (7) Navýšenie hodnoty WACC o prémiu podľa odseku 6 sa nekumuluje. |
| Prístup do prepravnej siete a preprava plynu |
| § 7 |
| (1) Cenová regulácia prístupu do prepravnej siete a prepravy plynu sa vzťahuje na prevádzkovateľa prepravnej siete, ktorý prepravuje plyn prepravnou sieťou v roku t. |
| (2) Cenová regulácia prístupu do prepravnej siete a prepravy plynu pre vstupné body, ktoré sú prepojovacími bodmi,22) sa vykonáva v súlade s osobitným predpisom.1) |
| (3) Cenová regulácia prístupu do prepravnej siete a prepravy plynu pre výstupné body, ktoré sú prepojovacími bodmi,22) sa vykonáva v súlade s osobitným predpisom.1) |
| (4) Cenová regulácia prístupu do prepravnej siete a prepravy plynu pre vstupné body alebo výstupné body iné ako prepojovacie body uvedené v odsekoch 2 a 3 sa vykonáva podľa
§ 3 písm. e). |
| (5) Súčasťou návrhu ceny za prístup do prepravnej siete a prepravu plynu sú: |
| a) návrh druhov taríf, ktoré regulovaný subjekt bude fakturovať jednotlivým užívateľom prepravnej siete, vrátane podmienok priznania jednotlivých druhov taríf, |
| b) údaje potrebné na preverenie taríf vrátane analýzy cien za prepravu plynu v ostatných členských štátoch Európskej únie za roky t-4, t-3, t-2 a t-1 podľa § 8 pre vstupné body alebo výstupné body podľa odseku 4, |
| c) údaje uvedené v tabuľkách podľa príloh č. 2 až 7; vyplnené tabuľky podľa príloh č. 2 až 7 sa predkladajú do 31. júla v každom roku regulačného obdobia, |
| d) údaje o plánovaných nákladoch a skutočných nákladoch podľa § 4 ods. 1 písm. l) projektu výskumu a vývoja podľa prílohy č. 8, |
| e) ďalšie podklady potrebné na posúdenie návrhu ceny. |
| (6) Súčasťou návrhu ceny za prístup do prepravnej siete a prepravu plynu je aj návrh neutralizačného poplatku podľa osobitného predpisu,23) ktorého súčasťou sú údaje |
| a) o výške neutralizačného poplatku podľa § 9 ods. 13 a postupe jeho výpočtu, |
| b) potrebné na výpočet neutralizačného poplatku, |
| c) potrebné na preverenie výpočtu neutralizačného poplatku, najmä množstvo plánovanej pridelenej prepravnej kapacity podliehajúce platbe neutralizačného poplatku. |
| (7) Ustanovenia o návrhu ceny sa primerane vzťahujú aj na návrh na zmenu cenového rozhodnutia na základe výsledkov pravidelnej konzultácie podľa osobitného predpisu24) alebo zmeny štatútu vstupných bodov alebo výstupných bodov podľa odseku 4. |
| (8) Návrh ceny sa predkladá v listinnej podobe alebo v elektronickej podobe elektronickým podaním do elektronickej schránky, pričom podklady podľa odseku 5 písm. a) a b) a odseku 6 sa predkladajú vo formáte, ktorý zachováva úplnú funkčnosť tabuľkového editora. |
| § 8 |
| (1) Podkladom návrhu ceny za prístup do prepravnej siete a prepravu plynu na rok t je aj analýza cien za prepravu plynu v ostatných členských štátoch Európskej únie za roky t-4, t-3, t-2 a t-1 vypracovaná regulovaným subjektom. |
| (2) Analýza podľa odseku 1 zahŕňa najmä prevádzkovateľov prepravných sietí, ktorí používajú vstupno – výstupný tarifný systém (ďalej len „tarifný systém“), a prevádzkovateľov prepravných sietí v členských štátoch Európskej únie susediacich so Slovenskou republikou. |
| (3) Kritériá porovnávania použité v analýze podľa odseku 1 zohľadňujúce parametre terajších užívateľov ako aj vybraných potenciálnych užívateľov prepravnej siete na vymedzenom území, ktorí predstavujú užívateľov prepravnej siete v jednotlivých tarifách za prístup do prepravnej siete a prepravu plynu podľa § 9 ods. 4, sú najmä |
| a) plánované prepravené množstvo plynu, |
| b) dohodnuté denné maximum a dĺžka platnosti zmluvy. |
| (4) Výsledkom analýzy podľa odseku 1 je porovnanie celkových priemerných cien za prepravu plynu medzi vstupno – výstupnými bodmi prepravnej siete a ich prepočet na dĺžkové jednotky, prehľad o využívaných produktoch ponúkaných prevádzkovateľmi sietí a porovnanie |
| a) nákladov na vyvažovanie, |
| b) nákladov na prevádzku sietí, |
| c) odpisov, |
| d) výnosov za poskytnutie služieb v prepravných sieťach. |
| (5) Porovnanie nákladov, odpisov a výnosov sa predkladá v absolútnych číslach a prepočítané na jednotku množstva prepraveného plynu. |
| (6) Cena na vstupnom bode alebo na výstupnom bode, ktorý nie je prepojovacím bodom podľa § 7 ods. 2 a 3, sa určuje alebo schvaľuje úpravou referenčnej ceny1) na základe porovnania cien za prístup do prepravnej siete a prepravu plynu na rok t primerane zohľadňujúc výsledky porovnania cien z analýzy podľa odseku 1 vo forme taríf za prístup do prepravnej siete a prepravu plynu. |
| § 9 |
| Postup a podmienky uplatňovania ceny za prístup do prepravnej siete a prepravu plynu |
| (1) Ceny za prístup do prepravnej siete a prepravu plynu na rok t sa navrhujú vo forme tarifného systému, ktorý obsahuje osobitné tarify pre vstupné body do prepravnej siete a osobitné tarify pre výstupné body z prepravnej siete.25) |
| (2) Tarifný systém je zložený z |
| a) taríf vzťahujúcich sa na objednanú dennú prepravnú kapacitu, |
| b) taríf vzťahujúcich sa na množstvo skutočne prepraveného plynu určených podľa osobitného predpisu,1) |
| c) ceny za prerušiteľnú kapacitu, |
| d) neutralizačného poplatku vrátane určenia metodiky výpočtu uplatňovanej ceny pre určenie denného poplatku za odchýlku, |
| e) platby za prekročenie dennej prepravnej kapacity na príslušnom vstupnom bode alebo výstupnom bode. |
| (3) Ustanovenia odsekov 4 až 12 sa vzťahujú na vstupné body alebo výstupné body iné ako prepojovacie body uvedené v § 7 ods. 2 a 3. |
| (4) Tarify vzťahujúce sa na objednanú dennú prepravnú kapacitu sa navrhujú pre dennú prepravnú kapacitu objednanú na obdobie jedného roka a pre dennú prepravnú kapacitu objednanú na obdobie kratšie ako jeden rok a členia sa takto: |
| a) tarifa Ten1, ktorá sa používa na ocenenie prístupu a prepravy plynu cez vstupné body do prepravnej siete s dennou kapacitou do 18 200 MWh/d vrátane, |
| b) tarifa Ten2, ktorá sa používa na ocenenie prístupu a prepravy plynu cez vstupné body do prepravnej siete s dennou kapacitou nad 18 200 MWh/d do 100 000 MWh/d vrátane, |
| c) tarifa Ten3, ktorá sa používa na ocenenie prístupu a prepravy plynu cez vstupné body do prepravnej siete s dennou kapacitou nad 100 000 MWh/d do 416 000 MWh/d vrátane, |
| d) tarifa Ten4, ktorá sa používa na ocenenie prístupu a prepravy plynu cez vstupné body do prepravnej siete s dennou kapacitou nad 416 000 MWh/d do 1 372 800 MWh/d vrátane, |
| e) tarifa Ten5, ktorá sa používa na ocenenie prístupu a prepravy plynu cez vstupné body do prepravnej siete s dennou kapacitou nad 1 372 800 MWh/d, |
| f) tarifa Tex1, ktorá sa používa na ocenenie prístupu a prepravy plynu cez výstupné body z prepravnej siete s dennou kapacitou do 18 200 MWh/d vrátane, |
| g) tarifa Tex2, ktorá sa používa na ocenenie prístupu a prepravy plynu cez výstupné body z prepravnej siete s dennou kapacitou nad 18 200 MWh/d do 100 000 MWh/d vrátane, |
| h) tarifa Tex3, ktorá sa používa na ocenenie prístupu a prepravy plynu cez výstupné body z prepravnej siete s dennou kapacitou nad 100 000 MWh/d do 416 000 MWh/d vrátane, |
| i) tarifa Tex4, ktorá sa používa na ocenenie prístupu a prepravy plynu cez výstupné body z prepravnej siete s dennou kapacitou nad 416 000 MWh/d do 1 372 800 MWh/d vrátane, |
| j) tarifa Tex5, ktorá sa používa na ocenenie prístupu a prepravy plynu cez výstupné body z prepravnej siete s dennou kapacitou nad 1 372 800 MWh/d. |
| (5) Výsledná tarifa na vstupnom bode do prepravnej siete Pen(n)(t) na rok t sa vypočíta podľa vzorca |
| |
| kde |
| a) Tent je východisková sadzba tarify na vstupnom bode do prepravnej siete na rok t v eurách/(MWh/d)/y podľa odseku 4, |
| b) αt je faktor dennej kapacity určený v rozmedzí 0 až 1 pre tarify podľa odseku 4 pre vstupný bod do prepravnej siete na rok t tak, že zohľadňuje pokles ceny za prístup do prepravnej siete a prepravu plynu v závislosti od rastúceho množstva prepraveného plynu, |
| c) Cent je zmluvne dohodnutá denná kapacita na vstupnom bode do prepravnej siete na rok t v MWh/d, |
| d) Iy/m/d je faktor doby trvania zmluvy o prístupe do prepravnej siete a preprave plynu v rokoch/mesiacoch/dňoch. |
| (6) Pri ročných zmluvách o prístupe do prepravnej siete a preprave plynu sa Iy vypočíta podľa vzorca |
| |
| kde |
| Dy je doba vykonávania prepravy plynu podľa zmluvy v rokoch. |
| (7) Pri mesačných zmluvách o prístupe do prepravnej siete a preprave plynu sa Im vypočíta podľa vzorca |
| |
| kde |
| Dm je doba vykonávania prepravy plynu podľa zmluvy v mesiacoch. |
| (8) Pri denných zmluvách o prístupe do prepravnej siete a preprave plynu sa Id vypočíta podľa vzorca |
| |
| kde |
| Dd je doba vykonávania prepravy plynu podľa zmluvy v dňoch. |
| (9) Pri zmluvách o prístupe do prepravnej siete a preprave plynu v dĺžke trvania jeden rok je hodnota Iy rovná 1. Hodnota Iy klesá v závislosti od dohodnutého počtu rokov trvania vykonávania prepravy plynu dohodnutej na základe zmluvy, pričom výsledná tarifa pre zmluvu s trvaním 20 a viac rokov je najviac vo výške 0,886-násobku výslednej tarify pre zmluvu s trvaním jeden rok. Faktor doby trvania pri mesačných zmluvách o prístupe do prepravnej siete a preprave plynu sa určuje tak, aby výsledná tarifa pre zmluvu s trvaním jeden mesiac bola najviac vo výške 2,4 násobku mesačnej platby pre zmluvu s trvaním jeden rok. Faktor doby trvania pri denných zmluvách o prístupe do prepravnej siete a preprave plynu sa určuje tak, aby výsledná tarifa pre zmluvu s trvaním jeden deň bola najviac vo výške 2,993-násobku dennej platby pre zmluvu s trvaním jeden rok. |
| (10) Výsledná tarifa na výstupnom bode z prepravnej siete Pex(n)(t) na rok t sa vypočíta podľa vzorca |
| |
| kde |
| a) Text je východisková sadzba tarify na výstupnom bode z prepravnej siete na rok t v eurách/(MWh/d)/y podľa odseku 4, |
| b) αt je faktor dennej kapacity určený v rozmedzí od 0 až 1 pre tarify podľa odseku 4 pre výstupný bod z prepravnej siete na rok t tak, že zohľadňuje pokles ceny za prístup do prepravnej siete a prepravu plynu v závislosti od rastúceho množstva prepraveného plynu, |
| c) Cext je zmluvne dohodnutá denná kapacita na výstupnom bode z prepravnej siete na rok t v MWh/d, |
| d) Iy/m/d je faktor doby trvania zmluvy o prístupe do prepravnej siete a preprave plynu v rokoch/mesiacoch/dňoch. |
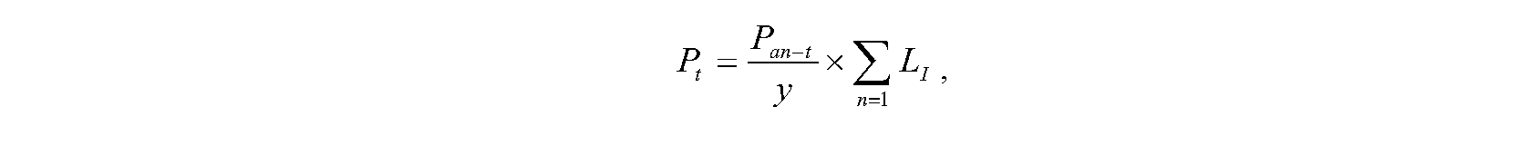
| (11) Ročná platba Pt za prístup a prepravu plynu vstupným bodom alebo výstupným bodom pri prerušiteľnej kapacite pre rok t pri ročnej zmluve za prístup do prepravnej siete a prepravu plynu sa vypočíta podľa vzorca |
| 
|
| kde |
| a) Pan-t je ročná platba za prepravnú kapacitu bez prerušenia, |
| b) y je celkový počet dní v roku t, |
| c) LI je faktor odrážajúci mieru prerušenia vypočítaný podľa vzorca |
| 
|
| kde |
| 1. CS je dostupná výška prerušiteľnej prepravnej kapacity pri prerušení alebo obmedzení prepravy plynu prevádzkovateľom prepravnej siete, |
| 2. CI je zmluvná denná prerušiteľná prepravná kapacita. |
| (12) Na odberateľa plynu, ktorý je pripojený do prepravnej siete a ktorý je výrobcom elektriny a súčasne poskytovateľom podporných služieb v elektroenergetike na základe zmluvy o poskytovaní podporných služieb a dodávke regulačnej elektriny, sa po preukázaní skutočne dodaného množstva regulačnej elektriny a po preukázaní množstva plynu potrebného na výrobu regulačnej elektriny neuplatňuje platba za prekročenie dennej prepravnej kapacity na príslušnom výstupnom bode, pričom platba užívateľa prepravnej siete za prepravu plynu podľa platného cenového rozhodnutia tým nie je dotknutá. |
| (13) Neutralizačný poplatok pre každý rok regulačného obdobia vyjadrený v eurách na energetickú jednotku pridelenej prepravnej kapacity sa určí ako rozdiel medzi príjmami prevádzkovateľa prepravnej siete a nákladmi na vykonávanie vyvažovacej činnosti a upravuje sa podľa skutočného stavu neutralizačného účtu v roku t-2. |
| (14) Na neutralizačnom účte vedenom prevádzkovateľom prepravnej siete sú evidované údaje súvisiace s realizáciou vyvažovacích činností najmä |
| a) prijaté platby za neutralizačný poplatok od užívateľov prepravnej siete, |
| b) ekonomicky oprávnené náklady vynaložené v nevyhnutnom rozsahu na vykonávanie vyváženia prepravnej siete podľa § 4 ods. 1 okrem nákladov podľa § 4 ods. 1 písm. a) a k), |
| c) výnosy prevádzkovateľa prepravnej siete z predaja plynu predaného ako výsledok vyvažovacej činnosti vyváženia siete, |
| d) náklady prevádzkovateľa prepravnej siete na nákup plynu pre zabezpečenie vyváženia siete. |
| (15) Súčasťou tarifného systému podľa odseku 2 je poplatok pre zvýšenie úrovne bezpečnosti dodávok plynu. Cenovým rozhodnutím sa určí výška a podmienky účtovania poplatku pre zvýšenie úrovne bezpečnosti dodávok plynu26) prevádzkovateľom prepravnej siete. |
| Prístup do distribučnej siete a distribúcia plynu |
| § 10 |
| Prístup do distribučnej siete a distribúcia plynu a poskytovanie podporných služieb v plynárenstve |
| (1) Cenová regulácia prístupu do distribučnej siete a distribúcie plynu podľa § 10 až 12 sa vzťahuje na prevádzkovateľov distribučných sietí, ktorí distribuujú plyn distribučnou sieťou v roku t. |
| (2) Súčasťou návrhu ceny za prístup do distribučnej siete a distribúciu plynu regulovaného subjektu sú: |
| a) návrh maximálnej ceny za prístup do distribučnej siete a distribúciu plynu ustanovenej podľa § 12 a postup výpočtu tejto ceny, |
| b) údaje potrebné na výpočet návrhu maximálnej ceny za prístup do distribučnej siete a distribúciu plynu a maximálnej ceny za poskytovanie podporných služieb, ak ich regulovaný subjekt poskytuje, |
| c) návrh taríf za prístup do distribučnej siete a distribúciu plynu, ktoré regulovaný subjekt bude fakturovať užívateľom distribučnej siete, vrátane podmienok priznania jednotlivých taríf, |
| d) skutočné množstvo distribuovaného plynu za roky t-4 až t-2, očakávané množstvo distribuovaného plynu za rok t-1 a predpokladané množstvo distribuovaného plynu v jednotlivých tarifách na rok t, |
| e) počet odberných miest v rozsahu skutočnosť za rok t-4 až t-2, očakávaná skutočnosť za rok t-1 a predpoklad na rok t, |
| f) výška hodnôt denných maxím v jednotkách množstva distribuovaného plynu v rozsahu skutočnosť za rok t-4 až t-2, očakávaná skutočnosť za rok t-1 a predpoklad na rok t, |
| g) údaje uvedené v tabuľkách podľa príloh č. 9 až 14 a iné skutočnosti ovplyvňujúce priamo alebo nepriamo náklady regulovaného subjektu; tabuľky podľa príloh č. 9 až 14 a všetky parametre vzorca na výpočet ceny za prístup do distribučnej siete a distribúciu plynu sa predkladajú do 31. júla v každom roku regulačného obdobia, |
| h) údaje o plánovaných nákladoch a skutočných nákladoch podľa § 4 ods. 1 písm. l) projektu výskumu a vývoja podľa prílohy č. 8, |
| i) ďalšie podklady potrebné na posúdenie návrhu ceny. |
| (3) Tarify za prístup do distribučnej siete a distribúciu plynu na základe zmluvne dohodnutého ročného množstva distribuovaného plynu pre každé odberné miesto distribučnej siete sa členia takto: |
| a) tarifná skupina 1, ktorá sa používa na ocenenie distribúcie plynu distribuovaného do odberného miesta so zmluvne dohodnutým ročným množstvom distribuovaného plynu do 2 138 kWh vrátane (približne do 200 m³ vrátane), |
| b) tarifná skupina 2, ktorá sa používa na ocenenie distribúcie plynu distribuovaného do odberného miesta so zmluvne dohodnutým ročným množstvom distribuovaného plynu nad 2 138 kWh do 18 173 kWh vrátane (približne nad 200 m³ do 1 700 m³ vrátane), |
| c) tarifná skupina 3, ktorá sa používa na ocenenie distribúcie plynu distribuovaného do odberného miesta so zmluvne dohodnutým ročným množstvom distribuovaného plynu nad 18 173 kWh do 42 760 kWh vrátane (približne nad 1 700 m³ do 4 000 m³ vrátane), |
| d) tarifná skupina 4, ktorá sa používa na ocenenie distribúcie plynu distribuovaného do odberného miesta so zmluvne dohodnutým ročným množstvom distribuovaného plynu nad 42 760 kWh do 69 485kWh vrátane (približne nad 4 000 m³ do 6 500 m³ vrátane), |
| e) tarifná skupina 5, ktorá sa používa na ocenenie distribúcie plynu distribuovaného do odberného miesta so zmluvne dohodnutým ročným množstvom distribuovaného plynu nad 69 485 kWh do 85 000 kWh vrátane (približne nad 6 500 m³ do 7 951 m³ vrátane), |
| f) tarifná skupina 6, ktorá sa používa na ocenenie distribúcie plynu distribuovaného do odberného miesta so zmluvne dohodnutým ročným množstvom distribuovaného plynu nad 85 000 kWh do 100 000 kWh vrátane (približne nad 7 951 m³ do 9 355 m³ vrátane), |
| g) tarifná skupina 7, ktorá sa používa na ocenenie distribúcie plynu distribuovaného do odberného miesta so zmluvne dohodnutým ročným množstvom distribuovaného plynu nad 100 000 kWh do 300 000 kWh vrátane (približne nad 9 355 m³ do 28 064 m³ vrátane), |
| h) tarifná skupina 8, ktorá sa používa na ocenenie distribúcie plynu distribuovaného do odberného miesta so zmluvne dohodnutým ročným množstvom distribuovaného plynu nad 300 000 kWh do 641 400 kWh vrátane (približne nad 28 064 m³ do 60 000 m³ vrátane), |
| i) tarifná skupina 9, ktorá sa používa sa na ocenenie distribúcie plynu distribuovaného do odberného miesta so zmluvne dohodnutým ročným množstvom distribuovaného plynu nad 641 400 kWh do 2 000 000 kWh vrátane (približne nad 60 000 m³ do 187 091 m³ vrátane), |
| j) tarifná skupina 10, ktorá sa používa sa na ocenenie distribúcie plynu distribuovaného do odberného miesta so zmluvne dohodnutým ročným množstvom distribuovaného plynu nad 2 000 000 kWh do 4 000 000 kWh vrátane (približne nad 187 091 m³ do 374 181 m³ vrátane), |
| k) tarifná skupina 11, ktorá sa používa sa na ocenenie distribúcie plynu distribuovaného do odberného miesta so zmluvne dohodnutým ročným množstvom distribuovaného plynu nad 4 000 000 kWh do 8 000 000 kWh vrátane (približne nad 374 181 m³ do 748 363 m³ vrátane), |
| l) tarifná skupina 12, ktorá sa používa na ocenenie distribúcie plynu distribuovaného do odberného miesta so zmluvne dohodnutým ročným množstvom distribuovaného plynu nad 8 000 000 kWh do 14 000 000 kWh vrátane (približne nad 748 363 m³ do 1 309 635 m³ vrátane), |
| m) tarifná skupina 13, ktorá sa používa na ocenenie distribúcie plynu distribuovaného do odberného miesta so zmluvne dohodnutým ročným množstvom distribuovaného plynu nad 14 000 000 kWh do 22 000 000 kWh vrátane (približne nad 1 309 635 m³ do 2 057 998 m3 vrátane), |
| n) tarifná skupina 14, ktorá sa používa na ocenenie distribúcie plynu distribuovaného do odberného miesta so zmluvne dohodnutým ročným množstvom distribuovaného plynu nad 22 000 000 kWh do 50 000 000 kWh vrátane (približne nad 2 057 998 m³ do 4 677 268 m3 vrátane), |
| o) tarifná skupina 15, ktorá sa používa na ocenenie distribúcie plynu distribuovaného do odberného miesta so zmluvne dohodnutým ročným množstvom distribuovaného plynu nad 50 000 000 kWh do 100 000 000 kWh vrátane (približne nad 4 677 268 m³ do 9 354 537 m3 vrátane), |
| p) tarifná skupina 16, ktorá sa používa na ocenenie distribúcie plynu distribuovaného do odberného miesta so zmluvne dohodnutým ročným množstvom distribuovaného plynu nad 100 000 000 kWh do 250 000 000 kWh vrátane (približne nad 9 354 537 m³ do 23 386 342 m3 vrátane), |
| q) tarifná skupina 17, ktorá sa používa na ocenenie distribúcie plynu distribuovaného do odberného miesta so zmluvne dohodnutým ročným množstvom distribuovaného plynu nad 250 000 000 kWh do 1 000 000 000 kWh vrátane (približne nad 23 386 342 m³ do 93 545 370 m3 vrátane), |
| r) tarifná skupina 18, ktorá sa používa na ocenenie distribúcie plynu distribuovaného do odberného miesta so zmluvne dohodnutým ročným množstvom distribuovaného plynu nad 1 000 000 000 kWh do 1 600 000 000 kWh vrátane (približne nad 93 545 370 m³ do 149 672 591 m3 vrátane), |
| s) tarifná skupina 19, ktorá sa používa na ocenenie distribúcie plynu distribuovaného do odberného miesta so zmluvne dohodnutým ročným množstvom distribuovaného plynu nad 1 600 000 000 kWh do 2 100 000 000 kWh vrátane (približne nad 149 672 591 m3 do 196 445 276 m³ vrátane), |
| t) tarifná skupina 20, ktorá sa používa na ocenenie distribúcie plynu distribuovaného do odberného miesta so zmluvne dohodnutým ročným množstvom distribuovaného plynu nad 2 100 000 000 kWh do 2 700 000 000 kWh vrátane (približne nad 196 445 276 m3 do 252 572 498 m³ vrátane), |
| u) tarifná skupina 21, ktorá sa používa na ocenenie distribúcie plynu distribuovaného do odberného miesta so zmluvne dohodnutým ročným množstvom distribuovaného plynu nad 2 700 000 000 kWh do 3 200 000 000 kWh vrátane (približne nad 252 572 498 m3 do 299 345 182 m³ vrátane), |
| v) tarifná skupina 22, ktorá sa používa na ocenenie distribúcie plynu distribuovaného do odberného miesta so zmluvne dohodnutým ročným množstvom distribuovaného plynu nad 3 200 000 000 kWh do 3 750 000 000 kWh vrátane (približne nad 299 345 182 m3 do 350 795 136 m³ vrátane), |
| w) tarifná skupina 23, ktorá sa používa na ocenenie distribúcie plynu distribuovaného do odberného miesta so zmluvne dohodnutým ročným množstvom distribuovaného plynu nad 3 750 000 000 kWh do 4 280 000 000 kWh vrátane (približne nad 350 795 136 m3 do 400 374 181 m³ vrátane), |
| x) tarifná skupina 24, ktorá sa používa na ocenenie distribúcie plynu distribuovaného do odberného miesta so zmluvne dohodnutým ročným množstvom distribuovaného plynu nad 4 280 000 000 kWh do 4 810 000 000 kWh vrátane (približne nad 400 374 181 m3 do 449 953 227 m³ vrátane), |
| y) tarifná skupina 25, ktorá sa používa na ocenenie distribúcie plynu distribuovaného do odberného miesta so zmluvne dohodnutým ročným množstvom distribuovaného plynu nad 4 810 000 000 kWh do 5 345 000 000 kWh vrátane (približne nad 449 953 227 m3 do 500 000 000 m³ vrátane), |
| z) tarifná skupina 26, ktorá sa používa na ocenenie distribúcie plynu distribuovaného do odberného miesta so zmluvne dohodnutým ročným množstvom distribuovaného plynu nad 5 345 000 000 kWh (približne nad 500 000 000 m3). |
| (4) Návrh ceny sa predkladá v listinnej podobe alebo v elektronickej podobe elektronickým podaním do elektronickej schránky, pričom podklady podľa odseku 2 písm. a) až f) sa predkladajú vo formáte, ktorý zachováva úplnú funkčnosť tabuľkového editora. |
| § 11 |
| Postup a podmienky uplatňovania maximálnej ceny a tarify za prístup do distribučnej siete a distribúciu plynu a maximálnej ceny za poskytovanie podporných služieb v plynárenstve |
| (1) Tarify za prístup do distribučnej siete a distribúciu plynu na rok t sa určujú tak, že celkové plánované tržby z taríf za prístup do distribučnej siete a distribúciu plynu v roku t regulačného obdobia na jednotku množstva plynu parametra Qt,t-n podľa § 12 ods. 1 písm. a) neprekročia maximálnu cenu za prístup do distribučnej siete a distribúciu plynu na rok t vypočítanú podľa § 12 ods. 1. Súčasťou taríf sú aj platby za prekročenie dennej distribučnej kapacity a cena za poskytovanie podporných služieb v plynárenstve. |
| (2) Platby za prekročenie dennej distribučnej kapacity sa určujú osobitne na mesiace január, február, marec, október, november, december, osobitne na mesiace apríl, máj, jún, júl, august a september a osobitne po dobu troch po sebe nasledujúcich mesiacov pre distribúciu plynu, ktorá má sezónny charakter a plyn je využívaný výlučne na poľnohospodárske účely.27)
|
| (3) Na odberateľa plynu, ktorý je pripojený do distribučnej siete a ktorý je výrobcom elektriny a súčasne poskytovateľom podporných služieb v elektroenergetike na základe zmluvy o poskytovaní podporných služieb a dodávke regulačnej elektriny, sa po preukázaní dodávky regulačnej elektriny výrobcom elektriny a po preukázaní objemu plynu potrebného na výrobu regulačnej elektriny neuplatňuje platba za prekročenie dennej distribučnej kapacity na odbernom mieste. V mesiaci, v ktorom došlo k prekročeniu dennej distribučnej kapacity, sa dodatočná platba za dennú distribučnú kapacitu na tomto odbernom mieste pre tohto odberateľa plynu rovná súčinu prekročenia dohodnutej dennej distribučnej kapacity nad povolené prekročenie a príslušnej ceny podľa cenového rozhodnutia. |
| (4) Tarify za prístup do distribučnej siete a distribúciu plynu sa pri krátkodobých zmluvách o prístupe do distribučnej siete a distribúcii plynu líšia podľa sezónneho využitia distribučnej siete. |
| (5) Tarify za prístup do distribučnej siete a distribúciu plynu na rok t sa navrhujú ako viaczložkové tak, že plánované tržby z fixných zložiek jednotlivých taríf za prístup do distribučnej siete a distribúciu plynu a zložiek taríf za dennú distribučnú kapacitu na odbernom mieste tvoria najviac 85 % z celkových plánovaných tržieb za prístup do distribučnej siete a distribúciu plynu z jednotlivých navrhovaných taríf za prístup do distribučnej siete a distribúciu plynu, pričom tarify na krytie strát plynu a vlastnej spotreby plynu v distribučnej sieti podľa § 12 ods. 6 predstavujú variabilnú zložku taríf. Zložky taríf za prístup do distribučnej siete a distribúciu plynu sa navrhujú tak, že zohľadňujú vyrovnaný charakter odberu plynu odberateľmi plynu, ktorí priaznivo prispievajú k vyvažovaniu distribučnej siete. Za vyrovnaný charakter odberu plynu sa považuje odber plynu, kde podiel ročného množstva spotrebovaného plynu a objednanej dennej distribučnej kapacity na odbernom mieste je vyšší ako 280. |
| (6) Prevádzkovateľ distribučnej siete, ktorý distribuuje plyn distribučnou sieťou, do ktorej je pripojených menej ako 100 000 odberateľov, môže použiť pri určení cien za prístup do distribučnej siete a distribúciu plynu tarify nadradenej siete, do ktorej je pripojený (ďalej len „prevzatá tarifa“), pričom cenu za prístup do distribučnej siete a distribúciu plynu pre užívateľov siete tvoria prevzaté tarify, výška strát a vlastnej spotreby v sieti, ktorú prevádzkuje, najviac vo výške 1,4 % z množstva plynu nameraného na vstupe do siete za cenu podľa § 12 ods. 9, prevádzkové náklady určené ako priemerné ročné prevádzkové náklady nevyhnutne vynaložené na regulovanú činnosť a započítané do cien v predchádzajúcom regulačnom období za roky 2017 až 2022 a primeraný zisk v maximálnej výške 9 % z nákladov, ktoré predstavuje ročná platba za distribúciu plynu prevádzkovateľovi nadradenej siete podľa prevzatej tarify. Ak regulovaný subjekt v predchádzajúcom regulačnom období nevykonával distribúciu plynu, pri určení cien za prístup do distribučnej siete a distribúciu plynu sa použijú plánované prevádzkové náklady na rok t. |
| (7) Ak prevádzkovateľ distribučnej siete distribuuje plyn distribučnou sieťou, do ktorej je pripojených menej ako 100 000 odberateľov plynu, a nie je pripojený na distribučnú sieť, do ktorej je pripojených viac ako 100 000 odberateľov plynu, pri určení ceny za prístup do distribučnej siete a distribúciu plynu pre užívateľov siete sa uplatňuje výška strát a vlastnej spotreby v sieti, ktorú prevádzkuje, najviac do 1,4 % z množstva plynu nameraného na vstupe do siete za cenu podľa § 12 ods. 9, prevádzkové náklady určené ako priemerné ročné prevádzkové náklady nevyhnutne vynaložené na regulovanú činnosť a započítané do cien v predchádzajúcom regulačnom období za roky 2017 až 2022 a primeraný zisk v maximálnej výške 9 % z nákladov, ktoré predstavuje ročná platba za distribúciu plynu ako pri pripojení na distribučnú sieť prevádzkovateľa nadradenej siete, do ktorej je pripojených viac ako 100 000 odberateľov plynu. Ak regulovaný subjekt v predchádzajúcom regulačnom období nevykonával distribúciu plynu, pri určení cien za prístup do distribučnej siete a distribúciu plynu sa použijú plánované prevádzkové náklady na rok t.
|
| (8) Prevádzkovateľ distribučnej siete, ktorý distribuuje plyn distribučnou sieťou, do ktorej je pripojených menej ako 100 000 odberateľov, môže použiť pri predložení návrhu taríf za prístup do distribučnej siete a distribúciu plynu tarify prevádzkovateľa distribučnej siete, ktorý distribuuje plyn distribučnou sieťou, do ktorej je pripojených viac ako 100 000 odberateľov plynu vrátane podmienok pridelenia taríf podľa § 10 ods. 3. |
| (9) Návrh ceny za prístup do distribučnej siete a distribúciu plynu podľa odsekov 6 až 8 obsahuje identifikačné údaje regulovaného subjektu, identifikačné údaje prevádzkovateľa distribučnej siete, ktorého tarify preberá, tarifu vypočítanú podľa odseku 6 alebo prevzaté tarify, ktoré bude regulovaný subjekt uplatňovať jednotlivým skupinám odberateľov plynu, vrátane podmienok priznania jednotlivých taríf a prílohy č. 9 až 12. |
| (10) Prevádzkovateľ distribučnej siete, ktorý distribuuje plyn distribučnou sieťou, do ktorej je pripojených menej ako 100 000 odberateľov, môže predložiť vlastný návrh taríf za prístup do distribučnej siete a distribúciu plynu, pričom |
| a) tarify neobsahujú krížové dotácie medzi jednotlivými skupinami odberateľov plynu, |
| b) tarify zohľadňujú príslušnú tlakovú úroveň distribučnej siete, |
| c) použije primerane ustanovenia pre prevádzkovateľa distribučnej siete, ktorý distribuuje plyn distribučnou sieťou, do ktorej je pripojených viac ako 100 000 odberateľov. |
| § 12 |
| Výpočet maximálnej ceny za prístup do distribučnej siete a distribúciu plynu |
| (1) Maximálna cena za prístup do distribučnej siete a distribúciu plynu PCDt v eurách na jednotku množstva distribuovaného plynu pre jednotlivé roky regulačného obdobia sa vypočíta podľa vzorca |
| , |
| kde |
| a) Qt,t-n je celkový objem množstva distribuovaného plynu vypočítaný z priemerného množstva distribuovaného plynu v rokoch t-3, t -2, očakávanej skutočnosti v roku t -1 a plánovaného množstva distribuovaného plynu na rok t, |
| b) CPVt sú celkové úradom schválené plánované tržby z taríf za prístup do distribučnej siete a distribúciu plynu v roku t v eurách určené podľa odseku 2. |
| (2) Celkové úradom schválené plánované tržby z taríf za prístup do distribučnej siete a distribúciu plynu CPVt v roku t v eurách sa vypočítajú podľa vzorca |
| 
|
| kde |
| a) Ových je určená východisková hodnota odpisov regulovaného subjektu súvisiacich s regulovanou činnosťou vo východiskovom roku regulačného obdobia v eurách, |
| b) PNvých sú určené skutočné ročné ekonomicky oprávnené prevádzkové náklady v eurách súvisiace s regulovanou činnosťou určené podľa § 4 ods. 1, okrem osobných nákladov podľa písmena c) a nákladov na krytie strát a vlastnej spotreby v distribučnej sieti, určené ako priemerné ročné prevádzkové náklady nevyhnutne vynaložené na regulovanú činnosť za roky t-2, t-3 a t-4, pričom PNvých sú určené na celé regulačné obdobie a výpočet PNvých sa predloží regulovaným subjektom ako súčasť návrhu ceny na prvý rok regulačného obdobia spolu s odôvodnením výpočtu jednotlivých nákladových položiek; pre regulovaný subjekt bez histórie PNvých za predchádzajúce regulačné obdobie sa použijú pri návrhu ceny plánované prevádzkové náklady na rok t, |
| c) ONt je určená hodnota osobných nákladov podľa § 4 ods. 1 písm. c) v eurách na účely výpočtu maximálnej ceny za prístup do distribučnej siete a distribúciu plynu a vypočíta sa podľa vzorca |
| |
| kde |
| 1. INMn je aritmetický priemer zverejnených hodnôt ukazovateľa „Index nominálnej mzdy“ za obdobie od 1. júla roku t-2 do 30. júna roku t-1 zverejnených na webovom sídle Štatistického úradu Slovenskej republiky – http://datacube.statistics.sk v priečinku „Demografia a sociálne štatistiky“ v sekcii „Náklady práce“ a priečinku „Štvrťročné údaje“ a „Priemerná mesačná mzda v hospodárstve SR [pr0204qs]“, |
| 2. ONvých je určená východisková hodnota osobných nákladov v eurách vo východiskovom roku regulačného obdobia stanovená na základe skutočných osobných nákladov za rok 2021 prevádzkovateľa distribučnej siete súvisiacich s regulovanou činnosťou, |
| d) JPIn je aritmetický priemer zverejnených hodnôt ukazovateľa „jadrová inflácia“ za obdobie 12 mesiacov predchádzajúcich predloženiu návrhu ceny uvedených na webovom sídle Štatistického úradu Slovenskej republiky – http://datacube.statistics.sk v priečinku „Makroekonomické štatistiky“ v sekcii „Spotrebiteľské ceny a ceny produkčných štatistík“ v časti „Jadrová a čistá inflácia – oproti rovnakému obdobiu minulého roku v percentách“, |
| e) X je faktor efektivity ustanovený pre celé regulačné obdobie vo výške 2 %; ak je hodnota rozdielu JPIn a X nižšia ako 0, na účely výpočtu maximálnej ceny za prístup do distribučnej siete a distribúciu plynu na rok t sa hodnota rozdielu JPIn a X rovná 0, |
| f) SOt-2 je kumulatívna hodnota odpisov v eurách zo skutočne zaradeného nového dlhodobého majetku nevyhnutne potrebného na zabezpečenie prevádzkyschopnosti siete zohľadňujúca technickú dobu životnosti zaradeného majetku od roku t-2 podľa prílohy č. 1; pre rok 2023 sa hodnota SOt-2 rovná 0, |
| g) IMDSt-2 je index miery využitia dosiahnutých disponibilných zdrojov regulovaného subjektu na základe využitia dosiahnutých disponibilných zdrojov regulovaného subjektu za rok t-2 na obnovu a rozvoj siete v intervale 0,95 až 1,02, pre rok 2023 sa hodnotaIMDSt-2 rovná 1; IMDSt-2 sa vypočíta podľa vzorca |
| |
| pričom, ak je P |
| vyšší alebo sa rovná 1,8, tak IMDSt-2 = 1,02, |
| menší ako 1,8 a zároveň vyšší alebo sa rovná 1,5, tak IMDSt-2 = 1,01, |
| menší ako 1,5 a zároveň vyšší alebo sa rovná 1,0, tak IMDSt-2 = 1,00, |
| menší ako 1,0 a zároveň vyšší alebo sa rovná 0,9, tak IMDSt-2 = 0,99, |
| menší ako 0,9 a zároveň vyšší alebo sa rovná 0,8, tak IMDSt-2 = 0,98, |
| menší ako 0,8 a zároveň vyšší alebo sa rovná 0,7, tak IMDSt-2 = 0,97, |
| menší ako 0,7 a zároveň vyšší alebo sa rovná 0,6, tak IMDSt-2 = 0,96, |
| menší ako 0,6, tak IMDSt-2 = 0,95, |
| kde |
| 1. P je podiel využitia investícií do distribučnej siete, |
| 2. INVt-2 je skutočná hodnota investícií do distribučnej siete v eurách vzťahujúca sa k majetku zaradenému do hodnoty regulačnej bázy aktív používanému výhradne na regulovanú činnosť v roku t-2, |
| 3. INVt-2,plan je plánovaná hodnota investícií do distribučnej siete v eurách vzťahujúca sa k majetku zaradeného do hodnoty regulačnej bázy aktív používaného výhradne na regulovanú činnosť ustanovená pre jednotlivé roky regulačného obdobia takto: |
| | Rok | 2022 | 2023 | 2024 | 2025 | 2026 | 2027 | INVt-2,plan
v miliónoch eur | 35 | 40 | 45 | 50 | 55 | 60 |
|
| h) VPSt-2 je hodnota skutočných ročných výnosov za pripojenie do distribučnej siete v eurách za rok t-2, |
| i) VDMAXt-2 je hodnota skutočných ročných výnosov za prekročenie zmluvne dohodnutej dennej distribučnej kapacity v eurách za rok t-2, |
| j) PZt je hodnota primeraného zisku regulovaného subjektu, ktorá sa vypočíta podľa vzorca |
| |
| kde |
| 1. RABvých je východisková hodnota regulačnej bázy aktív v eurách nevyhnutne používaného výhradne na regulovanú činnosť určená k 31. decembru 2021; ak regulovaný subjekt využíva na regulovanú činnosť majetok zaradený do účtovnej evidencie po 31. decembri 2021, použije sa v návrhu ceny hodnota majetku využívaná na regulovanú činnosť od dátumu zaradenia majetku do účtovnej evidencie podľa prílohy č. 1, |
| 2. Mvých je východisková schválená alebo určená hodnota regulačnej bázy aktív v eurách, ktorá sa rovná všeobecnej hodnote majetku28) nevyhnutne používaného výhradne na regulovanú činnosť k 31. decembru 2021 predstavujúca majetok, ktorý je financovaný zo zdrojov Európskej únie alebo iných grantov a štátnych podpôr, |
| 3. WACC je určená miera výnosnosti regulačnej bázy aktív na regulačné obdobie podľa § 6, |
| 4. RAB+ je určená hodnota regulačnej bázy aktív v eurách, ktorá sa rovná všeobecnej hodnote majetku nevyhnutne používaného výhradne na regulovanú činnosť zahŕňajúca zaradený majetok v roku t-2, ktorý vznikol z investícií do regulačnej bázy aktív odsúhlasených úradom v súlade s § 6 ods. 1 písm. c) v rámci cenového konania; pre rok 2023 sa hodnota RAB+ rovná 0, |
| 5. M+ je schválená alebo určená hodnota regulačnej bázy aktív v eurách, ktorá sa rovná všeobecnej hodnote majetku nevyhnutne používaného výhradne na regulovanú činnosť, ktorý vznikol z investícií do regulačnej bázy aktív odsúhlasených úradom v súlade s § 6 ods. 1 písm. c) v rámci cenového konania a je financovaný zo zdrojov Európskej únie alebo iných grantov a štátnych podpôr, |
| 6. WACC+ je miera výnosnosti regulačnej bázy aktív na regulačné obdobie určená podľa § 6 ods. 6. |
| k) KFt je korekčný faktor pre rok t vypočítaný ako rozdiel medzi skutočnými celkovými tržbami z taríf podľa § 10 ods. 3 za prístup do distribučnej siete a distribúciu plynu v roku t-2 a celkovými úradom schválenými plánovanými tržbami z taríf za prístup do distribučnej siete a distribúciu plynu v roku t-2 v eurách podľa odseku 1 písm. b); pre roky 2023 a 2024 sa KFt rovná 0. |
| (3) Odpisy Ových pre prevádzkovateľa distribučnej siete, ktorý distribuuje plyn distribučnou sieťou, do ktorej je pripojených menej ako 100 000 odberateľov plynu, sú regulačné odpisy hmotného majetku a nehmotného majetku nevyhnutne využívaného na regulovanú činnosť vypočítané ako podiel zostatkovej ceny hmotného majetku a nehmotného majetku a doby technickej životnosti jednotlivých druhov hmotného majetku a nehmotného majetku podľa príloh č. 1 a 15, zníženej o dobu od zaradenia do účtovnej evidencie do 31. decembra 2021. Zostatková cena hmotného majetku a nehmotného majetku je rozdiel obstarávacej ceny hmotného majetku a nehmotného majetku a sumy odpisov v jednotlivých rokoch odo dňa zaradenia majetku do účtovnej evidencie. |
| (4) Regulačná báza aktív RAB pre prevádzkovateľa distribučnej siete, ktorý distribuuje plyn distribučnou sieťou, do ktorej je pripojených menej ako 100 000 odberateľov, je hodnota aktív slúžiaca výhradne na vykonávanie regulovaných činností, ktorá sa určí ako suma zostatkovej ceny hmotného majetku a nehmotného majetku podľa prílohy č. 15 a nájomného podľa § 4 ods. 1 písm. g), alebo na základe znaleckého posudku na stanovenie všeobecnej hodnoty zariadení prevádzkovateľa distribučnej siete slúžiacich výhradne na výkon regulovanej činnosti k 31. decembru 2021 podľa osobitného predpisu.28) |
| (5) Hodnoty vstupujúce do výpočtov podľa odseku 1 sa odôvodňujú analýzami, ktoré sa predkladajú s návrhom ceny. |
| (6) K tarifám podľa § 10 ods. 3 sa pripočítajú tarify na krytie strát plynu a vlastnej spotreby plynu v distribučnej sieti. Tarify na krytie strát plynu a vlastnej spotreby plynu v distribučnej sieti na rok t sa navrhujú tak, že celkové plánované tržby z taríf na krytie strát plynu a vlastnej spotreby plynu v distribučnej sieti v roku t regulačného obdobia v eurách na jednotku množstva plynu neprekročia maximálne náklady na krytie strát plynu a vlastnej spotreby plynu v distribučnej sieti. Maximálne náklady na krytie strát plynu a vlastnej spotreby plynu v distribučnej sieti podľa odsekov 6 až 8 vyjadrené v eurách sa pre rok 2023 vypočítajú podľa odseku 7, pre roky 2024 až 2027 sa vypočítajú podľa odseku 8. |
| (7) Maximálne náklady na krytie strát plynu a vlastnej spotreby plynu v distribučnej sieti pre rok 2023 sa vypočítajú ako súčin ceny plynu na krytie strát plynu a vlastnej spotreby plynu v distribučnej sieti v eurách na jednotku množstva plynu podľa odseku 9, množstva plynu vstupujúceho do distribučnej siete na rok t jednotkách množstva plynu a počiatočnej percentuálnej výšky strát v distribučnej sieti, najviac vo výške 1,9 %. V návrhu ceny regulovaného subjektu, ktorý nevykonával regulovanú činnosť v predchádzajúcom regulačnom období, sa uvádza plánované ročné množstvo plynu vstupujúce do distribučnej siete na rok t. |
| (8) Maximálne náklady na krytie strát plynu a vlastnej spotreby plynu v distribučnej sieti pre roky 2024 až 2027 sa vypočítajú ako súčin ceny plynu na krytie strát plynu a vlastnej spotreby plynu v distribučnej sieti v eurách na jednotku množstva plynu podľa odseku 9 a povoleného množstva strát v distribučnej sieti PMSDt. Povolené množstvo strát v distribučnej sieti PMSDt v jednotkách množstva plynu pre potreby výpočtu nákladov na krytie strát plynu a vlastnej spotreby plynu v distribučnej sieti pre roky 2024 až 2027 sa vypočíta podľa vzorca |
| |
| kde |
| a) VSMDt je množstvo plynu vstupujúceho do distribučnej siete na rok t v jednotkách množstva plynu, |
| b) PPSD je počiatočná percentuálna výška strát v distribučnej sieti z priemerného množstva plynu vstupujúceho do distribučnej siete určená podľa odseku 6, |
| c) PSn je faktor efektivity poklesu strát v distribučnej sieti, ustanovuje sa pre jednotlivé roky regulačného obdobia vo výške 0,25 %, pre rok 2023 je hodnota PSn rovná 0. |
| (9) Cena plynu na krytie strát a vlastnej spotreby v distribučnej sieti CPSt sa vypočíta podľa vzorca |
| |
| kde |
| a) CETHE,t je aritmetický priemer denných cien zverejnených burzou EEX (European Energy Exchange) na webovom sídle www.powernext.com/futures-market-data v časti All contracts, Settlement prices on Seasons and Calendars, produktu THE Calendar +1 v eurách na megawatthodinu za obdobie od 1. septembra roku t-2 do 31. augusta roku t-1, |
| b) kspd je koeficient zohľadňujúci medzinárodnú prepravu plynu na územie Slovenskej republiky, ustanovuje sa vo výške 1,5 eura/MWh. |
| (10) Na účely prepočtu jednotiek množstva plynu vyjadrených v metroch kubických na jednotky energie sa použije hodnota spaľovacieho tepla objemového vo výške 10,69 kWh/m3. |
| (11) Ustanovenia o návrhu ceny sa primerane vzťahujú aj na návrh na zmenu cenového rozhodnutia. |
| § 13 |
| Pripojenie do prepravnej siete a pripojenie nových výrobcov plynu do prepravnej siete |
| (1) Cenová regulácia pripojenia do prepravnej siete sa vzťahuje na prevádzkovateľa prepravnej siete, ktorý prevádzkuje prepravnú sieť v roku t. |
| (2) Súčasťou návrhu ceny za pripojenie do prepravnej siete a pripojenie nových výrobcov plynu do prepravnej siete sú podklady a údaje k navrhovanej cene a iné podklady potrebné na posúdenie návrhu ceny. |
| (3) Maximálna cena za pripojenie plynového zariadenia do prepravnej siete sa určí na základe skutočne vynaložených ekonomicky oprávnených nákladov v primeranej výške, ktorými sú náklady na |
| a) prípravu, projektovanie a určenie podmienok pripojenia do prepravnej siete, výpočtové a projekčné práce prevádzkovateľa prepravnej siete na pripojení, na štúdie, projekty, prieskumy a posudky na určenie podmienok pripojenia do prepravnej siete, |
| b) obstaranie technických zariadení potrebných na úpravu prepravnej siete pre zabezpečenie prepojiteľnosti plynového zariadenia do prepravnej siete, |
| c) montáž a inštaláciu zariadenia podľa písmena b), |
| d) inžiniersku činnosť, najmä na vykonanie predpísaných individuálnych skúšok, funkčných skúšok, úradných skúšok a všetkých úkonov potrebných na zaistenie bezpečnosti technického zariadenia podľa písmena b) v súlade s platnými technickými normami a osobitným predpisom,29) |
| (4) Náklady podľa odseku 3 sa preukazujú účtovnými dokladmi. |
| Pripojenie do distribučnej siete a pripojenie nových výrobcov plynu do distribučnej siete |
| § 14 |
| (1) Súčasťou návrhu ceny za pripojenie do distribučnej siete a pripojenie nových výrobcov plynu do distribučnej siete sú: |
| a) návrh ceny za pripojenie do distribučnej siete, |
| b) podklady k navrhovanej cene, |
| c) podklady o skutočných nákladoch za pripojenie do distribučnej siete v roku t-2; ak regulovaný subjekt predkladá návrh ceny prvýkrát a z dôvodu nevykonávania regulovanej činnosti nemá informáciu o skutočných nákladoch za pripojenie do distribučnej siete za rok t-2, použijú sa plánované priemerné ekonomicky oprávnené náklady na pripojenie plynového zariadenia do distribučnej siete na rok t, |
| d) ďalšie podklady potrebné na posúdenie návrhu ceny. |
| (2) Ustanovenia o návrhu ceny sa primerane vzťahujú aj na návrh na zmenu cenového rozhodnutia. |
| (3) Maximálna cena za pripojenie do distribučnej siete sa vypočíta podľa odseku 4 na základe priemerných ekonomicky oprávnených nákladov v primeranej výške na pripojenie plynového zariadenia do distribučnej siete na rok t-2, vynaložených prevádzkovateľom distribučnej siete. |
| (4) Maximálna cena za pripojenie do distribučnej siete obsahuje ekonomicky oprávnené náklady spojené |
| a) s určením technických a obchodných podmienok pripojenia do distribučnej siete v súlade s príslušnými technickými predpismi, technickými normami alebo technickými pravidlami určujúcimi pravidlá projektovania, výstavby a údržby plynových zariadení, |
| b) s určením tlakovej úrovne pre pripojenie do distribučnej siete na základe hydraulického prepočtu, určením miesta pripojenia a meracieho miesta vrátane určenia technických požiadaviek na meranie, |
| c) s montážou určeného meradla30) vrátane kontroly predloženej správy o odbornej prehliadke a skúške odberného plynového zariadenia. |
| (4) Skutočné výnosy a náklady regulovaného subjektu súvisiace s pripojením do distribučnej siete sa evidujú oddelene. |
| § 15 |
| (1) Cena za pripojenie ťažobnej siete výrobcu plynu do distribučnej siete sa určí individuálne ako maximálna cena na základe skutočne vynaložených ekonomicky oprávnených nákladov v primeranej výške na |
| a) prípravu, projektovanie a určenie podmienok pripojenia do distribučnej siete, |
| b) obstaranie technických zariadení potrebných na úpravu distribučnej siete pre zabezpečenie prepojiteľnosti ťažobnej siete výrobcu plynu do distribučnej siete a meranie množstva pretečeného plynu, |
| c) montáž a inštaláciu zariadení podľa písmena b), |
| d) inžiniersku činnosť, najmä na vykonanie predpísaných individuálnych skúšok, funkčných skúšok, úradných skúšok a všetkých úkonov potrebných na zaistenie bezpečnosti technického zariadenia podľa písmena b) v súlade s technickými normami a osobitným predpisom.29) |
| (2) Náklady podľa odseku 1 sa preukazujú účtovnými dokladmi. |
| (3) Maximálna cena za pripojenie výrobcu biometánu do distribučnej siete sa určí na základe skutočne vynaložených a preukázaných nákladov prevádzkovateľa distribučnej siete v súlade s osobitným predpisom.31) |
| § 16 |
| Výkup plynárenského zariadenia |
| (1) Cenová regulácia výkupu plynárenského zariadenia sa vzťahuje na prevádzkovateľa distribučnej siete, do ktorého distribučnej siete je pripojených viac ako 100 000 odberných miest.32) |
| (2) Maximálna cena za výkup plynárenského zariadenia sa určí cenovým rozhodnutím na základe ekonomicky oprávnených nákladov na výkup plynárenského zriadenia tak, že zohľadňuje aj ekonomickú efektívnosť vykupovaného plynárenského zariadenia, ktorým je distribučná sieť. |
| § 17 |
| Prístup do zásobníka a uskladňovanie plynu |
| Cenová regulácia prístupu do zásobníka a uskladňovania plynu sa uplatňuje, ak úrad rozhodne o zmene dohodnutého prístupu na regulovaný prístup podľa § 10 písm. k) zákona alebo pri zmene rozsahu cenovej regulácie podľa § 11 ods. 2 zákona. |
| § 18 |
| Prechodné ustanovenia |
| (1) Podľa tejto vyhlášky sa prvýkrát postupuje pri vykonávaní cenovej regulácie na rok 2023. |
| (2) Do dňa doručenia cenového rozhodnutia regulovanému subjektu na rok 2023 sa uplatní cena schválená cenovým rozhodnutím na roky 2017 až 2022; rovnako sa postupuje, ak cena nie je určená alebo zmenená. |
| (3) Na posúdenie návrhu ceny na rok 2023 predloženého úradu do 16. decembra 2022 sa použije táto vyhláška. |
|
|
| § 19 |
| Účinnosť |
| Táto vyhláška nadobúda účinnosť 16. decembra 2022. |
|
|
| Andrej Juris v. r. |
|
|
| |
| Príloha č. 1 k vyhláške č. 451/2022 Z. z. |
| | Životnosť DHM, DNM a technologických zariadení | Životnosť
(v rokoch) | | Akumulátory (batérie) | 8 | | Analyzátor sietí | 8 | | Anténne stožiare | 40 | | Armatúry iné (najmä závitové, prírubové a pod.) | 12 | | Armatúry plynové (najmä závitové, prírubové a pod.) | 15 | | Armatúry vodné (najmä závitové, prírubové a pod.) | 10 | | Betónové základy | 80 | | Bleskozvody a uzemnenia | 40 | | Budovy malých staníc - betónové (len samostatné objekty, najmä regulačné stanice ZP, trafostanice, výmenníkové stanice, dotláčacie stanice a pod.) | 50 | | Budovy administratívne | 50 | | Budovy malých staníc - kioskové (len samostatné objekty, najmä regulačné stanice ZP, trafostanice, výmenníkové stanice, dotláčacie stanice a pod.) | 50 | | Budovy malých staníc - murované (len samostatné objekty, najmä regulačné stanice ZP, trafostanice, výmenníkové stanice, dotláčacie stanice a pod.) | 60 | | Budovy malých staníc - plechové (len samostatné objekty, najmä regulačné stanice ZP, trafostanice, výmenníkové stanice, dotláčacie stanice a pod.) | 30 | | Budovy malých staníc - vstavané (len samostatné objekty, najmä regulačné stanice ZP, trafostanice, výmenníkové stanice, dotláčacie stanice a pod.) | 60 | | Bunky z plastu a sklolaminátu a pod. (len samostatné objekty, najmä regulačné stanice ZP, trafostanice, výmenníkové stanice, dotláčacie stanice, telemetrické skrinky a pod.) | 50 | | Čerpadlá (najmä čerpadlá kvapalín oleja, vody, kondenzátu, vysávače, vývevy a pod.) | 15 | | Čistiace komory (najmä v rozvodoch plynu, tepla, vody a pod. – nie stavebné časti) | 10 | | Čistička ultrazvuková | 10 | | Čistiarne odpadových vôd (ČOV) – stavebná časť | 50 | | Čistiarne odpadových vôd (ČOV) – technologická časť | 25 | | Defektoskop | 10 | | Dopravníky a dopravné zariadenia (najmä pásové, závitovkové, korčekové a pod.) | 12 | | Elektrické motory (najmä synchrónne, asynchrónne, krokové, derivačné, iné ako generátory a pod.) | 20 | | Elektrické prípojky NN (najmä káblové zemné, káblové vzdušné, vzdušné a pod.) | 35 | | Elektrické prípojky VN (najmä káblové zemné, káblové vzdušné, vzdušné a pod.) | 40 | | Elektrické prípojky VVN | 40 | | Elektrocentrály prenosné (najmä zážihové, vznetové a pod.) | 12 | | Elektroinštalácia v objektoch (najmä v regulačných staniciach, rozvodniach, výmenníkových staniciach, zariadeniach na úpravu vody a pod.) | 25 | | Elektronické prístroje kancelárske (najmä faxy, písacie stroje, tlačiarne, kopírovacie stroje, fotoaparáty, skenery, chladničky, TV prijímače, videokonferenčné zariadenia, prevodníky, čítačky a pod.) | 8 | | Elektronické zariadenia s individuálnymi funkciami (najmä kalibrátory, termokamery, analyzátory spalín, tlaku a iných neelektrických veličín a pod.) | 12 | | Energomosty | 40 | | Filtre (najmä pieskové, zariadenia s aktívnym uhlím, s vymeniteľnými kartušami, samočistiace a pod.) | 15 | | Garáže betónové | 40 | | Garáže inej konštrukcie | 25 | | Generátory, alternátory | 20 | | Hasiace prístroje | 12 | | Havarijné jamy | 50 | | Hydraulické zdviháky | 20 | | Kanalizácia | 60 | | Kompresory bez pohonnej jednotky | 17 | | Komunikácie nespevnené | 20 | | Komunikácie spevnené – cesty | 50 | | Kondenzačné nádrže | 20 | | Kontajnery na odpad | 10 | | Kotly na pevné palivo, kvapalné palivo, elektrokotly | 20 | | Kotolne - celé zostavy, najmä na plynné palivo, pevné palivo a iné, okrem tých, ktoré sa využívajú na podnikanie v tepelnej energetike | 25 | | Lesné kolesové traktory | 15 | | Malotraktory | 15 | | Meracie a diagnostické prístroje so špeciálnymi funkciami | 17 | | Meracie transformátory napätia | 30 | | Meracie transformátory prúdu | 30 | | Montážne plošiny mechanické | 17 | | Montážne plošiny v motorovom vozidle | 17 | | Motory s iným ako elektrickým pohonom (najmä zážihové, vznetové, plynové a pod.) | 17 | | Nabíjačky | 17 | | Nábytok | 15 | | Nábytok dielenský | 12 | | Nákladné automobily | 12 | | Navŕtavacie súpravy (najmä pre pripojenie plynových prípojok, vodovodných prípojok a pod.) | 20 | | Obrábacie stroje stacionárne, všeobecne (najmä sústruhy, frézy, vŕtačky, brúsky a pod.) | 20 | | Oceľové konštrukcie | 30 | | Oceľové montované sklady | 30 | | Oceľové prístrešky | 25 | | Odlučovače oleja | 30 | | Ochrany – elektronické | 17 | | Ochrany – neelektronické | 20 | | Olejové nádrže | 30 | | Oplotenia | 30 | | Oporné múry | 80 | | Optické vedenia | 50 | | Osobné automobily | 15 | | Paletové vozíky | 17 | | Prepínacie hodiny | 12 | | Priemyselné váhy | 17 | | Prívesy | 12 | | Rádioreléové zariadenia (najmä vysielačky, prijímacie zariadenia a iné komunikačné nástroje a pod.) | 17 | | Rozvodná istiaca skriňa | 25 | | Rozvádzače skriňové NN | 30 | | Rozvádzače skriňové VN | 30 | | Rozvádzače zapúzdrené NN | 40 | | Rozvádzače zapúzdrené VN | 40 | | Rozvádzače zapúzdrené VVN | 40 | | Rozvody NN | 30 | | Rozvody VN | 40 | | Ručné elektrické náradie | 10 | | Ručné mechanické náradie | 8 | | Skladové kontajnery | 20 | | Sklady betónové | 50 | | Sklady plechové | 20 | | Snežné skútre | 12 | | Softvér krabicový generický | 5 | | Softvér s individuálnym určením | 8 | | Studne | 80 | | Svetelné zdroje (najmä svetelné reklamy, svetelné znaky, značky, svetelné oznamovacie tabule, svietidlá pre osvetlenie hál, rozvodní, regulačných staníc a pod. ) | 10 | | Systém ústredného kúrenia | 25 | | Systémy SCADA, HDO a MaR | 10 | | Systémy synchronizácie reálneho času | 20 | | Špeciálne podvozky | 15 | | Špeciálne prívesy | 15 | | Štúdie a modely | 10 | | Technická dokumentácia | 10 | | Technológia regulačných staníc | 30 | | Telemetrické zariadenia | 17 | | Tlakové nádoby | 25 | | Traktorové prívesy | 15 | | Traktory | 15 | | Trasové uzávery | 50 | | Trezory | 50 | | Záložné zdroje | 5 | | Vaňa z nehrdzavejúcej ocele | 60 | | Vedenia NN káblové podzemné | 40 | | Vedenia NN káblové vzdušné | 35 | | Vedenia NN vzdušné | 35 | | Vedenia VN káblové podzemné | 40 | | Vedenia VN káblové vzdušné | 35 | | Vedenia VN vzdušné | 35 | | Vodovodné potrubia | 60 | | Vonkajšie osvetlenie (najmä na stĺpoch, vonkajších konštrukciách a pod.) | 25 | | Vozidlá so špeciálnou nadstavbou | 15 | | Vozíky štartovacie | 17 | | Vozíky vŕtacie | 17 | | Vyklápač plastových nádob | 17 | | Výpočtová technika | 5 | | Výsledky meraní | 10 | | Vysokozdvižné vozíky | 15 | | Zariadenia na úpravu vody (najmä filtračné, zmäkčovacie stanice, úprava kondenzátu, úprava demineralizovanej vody a pod.) | 14 | | Závesné montážne rebríky | 12 | | Zdroj Rittal | 8 | | Zdviháky – ručné | 17 | | Zváracie agregáty | 15 | | Žeriavy mostové | 25 | | Žeriavy na vozidlách | 17 | | Žeriavy portálové | 25 | | Žumpy | 50 | | | | Elektroenergetika | | | Elektromery | 10 | | Elektromery – inteligentné meracie systémy | 10 | | Káblové bubny | 8 | | Rozvodne VVN 110/22 kV | 40 | | Stanovištia transformátorov | 40 | | Trafostanice VN/NN betónové vrátane technológie a objektu bez transformátora | 50 | | Trafostanice VN/NN kioskové vrátane technológie a objektu bez transformátora | 50 | | Trafostanice VN/NN murované vrátane technológie a objektu bez transformátora | 60 | | Trafostanice VN/NN stĺpové vrátane technológie a objektu bez transformátora | 30 | | Trafostanice VN/NN stožiarové vrátane technológie a objektu bez transformátora | 30 | | Trafostanice VN/NN vstavané bez transformátora a stavebnej časti | 60 | | Trafostanice zapúzdrené a objektu bez transformátora | 60 | | Transformátory (VN, VVN ) | 30 | | Úsekové odpojovače | 30 | | Vedenia VVN káblové podzemné | 40 | | Vedenia VVN vzdušné | 40 | | | | Plynárenstvo | | | Aktívna protikorózna ochrana | 30 | | Etalónový plynomer | 12 | | Gasodor | 10 | | Havarijný vak | 12 | | Plynomery | 20 | | Plynovody oceľové | 40 | | Plynovody polyetylénové | 50 | | Prípojky plynu oceľové | 40 | | Prípojky plynu polyetylénové | 50 | | Regulátory tlaku plynu | 25 | | Stanica katódovej ochrany | 30 | | Súprava balónovacia | 10 | | | | Tepelná energetika | | | Armatúry | 10 | | Čerpadlá, pumpy | 12 | | Ekonomizéry, rekuperátory, ohrievače | 25 | | Horáky na kvapalné palivo | 15 | | Horáky na plynové palivo | 20 | | Horáky na práškové palivo | 15 | | Chladiace veže | 40 | | Chladiace veže – betónové | 60 | | Chladiče kondenzátu (dochladzovače kondenzátu) | 15 | | Kolektory pre rozvod tepla | 50 | | Komíny | 80 | | Kondenzátory pary | 20 | | Kotly na biomasu | 15 | | Meracia a regulačná technika | 6 | | Mlyny | 12 | | Odlučovače popolčeka | 30 | | Odovzdávacie stanice tepla | 25 | | Odškvarovací systém (bez dopravníka) | 10 | | Potrubia na rozvod tepla – oceľové | 25 | | Potrubia na rozvod tepla – predizolované | 30 | | Redukčné stanice pary | 15 | | Riadiace systémy, servery | 10 | | Spalinovody | 30 | | Sušičky a triedičky uhoľného prachu | 15 | | Turbíny (najmä parné, plynové a pod.) | 25 | | Vzduchové a dymové ventilátory | 15 | | Vzduchovody | 25 | | Zásobníky na sypké hmoty (škvara, vápno a iné) | 20 | | | | Vodné hospodárstvo | | | Čerpacie a prečerpávacie stanice – stavebná časť | 60 | | Čerpacie a prečerpávacie stanice – technologická časť | 25 | | Dotláčacie stanice | 15 | | Kanalizačné šachty, odľahčovacie komory, dažďové nádrže | 50 | | Úpravne vody – stavebná časť | 50 | | Úpravne vody – technologická časť (deionizácia, demineralizácia, dekarbonizácia vody) | 25 | | Vodojemy – stavebná časť | 80 | | Vodojem – technologická časť | 25 | | Vodomerné, armatúrne šachty | 50 | | Vodomerné uzávery | 50 | | Vodomery, prietokomery | 12 | | Vyhnívacie nádrže | 40 |
|
| Vysvetlivky k tabuľke: |
| DHM – dlhodobý hmotný majetok, |
| DNM – dlhodobý nehmotný majetok, |
| ZP – zemný plyn, |
| NN – nízke napätie, |
| VN – vysoké napätie, |
| VVN – veľmi vysoké napätie, |
| SCADA – informačný a merací systém, |
| HDO – hromadné diaľkové ovládanie, |
| MaR – meranie a regulácia. |
| |
| Príloha č. 2 k vyhláške č. 451/2022 Z. z. |
| Bilancia fyzických tokov plynu prevádzkovateľa prepravnej siete na vstupe do
prepravnej siete |
| .png)
|
| |
| Príloha č. 3 k vyhláške č. 451/2022 Z. z. |
| Bilancia fyzických tokov plynu prevádzkovateľa prepravnej siete na výstupe z
prepravnej siete |
| .png)
|
| |
| Príloha č. 4 k vyhláške č. 451/2022 Z. z. |
| Bilancia prepravných kapacít prevádzkovateľa prepravnej siete na výstupe z prepravnej siete |
| .png)
|
| |
| Príloha č. 5 k vyhláške č. 451/2022 Z. z. |
| Bilancia prepravných kapacít prevádzkovateľa prepravnej siete na vstupe do prepravnej siete |
| .png)
|
| |
| Príloha č. 6 k vyhláške č. 451/2022 Z. z. |
| Ročná bilancia vlastnej spotreby plynu a strát plynu pri preprave plynu |
| .png)
|
| |
| Príloha č. 7 k vyhláške č. 451/2022 Z. z. |
| Prehľad nákladov a výnosov prevádzkovateľa prepravnej siete |
| .png)
|
| |
| Príloha č. 8 k vyhláške č. 451/2022 Z. z. |
| Údaje o plánovaných nákladoch a skutočných nákladoch projektu výskumu a vývoja |
| .png)
|
| |
| Príloha č. 9 k vyhláške č. 451/2022 Z. z. |
| Bilancia fyzických tokov plynu prevádzkovateľa distribučnej siete na vstupe do distribučnej siete |
| .png)
|
| |
| Príloha č. 10 k vyhláške č. 451/2022 Z. z. |
| Bilancia fyzických tokov plynu prevádzkovateľa distribučnej siete na výstupe z distribučnej siete |
| .png)
|
| |
| Príloha č. 11 k vyhláške č. 451/2022 Z. z. |
| Ročná bilancia vlastnej spotreby a strát plynu pri distribúcii plynu |
| .png)
|
| |
| Príloha č. 12 k vyhláške č. 451/2022 Z. z. |
| Údaje o spoločných nákladoch prevádzkovateľa distribučnej siete |
| .png)
|
| |
| Príloha č. 13 k vyhláške č. 451/2022 Z. z. |
| Údaje o nákladoch prevádzkovateľa distribučnej siete |
| .png)
|
| |
| Príloha č. 14 k vyhláške č. 451/2022 Z. z. |
| Údaje potrebné na určenie osobných nákladov za distribúciu plynu - priemerné ročné osobné náklady na zamestnanca |
| .png)
|
| |
| Príloha č. 15 k vyhláške č. 451/2022 Z. z. |
| Prehľad o hmotnom majetku a nehmotnom majetku využívanom na distribúciu plynu a odpisoch |
| .png)
|
| Poznámky pod čiarou |
| 1) Nariadenie Komisie (EÚ) 2017/460 zo 16. marca 2017, ktorým sa stanovuje sieťový predpis o harmonizovaných štruktúrach taríf za prepravu plynu (Ú. v. EÚ, L 72, 17. 3. 2017). |
| 2) § 66 opatrenia Ministerstva financií Slovenskej republiky zo 16. decembra 2002 č. 23 054/2002-92, ktorým sa ustanovujú podrobnosti o postupoch účtovania a rámcovej účtovej osnove pre podnikateľov účtujúcich v sústave podvojného účtovníctva (oznámenie č. 740/2002 Z. z.) v znení neskorších predpisov. |
| 3) Napríklad zákon č. 381/2001 Z. z. o povinnom zmluvnom poistení zodpovednosti za škodu spôsobenú prevádzkou motorového vozidla a o zmene a doplnení niektorých zákonov v znení neskorších predpisov, zákon č. 582/2004 Z. z. o miestnych daniach a miestnom poplatku za komunálne odpady a drobné stavebné odpady v znení neskorších predpisov, § 13 ods. 3 zákona č. 650/2004 Z. z. o doplnkovom dôchodkovom sporení a o zmene a doplnení niektorých zákonov v znení neskorších predpisov, zákon č. 309/2009 Z. z. o podpore obnoviteľných zdrojov energie a vysoko účinnej kombinovanej výroby a o zmene a doplnení niektorých zákonov v znení neskorších predpisov, zákon č. 251/2012 Z. z. o energetike a o zmene a doplnení niektorých zákonov v znení neskorších predpisov. |
| 4) § 29 zákona č. 595/2003 Z. z. o dani z príjmov v znení neskorších predpisov. |
| 5) § 2 ods. 1, 5 a 8 zákona č. 483/2001 Z. z. o bankách a o zmene a doplnení niektorých zákonov v znení neskorších predpisov. |
| 6) Nariadenie Európskeho parlamentu a Rady (EÚ) č. 347/2013 zo 17. apríla 2013 o usmerneniach pre transeurópsku energetickú infraštruktúru, ktorým sa zrušuje rozhodnutie č. 1364/2006/ES a menia a dopĺňajú nariadenia (ES) č. 713/2009, (ES) č. 714/2009 a (ES) č. 715/2009 (Ú. v. EÚ L 115, 25. 4. 2013). |
| 7) § 30c zákona č. 595/2003 Z. z. v znení neskorších predpisov. |
| 8) § 23 zákona č. 595/2003 Z. z. v znení neskorších predpisov. |
| 9) Zákon č. 650/2004 Z. z. v znení neskorších predpisov. |
| 10) Zákon č. 283/2002 Z. z. o cestovných náhradách v znení neskorších predpisov. |
| 11) Zákon Národnej rady Slovenskej republiky č. 152/1994 Z. z. o sociálnom fonde a o zmene a doplnení zákona č. 286/1992 Zb. o daniach z príjmov v znení neskorších predpisov. |
| 12) Nariadenie vlády Slovenskej republiky č. 395/2006 Z. z. o minimálnych požiadavkách na a používanie osobných ochranných pracovných prostriedkov v znení nariadenia vlády č. 400/2021 Z. z. |
| 13) Napríklad zákon č. 577/2004 Z. z. o rozsahu zdravotnej starostlivosti uhrádzanej na základe verejného zdravotného poistenia a o úhradách za služby súvisiace s poskytovaním zdravotnej starostlivosti v znení neskorších predpisov, zákon č. 355/2007 Z. z. o ochrane, podpore a rozvoji verejného zdravia a o zmene a doplnení niektorých zákonov v znení neskorších predpisov. |
| 14) Zákon č. 124/2006 Z. z. o bezpečnosti a ochrane zdravia pri práci a o zmene a doplnení niektorých zákonov v znení neskorších predpisov. |
| 15) § 26 zákona č. 431/2002 Z. z. o účtovníctve v znení neskorších predpisov. |
| 16) § 59 ods. 14 opatrenia č. 23054/2002-92 (oznámenie č. 740/2002 Z. z.) v znení opatrenia č. MF/26312/2009-74 (oznámenie č. 518/2009 Z. z.). |
| 17) § 19 ods. 2 písm. l) zákona č. 595/2003 Z. z. v znení neskorších predpisov. |
| 18) § 3 písm. a) šiesty bod zákona č. 251/2012 Z. z. |
| 19) Vyhláška Úradu pre reguláciu sieťových odvetví č. 278/2012 Z. z., ktorou sa ustanovujú štandardy kvality uskladňovania plynu, prepravy plynu, distribúcie plynu a dodávky plynu v znení vyhlášky č. 233/2016 Z. z. |
| 20) § 32 ods. 3 písm. c) zákona č. 251/2012 Z. z. |
| 21) § 31 ods. 4 zákona č. 251/2012 Z. z. v znení neskorších predpisov. |
| 22) Čl. 3 ods. 2 nariadenia Komisie (EÚ) 2017/459 zo 16. marca 2017, ktorým sa stanovuje sieťový predpis o mechanizmoch prideľovania kapacity v plynárenských prepravných sieťach a ktorým sa zrušuje nariadenie (EÚ) č. 984/2013 (Ú. v. EÚ, L 72, 17. 3. 2017). |
| 23) Čl. 3 ods. 3 nariadenia Komisie (EÚ) č. 312/2014 z 26. marca 2014 o vytvorení sieťového predpisu na vyvažovanie plynu v prepravných sieťach (Ú. v. EÚ, L 91, 27. 3. 2014). |
| 24) Čl. 26 až 28 nariadenia (EÚ) 2017/460. |
| 25) § 47 ods. 3 a 4 vyhlášky Úradu pre reguláciu sieťových odvetví č. 24/2013 Z. z., ktorou sa ustanovujú pravidlá pre fungovanie vnútorného trhu s elektrinou a pravidlá pre fungovanie vnútorného trhu s plynom. |
| 26) Čl. 13 nariadenia (EÚ) č. 347/2013 v spojení s Odporúčaním Agentúry pre spoluprácu regulačných orgánov č. 3/2014 z 27. júna 2014 o stimuloch pre projekty spoločného záujmu a o spoločnej metodike pre hodnotenie rizík. |
| 27) Napríklad čl. 107 a 108 Zmluvy o fungovaní Európskej únie (Ú. v. EÚ C 326, 26. 10. 2012), nariadenie Komisie (EÚ) č. 1407/2013 z 18. decembra 2013 o uplatňovaní článkov 107 a 108 Zmluvy o fungovaní Európskej únie na pomoc de minimis (Ú. v. EÚ L 352/1, 24. 12. 2013), nariadenie Komisie (EÚ) č. 651/2014 zo 17. júna 2014 o vyhlásení určitých kategórií pomoci za zlučiteľné s vnútorným trhom podľa článkov 107 a 108 zmluvy (Ú. v. EÚ L 187/1, 26. 6. 2014), oznámenie Komisie – Usmernenia o štátnej pomoci v oblasti ochrany životného prostredia a energetiky na roky 2014 – 2020 (Ú. v. EÚ C 200, 28. 6. 2014), zákon č. 358/2015 Z. z. o úprave niektorých vzťahov v oblasti štátnej pomoci a minimálnej pomoci a o zmene a doplnení niektorých zákonov (zákon o štátnej pomoci). |
| 28) Vyhláška Ministerstva spravodlivosti Slovenskej republiky č. 492/2004 Z. z. o stanovení všeobecnej hodnoty majetku v znení neskorších predpisov v znení neskorších predpisov. |
| 29) Vyhláška Ministerstva práce, sociálnych vecí a rodiny Slovenskej republiky č. 508/2009 Z. z., ktorou sa ustanovujú podrobnosti na zaistenie bezpečnosti a ochrany zdravia pri práci s technickými zariadeniami tlakovými, zdvíhacími, elektrickými a plynovými a ktorou sa ustanovujú technické zariadenia, ktoré sa považujú za vyhradené technické zariadenia v znení neskorších predpisov. |
| 30) § 11 zákona č. 157/2018 Z. z. o metrológii a o zmene a doplnení niektorých zákonov. |
| 31) § 11a zákona č. 309/2009 Z. z. v znení neskorších predpisov. |
| 32) § 64 ods. 13 zákona č. 251/2012 Z. z. v znení zákona č. 256/2022 Z. z. |