| 416 |
| VYHLÁŠKA |
| Ministerstva hospodárstva Slovenskej republiky |
| z 13. decembra 2012, |
| ktorou sa ustanovujú podrobnosti o postupe pri uplatňovaní obmedzujúcich opatrení pri stave núdze a o opatreniach zameraných na odstránenie stavu núdze v elektroenergetike a podrobnosti o postupe pri vyhlasovaní krízovej situácie a jej úrovne, o vyhlasovaní obmedzujúcich opatrení v plynárenstve pre jednotlivé kategórie odberateľov plynu, o opatreniach zameraných na odstránenie krízovej situácie a o spôsobe určenia obmedzujúcich opatrení v plynárenstve a opatrení zameraných na odstránenie krízovej situácie |
| Ministerstvo hospodárstva Slovenskej republiky (ďalej len „ministerstvo“) podľa § 95 ods. 1 písm. d) a e) zákona č. 251/2012 Z. z. o energetike a o zmene a doplnení niektorých zákonov ustanovuje: |
|
|
| § 1 |
| Obmedzujúce opatrenia v elektroenergetike |
| Obmedzujúce opatrenia v elektroenergetike sa realizujú najmä podľa |
| a) plánu obmedzovania spotreby podľa prílohy č. 1, |
| b) havarijného vypínacieho plánu podľa prílohy č. 2, |
| c) frekvenčného plánu podľa prílohy č. 3. |
| § 1a |
| (1) Obmedzujúce opatrenia v elektroenergetike môžu byť realizované bez pokynu alebo na základe pokynu dispečingu prevádzkovateľa prenosovej sústavy alebo dispečingu prevádzkovateľa distribučnej sústavy. |
| (2) Stav núdze v elektroenergetike a obmedzujúce opatrenia v elektroenergetike pri stave núdze v elektroenergetike na vymedzenom území vyhlasuje a odvoláva dispečing prevádzkovateľa prenosovej sústavy vo verejnoprávnych hromadných oznamovacích prostriedkoch1) a oznamuje odberateľom a výrobcom elektriny pripojeným do prenosovej sústavy, dispečingom prevádzkovateľov distribučných sústav a ministerstvu. Stav núdze v elektroenergetike a obmedzujúce opatrenia v elektroenergetike pri stave núdze v elektroenergetike na časti vymedzeného územia vyhlasuje a odvoláva dispečing prevádzkovateľa prenosovej sústavy na základe žiadosti dispečingu prevádzkovateľa distribučnej sústavy vo verejnoprávnych hromadných oznamovacích prostriedkoch a oznamuje priamo dotknutým odberateľom a výrobcom pripojeným do prenosovej sústavy. |
| (3) Obmedzujúce opatrenia v elektroenergetike pri predchádzaní stavu núdze v elektroenergetike na vymedzenom území a pri skúške stavu núdze v elektroenergetike sa nevyhlasujú; dispečing prevádzkovateľa prenosovej sústavy oznamuje ich začatie a skončenie odberateľom a výrobcom elektriny pripojeným do prenosovej sústavy a dispečingom prevádzkovateľov distribučných sústav. Začatie a skončenie obmedzujúcich opatrení v elektroenergetike pri predchádzaní stavu núdze v elektroenergetike na časti vymedzeného územia, okrem opatrení realizovaných podľa plánu obmedzovania spotreby, oznamuje dispečing prevádzkovateľa prenosovej sústavy na základe žiadosti dispečingu prevádzkovateľa distribučnej sústavy. |
| (4) Prevádzkovateľ prenosovej sústavy môže v rámci riadenia odchýlok napätia mimo rozsahu limitov prevádzkovej bezpečnosti pri predchádzaní stavu núdze v elektroenergetike na vymedzenom území určiť hodnotu jalového výkonu alebo rozsah napätia, pričom určenú hodnotu jalového výkonu alebo rozsah napätia oznámi odberateľom a výrobcom elektriny pripojeným do prenosovej sústavy; to neplatí pre prevádzkovateľa distribučnej sústavy, ktorému môže prevádzkovateľ prenosovej sústavy určiť rozsah napätia v mieste pripojenia, pričom dispečing prevádzkovateľa distribučnej sústavy v spolupráci s prevádzkovateľom prenosovej sústavy uplatňuje opatrenia v rámci prevádzkových možností. Prevádzkovateľ prenosovej sústavy môže v rámci riadenia tokov výkonu mimo rozsahu limitov prevádzkovej bezpečnosti a riadenia regulačnej odchýlky obnovenia frekvencie pri predchádzaní stavu núdze v elektroenergetike určiť nastavenú hodnotu činného výkonu, ktorú odberateľ alebo výrobca elektriny dodržiava, ak táto hodnota zohľadňuje technické a technologické obmedzenia príslušného odberateľa alebo výrobcu elektriny. Odberateľ alebo výrobca elektriny bezodkladne vykoná pokyny, ktoré prevádzkovateľ prenosovej sústavy vydal priamo alebo nepriamo prostredníctvom prevádzkovateľa distribučnej sústavy, a v takom stave zotrvá do oznámenia ďalších pokynov prevádzkovateľa prenosovej sústavy. |
| (5) Obmedzujúce opatrenia v elektroenergetike pri predchádzaní stavu núdze v elektroenergetike a pri skúške stavu núdze v elektroenergetike na vymedzenom území realizované podľa plánu obmedzovania spotreby oznamuje účastníkom trhu s elektrinou dispečing prevádzkovateľa prenosovej sústavy vo verejnoprávnych hromadných oznamovacích prostriedkoch a oznámením odberateľom pripojeným do prenosovej sústavy a dispečingom prevádzkovateľov distribučných sústav. |
| (6) Odberateľ realizuje obmedzujúce opatrenia v elektroenergetike podľa plánu obmedzovania spotreby samostatne na základe vyhlásenia alebo oznámenia dispečingu prevádzkovateľa prenosovej sústavy. Odberateľ pripojený do distribučnej sústavy realizuje obmedzujúce opatrenia v elektroenergetike samostatne na základe vyhlásenia alebo oznámenia dispečingu prevádzkovateľa prenosovej sústavy vo verejnoprávnych hromadných oznamovacích prostriedkoch. Dispečing prevádzkovateľa distribučnej sústavy pripojeného do prenosovej sústavy realizuje havarijné vypínacie stupne podľa havarijného vypínacieho plánu na základe oznámenia dispečingu prevádzkovateľa prenosovej sústavy. |
| (7) Dispečing prevádzkovateľa distribučnej sústavy žiada dispečing prevádzkovateľa prenosovej sústavy o vyhlásenie obmedzujúcich opatrení v elektroenergetike na časti vymedzeného územia oznámením dispečingu prevádzkovateľa prenosovej sústavy. |
| (8) Plán obmedzovania spotreby sa uplatňuje pri nedostatku elektriny v prenosovej sústave a distribučnej sústave, ak nie je možné zabezpečiť jej dostatok. V pláne obmedzovania spotreby sa určí obmedzenie spotreby elektriny odberateľom na základe obmedzujúcich odberových stupňov elektrického výkonu. Jednotlivé obmedzujúce odberové stupne plánu obmedzovania spotreby môžu byť uplatňované súčasne. Výkonovú náplň obmedzujúcich odberových stupňov každoročne určuje a aktualizuje dispečing prevádzkovateľa prenosovej sústavy v spolupráci s prevádzkovateľmi distribučných sústav pripojených do prenosovej sústavy podľa vlastností prenosovej sústavy a pripojených distribučných sústav. Pre odberateľov, na ktorých sa vzťahujú obmedzujúce odberové stupne, je určené bezpečnostné minimum. Bezpečnostným minimom je najnižšia hodnota odoberaného výkonu, pri ktorej nie sú ohrozené životy a zdravie osôb a nedochádza k poškodeniu výrobných technologických zariadení. Prevádzkovateľ prenosovej sústavy môže vydať prevádzkové inštrukcie, ktorými spresní spôsob realizácie obmedzujúcich opatrení podľa plánu obmedzovania spotreby, pričom pri ich vypracovaní postupuje v spolupráci s prevádzkovateľmi distribučných sústav a odberateľmi priamo pripojenými do prenosovej sústavy. |
| (9) Obmedzujúce odberové stupne elektrického výkonu plánu obmedzovania spotreby sa neuplatňujú pri odberateľovi, ktorým je |
| a) zdravotnícke zariadenie zaradené do verejnej minimálnej siete poskytovateľov zdravotnej starostlivosti podľa osobitného predpisu,1a) ambulancia záchrannej zdravotnej služby, lekáreň alebo výdajňa zdravotníckych pomôcok,1b) |
| b) objekt obrannej infraštruktúry, |
| c) letisko alebo letecké pozemné zariadenie, |
| d) objekt alebo zariadenie Úradu vlády Slovenskej republiky, Ministerstva vnútra Slovenskej republiky, Ministerstva spravodlivosti Slovenskej republiky, Policajného zboru, Hasičského a záchranného zboru, Horskej záchrannej služby, Národného bezpečnostného úradu a Výskumného ústavu rastlinnej výroby ako organizačnej zložky Národného poľnohospodárskeho a potravinárskeho centra, |
| e) komunikačná a informačná infraštruktúra integrovaného záchranného systému, |
| f) jadrové zariadenie podľa osobitného predpisu,1c) |
| g) subjekt hospodárskej mobilizácie,1d) |
| h) prvok kritickej infraštruktúry alebo prvok európskej kritickej infraštruktúry podľa osobitného predpisu,1e) |
| i) prevádzkovateľ zásobníka a výrobca plynu, |
| j) subjekt potravinárskeho priemyslu podľa prílohy č. 6. |
| (10) Havarijný vypínací plán uplatňuje prevádzkovateľ prenosovej sústavy a prevádzkovateľ distribučnej sústavy pri náhlej výraznej nerovnováhe v sústave a pri likvidácii porúch v prenosovej sústave alebo distribučnej sústave prerušením prenosu a distribúcie elektriny odberateľom. Prevádzkovateľ prenosovej sústavy môže vydať prevádzkové inštrukcie, ktorými spresní spôsob realizácie obmedzujúcich opatrení podľa havarijného vypínacieho plánu; pri ich vypracovaní postupuje v spolupráci s prevádzkovateľmi distribučných sústav priamo pripojených do prenosovej sústavy. |
| (11) Prerušenie prenosu a distribúcie elektriny odberateľom vykoná dispečing prevádzkovateľa prenosovej sústavy alebo dispečing prevádzkovateľa distribučnej sústavy vypnutím vývodov v rozvodniach veľmi vysokého napätia a vysokého napätia s možnosťou cyklického vystriedania vypnutých vývodov spravidla na dve hodiny od aktivácie havarijného vypínacieho stupňa. Výkonovú náplň havarijných vypínacích stupňov určuje a aktualizuje dispečing prevádzkovateľa prenosovej sústavy. |
| (12) Frekvenčný plán uplatňuje prevádzkovateľ prenosovej sústavy a prevádzkovateľ distribučnej sústavy včasnými zásahmi do sústavy s cieľom obmedziť vznik veľkých systémových porúch, vrátiť a udržať frekvenciu sústavy po vzniku systémových porúch na hodnotách, pri ktorých nie je ohrozené technické zariadenie výrobcov elektriny a odberateľov, a vytvoriť podmienky na návrat frekvencie do normálneho frekvenčného pásma v sústave, ktorým je rozsah frekvencií v intervale 49,8 Hz až 50,2 Hz. Aktivácia frekvenčného plánu sa začína pri dosiahnutí frekvencie v sústave 49,8 Hz alebo 50,2 Hz. Prevádzkovateľ prenosovej sústavy môže vydať prevádzkové inštrukcie, ktorými spresní spôsob realizácie obmedzujúcich opatrení podľa frekvenčného plánu; pri ich vypracúvaní postupuje v spolupráci s prevádzkovateľmi distribučných sústav, odberateľmi a výrobcami elektriny priamo pripojenými do prenosovej sústavy a v súlade s pravidlami synchrónne prepojenej európskej sústavy. |
| (13) Pri náraste frekvencie na 50,2 Hz a viac sa prijímajú opatrenia prednostne na strane výrobcov elektriny pripojených k postihnutej časti sústavy. Regulácia dodávaného činného výkonu do sústavy sa zabezpečuje podľa pokynov dispečingu prevádzkovateľa prenosovej sústavy alebo automatickou zmenou činného výkonu zariadení prevádzkovaných výrobcami elektriny v súlade s prevádzkovými inštrukciami prevádzkovateľa prenosovej sústavy. |
| (14) Pri poklese frekvencie na 49 Hz a menej sa prevádzkovateľ prenosovej sústavy a prevádzkovateľ distribučnej sústavy pri realizácii obmedzujúcich opatrení v elektroenergetike riadi frekvenčným vypínacím plánom, ktorý je súčasťou frekvenčného plánu a realizuje sa automaticky použitím technických zariadení na vymedzenom území alebo na časti vymedzeného územia. Stupne frekvenčného vypínacieho plánu určuje a aktualizuje dispečing prevádzkovateľa prenosovej sústavy v spolupráci s prevádzkovateľmi distribučných sústav pripojených do prenosovej sústavy podľa vlastností prenosovej sústavy a pripojených distribučných sústav. |
| (15) Ak dôjde k poklesu frekvencie na 49 Hz a menej, dispečing prevádzkovateľa prenosovej sústavy, dispečingy prevádzkovateľov distribučných sústav, výrobcovia elektriny a odberatelia elektriny pripojení k postihnutej časti sústavy bezodkladne použijú všetky dostupné technické prostriedky na vyrovnanie výkonovej bilancie a návrat frekvencie do normálneho frekvenčného pásma. |
| (16) Frekvenčný vypínací plán sa vykonáva automaticky technickými prostriedkami na odpojenie spotreby elektriny umiestnenými v zariadeniach prevádzkovateľov distribučných sústav a v zariadeniach odberateľov pripojených k prenosovej sústave. Prevádzkovateľ distribučnej sústavy a odberateľ pripojený do prenosovej sústavy nainštaluje, nastaví a prevádzkuje technické prostriedky na odpojenie spotreby elektriny v rámci frekvenčného vypínacieho plánu. Prevádzkovateľ prenosovej sústavy určí rozloženie objemov vypínania spotreby pre jednotlivé stupne frekvenčného vypínacieho plánu na vymedzenom území príslušného prevádzkovateľa distribučnej sústavy a skúša ich nastavenie. |
| (17) Dispečing prevádzkovateľa distribučnej sústavy a odberateľ pripojený do prenosovej sústavy obnoví napájanie spotreby elektriny odpojenej pôsobením technických prostriedkov v rámci frekvenčného vypínacieho plánu a odpojenej v rámci havarijného vypínacieho plánu len na základe pokynu dispečingu prevádzkovateľa prenosovej sústavy. Odberateľ pripojený do prenosovej sústavy a odberateľ pripojený do distribučnej sústavy realizuje pripojenie spotreby v rámci príslušného odberového stupňa plánu obmedzovania spotreby na základe oznámenia prevádzkovateľa prenosovej sústavy o zrušení odberového stupňa vyhláseného podľa odsekov 6 a 7. |
| (18) Ak dôjde k stavu núdze v plynárenstve, dispečing prevádzkovateľa prenosovej sústavy môže pri uplatnení obmedzujúcich opatrení v elektroenergetike požiadať plynárenský dispečing o pozastavenie uplatnenia obmedzujúcich opatrení v plynárenstve pre jednotlivých poskytovateľov podporných služieb v elektroenergetike, ktorí sú viazaní na odber zemného plynu. Ak to umožňuje situácia v zásobovaní plynom, plynárenský dispečing na základe žiadosti dispečingu prevádzkovateľa prenosovej sústavy pozastaví vykonávanie obmedzujúcich opatrení v plynárenstve pre poskytovateľov podporných služieb v elektroenergetike na nevyhnutnú dobu odôvodnenú v žiadosti dispečingu prevádzkovateľa prenosovej sústavy. Dispečing prevádzkovateľa prenosovej sústavy oznámi pozastavenie vykonávania obmedzujúcich opatrení v plynárenstve poskytovateľovi podpornej služby a ministerstvu. |
| § 2 |
| Opatrenia zamerané na odstránenie stavu núdze v elektroenergetike |
| (1) Opatrenia na odstránenie stavu núdze sa vykonávajú ako osobitné postupy na obnovenie normálneho prevádzkového stavu prenosovej a distribučnej sústavy bezodkladne. |
| (2) Pri odstraňovaní stavu núdze dispečing prevádzkovateľa prenosovej sústavy alebo prevádzkovateľa distribučnej sústavy postupuje na základe plánu obrany proti šíreniu porúch, plánu obnovy po rozpade sústavy, pričom rešpektuje konkrétnu situáciu v prenosovej sústave alebo distribučnej sústave. |
| § 3 |
| Vyhlasovanie obmedzujúcich opatrení v plynárenstve |
| (1) Obmedzujúce opatrenia v plynárenstve vyhlasuje a odvoláva na vymedzenom území alebo na časti vymedzeného územia prevádzkovateľ distribučnej siete, ktorý na základe rozhodnutia ministerstva plní úlohy plynárenského dispečingu na vymedzenom území (ďalej len „plynárenský dispečing“) vo verejnoprávnych hromadných oznamovacích prostriedkoch a pomocou prostriedkov dispečerského riadenia. Tieto opatrenia závisia od úrovne krízovej situácie v plynárenstve. V prípade úrovne včasného varovania a úrovne pohotovosti účastníci trhu môžu využiť najmä opatrenia uvedené v prílohe č. 4. |
| (2) Obmedzujúce opatrenia v plynárenstve na odstránenie rozdielu medzi zdrojmi a spotrebou plynu plynárenský dispečing vykonáva uplatnením |
| a) obmedzujúcich odberových stupňov pre odberné miesta odberateľa so zmluvne dohodnutým ročným množstvom zemného plynu na obdobie 12 po sebe nasledujúcich mesiacov nad 645,6 MWh alebo nad 60 000 m3, |
| b) obmedzujúcich vykurovacích kriviek pre odberné miesta odberateľa so zmluvne dohodnutým ročným množstvom zemného plynu na obdobie 12 po sebe nasledujúcich mesiacov nad 645,6 MWh alebo nad 60 000 m3, |
| c) obmedzujúcich vykurovacích kriviek pre chránených odberateľov, |
| d) havarijných odberových stupňov. |
| (3) Dodávateľ plynu určí konkrétne obmedzujúce odberové stupne a obmedzujúce vykurovacie krivky, ak je na odberné miesto odberateľa súčasne s ročnou zmluvou na 12 po sebe nasledujúcich mesiacov alebo so strednodobou zmluvou na viac ako 12 po sebe nasledujúcich mesiacov uzatvorená aj krátkodobá zmluva na obdobie najviac 11 po sebe nasledujúcich mesiacov. |
| (4) Dodávateľ plynu určí konkrétne obmedzujúce odberové stupne a obmedzujúce vykurovacie krivky, ak je na odberné miesto odberateľa uzatvorená krátkodobá zmluva na obdobie najviac 11 po sebe nasledujúcich mesiacov so zmluvne dohodnutým množstvom zemného plynu viac ako 645,6 MWh alebo 60 000 m3. Prevádzkovateľ distribučnej siete určí konkrétne obmedzujúce odberové stupne a obmedzujúce vykurovacie krivky, ak je na odberné miesto odberateľa uzatvorená krátkodobá zmluva na obdobie najviac 11 po sebe nasledujúcich mesiacov so zmluvne dohodnutým množstvom zemného plynu viac ako 645,6 MWh alebo 60 000 m3 a odberateľ plynu má uzatvorenú zmluvu na distribúciu plynu. |
| § 4 |
| Obmedzujúce odberové stupne |
| (1) Obmedzenie odberu plynu podľa obmedzujúcich odberových stupňov uplatňuje plynárenský dispečing pre odberné miesto odberateľa plynu, ktorého súčet denných hodnôt spotreby za posledný štvrťrok predchádzajúceho roka a prvý štvrťrok príslušného roka predstavuje menej ako 70 % celkovej spotreby za obdobie od 1. apríla predchádzajúceho roka do 31. marca príslušného roka (ďalej len „odberateľ nezávislý od vonkajšej teploty ovzdušia“), okrem odberateľa plynu, ktorý je organizačnou zložkou Zboru väzenskej a justičnej stráže, zariadením sociálnych služieb alebo zariadením sociálnoprávnej ochrany detí a sociálnej kurately. Ak nie je k dispozícii skutočná spotreba, typ odberného miesta určí dodávateľ plynu podľa charakteru odberu odberného miesta. Zaradenie odberného miesta do jednotlivého typu platí na obdobie od 1. októbra príslušného roka do 30. septembra nasledujúceho roka. |
| (2) Základným odberovým stupňom je odberový stupeň 3, podľa ktorého sa odber plynu uskutočňuje bez obmedzenia. Základný odberový stupeň 3 uplatňujúci sa počas vyhlásenia obmedzujúcich opatrení je určený denným množstvom plynu odberateľa v m3. |
| (3) Obmedzujúce odberové stupne sú odvodené od základného odberového stupňa a znižujú zmluvne dohodnuté denné množstvo plynu. |
| (4) Pri obmedzujúcom odberovom stupni |
| a) 4 odberné miesto odberateľa plynu s možnosťou prejsť na náhradné palivo so zmluvne dohodnutým množstvom zemného plynu nad 4 026,2 MW alebo nad 374 181 m3 zníži odber plynu pod hodnotu základného odberového stupňa, najmenej však nad hodnotu bezpečnostného minima; odberateľ plynu, ktorému je určený tento odberový stupeň, prechádza na náhradné palivo do 24 hodín od vyhlásenia tohto odberového stupňa, |
| b) 5 odberné miesto odberateľa plynu so zmluvne dohodnutým množstvom zemného plynu nad 300 000 MWh alebo nad 27 881 041 m3 zníži odber plynu pod hodnotu základného odberového stupňa vrátane ukončenia dodávky plynu na výrobu elektriny v zariadení na výrobu elektriny zo zemného plynu okrem dodávky plynu pre zariadenie vyrábajúce elektrinu na poskytovanie podpornej služby pre prevádzkovateľa prenosovej sústavy a okrem dodávky plynu pre zariadenie dodávajúce teplo pre chráneného odberateľa, |
| c) 6 odberné miesto odberateľa plynu so zmluvne dohodnutým množstvom zemného plynu nad 300 000 MWh alebo nad 27 881 041 m3 zníži odber plynu na hodnotu bezpečnostného minima vrátane ukončenia dodávky plynu na výrobu elektriny v zariadení na výrobu elektriny zo zemného plynu okrem dodávky plynu pre zariadenie vyrábajúce elektrinu na poskytovanie podpornej služby pre prevádzkovateľa prenosovej sústavy a okrem dodávky plynu pre zariadenie dodávajúce teplo pre chráneného odberateľa, |
| d) 7 odberné miesto odberateľa plynu so zmluvne dohodnutým množstvom zemného plynu nad 300 000 MWh alebo nad 27 881 041 m3 zníži odber plynu na hodnotu bezpečnostného minima a odberné miesto odberateľa plynu so zmluvne dohodnutým množstvom zemného plynu nad 4 026,2 MW alebo nad 374 181 m3 zníži odber plynu pod hodnotu základného odberového stupňa vrátane ukončenia dodávky plynu na výrobu elektriny v zariadení na výrobu elektriny zo zemného plynu okrem dodávky plynu pre zariadenie vyrábajúce elektrinu na poskytovanie podpornej služby pre prevádzkovateľa prenosovej sústavy a okrem dodávky plynu pre zariadenie dodávajúce teplo pre chráneného odberateľa, |
| e) 8 odberné miesto odberateľa plynu so zmluvne dohodnutým množstvom zemného plynu nad 645,6 MWh alebo nad 60 000 m3 zníži odber plynu na úroveň bezpečnostného minima bezodkladne od vyhlásenia obmedzujúcich opatrení, ak je možné odber plynu znížiť bez poškodenia výrobného zariadenia odberateľa plynu, vrátane ukončenia dodávky plynu na výrobu elektriny v zariadení na výrobu elektriny zo zemného plynu, okrem dodávky plynu pre zariadenie vyrábajúce elektrinu na poskytovanie podpornej služby pre prevádzkovateľa prenosovej sústavy a okrem dodávky plynu pre zariadenie dodávajúce teplo pre chráneného odberateľa, pričom bezpečnostné minimum je najnižšou hodnotou denného odberu plynu na odbernom mieste odberateľa plynu, ktorá je nevyhnutne potrebná na zaistenie bezpečnosti výrobného zariadenia a obsluhy a na zamedzenie vzniku škody, a je určené pre jednotlivé odberné miesto dodávateľa plynu v absolútnej hodnote v merných jednotkách zemného plynu v m3; ak nie je možné bezodkladne znížiť odber plynu na hodnotu bezpečnostného minima bez poškodenia výrobného zariadenia, odberateľ plynu navrhne časový harmonogram potrebný na zníženie odberu a tento harmonogram odôvodní objektívne preskúmateľnými podkladmi, ktoré poskytne svojmu dodávateľovi plynu, |
| f) 9 odberné miesto odberateľa plynu so zmluvne dohodnutým množstvom zemného plynu nad 645,6 MWh alebo nad 60 000 m3 zníži odber plynu na nulu; ak nie je možné bezodkladne ukončiť odber plynu bez poškodenia výrobného zariadenia, odberateľ plynu navrhne časový harmonogram potrebný na ukončenie odberu a tento harmonogram odôvodní objektívne preskúmateľnými podkladmi, ktoré poskytne svojmu dodávateľovi plynu. |
| (5) Odberateľ znižuje odber plynu na odberných miestach na úroveň bezpečnostného minima, ak zabezpečuje |
| 1. bezpečnosť štátu, |
| 2. činnosť ústavných orgánov, |
| 3. výrobu potravín dennej spotreby pre obyvateľstvo okrem výroby alkoholických a tabakových výrobkov, |
| 4. spracovanie potravín, ktoré podliehajú rýchlej skaze, |
| 5. prevádzku živočíšnej výroby s nebezpečenstvom uhynutia hospodárskych zvierat, |
| 6. výrobu alebo skladovanie životu a zdraviu nebezpečných látok a zmesí2) vyžadujúcich osobitné bezpečnostné podmienky, |
| 7. výrobu tepla pre odberateľov v domácnosti, |
| 8. nevyhnutné potreby prevádzky zdravotníckych zariadení, |
| 9. poskytovanie podpornej služby v elektroenergetike v nevyhnutnom rozsahu odsúhlasenom dispečingom prevádzkovateľa prenosovej sústavy a plynárenským dispečingom, |
| 10. prevádzku prepravnej siete, |
| 11. spracovanie, skladovanie a distribúciu ropy a ropných produktov v rozsahu naplnenia potrieb trhu na vymedzenom území, |
| 12. prevádzku vodární alebo čistiarní odpadových vôd, |
| 13. prevádzku asanačného zariadenia, |
| 14. prevádzku krematória. |
| (6) Ak využíva odberateľ plynu aj na iné účely ako v odseku 5 bodoch 1 až 14, znižuje túto časť odberu plynu na nulu. Ak nemôže túto časť odberu plynu bezodkladne ukončiť bez poškodenia výrobného zariadenia, navrhne časový harmonogram potrebný na ukončenie odberu, harmonogram odôvodní objektívne preskúmateľnými podkladmi. |
| (7) Obmedzujúci odberový stupeň 4 môže byť vyhlásený a môže nadobudnúť účinnosť súčasne so základným odberovým stupňom alebo s obmedzujúcimi odberovými stupňami 5 až 7. |
| (8) Vyhlásenie obmedzujúcich odberových stupňov pri hroziacom nedostatku plynu alebo obmedzení dodávok plynu uskutočňuje plynárenský dispečing z vlastného podnetu alebo na požiadanie ministerstva. |
| (9) Pri odbere plynu na úrovni bezpečnostného minima nie je odberateľ oprávnený zabezpečovať výrobu okrem odberateľov uvedených v odseku 10 písm. a) až j). Zastavenie výroby sa nevzťahuje ani na odberateľov, ktorí plyn používajú na stabilizáciu výroby z obnoviteľných zdrojov energie, pričom nesmie byť prekročená stanovená hodnota bezpečnostného minima. Horná hranica hodnoty bezpečnostného minima na odbernom mieste odberateľa musí byť stanovená objektívne, pritom nesmie presiahnuť úroveň najviac 90 % zo základného odberového stupňa podľa uzavretej zmluvy o dodávke plynu s dodávateľom plynu. |
| (10) Bezpečnostné minimum na časť odberu plynu na odbernom mieste najviac do 90 % základného odberového stupňa podľa uzavretej zmluvy o dodávke plynu s dodávateľom plynu je pre odberné miesta odberateľa nezávislého od vonkajšej teploty ovzdušia, ktorý preukázateľne odoberá plyn na |
| a) výrobu potravín dennej spotreby pre obyvateľov okrem výroby alkoholických a tabakových výrobkov, |
| b) spracovanie potravín, ktoré podliehajú rýchlej skaze, |
| c) zabezpečenie prevádzky živočíšnej výroby s nebezpečenstvom uhynutia hospodárskych zvierat, |
| d) výrobu tepla pre odberateľov v domácnosti, |
| e) zabezpečenie nevyhnutných potrieb prevádzky zdravotníckych zariadení, |
| f) poskytovanie podpornej služby v elektroenergetike v nevyhnutnom rozsahu odsúhlasenom dispečingom prevádzkovateľa prenosovej sústavy a plynárenským dispečingom, |
| g) prevádzku vodárne alebo čistiarne odpadových vôd, |
| h) spracovanie, skladovanie a distribúciu ropy a ropných produktov v rozsahu naplnenia potrieb trhu na vymedzenom území, |
| i) prevádzku asanačného zariadenia, |
| j) prevádzku krematória. |
| (11) Výsledná hodnota bezpečnostného minima sa určí ako súčet hodnôt bezpečnostného minima na časť odberu využívaného na účel uvedený v odseku 10 písm. a) až j) a bezpečnostného minima na časť odberu plynu využívaného na iný účel. Pre odberateľov, ktorí preukázateľne odoberajú plyn na prevádzku prepravnej siete, je bezpečnostné minimum na časť odberu plynu využívaného na takto vymedzené účely 100 % základného odberového stupňa podľa uzavretej zmluvy o dodávke plynu s dodávateľom plynu. Pre odberateľa plynu, ktorý je prvkom kritickej infraštruktúry alebo prvkom európskej kritickej infraštruktúry podľa osobitného predpisu1e) alebo vybraným objektom obrannej infraštruktúry podľa dohody plynárenského dispečingu alebo ministerstva s Ministerstvom obrany Slovenskej republiky, je bezpečnostné minimum 100 % základného odberového stupňa podľa uzavretej zmluvy o dodávke plynu s dodávateľom plynu, okrem výroby elektriny, ktorá sa nepoužíva na poskytovanie podporných služieb v elektroenergetike a okrem spracovania, skladovania a distribúcie ropy a ropných produktov nad rámec naplnenia potrieb trhu na vymedzenom území. |
| (12) Odberateľ plynu odsúhlasí hodnotu bezpečnostného minima, obmedzujúce odberové stupne a obmedzujúce vykurovacie krivky s dodávateľom plynu pre odberné miesta odberateľa v zmluve o dodávke plynu. Ak má oprávnený odberateľ uzatvorenú zmluvu na distribúciu plynu, dohodne výslednú hodnotu bezpečnostného minima, obmedzujúce odberové stupne a obmedzujúce vykurovacie krivky s prevádzkovateľom distribučnej siete v zmluve o distribúcii plynu. Zaradenie medzi osoby podľa odseku 5 sa počas vyhlásenej krízovej situácie v plynárenstve uskutoční len so súhlasom ministerstva, po konzultácii s plynárenským dispečingom. |
| (13) Spôsob podrobného určenia základného odberového stupňa a obmedzujúcich odberových stupňov, základnej vykurovacej krivky a obmedzujúcich vykurovacích kriviek je uvedený v prílohe č. 5. |
| (14) Zoznam odvetví pre odberné miesta odberateľa nezávislého od vonkajšej teploty ovzdušia podľa odseku 10 písm. a) až c) je uvedený v prílohe č. 6. |
| § 5 |
| Obmedzovacie vykurovacie krivky |
| (1) Obmedzenie odberu plynu vykurovacími krivkami sa uplatňuje pre odberateľa plynu, ktorého súčet denných hodnôt spotreby za posledný štvrťrok predchádzajúceho roka a prvý štvrťrok príslušného roka predstavuje viac ako 70 % celkovej spotreby za obdobie od 1. apríla predchádzajúceho roka do 31. marca príslušného roka (ďalej len „odberateľ závislý od vonkajšej teploty ovzdušia“) a odberateľa plynu, ktorý je organizačnou zložkou Zboru väzenskej a justičnej stráže, zariadením sociálnych služieb alebo zariadením sociálnoprávnej ochrany detí a sociálnej kurately; ak nie je k dispozícii skutočná spotreba, typ odberného miesta určí dodávateľ podľa charakteru odberu odberného miesta. Zaradenie odberného miesta do jednotlivého typu platí na obdobie od 1. októbra príslušného roka do 30. septembra nasledujúceho roka. |
| (2) Základnou vykurovacou krivkou je prvá vykurovacia krivka, pri ktorej odberateľ uskutočňuje odber plynu do najvyššieho zmluvne dohodnutého denného množstva. |
| (3) Obmedzujúce vykurovacie krivky sú odvodené od základnej vykurovacej krivky a predstavujú zníženie denného odberu plynu v porovnaní so základnou vykurovacou krivkou. |
| (4) Obmedzujúcimi vykurovacími krivkami sú: |
| a) druhá vykurovacia krivka, ktorá určuje znížený denný odber plynu vo vzťahu k základnej vykurovacej krivke takto: |
| 1. 100 % pre odberateľov so zmluvne dohodnutým množstvom zemného plynu na odbernom mieste do 645,6 MWh alebo do 60 000 m3 vrátane, pre zdravotnícke zariadenia a pre tepelné energetické zariadenia zabezpečujúce vykurovanie zdravotníckych zariadení, zariadenia sociálnych služieb a zariadenia sociálnoprávnej ochrany detí a sociálnej kurately, |
| 2. najviac 90 % pre tepelné energetické zariadenia zabezpečujúce vykurovanie bytov, pre objekty škôl a organizačných zložiek Zboru väzenskej a justičnej stráže, |
| 3. najviac 85 % pre ostatných odberateľov, |
| b) tretia vykurovacia krivka, ktorá určuje znížený denný odber plynu na odbernom mieste vo vzťahu k základnej vykurovacej krivke takto: |
| 1. 100 % pre odberateľov so zmluvne dohodnutým množstvom zemného plynu do 645,6 MWh alebo do 60 000 m3 vrátane, pre zdravotnícke zariadenia a pre tepelné energetické zariadenia zabezpečujúce vykurovanie zdravotníckych zariadení, zariadenia sociálnych služieb a zariadenia sociálnoprávnej ochrany detí a sociálnej kurately, |
| 2. najviac 80 % pre tepelné energetické zariadenia zabezpečujúce vykurovanie bytov, pre objekty škôl a organizačné zložky Zboru väzenskej a justičnej stráže, |
| 3. najviac 70 % pre ostatných odberateľov, |
| c) štvrtá vykurovacia krivka, ktorá určuje znížený denný odber plynu na odbernom mieste podľa tretej vykurovacej krivky a prerušenie dodávok plynu pre kategóriu malý podnik, |
| d) piata vykurovacia krivka, ktorá určuje znížený denný odber plynu na odbernom mieste podľa štvrtej vykurovacej krivky a prerušenie dodávok plynu pre kategóriu objekt školy, |
| e) šiesta vykurovacia krivka, ktorá určuje prerušenie dodávok plynu pre všetkých odberateľov plynu okrem odberateľov plynu v domácnosti. |
| (5) Odberateľ plynu, ktorý využíva časť odberu plynu na vykurovanie zdravotníckeho zariadenia, zariadenia sociálnych služieb, zariadenia sociálnoprávnej ochrany detí a sociálnej kurately alebo na vykurovanie bytov, dohodne s dodávateľom plynu v zmluve o dodávke plynu časť odberu plynu vyjadrenú v percentách z celkového odberu využívaného na tento účel a obmedzujúce vykurovacie krivky ako vážený priemer predpokladaného množstva odberu využívaného na tento účel. Odberateľ plynu, ktorý časť odberu plynu využíva pre technologické potreby výrobných zariadení, pri vyhlásení obmedzujúceho odberového stupňa 8 alebo 9 nesmie zabezpečovať výrobu okrem odberateľov plynu uvedených v § 4 ods. 10 písm. a) až j). |
| § 6 |
| Havarijné odberové stupne |
| (1) Prvým havarijným odberovým stupňom je stupeň 10, pri ktorom je nulový odber plynu pre všetkých odberateľov plynu okrem chráneného odberateľa, ktorý vyrába teplo a teplú vodu určené pre domácnosti, zdravotnícke zariadenia, odberateľov plynu v domácnosti, zariadenia sociálnych služieb, zariadenia sociálnoprávnej ochrany detí a sociálnej kurately a organizačné zložky Zboru väzenskej a justičnej stráže. |
| (2) Druhým havarijným odberovým stupňom je stupeň 11. Pri jeho vyhlásení je dodávka plynu prerušená pre všetkých odberateľov plynu. |
| § 7 |
| Poskytnutie údajov vzťahujúcich sa na jednotlivé odberové stupne a vykurovacie krivky |
| (1) Dodávateľ plynu poskytuje informácie vzťahujúce sa na odberové stupne a obmedzujúce vykurovacie krivky pre riešenie stavu núdze prevádzkovateľovi distribučnej siete, na ktorého sieť sú odberatelia príslušného dodávateľa plynu pripojení, každoročne do 30. novembra v rozsahu definovanom v odsekoch 2 až 5. Ak v priebehu roka dôjde k podstatnej zmene údajov, aktualizované údaje poskytuje dodávateľ plynu prvý týždeň nasledujúceho mesiaca, v ktorom sa tieto údaje zmenili. Prevádzkovateľ distribučnej siete poskytuje informácie vzťahujúce sa na odberové stupne a obmedzujúce vykurovacie krivky pre riešenie stavu núdze prevádzkovateľovi distribučnej siete, ktorý plní úlohy plynárenského dispečingu na vymedzenom území, každoročne do 10. decembra v rozsahu definovanom v odsekoch 2 až 5. Ak v priebehu roka dôjde k podstatnej zmene údajov, aktualizované údaje poskytuje prevádzkovateľ distribučnej siete prvý týždeň nasledujúceho mesiaca, v ktorom sa tieto údaje zmenili. |
| (2) Dodávateľ plynu pre riešenie stavu núdze poskytuje prevádzkovateľovi distribučnej siete o odberných miestach odberateľa nezávislého od vonkajšej teploty ovzdušia so zmluvným množstvom odberu plynu od 645,6 MWh alebo 60 000 m3 do odberu 4 026,2 MW alebo 374 181 m3 informáciu o dennom maximálnom množstve plynu v m3, o hodnote denného odberu plynu v m3 pri odberovom stupni 3 uplatňujúcom sa počas vyhlásenia obmedzujúcich opatrení, o hodnote jednotlivých odberov plynu v m3 pri obmedzujúcich odberových stupňoch 8 a 9 a informáciu o časovom sklze v hodinách pri nariadenom prechode z odberu v odberovom stupni 3 uplatnenom počas vyhlásenia obmedzujúcich opatrení na odber pri vyhlásenom obmedzujúcom odberovom stupni 8 alebo 9. |
| (3) Dodávateľ plynu pre riešenie stavu núdze poskytuje prevádzkovateľovi distribučnej siete o odberných miestach odberateľa nezávislého od vonkajšej teploty ovzdušia so zmluvne dohodnutým množstvom odberu plynu nad 4 026,2 MWh, najviac však do 300 000 MWh, informáciu o dennom maximálnom množstve plynu v m3, o hodnote denného odberu plynu v m3 pri odberovom stupni 3 uplatňujúcom sa počas vyhlásenia obmedzujúcich opatrení, o hodnote jednotlivých odberov plynu v m3 pri uplatňovaní obmedzujúcich odberových stupňov 4 až 9, informáciu o časovom sklze v hodinách pri nariadenom prechode z odberu v odberovom stupni 3 uplatnenom počas vyhlásenia obmedzujúcich opatrení na odber pri vyhlásenom obmedzujúcom odberovom stupni 8 alebo 9. |
| (4) Dodávateľ plynu pre riešenie stavu núdze poskytuje prevádzkovateľovi distribučnej siete o odberných miestach odberateľa nezávislého od vonkajšej teploty ovzdušia so zmluvne dohodnutým množstvom odberu plynu nad 300 000 MWh informáciu o dennom maximálnom množstve plynu v m3, o hodnote denného odberu plynu v m3 pri odberovom stupni 3 uplatňujúcom sa počas vyhlásenia obmedzujúcich opatrení, o hodnote jednotlivých odberov plynu v m3 pri uplatňovaní obmedzujúcich odberových stupňov 4 až 9, informáciu o časovom sklze v hodinách pri nariadenom prechode z odberu v odberovom stupni 3 uplatnenom počas vyhlásenia obmedzujúcich opatrení na odber pri vyhlásenom obmedzujúcom odberovom stupni 8 alebo 9. |
| (5) Dodávateľ plynu poskytuje pre riešenie stavu núdze pre prevádzkovateľa distribučnej siete o odberných miestach odberateľa závislého od vonkajšej teploty ovzdušia informáciu o dennom maximálnom množstve odberu plynu v m3, vykurovaciu tabuľku odberu v m3 s hodnotami odberu pre prvú vykurovaciu krivku a Qletné v m3 a vykurovaciu tabuľku odberu s hodnotami odberu pre druhú vykurovaciu krivku a tretiu vykurovaciu krivku. |
| (6) Prevádzkovateľ distribučnej siete poskytuje pre riešenie stavu núdze údaje o odberateľoch pripojených k jeho sieti tomu prevádzkovateľovi distribučnej siete, ktorý plní úlohy plynárenského dispečingu na vymedzenom území, v rovnakom rozsahu ako dodávateľ plynu podľa odsekov 2 až 5. |
| § 8 |
| Informácie o dodávkach a zásobách plynu a informácie na zabezpečenie bezpečnosti dodávok plynu na vymedzenom území |
| (1) Prevádzkovateľ zásobníka po vyhlásení obmedzujúcich opatrení v plynárenstve pri stave núdze do odvolania stavu núdze ministerstvu poskytuje denné informácie o |
| a) skutočnom stave zásob jednotlivých účastníkov trhu s plynom, ktorí majú s prevádzkovateľom zásobníka uzatvorenú zmluvu o prístupe do zásobníka a uskladňovaní plynu, |
| b) najväčšom vtlačnom a ťažobnom výkone jednotlivých účastníkov trhu s plynom, ktorí majú s prevádzkovateľom zásobníka uzatvorenú zmluvu o prístupe do zásobníka a uskladňovaní plynu, |
| c) skutočnej ťažbe plynu zo zásobníka pre jednotlivých účastníkov trhu s plynom, ktorí majú s prevádzkovateľom zásobníka uzatvorenú zmluvu o prístupe do zásobníka a uskladňovaní plynu. |
| (2) Plynárenský dispečing po vyhlásení obmedzujúcich opatrení v plynárenstve pri stave núdze do odvolania stavu núdze poskytuje ministerstvu denné informácie o |
| a) dodržiavaní obmedzujúcich opatrení a zmluvne stanovenej hodnoty individuálneho odberu na úrovni bezpečnostného minima dohodnutého v zmluve o dodávke plynu alebo zmluve o distribúcii plynu konkrétnymi odberateľmi so zmluvne dohodnutým ročným odberom nad 4 026,2 MW alebo nad 374 181 m3, |
| b) celkovom dennom objeme distribuovaného plynu v distribučnej sieti pre odberateľov so zmluvne dohodnutým ročným množstvom odberu plynu nad 4 026,2 MW alebo nad 374 181 m3, |
| c) plnení opatrení dohodnutých s ministerstvom na riešenie stavu núdze na vymedzenom území. |
| (3) Prevádzkovateľ prepravnej siete po vyhlásení obmedzujúcich opatrení v plynárenstve pri stave núdze do odvolania stavu núdze poskytuje ministerstvu denné informácie o toku plynu za deň v miliónoch m3 na všetkých cezhraničných vstupných a výstupných bodoch. |
| § 9 |
| (1) Plynárenský dispečing vyhodnocuje denne úroveň dostupných zdrojov plynu na nasledujúce tri dni a očakávanú spotrebu plynu na vymedzenom území. |
| (2) Plyn na účely zabezpečenia štandardu bezpečnosti dodávok pre domácnosti, ktorý bol použitý na dodávku plynu pre domácnosti, vysporiada s prevádzkovateľom distribučnej siete príslušný dodávateľ plynu v takom objeme, v akom bol tento plyn prevzatý dodávateľom plynu v období od vyhlásenia stavu núdze do odvolania stavu núdze. Podmienky vysporiadania plynu dohodne dodávateľ plynu s prevádzkovateľom distribučnej siete podľa kapacitných možností používaných nástrojov na zabezpečenie štandardu bezpečnosti dodávok plynu pre odberateľov plynu v domácnosti. |
| § 10 |
| Pri vyhlásení obmedzujúcich opatrení v plynárenstve odberateľ plynu nie je oprávnený prekročiť hodnotu odberu stanovenú pre jednotlivé obmedzujúce odberové stupne alebo obmedzujúce vykurovacie krivky. |
| § 11 |
| Opatrenia zamerané na odstránenie stavu núdze v plynárenstve |
| (1) Opatrenia na odstránenie stavu núdze v plynárenstve sa vykonávajú ako osobitné postupy na obnovenie riadnej prevádzky prepravnej a distribučnej siete bezodkladne. |
| (2) Pri odstraňovaní stavu núdze postupujú prevádzkovatelia sietí podľa schválených havarijných plánov, pokynov plynárenského dispečingu a pokynov vlastného dispečingu. |
|
|
| § 12 |
| Zrušuje sa vyhláška Ministerstva hospodárstva Slovenskej republiky č. 459/2008 Z. z., ktorou sa ustanovujú podrobnosti o postupe pri vyhlasovaní stavu núdze, o vyhlasovaní obmedzujúcich opatrení pri stave núdze a o opatreniach zameraných na odstránenie stavu núdze v znení vyhlášky č. 447/2009 Z. z. |
| § 13 |
| Táto vyhláška nadobúda účinnosť 1. januára 2013. |
|
|
| Tomáš Malatinský v. r. |
|
|
| Príloha č. 1 k vyhláške č. 416/2012 Z. z. |
| ZÁSADY REALIZÁCIE PLÁNU OBMEDZOVANIA SPOTREBY |
| 1. Obmedzenie spotreby elektriny odberateľom je realizované na základe plánu obmedzovania spotreby obmedzujúcimi odberovými stupňami takto: |
| a) základný odberový stupeň vyjadruje normálny prevádzkový stav sústavy s vyrovnanou výkonovou bilanciou a potrebnou výkonovou rezervou, |
| b) obmedzujúci odberový stupeň 1 predstavuje zníženie odoberaného výkonu odberateľov zo sietí veľmi vysokého napätia a vysokého napätia s dohodnutou rezervovanou kapacitou vyššou ako 1 000 kW s realizáciou do 30 minút po vyhlásení a so súčasným zvýšením dodávaného výkonu výrobcami elektriny na ich technické maximum, |
| c) obmedzujúci odberový stupeň 2 predstavuje zníženie odoberaného výkonu odberateľov zo sietí veľmi vysokého napätia a vybraných odberateľov zo sietí vysokého napätia s dohodnutou rezervovanou kapacitou vyššou ako 1 000 kW s realizáciou do 30 minút po vyhlásení a so súčasným zvýšením dodávaného výkonu výrobcami elektriny na ich technické maximum, |
| d) obmedzujúci odberový stupeň 3 predstavuje zníženie odoberaného výkonu odberateľov zo sietí vysokého napätia s dohodnutou rezervovanou kapacitou od 150 kW do 1 000 kW vrátane s realizáciou do dvoch hodín po vyhlásení, ak nie je určený dlhší čas, |
| e) obmedzujúci odberový stupeň 4 predstavuje zníženie odoberaného výkonu vybraných odberateľov zo sietí vysokého napätia s dohodnutou rezervovanou kapacitou od 150 kW do 1 000 kW vrátane s realizáciou do dvoch hodín po vyhlásení, ak nie je určený dlhší čas, |
| f) obmedzujúci odberový stupeň 5 nariaďuje znížiť spotrebu elektriny odberateľom na najnižšiu dohodnutú úroveň odstavením odberných zariadení, ktoré možno odstaviť z prevádzky do jednej hodiny po vyrozumení, a znížiť odber elektriny ostatných zariadení na bezpečnostné minimum; odberatelia, ktorí nemajú určený obmedzujúci odberový stupeň 5, pri jeho vyhlásení znížia odber elektriny na bezpečnostné minimum, |
| g) obmedzujúci odberový stupeň 6 nariaďuje znížiť spotrebu elektriny odberateľom na najnižšiu dohodnutú úroveň odstavením odberných zariadení, ktoré možno odstaviť z prevádzky do ôsmich hodín po vyrozumení, a znížiť odber elektriny ostatných zariadení na bezpečnostné minimum; odberatelia, ktorí nemajú určený obmedzujúci odberový stupeň 6, pri jeho vyhlásení znížia odber elektriny na bezpečnostné minimum. |
| 2. Obmedzenia odoberaného výkonu pri obmedzujúcich odberových stupňoch 1 až 4 sa uskutočňujú znížením dohodnutého výkonu v hodinovom diagrame zaťaženia odberateľov s registračným záznamom priebehu spotreby a znížením dohodnutých priemerných hodinových výkonov ostatných odberateľov o hodnotu výkonovej náplne týchto obmedzujúcich odberových stupňov. |
| 3. Obmedzenia odberu elektrického výkonu pri obmedzujúcich odberových stupňoch 5 a 6 sú realizované znížením odoberaného výkonu na hodnotu bezpečnostného minima. |
| 4. Rozsah výkonovej náplne obmedzujúcich odberových stupňov vzťahujúci sa na obmedzujúce stupne 1 až 4 pre každého odberateľa je najmenej 37 % z hodnoty rezervovanej kapacity. Rozsah výkonovej náplne podľa prvej vety nemusí byť dodržaný, ak by došlo k prekročeniu bezpečnostného minima. Uvedenú hodnotu obmedzenia možno rozložiť do väčšieho počtu obmedzujúcich odberových stupňov. Pri aktivácii obmedzujúcich odberových stupňov plánu obmedzovania spotreby sa výkon zníži o hodnotu stanovenú pre daný obmedzujúci odberový stupeň. |
| 5. Odberatelia, ktorí nemajú s prevádzkovateľom distribučnej sústavy dohodnutý obmedzujúci odberový stupeň, sú zaradení do obmedzujúcich odberových stupňov 1 alebo 3 podľa hodnoty ich dohodnutej rezervovanej kapacity v čase tvorby plánu obmedzovania spotreby. Výkonová náplň obmedzujúceho odberového stupňa sa pre týchto odberateľov určí na úroveň 37 % ich dohodnutej rezervovanej kapacity. |
| 6. Obmedzujúce odberové stupne 5 a 6, pri ktorých dochádza k obmedzeniu dodávky elektriny až na hodnotu bezpečnostného minima, možno uplatniť po vyčerpaní všetkých možností riešenia stavu núdze. |
| Príloha č. 2 k vyhláške č. 416/2012 Z. z. |
| ZÁSADY REALIZÁCIE HAVARIJNÉHO VYPÍNACIEHO PLÁNU |
| 1. Prerušenie dodávky elektriny, ktoré je vykonávané ako obmedzujúce opatrenie v elektroenergetike pri náhlej výraznej nerovnováhe výroby a spotreby v sústave a pri likvidácii porúch v sústave, ak nie je možné použiť iné opatrenie, je realizované prostredníctvom havarijných vypínacích stupňov 21 až 30. |
| 2. Pri použití havarijného vypínacieho stupňa 21 sú vypínané úseky elektroenergetických zariadení veľmi vysokého napätia a vysokého napätia v takom rozsahu, aby obmedzenie spotreby neprekročilo hodnotu 2,5 % ročného maxima zaťaženia príslušnej distribučnej sústavy. |
| 3. Každý nasledujúci havarijný vypínací stupeň zahŕňa sumárnu hodnotu výkonu vypnutých zariadení odberateľov v predchádzajúcom stupni zvýšenú o hodnotu 2,5 % ročného maxima zaťaženia príslušnej distribučnej sústavy. |
| 4. V jednotlivých havarijných vypínacích stupňoch je udávaná sumárna hodnota vypínaného výkonu vo vzťahu k hodnote ročného maxima zaťaženia príslušnej distribučnej sústavy v predchádzajúcom roku. |
| Príloha č. 3 k vyhláške č. 416/2012 Z. z. |
| ZÁSADY REALIZÁCIE FREKVENČNÉHO PLÁNU |
| I.Frekvenčný plán pri zníženej frekvencii v sústave |
| 1. V pásme frekvencií 49,8 Hz až 49 Hz výrobcovia elektriny pripojení k postihnutej časti sústavy prijímajú potrebné opatrenia. Regulácia frekvencie sa zabezpečuje podľa pokynov dispečingu prevádzkovateľa prenosovej sústavy alebo automatickou zmenou činného výkonu zariadení prevádzkovaných výrobcami elektriny. Výrobca elektriny sa riadi prevádzkovými inštrukciami, ktoré môže vydať prevádzkovateľ prenosovej sústavy. Prevádzkovateľ prenosovej sústavy môže určiť nastavenú hodnotu činného výkonu, ktorú dodržiava výrobca elektriny, ak nastavená hodnota zohľadňuje technické obmedzenia príslušného výrobcu elektriny. Výrobca elektriny bez zbytočného odkladu vykoná pokyny, ktoré prevádzkovateľ prenosovej sústavy vydal priamo alebo nepriamo prostredníctvom prevádzkovateľa distribučnej sústavy, a v takom stave zotrvá do oznámenia ďalších pokynov prevádzkovateľa prenosovej sústavy. Prevádzkovateľ prečerpávacej vodnej elektrárne zabezpečuje automatický prechod do režimu výroby v časovom limite a pri nastavenej hodnote činného výkonu, ktoré určil prevádzkovateľ prenosovej sústavy v pláne obrany proti šíreniu porúch. Ak nie je možné prepnutie prečerpávacej vodnej elektrárne v časovom limite, ktorý určil prevádzkovateľ prenosovej sústavy v pláne obrany proti šíreniu porúch, prečerpávacia vodná elektráreň plniaca funkciu odberu sa automaticky odpojí. |
| 2. V pásme poklesu frekvencie na 49 Hz a menej prijíma prevádzkovateľ prenosovej sústavy opatrenia v oblasti zaťaženia sústavy. Vopred určené objemy výkonov frekvenčných stupňov sa automaticky odpájajú pomocou frekvenčných relé. Počet stupňov, ich nastavenie a objemy odopínaného výkonu sú určené prevádzkovateľom prenosovej sústavy na základe systémových výpočtov poruchových režimov a v súlade s pravidlami synchrónne prepojenej európskej sústavy. |
| 3. V pásme poklesu frekvencie na 47,5 Hz a menej sa vybrané zariadenia výrobcov elektriny automaticky odpoja od postihnutej časti sústavy a prejdú na prevádzku na vlastnú spotrebu. Odpájanie blokov výrobcov elektriny prebieha pri takých hodnotách frekvencie, aby nedošlo k prekročeniu technického obmedzenia zariadení výrobcov elektriny a prechod na vlastnú spotrebu bol spoľahlivý. Výnimočne na základe odôvodnených technologických obmedzení zariadení výrobcov elektriny je možné odpojenie zariadenia od sústavy pri frekvenciách vyšších ako 47,5 Hz. |
| II. Frekvenčný plán pri zvýšenej frekvencii v sústave |
| 1. V pásme nárastu frekvencie na 50,2 Hz a viac výrobcovia elektriny pripojení k postihnutej časti sústavy prijímajú potrebné opatrenia. Regulácia frekvencie sa zabezpečuje podľa pokynov dispečingu prevádzkovateľa prenosovej sústavy alebo automatickou zmenou činného výkonu zariadení prevádzkovaných výrobcami elektriny. Výrobca elektriny sa riadi prevádzkovými inštrukciami, ktoré je oprávnený vydať prevádzkovateľ prenosovej sústavy. Prevádzkovateľ prenosovej sústavy môže určiť nastavenú hodnotu činného výkonu, ktorú musí dodržiavať výrobca elektriny, ak táto nastavená hodnota zohľadňuje technické obmedzenia príslušného výrobcu elektriny. Výrobca elektriny bez zbytočného odkladu vykoná pokyny, ktoré prevádzkovateľ prenosovej sústavy vydal priamo alebo nepriamo prostredníctvom prevádzkovateľa distribučnej sústavy, a v takom stave zotrvá do oznámenia ďalších pokynov prevádzkovateľa prenosovej sústavy. Prevádzkovateľ prečerpávacej vodnej elektrárne zabezpečuje automatický prechod do čerpadlovej prevádzky v časovom limite a pri nastavenej hodnote činného výkonu, ktoré určil prevádzkovateľ prenosovej sústavy v pláne obrany proti šíreniu porúch. Ak nie je možné prepnutie prečerpávacej vodnej elektrárne v časovom limite, ktorý určil prevádzkovateľ prenosovej sústavy v pláne obrany proti šíreniu porúch, prečerpávacia vodná elektráreň plniaca funkciu výroby sa automaticky odpojí. |
| 2. V pásme nárastu frekvencie na 51,5 Hz a viac sa vybrané zariadenia výrobcov elektriny automaticky odpoja od postihnutej časti sústavy a prejdú na prevádzku na vlastnú spotrebu. Výnimočne na základe odôvodnených technologických obmedzení zariadení výrobcov elektriny a po súhlase prevádzkovateľa prenosovej sústavy je možné odpojenie zariadenia od sústavy pri frekvenciách nižších ako 51,5 Hz.“. |
| Príloha č. 4 k vyhláške č. 416/2012 Z. z. |
| ZOZNAM TRHOVÝCH OPATRENÍ ŠTANDARDU BEZPEČNOSTI DODÁVOK PLYNU |
| 1. Opatrenia na strane dodávky: |
| 1.1. zvýšenie pružnosti výroby, |
| 1.2. zvýšenie pružnosti dovozu, |
| 1.3. uľahčenie začlenenia plynu z obnoviteľných zdrojov energie do infraštruktúry plynárenskej siete, |
| 1.4. komerčný zásobník plynu – ťažobný výkon a objem plynu v zásobníkoch, |
| 1.5. kapacita terminálov LNG a maximálna kapacita odvádzania plynu do siete, |
| 1.6. diverzifikácia dodávok plynu a plynárenských trás, |
| 1.7. spätné toky, |
| 1.8. koordinovaný dispečing prevádzkovateľov prepravných sietí, |
| 1.9. využívanie dlhodobých a krátkodobých zmlúv, |
| 1.10. investície do infraštruktúry vrátane obojsmernej kapacity, |
| 1.11. zmluvné podmienky na zaistenie bezpečnosti dodávky plynu. |
| 2. Opatrenia na strane spotreby: |
| 2.1. využívanie prerušiteľných zmlúv, |
| 2.2. možnosť prechodu na iný druh paliva vrátane využívania alternatívnych rezervných palív v priemyselných zariadeniach a v elektrárňach, |
| 2.3. dobrovoľné znižovanie odberu zákazníkov s pevným profilom odberu, |
| 2.4. zvýšenie efektívnosti, |
| 2.5. zvýšené využívanie obnoviteľných zdrojov energie. |
| Príloha č. 5 k vyhláške č. 416/2012 Z. z. |
| Spôsob podrobného určenia základného odberového stupňa a obmedzujúcich odberových stupňov, základnej vykurovacej krivky a obmedzujúcich vykurovacích kriviek |
| I. Spôsob podrobného určenia základného odberového stupňa a obmedzujúcich odberových stupňov pre odberateľa nezávislého od vonkajšej teploty ovzdušia | Odberateľ plynu so zmluvne dohodnutým množstvom odberu nad 4 026,2 MWh alebo 374 181 m3 | Určenie základného odberového stupňa
Denné množstvo plynu odberateľa plynu počas vyhlásenia obmedzujúcich opatrení so zmluvne dohodnutým množstvom odberu plynu nad 4 026,2 MWh sa určí ako súčin najvyššej mesačnej váhy v percentách a zmluvne dohodnutého množstva plynu odberateľa plynu v kWh vydeleného počtom dní v mesiaci s najvyššou váhou; pre mesiace s rovnakou najvyššou váhou sa zoberie do úvahy mesiac s najmenším počtom dní.
Toto množstvo sa prepočíta na objemové jednotky m3. Na prepočet sa používa hodnota spaľovacieho tepla objemového 10,76 kWh/m3.
Ak má odberateľ plynu uzatvorenú zmluvu na distribúciu plynu, dohodne výslednú hodnotu odberového stupňa 3 uplatňujúceho sa počas vyhlásenia obmedzujúcich opatrení s prevádzkovateľom distribučnej siete pri uzavretí zmluvy o distribúcii plynu.
Denné množstvo plynu odberateľa plynu so zmluvne dohodnutým množstvom odberu plynu nad 4 026,2 MWhje limitované hraničnou hodnotou najvyššieho zmluvne dohodnutého denného množstva plynu pre odberné miesta odberateľa plynu dohodnutou s odberateľom plynu v zmluve o dodávke plynu.
Údaj o mesačnej váhe v percentách je uvedený v zmluve o dodávke plynu a predstavuje percentuálne podiely odberu plynu zo zmluvne dohodnutého množstva, ktoré pripadajú na jednotlivé kalendárne mesiace. | Určenie obmedzujúcich odberových stupňov
Obmedzujúci odberový stupeň 8 predstavuje dennú hodnotu odberu plynu v m3 určenú odberateľom plynu podľa § 4 ods. 4 písm. e).
Denná hodnota odberu v m3 pri obmedzujúcom odberovom stupni 5 pre odberateľa plynu so zmluvne dohodnutým množstvom nad 300 000 MWh a pri odberovom stupni 7 pre odberateľa plynu nad 4 026,2 MWh ale do 300 000 MWh je určená tak, že rozdiel hodnoty odberu pri odberovom stupni 3 a odberovom stupni 8 sa rozdelí na tretiny a od odberového stupňa 3 sa odpočítajú dve tretiny.
Denné hodnoty odberov v m3 pri obmedzujúcich odberových stupňoch 5 a 7 sa určia zo základného odberového stupňa, ktorý je uplatňovaný počas vyhlásenia obmedzujúcich opatrení v plynárenstve.
Obmedzujúci odberový stupeň 9 predstavuje dennú hodnotu odberu plynu v m3 určenú odberateľovi plynu podľa § 4 ods. 4 písm. f).
Obmedzujúce odberové stupne 4 a 6 predstavujú dennú hodnotu odberu plynu v m3 určenú odberateľovi plynu podľa § 4 ods. 4 písm. a) a c). | Odberateľ plynu so zmluvne dohodnutým množstvom odberu od 645,6 MWh alebo 60 000 m3 do 4 026,2 MWh alebo 374 181 m3 | Určenie základného odberového stupňa
Denné množstvo plynu odberateľa plynu so zmluvne dohodnutým množstvom odberu od 645,6 MWh do 4 026,2 MWh sa určí ako súčin najvyššej mesačnej váhy v percentách a zmluvne dohodnutého množstva plynu odberateľa v kWh vydeleného počtom dní v mesiaci s najvyššou váhou.
Toto množstvo sa prepočíta na objemové jednotky m3. Na prepočet sa použije hodnota spaľovacieho tepla objemového 10,76 kWh/m3.
Denné množstvo plynu odberateľa plynu so zmluvne dohodnutým množstvom odberu od 645,6 MWh do 4 026,2 MWh je limitované hraničnou hodnotou najväčšieho zmluvne dohodnutého denného množstva plynu pre odberné miesta odberateľa plynu dohodnutou s odberateľom plynu v zmluve o dodávke plynu.
Údaj o mesačnej váhe v percentách je uvedený v zmluve o dodávke plynu a predstavuje percentuálne podiely odberu plynu zo zmluvne dohodnutého množstva pripadajúce na jednotlivé kalendárne mesiace. | Určenie obmedzujúcich odberových stupňov
Obmedzujúci odberový stupeň 8 predstavuje dennú hodnotu odberu plynu v m3 určenú odberateľovi plynu podľa § 4 ods. 4 písm. e).
Obmedzujúci odberový stupeň 9 predstavuje dennú hodnotu odberu plynu v m3 určenú odberateľovi plynu podľa § 4 ods. 4 písm. f). | II. Spôsob podrobného určenia základnej vykurovacej krivky a obmedzujúcich vykurovacích kriviek pre odberateľa závislého od vonkajšej teploty ovzdušia | Rozdelenie odberateľov plynu
1. skupina - zdravotnícke zariadenia, zariadenia sociálnych služieb, zariadenia sociálnoprávnej ochrany detí a sociálnej kurately a tepelné energetické zariadenia zabezpečujúce vykurovanie zdravotníckych zariadení, zariadení sociálnych služieb a zariadení sociálnoprávnej ochrany detí a sociálnej kurately,
2. skupina - tepelné energetické zariadenia zabezpečujúce vykurovanie bytov, objektov škôl a objektov, v ktorých sa nachádza technika nevyhnutná na záchranu majetku, zdravia a života ľudí, organizačné zložky Zboru väzenskej a justičnej stráže,
3. skupina - ostatní odberatelia. | Určenie priemernej dennej teploty
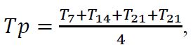
Priemerná denná teplota ovzdušia slúžiaca na potreby zistenia hodnoty prislúchajúceho odberu z vykurovacej tabuľky sa vypočíta podľa vzorca:

kde
Tp je priemerná teplota ovzdušia,
T7 je teplota ovzdušia meraná o 7:00 hod.,
T14 je teplota ovzdušia meraná o 14:00 hod.,
T21 je teplota ovzdušia meraná o 21:00 hod. | Určenie základnej vykurovacej krivky
Základnou vykurovacou krivkou je prvá vykurovacia krivka, ktorá predstavuje denné hodnoty odberov v m3 na odbernom mieste odberateľa plynu v závislosti od dennej teploty ovzdušia v stupňoch Celzia, tie sa uvádzajú vo vykurovacej tabuľke odberateľa plynu.
Základná vykurovacia krivka je limitovaná hraničnou hodnotou najvyššieho zmluvne dohodnutého denného množstva plynu pre odberné miesta odberateľa plynu dohodnutou s odberateľom plynu v zmluve o dodávke plynu.
Dodávateľ plynu odsúhlasí v zmluve o dodávke plynu s odberateľom plynu vykurovaciu tabuľku pre základnú vykurovaciu krivku.
Určenie obmedzujúcich vykurovacích kriviek
Denné hodnoty odberov v m3 pre druhú a tretiu vykurovaciu krivku sa určia percentuálnym znížením odberu na odberných miestach odberateľa plynu voči základnej vykurovacej krivke podľa § 5 ods. 4 písm. a) a b) a § 5 ods. 5. Pri vyhlásení štvrtej až šiestej vykurovacej krivky sa postupuje podľa § 5 ods. 4 písm. c) až e) a § 5 ods. 5.
Dodávateľ plynu odsúhlasí v zmluve o dodávke plynu s odberateľom plynu vykurovaciu tabuľku pre odberné miesta odberateľa plynu vzťahujúce sa na druhú a tretiu vykurovaciu krivku.
Qletné je denné množstvo plynu slúžiace na ohrev teplej vody mimo vykurovacej sezóny počas letných mesiacov.
Vykurovacia tabuľka odberateľa plynu zahŕňa hodnoty odberov podľa odberných miest odberateľa plynu pre základnú vykurovaciu krivku a obmedzujúce vykurovacie krivky v rozmedzí -25 °C až +16 °C pre odberateľov plynu zaradených do 1. skupiny, hodnoty odberov pre základnú vykurovaciu krivku a obmedzujúce vykurovacie krivky v rozmedzí -25 °C až +13 °C pre odberateľov plynu zaradených do 2. a 3. skupiny, v členení po 1 °C a Qletné, prislúchajúce k teplotám nad +17 °C pre odberateľov plynu zaradených do 1. skupiny a teplotám nad +14 °C pre odberateľov plynu zaradených do 2. a 3. skupiny. |
|
| Príloha č. 6 k vyhláške č. 416/2012 Z. z. |
| Zoznam odvetví potravinárskeho priemyslu, na ktoré sa vzťahuje bezpečnostné minimum podľa § 4 ods. 14 a na ktoré sa nevzťahujú obmedzujúce odberové stupne elektrického výkonu plánu obmedzovania spotreby podľa prílohy č. 1 |
| 1. mäsopriemysel, |
| 2. mliekarenský priemysel, |
| 3. chov a spracovanie hospodárskych zvierat, |
| 4. tukový priemysel, |
| 5. mlynský priemysel, |
| 6. pekárenský priemysel, |
| 7. cukrovarnícky priemysel, |
| 8. konzervárenský a mraziarenský priemysel, |
| 9. výroba balenej vody, |
| 10. výroba potravín na rastlinnej báze, |
| 11. odstraňovanie a spracovanie vedľajších živočíšnych produktov. |
| Poznámky pod čiarou |
| 1) § 3 písm. p), r) a s) zákona č. 308/2000 Z. z. o vysielaní a retransmisii a o zmene zákona č. 195/2000 Z. z. o telekomunikáciách v znení neskorších predpisov.
§ 5 ods. 1 písm. l) zákona č. 532/2010 Z. z. o Rozhlase a televízii Slovenska a o zmene a doplnení niektorých zákonov. |
| 1a) Zákon č. 578/2004 Z. z. o poskytovateľoch zdravotnej starostlivosti, zdravotníckych pracovníkoch, stavovských organizáciách v zdravotníctve a o zmene a doplnení niektorých zákonov v znení neskorších predpisov. |
| 1b) Zákon č. 362/2011 Z. z. o liekoch a zdravotníckych pomôckach a o zmene a doplnení niektorých zákonov v znení neskorších predpisov. |
| 1c) Zákon č. 541/2004 Z. z. o mierovom využívaní jadrovej energie (atómový zákon) a o zmene a doplnení niektorých zákonov v znení neskorších predpisov. |
| 1d) Zákon č. 179/2011 Z. z. o hospodárskej mobilizácii a o zmene a doplnení zákona č. 387/2002 Z. z. o riadení štátu v krízových situáciách mimo času vojny a vojnového stavu v znení neskorších predpisov v znení neskorších predpisov. |
| 1e) Zákon č. 45/2011 Z. z. o kritickej infraštruktúre v znení neskorších predpisov. |
| 2) Príloha č. 1 časť 2 nariadenia Európskeho parlamentu a Rady (ES) č. 1272/2008 zo 16. decembra 2008 o klasifikácii, označovaní a balení látok a zmesí, o zmene, doplnení a zrušení smerníc 67/548/EHS a 1999/45/ES a o zmene a doplnení nariadenia (ES) č. 1907/2006 (Ú. v. EÚ L 353/1, 31. 12. 2008). |